Suitability of Co-Composted Biochar with Spent Coffee Grounds Substrate for Tomato (Solanum lycopersicum) Fruiting Stage
Abstract
1. Introduction
2. Materials and Methods
2.1. Composting and Growing Media Preparation
2.2. Growing Experiments and Monitoring
2.3. Physical and Chemical Analysis of Substrates and Plants
2.4. Statistical Analysis
3. Results and Discussion
3.1. General Characteristics of the Produced Composts
3.2. Germination and Seedling Development Phases
3.3. Plant Development
3.4. Macronutrient Contents in Plant Biomass and Growing Media
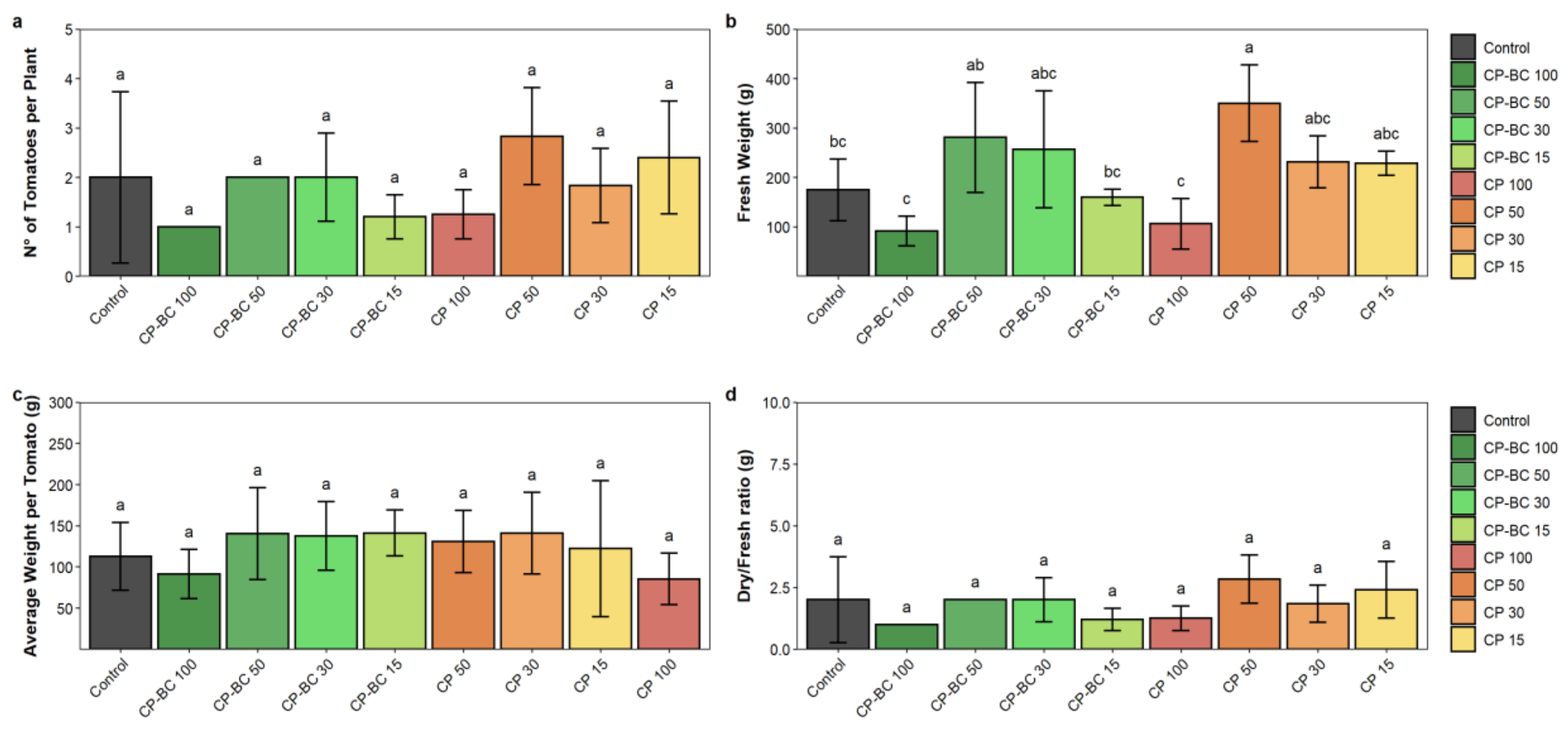
3.5. Fruit Production
4. Conclusions
Author Contributions
Funding
Data Availability Statement
Acknowledgments
Conflicts of Interest
Appendix A
| Experiment | N | P | K | ||||
| (g kg−1) | (g kg−1) | (g kg−1) | |||||
| Biomass | Above | Below | Above | Below | Above | Below | |
| Seedlings | Control | 8.0 ± 0.1 e | 10.0 ± 0.7 e | 4.1 | 3.8 | 19.5 | 21.3 |
| CP-BC 100 | 18.8 ± 0.2 a | 19.2 ± 1.02 b,c | 6.9 | 2.8 | 41.3 | 14.6 | |
| CP- BC 50 | 13.4 ± 0.2 c | 19.4 ± 0.4 a,b,c | 8.9 | 8.8 | 33.9 | 23.3 | |
| CP-BC 30 | 14.9 ± 0.5 b | 20.9 ± 0.6 a | 13.6 | 7.7 | 18.4 | 30.5 | |
| CP-BC 15 | 11.6 ± 0.04 e | 17.4 ± 0.1 d | 9.2 | 10.0 | 27.5 | 18.4 | |
| CP 100 | - | - | - | - | - | - | |
| CP 50 | 12.2 ± 0.3 de | 21.0 ± 0.4 a | 9.4 | 7.7 | 35.4 | 25.7 | |
| CP 30 | 12.4 ± 0.1 d | 20.4 ± 0.3 a,b | 9.0 | 10.2 | 29.0 | 19.9 | |
| CP 15 | 11.9 ± 0.03 d,e | 18.01 ± 0.4 c,d | 9.5 | 8.0 | 26.7 | 10.4 | |
| Plants | Control | 11.4 ± 0.9 c,d | 11.0 ± 0.4 c | 3.8 ± 0.5 c,d | 2.1 ± 0.2 d | 12.4 ± 1.3 f | 4.4 ± 0.7 f |
| CP-BC 100 | 15.0 ± 1.7 b | 14.8 ± 1.4 b | 4.4 ± 0.6 b,c | 2.9 ± 0.4 b,c | 33.0 ± 3 a,b | 24.1 ± 8.1 a,b | |
| CP- BC 50 | 12.8 ± 1.4 b,c,d | 11.7 ± 0.7 c | 3.2 ± 0.2 d | 2.2 ± 0.2 d | 25.0 ± 3 c,d | 15.5 ± 1.3 c,d | |
| CP-BC 30 | 11.5 ± 0.5 d | 11.2 ± 1.3 c | 4.5 ± 0.6 b,c | 3.4 ± 0.2 b | 23.7 ± 2.3 c,d | 13.2 ± 2.7 d,e | |
| CP-BC 15 | 11.0 ± 1.2 d | 11.03 ± 0.7 c | 4.5 ± 0.7 b,c | 3.1 ± 0.2 b,c | 18.5 ± 4.03 d,e,f | 8.8 ± 1.1 d,e,f | |
| CP 100 | 22.3 ± 0.4 a | 22.4 ± 1.8 a | 8.3 ± 0.8 a | 4.2 ± 0.6 a | 36.4 ± 4.8 a | 31.1 ± 6 a | |
| CP 50 | 14.4 ± 3.3 b,c | 14.2 ± 1.5 b | 5.3 ± 0.8 b | 2.5 ± 0.7 c,d | 26.8 ± 5.8 b,c | 20.8 ± 1 b,c | |
| CP 30 | 12.8 ± 1.1 b,c,d | 12.5 ± 1.4 b,c | 5.0 ± 0.3 b,c | 2.9 ± 0.2 b,c | 23.3 ± 2.7 c,d,e | 10.7 ± 2.9 d,e,f | |
