Distributed Energy Storage Configuration Method for AC/DC Hybrid Distribution Network Based on Bi-Level Optimization
Abstract
1. Introduction
2. Materials and Methods
2.1. ESS, VSC, and PV Uncertainty Models
2.1.1. ESS Model
2.1.2. VSC Model
2.1.3. PV Uncertainty Model
2.2. Case Description
2.3. Bi-Level Optimal Configuration Model of ESS in AC/DC Hybrid Distribution Network
2.3.1. Upper-Level Objective Function
2.3.2. Upper-Level Constraints
2.3.3. Lower-Level Objective Function
2.3.4. Lower-Level Constraints
2.4. Convexity Transformation Method
2.5. Solving Steps
3. Results and Discussion
3.1. Analysis of ESS Capacity and Location Impacts on Key Cost Items
- Scenario (1): Optimal configuration of the ESS.
- Scenario (2): Optimal configuration of the ESS with different capacities at the same site.
- Scenario (3): Optimized configuration of the ESS at different sites.
- Scenario (4): Optimized configuration of the ESS at different capacities and different sites.
3.2. Analysis of Economically Optimal Configuration of ESS Under Different Control Modes
- Scenario (1): The VSC control mode is constant power, and the ESS is optimized.
- Scenario (2): The VSC control mode is constant voltage, and the ESS is optimized.
- Scenario (3): The VSC control mode is droop control, and the ESS is optimized.
3.3. Analysis of ESS-Induced Voltage Quality Improvement Under Different Control Modes
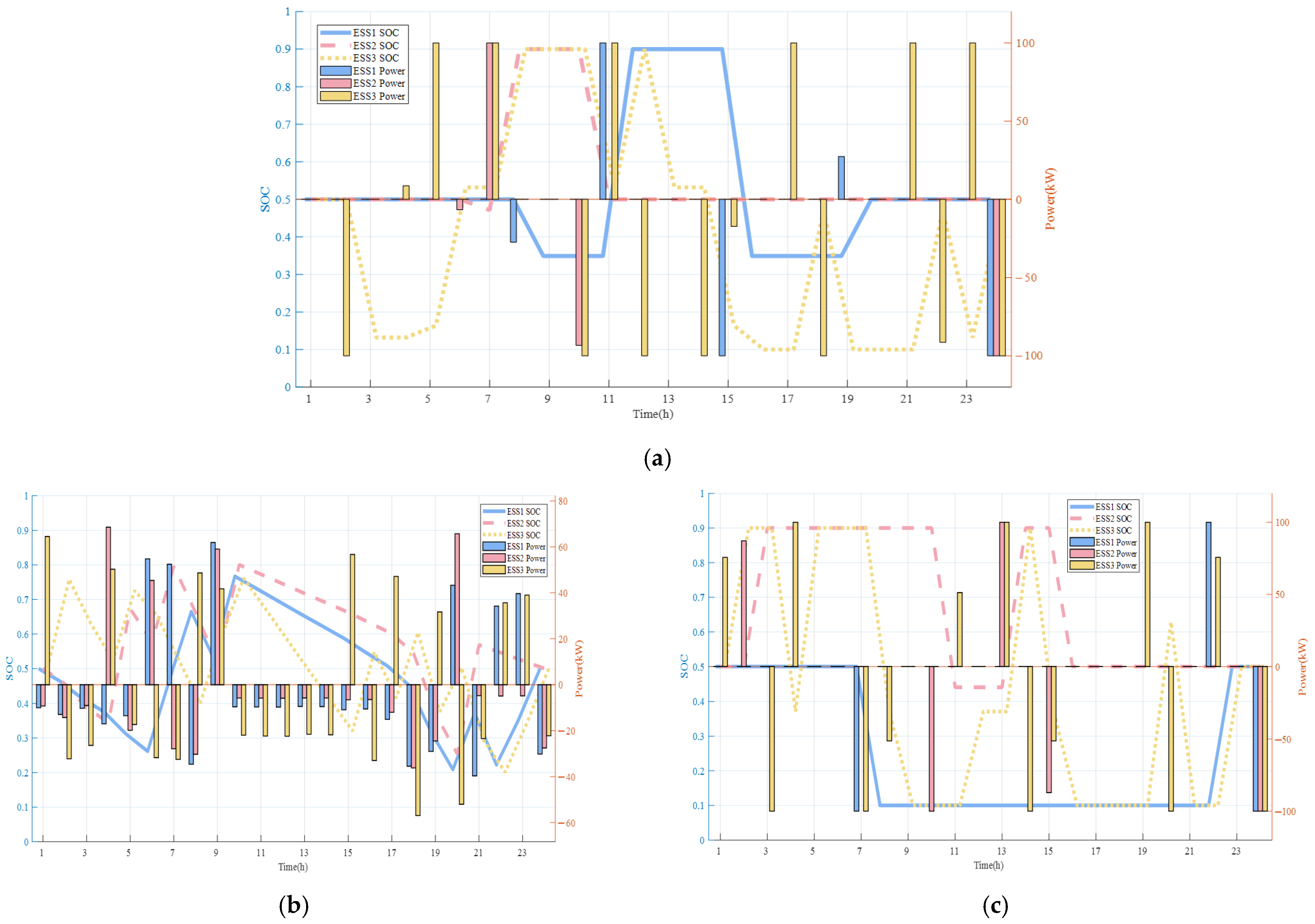
3.4. Analysis of ESS Energy Variation and System Power Balance Under Different Control Modes
3.5. Sensitivity Analysis of Objective Function to ESS Parameters
3.6. Analysis of Uncertainty Scenarios in AC/DC Hybrid Distribution Network ESS Configuration
3.7. Analysis of Seasonal Scenarios in AC/DC Hybrid Distribution Network ESS Configuration
3.8. Analysis of Algorithm Convergence and Computational Efficiency
4. Conclusions
Author Contributions
Funding
Data Availability Statement
Conflicts of Interest
Abbreviations
| The SOC of the ESS at time t | |
| The rated capacity of the ESS | |
| The charge–discharge efficiency of the ESS | |
| The charge–discharge power of the ESS at time t | |
| The time interval | |
| The rated power capacity of the N-th ESS | |
| The lower limit of the SOC of the ESS | |
| The upper limit of the SOC of the ESS | |
| The initial SOC value of the ESS | |
| The SOC value of the ESS at the final time step | |
| The average SOC of the ESS | |
| The active power input to the AC-side VSC at time t | |
| The reactive power input to the AC-side VSC at time t | |
| The active power output on the DC side | |
