Optical Trapping and Manipulation of Superparamagnetic Beads Using Annular-Shaped Beams
Abstract
1. Introduction
2. Materials and Methods
3. Results and Discussion
3.1. Characterization of the Laser Intensity Profile
3.2. Characterization of the Objective Transmittance
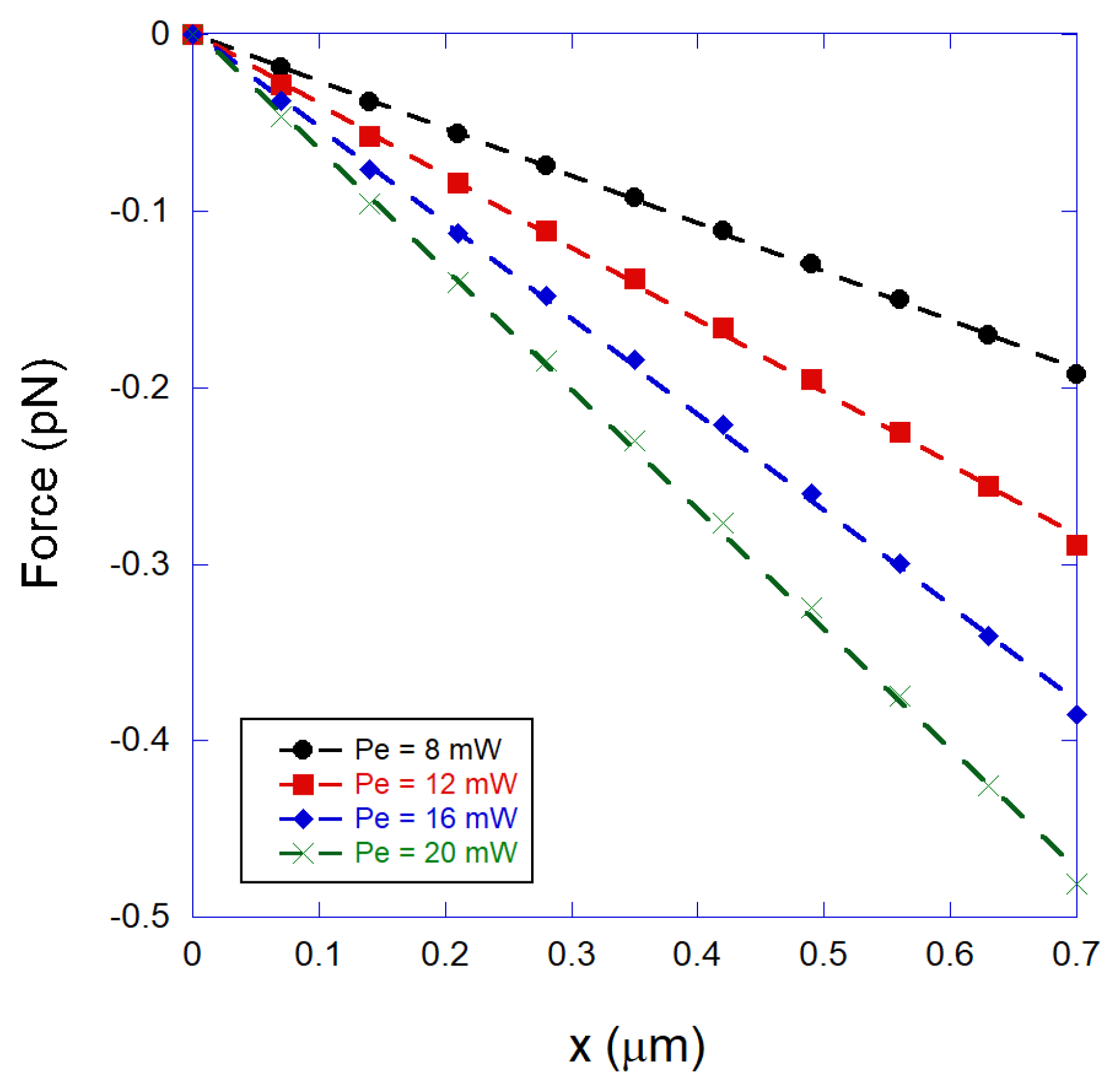
3.3. Numerical Calculation of the Optical Forces and Trap Stiffness in the Geometrical Optics Regime
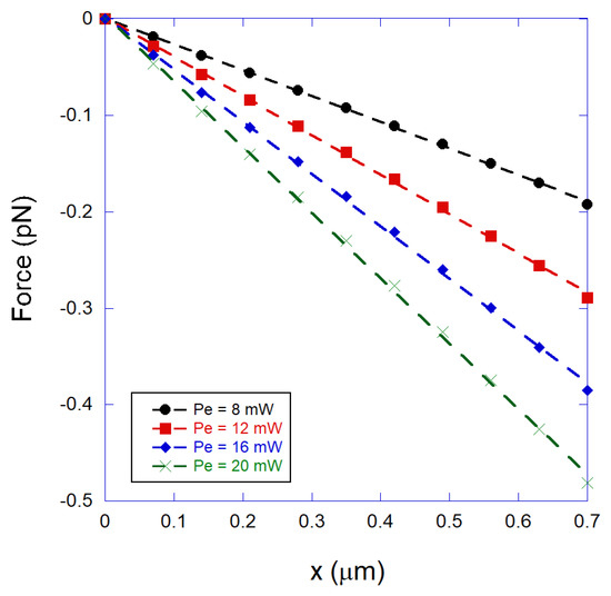
3.4. Experimental Results and Comparison with the Geometrical Optics Calculations
4. Conclusions
Author Contributions
Funding
Conflicts of Interest
Appendix A


References
- Svoboda, K.; Block, S.M. Biological applications of optical forces. Annu. Rev. Biophys. Biomol. Struct. 1994, 23, 247–285. [Google Scholar] [CrossRef] [PubMed]
- Grier, D.G. A revolution in optical manipulation. Nature 2003, 424, 810–816. [Google Scholar] [CrossRef] [PubMed]
- Moffitt, J.R.; Chemla, Y.R.; Smith, S.B.; Bustamante, C. Recent Advances in Optical Tweezers. Annu. Rev. Biochem. 2008, 77, 205–228. [Google Scholar] [CrossRef] [PubMed]
- Kilinc, D.; Lee, G.U. Advances in magnetic tweezers for single molecule and cell biophysics. Integr. Biol. 2014, 6, 27–34. [Google Scholar] [CrossRef] [PubMed]
- Rocha, M.S. Extracting physical chemistry from mechanics: A new approach to investigate DNA interactions with drugs and proteins in single molecule experiments. Integr. Biol. 2015, 7, 967–986. [Google Scholar] [CrossRef] [PubMed]
- Chaurasiya, K.R.; Paramanathan, T.; McCauley, M.J.; Williams, M.C. Biophysical characterization of DNA binding from single molecule force measurements. Phys. Life Rev. 2010, 7, 299–341. [Google Scholar] [CrossRef] [PubMed]
- Tanase, M.; Biais, N.; Sheetz, M. Magnetic tweezers in cell biology. Methods Cell Biol. 2007, 83, 473–493. [Google Scholar] [PubMed]
- Nussenzveig, H.M. Cell membrane biophysics with optical tweezers. Eur. Biophys. J. 2018, 47, 499–514. [Google Scholar] [CrossRef] [PubMed]
- Grier, D.G. Optical tweezers in colloid and interface science. Curr. Opin. Coll. Int. Sci. 1997, 2, 264–270. [Google Scholar] [CrossRef]
- Neuman, K.C.; Nagy, A. Single-molecule force spectroscopy: Optical tweezers, magnetic tweezers and atomic force microscopy. Nat. Methods 2008, 5, 491–505. [Google Scholar] [CrossRef] [PubMed]
- de Vlaminck, I.; Dekker, C. Recent Advances in Magnetic Tweezers. Annu. Rev. Biophys. 2012, 41, 453–472. [Google Scholar] [CrossRef] [PubMed]