| CP 15 | 11.0 ± 1.3 d | 10.7 ± 0.7 c | 4.5 ± 0.7 b,c | 3.3 ± 0.1 b,c | 16.3 ± 3 f | 7.4 ± 0.7 e,f | |
| Experiment | N | P | K | ||||
| (g kg−1) | (g kg−1) | (g kg−1) | |||||
| Sampling | Initial | Final | Initial | Final | Initial | Final | |
| Seedlings | Control | 12 ± 0.1 d | 17.9 ± 0.5 c | 0.4 | 0.3 ± 0.01 e | 3.3 | 0.9 ± 0.3 f |
| CP-BC 100 | 22.5 ± 0.2 b,c | 24.3 ± 3.7 a,b | 1.6 | 1.5 ± 0.04 a | 7.2 | 6.7 ± 0.5 a | |
| CP- BC 50 | 16.8 ± 0.3 c,d | 19.5 ± 1.5 c | 1.0 | 1.1 ± 0.1 b | 8.4 | 4.1 ± 0.5 b,c | |
| CP-BC 30 | 20.9 ± 1.4 b,c | 19.8 ± 0.8 c | 0.9 | 0.8 ± 0.03 c | 3.5 | 3.5 ± 0.3 c,d | |
| CP-BC 15 | 20.1 ± 0.4 b,c | 18.7 ± 0.8 c | 0.7 | 0.7 ± 0.05 c | 2.1 | 2.5 ± 0.2 e | |
| CP 100 | 36.9 ± 7.3 a | - | 2.7 | - | 11.0 | - | |
| CP 50 | 27.3 ± 0.7 b | 29.02 ± 3.5 a | 1.7 | 1.0 ± 0.04 b | 12.0 | 4.4 ± 0.3 b | |
| CP 30 | 19.0 ± 0.6 c | 27.4 ± 2.5 a | 1.2 | 0.8 ± 0.05 c | 8.2 | 3.2 ± 0.3 c | |
| CP 15 | 20.7 ± 0.9 b,c | 28.3 ± 0.9 a | 0.7 | 0.6 ± 0.01 d | 2.1 | 2.0 ± 0.3 d | |
| Plants | Control | 12 ± 0.1 d | 16.6 ± 0.5 e | 0.4 | 0.3 ± 0.03 f | 3.3 | 1.54 ± 0.6 e |
| CP-BC 100 | 22.5 ± 0.2 b,c | 21.5 ± 4.1 a,b | 1.6 | 1.4 ± 0.2 b | 7.2 | 4.5 ± 1 b,c | |
| CP- BC 50 | 16.8 ± 0.3 c,d | 15.0 ± 0.8 d,e | 1.0 | 0.7 ± 0.1 c,d | 8.4 | 7.7 ± 0.8 a | |
| CP-BC 30 | 20.9 ± 1.4 b,c | 20.1 ± 1.1 b,c | 0.9 | 0.5 ± 0.05 e,f | 3.5 | 2.8 ± 1 c,d,e | |
| CP-BC 15 | 20.1 ± 0.4 b,c | 18.8 ± 0.4 e | 0.7 | 0.4 ± 0.03 e,f | 2.1 | 1.07 ± 0.12 d,e | |
| CP 100 | 36.9 ± 7.3 a | 34.0 ± 8.3 a | 2.7 | 2.1 ± 0.4 a | 11.0 | 5.5 ± 2.3 b | |
| CP 50 | 27.3 ± 0.7 b | 24.0 ± 2.0 b | 1.7 | 1.0 ± 0.1 c | 12.0 | 3.1 ± 0.4 c,d | |
| CP 30 | 19.0 ± 0.6 c | 19.8 ± 2.6 b,c,d | 1.2 | 0.7 ± 0.1 d,e | 8.2 | 2.8 ± 0.7 c,d,e | |
| CP 15 | 20.7 ± 0.9 b,c | 20.8 ± 1.1 b,c,d | 0.7 | 0.4 ± 0.03 e,f | 2.1 | 1.0 ± 0.4 e | |
References
- Gruda, N. Current and future perspective of growing media in Europe. Acta Hortic. 2012, 960, 37–43. [Google Scholar] [CrossRef]
- Leiber-Sauheitl, K.; Bohne, H.; Böttcher, J. First Steps toward a Test Procedure to Identify Peat Substitutes for Growing Media by Means of Chemical, Physical, and Biological Material Characteristics. Horticulturae 2021, 7, 164. [Google Scholar] [CrossRef]
- Gruda, N.S. Increasing Sustainability of Growing Media Constituents and Stand-Alone Substrates in Soilless Culture Systems. Agronomy 2019, 9, 298. [Google Scholar] [CrossRef]