| The equivalent branch resistance of the VSC | |
| The equivalent branch reactance of the VSC | |
| The internal reactive power equivalent to VSC | |
| The internal voltage of the VSC | |
| The DC-side voltage | |
| The DC voltage utilization factor | |
| M | The modulation degree of the VSC |
| The reference values of DC voltage | |
| The reference values of DC power | |
| The droop coefficient | |
| The number of typical scenarios derived via data reduction | |
| The probability set corresponding to the reduced typical PV scenarios | |
| The occurrence probability of the k-th typical PV scenario | |
| ESS investment cost | |
| Line loss cost | |
| Main network electricity purchase cost | |
| Overall bus voltage deviation | |
| The scale coefficient of dimensional unified conversion | |
| The actual number of installed ESSs | |
| The annual interest rate | |
| y | The operational lifespan of the ESSs |
| Discount rate | |
| The unit power cost of the ESS | |
| The unit capacity cost of the ESS | |
| The rated energy capacity of the N-th ESS | |
| The active power loss of the j-th branch at time t | |
| The cost of unit line loss | |
| The electricity purchase cost when the ESS is not connected | |
| The total load of the system at time t when the ESS is not connected | |
| Peak-valley unit electricity price | |
| ESS participation in the regulation of the main network electricity purchase cost | |
| The voltage of the i-th bus at time t | |
| The rated value of bus voltage during the investigation period | |
| The number of system buses | |
| The number of days in a year | |
| The proportional conversion coefficient of active power loss and bus voltage deviation | |
| The active power injected into bus m | |
| The reactive power injected into bus m | |
| The resistance between bus m-1 and bus m | |
| The reactance between bus m-1 and bus m | |
| The active loads of the buses | |
| The reactive loads of the buses | |
| The bus voltage | |
| A binary decision variable, where 1 means that the bus is connected to ESS, and vice versa is 0. | |
| The lower limit of the bus voltage amplitude in the t period | |
| The upper limit of the bus voltage amplitude in the t period | |
| The lower bounds of the allowable installed power capacity for the ESS | |
| The upper bounds of the allowable installed power capacity for the ESS | |
| The number of ESSs connected to the system | |
| T | The duration of a day |
| The total active load after the system is connected to the ESS at time t | |