- Gosse, C.; Croquette, V. Magnetic tweezers: Micromanipulation and force measurement at the molecular level. Biophys. J. 2002, 82, 3314–3329. [Google Scholar] [CrossRef]
- Mehta, K.K.; Wu, T.H.; Chiou, E.P.Y. Magnetic nanowire-enhanced optomagnetic tweezers. Appl. Phys. Lett. 2008, 93, 254102. [Google Scholar] [CrossRef]
- Iyengar, S.S.; Praveen, P.; Rekha, S.; Ananthamurthy, S.; Bhattacharya, S. Trapping Characterization of Semi Metallic Magnetic Beads in Optical Tweezers. In Proceedings of the International Conference on Fibre Optics and Photonics 2014, Kharagpur, India, 13–16 December 2014; p. T3A.40. [Google Scholar]
- Romano, G.; Sacconi, L.; Capitanio, M.; Pavone, F.S. Force and torque measurements using magnetic micro beads for single molecule biophysics. Opt. Commun. 2003, 215, 323–331. [Google Scholar] [CrossRef]
- Sacconi, L.; Romano, G.; Ballerini, R.; Capitanio, M.; Pas, M.D.; Giuntini, M.; Dunlap, D.; Finzi, L.; Pavone, F.S. Three-dimensional magneto-optic trap for micro-object manipulation. Opt. Lett. 2001, 26, 1359–1361. [Google Scholar] [CrossRef] [PubMed]
- Claudet, C.; Bednar, J. Magneto-optical tweezers built around an inverted microscope. Appl. Opt. 2005, 44, 3454–3457. [Google Scholar] [CrossRef] [PubMed]
- Helseth, L.E. Paramagnetic particles in an optical trap. Opt. Commun. 2007, 276, 277–282. [Google Scholar] [CrossRef]
- Zhou, Z.; Miller, H.; Wollman, A.J.M.; Leake, M.C. Developing a new biophysical tool to combine magneto-optical tweezers with super-resolution fluorescence microscopy. Photonics 2015, 2, 758–772. [Google Scholar] [CrossRef]
- Romodina, M.N.; Khokhlova, M.D.; Lyubin, E.V.; Fedyanin, A.A. Direct measurements of magnetic interaction-induced cross-correlations of two microparticles in Brownian motion. Sci. Rep. 2015, 5, 10491. [Google Scholar] [CrossRef] [PubMed]
- Juniper, M.P.; Straube, A.V.; Besseling, R.; Aarts, D.G.; Dullens, R.P. Microscopic dynamics of synchronization in driven colloids. Nat. Commun. 2015, 6, 7187. [Google Scholar] [CrossRef] [PubMed]
- Campos, W.; Fonseca, J.M.; de Carvalho, V.E.; Mendes, J.B.S.; Rocha, M.S.; Moura-Melo, W.A. Topological Insulator Particles As Optically Induced Oscillators: Toward Dynamical Force Measurements and Optical Rheology. ACS Photonics 2018, 5, 741–745. [Google Scholar] [CrossRef]
- Campos, W.; Fonseca, J.M.; de Carvalho, V.E.; Mendes, J.B.S.; Rocha, M.S.; Moura-Melo, W.A. How light absorption modifies the radiative force on a microparticle in optical tweezers. Appl. Opt. 2018, 57, 7216–7224. [Google Scholar] [CrossRef] [PubMed]