- Freeman, B.W.J.; Evans, C.D.; Musarika, S.; Morrison, R.; Newman, T.R.; Page, S.E.; Wiggs, G.F.S.; Bell, N.G.A.; Styles, D.; Wen, Y.; et al. Responsible agriculture must adapt to the wetland character of mid-latitude peatlands. Glob. Chang. Biol. 2022, 28, 3795–3811. [Google Scholar] [CrossRef] [PubMed]
- Kern, J.; Tammeorg, P.; Shanskiy, M.; Sakrabani, R.; Knicker, H.; Kammann, C.; Tuhkanen, E.M.; Smidt, G.; Prasad, M.; Tiilikkala, K.; et al. Synergistic Use of Peat and Charred Material in Growing Media—An Option to Reduce the Pressure on Peatlands? J. Environ. Eng. Landsc. Manag. 2017, 25, 160–174. [Google Scholar] [CrossRef]
- Farrell, M.; Jones, D. Food waste composting: Its use as a peat replacement. Waste Manag. 2010, 30, 1495–1501. [Google Scholar] [CrossRef]
- Raviv, M. Composts in Growing Media: Feedstocks, Composting Methods and Potential Applications. Acta Hortic. 2014, 1018, 513–524. [Google Scholar] [CrossRef]
- Stylianou, M.; Agapiou, A.; Omirou, M.; Vyrides, I.; Ioannides, I.M.; Maratheftis, G.; Fasoula, D. Converting environmental risks to benefits by using spent coffee grounds (SCG) as a valuable resource. Environ. Sci. Pollut. Res. 2018, 25, 35776–35790. [Google Scholar] [CrossRef]
- FAOSTAT. Available online: https://www.fao.org/faostat/en/#data (accessed on 29 November 2022).
- Janissen, B.; Huynh, T. Chemical composition and value-adding applications of coffee industry by-products: A review. Resour. Conserv. Recycl. 2017, 128, 110–117. [Google Scholar] [CrossRef]
- Mead, M.N. Urban Issues: The Sprawl of Food Deserts. Environ. Health Perspect. 2008, 116, A335. [Google Scholar] [CrossRef]
- Ghoreishy, F.; Ghehsareh, A.M.; Fallahzade, J. Using composted wheat residue as a growth medium in culture of tomato. J. Plant Nutr. 2018, 41, 766–773. [Google Scholar] [CrossRef]
- Ronga, D.; Pane, C.; Zaccardelli, M.; Pecchioni, N. Use of Spent Coffee Ground Compost in Peat-Based Growing Media for the Production of Basil and Tomato Potting Plants. Commun. Soil Sci. Plant Anal. 2016, 47, 356–368. [Google Scholar] [CrossRef]
- Hachicha, R.; Rekik, O.; Hachicha, S.; Ferchichi, M.; Woodward, S.; Moncef, N.; Cegarra, J.; Mechichi, T. Co-composting of spent coffee ground with olive mill wastewater sludge and poultry manure and effect of Trametes versicolor inoculation on the compost maturity. Chemosphere 2012, 88, 677–682. [Google Scholar] [CrossRef]
- European Commission. Circular Economy Action Plan; Publications Office of the European Union: Luxembourg, 2020; 28p. [Google Scholar] [CrossRef]