| The average active load during a day | |
| The active load when the system is not connected to the ESS at time t | |
| The set of all the tail buses of the first bus | |
| The set of all the first buses of the tail bus | |
| The active power flowing from bus to the connected bus k | |
| The reactive power flowing from bus to the connected bus k | |
| The reactive power flowing through branch | |
| The reactive power flowing through branch | |
| The current of branch | |
| The resistance of branch | |
| The reactance of branch | |
| The voltage amplitude of bus | |
| The voltage amplitude of bus | |
| The active power of the injected bus | |
| The reactive power of the injected bus | |
| The active load of bus | |
| The reactive load of bus | |
| The set of AC nodes | |
| The set of AC branches | |
| The set of DC nodes | |
| The set of DC branches | |
| The voltage phase angle of bus | |
| The lower limit of the current amplitude of branch | |
| The upper limit of the current amplitude of branch | |
| The lower bound constraint of the bus voltage amplitude | |
| The upper bound constraint of the bus voltage amplitude | |
| The active output power of PV in the t-th time period | |
| The reactive output power of PV in the t-th time period | |
| The predicted active output power of PV | |
| The predicted reactive output power of PV |
References
- Luo, J.; Liu, L.; Liu, P.; Ye, R.; Qin, P. An optimal scheduling method for active distribution network considering source network load storage coordination. Power Syst. Prot. Control. 2022, 50, 167–173. [Google Scholar]
- Huang, J.; Teng, X.; Hu, Q.; Guo, S.; Boland, J. Dynamic Energy Storage Capacity Optimization Based on Ultra-Short-Term Prediction in Grid-Connected PV System. Renew. Energy 2025, 253, 123644. [Google Scholar] [CrossRef]
- Li, H.; Chen, Q.; Zhang, T.; Liu, X.; Liu, X.; Dai, Y.; Guan, B. Can distributed photovoltaic-battery systems power buildings with favorable matching performance and techno-economic feasibility? Energy Convers. Manag. 2024, 306, 118260. [Google Scholar] [CrossRef]
- Chatzigeorgiou, N.G.; Theocharides, S.; Makrides, G.; Georghiou, G.E. A review on battery energy storage systems: Applications, developments, and research trends of hybrid installations in the end-user sector. J. Energy Storage 2024, 86, 111192. [Google Scholar] [CrossRef]
- Xu, X.F.; Wang, K.; Ma, W.H.; Wu, C.L.; Huang, X.R.; Ma, Z.X.; Li, Z.H. Multi-objective particle swarm optimization algorithm based on multi-strategy improvement for hybrid energy storage optimization configuration. Renew. Energy 2024, 223, 120086. [Google Scholar] [CrossRef]