- Jones, P.; Maragó, O.; Volpe, G. Optical Tweezers: Principles and Applications, 1st ed.; Cambridge University Press: Cambridge, UK, 2015. [Google Scholar]
- Ashkin, A. Forces of a single-beam gradient laser trap on a dielectric sphere in the ray optics regime. Biophys. J. 1992, 61, 569–582. [Google Scholar] [CrossRef]
- Rocha, M.S. Optical tweezers for undergraduates: Theoretical analysis and experiments. Am. J. Phys. 2009, 77, 704–712. [Google Scholar] [CrossRef]
- Viana, N.B.; Rocha, M.S.; Mesquita, O.N.; Mazolli, A.; Neto, P.A.M. Characterization of objective transmittance for optical tweezers. Appl. Opt. 2006, 45, 4263–4269. [Google Scholar] [CrossRef] [PubMed]
- Viana, N.B.; Mesquita, O.N.; Mazolli, A. In situ measurement of laser power at the focus of a high numerical aperture objective using a microbolometer. Appl. Phys. Lett. 2002, 81, 1765–1767. [Google Scholar] [CrossRef]
- Viana, N.B.; Rocha, M.S.; Mesquita, O.N.; Mazolli, A.; Neto, P.A.M.; Nussenzveig, H.M. Towards absolute calibration of optical tweezers. Phys. Rev. E 2007, 75, 021914. [Google Scholar] [CrossRef] [PubMed]
- Duocastella, M.; Arnold, C.B. Bessel and annular beams for materials processing. Laser Photonics Rev. 2012, 6, 607–621. [Google Scholar] [CrossRef]







© 2018 by the authors. Licensee MDPI, Basel, Switzerland. This article is an open access article distributed under the terms and conditions of the Creative Commons Attribution (CC BY) license (http://creativecommons.org/licenses/by/4.0/).
Share and Cite
Oliveira, L.; Campos, W.H.; Rocha, M.S. Optical Trapping and Manipulation of Superparamagnetic Beads Using Annular-Shaped Beams. Methods Protoc. 2018, 1, 44. https://doi.org/10.3390/mps1040044
Oliveira L, Campos WH, Rocha MS. Optical Trapping and Manipulation of Superparamagnetic Beads Using Annular-Shaped Beams. Methods and Protocols. 2018; 1(4):44. https://doi.org/10.3390/mps1040044
Chicago/Turabian StyleOliveira, Leandro, Warlley H. Campos, and Marcio S. Rocha. 2018. "Optical Trapping and Manipulation of Superparamagnetic Beads Using Annular-Shaped Beams" Methods and Protocols 1, no. 4: 44. https://doi.org/10.3390/mps1040044
APA StyleOliveira, L., Campos, W. H., & Rocha, M. S. (2018). Optical Trapping and Manipulation of Superparamagnetic Beads Using Annular-Shaped Beams. Methods and Protocols, 1(4), 44. https://doi.org/10.3390/mps1040044