- Ballesteros, L.F.; Teixeira, J.A.; Mussatto, S.I. Chemical, Functional, and Structural Properties of Spent Coffee Grounds and Coffee Silverskin. Food Bioprocess Technol. 2014, 7, 3493–3503. [Google Scholar] [CrossRef]
- Jindo, K.; Sánchez-Monedero, M.A.; Mastrolonardo, G.; Audette, Y.; Higashikawa, F.S.; Silva, C.A.; Akashi, K.; Mondini, C. Role of Biochar in Promoting Circular Economy in the Agriculture Sector. Part 2: A Review of the Biochar Roles in Growing Media, Composting and as Soil Amendment. Chem. Biol. Technol. Agric. 2020, 7, 16. [Google Scholar] [CrossRef]
- Nocentini, M.; Panettieri, M.; Barragán, J.M.G.D.C.; Mastrolonardo, G.; Knicker, H. Recycling pyrolyzed organic waste from plant nurseries, rice production and shrimp industry as peat substitute in potting substrates. J. Environ. Manag. 2021, 277, 111436. [Google Scholar] [CrossRef]
- Huang, L.; Gu, M. Effects of Biochar on Container Substrate Properties and Growth of Plants—A Review. Horticulturae 2019, 5, 14. [Google Scholar] [CrossRef]
- Sanchez-Monedero, M.; Cayuela, M.; Roig, A.; Jindo, K.; Mondini, C.; Bolan, N. Role of biochar as an additive in organic waste composting. Bioresour. Technol. 2018, 247, 1155–1164. [Google Scholar] [CrossRef]
- Godlewska, P.; Schmidt, H.P.; Ok, Y.S.; Oleszczuk, P. Biochar for composting improvement and contaminants reduction. A review. Bioresour. Technol. 2017, 246, 193–202. [Google Scholar] [CrossRef]
- Goñi-Urtiaga, A.; Courtier-Murias, D.; Picca, G.; Valentín, J.L.; Plaza, C.; Panettieri, M. Response of water-biochar interactions to physical and biochemical aging. Chemosphere 2022, 307, 136071. [Google Scholar] [CrossRef]
- Kammann, C.I.; Schmidt, H.-P.; Messerschmidt, N.; Linsel, S.; Steffens, D.; Müller, C.; Koyro, H.-W.; Conte, P.; Joseph, S. Plant growth improvement mediated by nitrate capture in co-composted biochar. Sci. Rep. 2015, 5, 11080. [Google Scholar] [CrossRef] [PubMed]
- Zucconi, F.; Forte, M.; Monaco, A.; De Bertoldi, M. Biological Evaluation of Compost Maturity. Biocycle 1981, 22, 27–29. [Google Scholar]
- Picca, G.; Plaza, C.; Madejón, E.; Panettieri, M. Compositing of Coffee Silverskin with Carbon Rich Materials Leads to High Quality Soil Amendments. Waste Biomass Valor. 2022, 1–11. [Google Scholar] [CrossRef]