- Yang, L.; Teh, J.; Alharbi, B. Optimizing distributed generation and energy storage in distribution networks: Harnessing metaheuristic algorithms with dynamic thermal rating technology. J. Energy Storage 2024, 91, 111989. [Google Scholar] [CrossRef]
- Wei, Y.; Zhao, B.; Hu, J.; Xiao, X.; Shi, M.; Zhou, Q. A two-layer planning method for distributed energy storage with multi-point layout in high photovoltaic penetration distribution network. J. Electr. Eng. Technol. 2025, 20, 1–12. [Google Scholar] [CrossRef]
- Zhang, J.; Zhu, L.; Zhao, S.; Yan, J.; Lv, L. Optimal Configuration of Energy Storage Systems in High PV Penetrating Distribution Network. Energies 2023, 16, 2168. [Google Scholar] [CrossRef]
- Gao, B.; Du, Q.; Zhan, G.; Han, J. A Bi-Level Optimization Scheme for Energy Storage Configuration in High PV-Penetrated Distribution Networks Based on Improved Voltage Sensitivity Strategy. Energies 2025, 18, 1908. [Google Scholar] [CrossRef]
- Zhang, S.; Yan, J.; Xie, P.; Zhai, P.; Tao, Y. Power System Loss Reduction Strategy Considering Security Constraints Based on Improved Particle Swarm Algorithm and Coordinated Dispatch of Source–Grid–Load–Storage. Processes 2025, 13, 831. [Google Scholar] [CrossRef]
- Wang, S.; Jiang, X.; Zhao, Q.; Liu, Q.; Lin, Z.; Zhao, G. Unified load flow calculation for flexible interconnected AC-MTDC distribution system considering control strategy switching with high penetration of DGs. Int. J. Electr. Power Energy Syst. 2021, 131, 107130. [Google Scholar] [CrossRef]
- Jiang, X.; Wang, S.; Zhao, Q.; Wang, X. Exploiting the operational flexibility of AC-MTDC distribution system considering various flexible resources. Int. J. Electr. Power Energy Syst. 2023, 148, 108842. [Google Scholar] [CrossRef]
- Tang, X.; Qin, L.; Yang, Z.; He, X.; Min, H.; Zhou, S.; Liu, K. Optimal scheduling of AC–DC hybrid distribution network considering the control mode of a converter station. Sustainability 2023, 15, 8715. [Google Scholar] [CrossRef]
- Zhang, Z.; Lei, D.; Jiang, C.; Luo, J.; Xu, Y.; Li, J. A bi-level planning model and its solution method of AC/DC hybrid distribution network based on second-order cone programming and NNC method. Proc. CSEE 2023, 43, 70–85. [Google Scholar]
- IEEE. IEEE 33-Node Radial Distribution Test System; Institute of Electrical and Electronics Engineers (IEEE): New York, NY, USA, 1991; Available online: https://www.torontomu.ca/content/dam/cue/research/reports/33bus%20test%20system.pdf (accessed on 21 December 2025).
- Wang, L.; Zhao, Q.; Wang, S.; Jiang, X. Enhancing flexibility evaluation in AC/DC distribution systems for sustainable energy integration. Front. Energy Res. 2024, 12, 1423189. [Google Scholar] [CrossRef]
- Javid, Z.; Xue, T.; Karaagac, U.; Kocar, I. Unified power flow solver for hybrid AC/DC distribution networks. IEEE Trans. Power Deliv. 2023, 38, 3322–3332. [Google Scholar] [CrossRef]
- Lee, K.M.; Park, C.W. Modified power flow algorithm of AC/DC power network. J. Electr. Eng. Technol. 2023, 18, 3993–3999. [Google Scholar] [CrossRef]
- Abdelwanis, M.I.; Elmezain, M.I. A comprehensive review of hybrid AC/DC networks: Insights into system planning, energy management, control, and protection. Neural Comput. Appl. 2024, 36, 17961–17977. [Google Scholar] [CrossRef]
- Chen, H.; Liu, L.; Jiang, T.; Li, X.; Zhang, R.; Li, G. Optimal economic configuration of distributed energy storage systems for improving voltage quality in distribution network. Power Syst. Technol. 2018, 42, 2127–2135. [Google Scholar]
- Wang, J.; Huang, L.; Yang, Y. Optimal dispatch of microgrid based on multi-objective particle swarm optimization. Power Syst. Clean Energy 2014, 30, 49–54. [Google Scholar]
- Zhao, H.; Wu, Q.; Hu, S.; Xu, H.; Rasmussen, C.N. Review of energy storage system for wind power integration support. Appl. Energy 2015, 137, 545–553. [Google Scholar] [CrossRef]
- Zulpo, R.S.; Leborgne, R.C.; Bretas, A.S. Optimal siting and sizing of distributed generation through power losses and voltage deviation. In Proceedings of the 2014 16th International Conference on Harmonics and Quality of Power (ICHQP), Bucharest, Romania, 25–28 May 2014; IEEE: New York, NY, USA, 2014; pp. 871–875. [Google Scholar]












| Scenario | Planning Bus | Planning Capacity (kWh) | Main Network Electricity Purchase Cost (CNY/Day) | Line Loss Cost (CNY/Day) | Bus Voltage Deviation Cost (CNY/Day) | ESS Investment Cost (CNY/Day) | Total Cost (CNY/Day) |
|---|---|---|---|---|---|---|---|
| 1 | 7 | 163 | 30,316 | 473 | 3415 | 735 | 34,939 |
| 15 | 210 | ||||||
| 28 | 244 | ||||||
| 2 | 7 | 240 | 33,203 | 835 | 2097 | 772 | 36,907 |
| 15 | 200 | ||||||
| 28 | 180 | ||||||
| 3 | 3 | 163 | 32,617 | 834 | 2107 | 985 | 36,543 |
| 23 | 210 | ||||||
| 25 | 244 | ||||||
| 4 | 5 | 240 | 33,458 | 834 | 2113 | 685 | 37,091 |
| 22 | 176 | ||||||
| 27 | 160 |
| Scenario | Planning Bus | Planning Capacity (kWh) | Planning Power (kW) | Main Network Electricity Purchase Cost (CNY/Day) | Line Loss Cost (CNY/Day) | Bus Voltage Deviation Cost (CNY/Day) | ESS Investment Cost (CNY/Day) | Total Cost (CNY/Day) |
|---|---|---|---|---|---|---|---|---|
| 1 | 7 | 163 | 100 | 30,316 | 473 | 3415 | 735 | 34,939 |
| 15 | 210 | 100 | ||||||
| 28 | 244 | 100 | ||||||
| 2 | 5 | 239 | 61 | 32,450 | 826 | 1836 | 855 | 35,968 |
| 19 | 188 | 68 | ||||||
| 31 | 224 | 64 | ||||||
| 3 | 10 | 225 | 100 | 30,259 | 400 | 2710 | 703 | 34,074 |
| 19 | 196 | 100 | ||||||
| 29 | 170 | 100 |
| Scenario | Maximum Voltage (p.u.) | Minimum Voltage (p.u.) | Average Voltage (p.u.) | Range of Voltage (p.u.) | Voltage Deviation (p.u.) |
|---|---|---|---|---|---|
| 1 | 1.0489 | 0.95 | 1.002 | 0.95–1.0489 | 2.0633 |