- Sánchez-Monedero, M.; Sánchez-García, M.; Pino, R.C.-D.; Fornes, F.; Belda, R.; Lidón, A.; Cayuela, M. Biochar as an additive in composting: Impact on process performance and on the agronomical quality of the end product. Acta Hortic. 2021, 1317, 175–187. [Google Scholar] [CrossRef]
- Leege, P.B. Introduction of Test Methods for the Examination of Composting and Compost. In Beneficial Co-Utilization of Agricultural, Municipal and Industrial By-Products; Springer: Dordrecht, The Netherlands, 1998; pp. 269–282. [Google Scholar] [CrossRef]
- Khan, N.; Clark, I.; Sánchez-Monedero, M.A.; Shea, S.; Meier, S.; Bolan, N. Maturity indices in co-composting of chicken manure and sawdust with biochar. Bioresour. Technol. 2014, 168, 245–251. [Google Scholar] [CrossRef]
- Nieto, A.; Gascó, G.; Paz-Ferreiro, J.; Fernández, J.; Plaza, C.; Méndez, A. The effect of pruning waste and biochar addition on brown peat based growing media properties. Sci. Hortic. 2016, 199, 142–148. [Google Scholar] [CrossRef]
- Yang, Y.; Guo, Y. Unraveling salt stress signaling in plants. J. Integr. Plant Biol. 2018, 60, 796–804. [Google Scholar] [CrossRef]
- Kumar, P.; Eid, E.M.; Taher, M.A.; El-Morsy, M.H.E.; Osman, H.E.M.; Al-Bakre, D.A.; Adelodun, B.; Fayssal, S.A.; Goala, M.; Mioč, B.; et al. Biotransforming the Spent Substrate of Shiitake Mushroom (Lentinula edodes Berk.): A Synergistic Approach to Biogas Production and Tomato (Solanum lycopersicum L.) Fertilization. Horticulturae 2022, 8, 479. [Google Scholar] [CrossRef]
- Herrera, F.; Castillo, J.E.; Chica, A.F.; Bellido, L.L. Use of municipal solid waste compost (MSWC) as a growing medium in the nursery production of tomato plants. Bioresour. Technol. 2008, 99, 287–296. [Google Scholar] [CrossRef]
- Huang, L.; Niu, G.; Feagley, S.E.; Gu, M. Evaluation of a hardwood biochar and two composts mixes as replacements for a peat-based commercial substrate. Ind. Crops Prod. 2018, 129, 549–560. [Google Scholar] [CrossRef]
- Gascó, G.; Cely, P.; Paz-Ferreiro, J.; Plaza, C.; Méndez, A. Relation between biochar properties and effects on seed germination and plant development. Biol. Agric. Hortic. 2016, 32, 237–247. [Google Scholar] [CrossRef]
- Sánchez-Monedero, M.A.; Roig, A.; Cegarra, J.; Bernal, M.P.; Noguera, P.; Abad, M.; Antón, A. Composts as Media Constit-uents for Vegetable Transplant Production. Compost Sci. Util. 2004, 12, 161–168. [Google Scholar] [CrossRef]
- Lazcano, C.; Arnold, J.; Tato, A.; Zaller, J.; Domínguez, J. Compost and vermicompost as nursery pot components: Effects on tomato plant growth and morphology. Span. J. Agric. Res. 2009, 7, 944–951. [Google Scholar] [CrossRef]