| 2 | 1.0487 | 0.9773 | 1.0161 | 0.9773–1.0487 | 1.0659 |
| 3 | 1.0498 | 0.9731 | 1.0098 | 0.9731–1.0498 | 1.6181 |
| Scenario | Planning Bus | Planning Capacity (kWh) | Planning Power (kW) | Main Network Electricity Purchase Cost (CNY/Day) | Line Loss Cost (CNY/Day) | Bus Voltage Deviation Cost (CNY/Day) | ESS Investment Cost (CNY/Day) | Total Cost (CNY/Day) |
|---|---|---|---|---|---|---|---|---|
| 1 | 7 | 176 | 100 | 30,018 | 655 | 3441 | 701 | 34,816 |
| 23 | 167 | 100 | ||||||
| 33 | 245 | 100 | ||||||
| 2 | 7 | 211 | 82 | 32,329 | 833 | 2000 | 975 | 36,139 |
| 18 | 210 | 75 | ||||||
| 32 | 185 | 72 | ||||||
| 3 | 7 | 212 | 72 | 32,748 | 833 | 1995 | 770 | 36,348 |
| 18 | 209 | 82 | ||||||
| 32 | 184 | 68 | ||||||
| 4 | 7 | 161 | 71 | 32,804 | 835 | 2128 | 780 | 36,549 |
| 15 | 209 | 80 | ||||||
| 28 | 244 | 56 | ||||||
| 5 | 3 | 158 | 72 | 32,421 | 820 | 2208 | 780 | 36,231 |
| 14 | 242 | 82 | ||||||
| 31 | 202 | 76 |
| Scenario | Planning Bus | Planning Capacity (kWh) | Planning Power (kW) | Main Network Electricity Purchase Cost (CNY/Day) | Line Loss Cost (CNY/Day) | Bus Voltage Deviation Cost (CNY/Day) | ESS Investment Cost (CNY/Day) | Total Cost (CNY/Day) |
|---|---|---|---|---|---|---|---|---|
| 1 | 11 | 230 | 95 | 38,789 | 991 | 1982 | 758 | 42,522 |
| 14 | 213 | 84 | ||||||
| 32 | 163 | 64 | ||||||
| 2 | 7 | 154 | 80 | 36,321 | 932 | 2019 | 756 | 40,030 |
| 22 | 249 | 81 | ||||||
| 29 | 188 | 60 |
| Scenario | Computational Efficiency (Seconds) |
|---|---|
| 1 | 164,153 |
| 2 | 181,849 |
| 3 | 182,612 |
Disclaimer/Publisher’s Note: The statements, opinions and data contained in all publications are solely those of the individual author(s) and contributor(s) and not of MDPI and/or the editor(s). MDPI and/or the editor(s) disclaim responsibility for any injury to people or property resulting from any ideas, methods, instructions or products referred to in the content. |
© 2025 by the authors. Licensee MDPI, Basel, Switzerland. This article is an open access article distributed under the terms and conditions of the Creative Commons Attribution (CC BY) license.
Share and Cite
Zhao, J.; Wang, J.; Gao, M.; Sun, Y.; Li, Y.; Wang, Z.; Zhao, X. Distributed Energy Storage Configuration Method for AC/DC Hybrid Distribution Network Based on Bi-Level Optimization. Batteries 2026, 12, 9. https://doi.org/10.3390/batteries12010009
Zhao J, Wang J, Gao M, Sun Y, Li Y, Wang Z, Zhao X. Distributed Energy Storage Configuration Method for AC/DC Hybrid Distribution Network Based on Bi-Level Optimization. Batteries. 2026; 12(1):9. https://doi.org/10.3390/batteries12010009
Chicago/Turabian StyleZhao, Jianjun, Jianqi Wang, Mengke Gao, Yinfeng Sun, Yang Li, Zhenhao Wang, and Xu Zhao. 2026. "Distributed Energy Storage Configuration Method for AC/DC Hybrid Distribution Network Based on Bi-Level Optimization" Batteries 12, no. 1: 9. https://doi.org/10.3390/batteries12010009
APA StyleZhao, J., Wang, J., Gao, M., Sun, Y., Li, Y., Wang, Z., & Zhao, X. (2026). Distributed Energy Storage Configuration Method for AC/DC Hybrid Distribution Network Based on Bi-Level Optimization. Batteries, 12(1), 9. https://doi.org/10.3390/batteries12010009