- Rombel, A.; Krasucka, P.; Oleszczuk, P. Sustainable biochar-based soil fertilizers and amendments as a new trend in biochar research. Sci. Total. Environ. 2022, 816, 151588. [Google Scholar] [CrossRef]
- Atzori, G.; Pane, C.; Zaccardelli, M.; Cacini, S.; Massa, D. The Role of Peat-Free Organic Substrates in the Sustainable Man-agement of Soilless Cultivations. Agronomy 2021, 11, 1236. [Google Scholar] [CrossRef]
- Römheld, V.; Kirkby, E.A. Research on potassium in agriculture: Needs and prospects. Plant Soil 2010, 335, 155–180. [Google Scholar] [CrossRef]
- Yang, Z.; Muhayodin, F.; Larsen, O.; Miao, H.; Xue, B.; Rotter, V. A Review of Composting Process Models of Organic Solid Waste with a Focus on the Fates of C, N, P, and K. Processes 2021, 9, 473. [Google Scholar] [CrossRef]
- Yan, Z.; Eziz, A.; Tian, D.; Li, X.; Hou, X.; Peng, H.; Han, W.; Guo, Y.; Fang, J. Biomass Allocation in Response to Nitrogen and Phosphorus Availability: Insight from Experimental Manipulations of Arabidopsis thaliana. Front. Plant Sci. 2019, 10, 598. [Google Scholar] [CrossRef]
- Grafmüller, J.; Schmidt, H.-P.; Kray, D.; Hagemann, N. Root-Zone Amendments of Biochar-Based Fertilizers: Yield Increases of White Cabbage in Temperate Climate. Horticulturae 2022, 8, 307. [Google Scholar] [CrossRef]
- Zawadzińska, A.; Salachna, P.; Nowak, J.S.; Kowalczyk, W.; Piechocki, R.; Łopusiewicz, Ł.; Pietrak, A. Compost Based on Pulp and Paper Mill Sludge, Fruit-Vegetable Waste, Mushroom Spent Substrate and Rye Straw Improves Yield and Nutritional Value of Tomato. Agronomy 2022, 12, 13. [Google Scholar] [CrossRef]
- Xiang, Y.; Deng, Q.; Duan, H.; Guo, Y. Effects of biochar application on root traits: A meta-analysis. GCB Bioenergy 2017, 9, 1563–1572. [Google Scholar] [CrossRef]
- Farhangi-Abriz, S.; Torabian, S. Biochar Increased Plant Growth-Promoting Hormones and Helped to Alleviates Salt Stress in Common Bean Seedlings. J. Plant Growth Regul. 2017, 37, 591–601. [Google Scholar] [CrossRef]
- Guardiola, J.L. Plant hormones. Physiology, biochemistry and molecular biology. Sci. Hortic. 1996, 66, 267–270. [Google Scholar] [CrossRef]
- Hagemann, N.; Joseph, S.; Schmidt, H.-P.; Kammann, C.I.; Harter, J.; Borch, T.; Young, R.B.; Varga, K.; Taherymoosavi, S.; Elliott, K.W.; et al. Organic coating on biochar explains its nutrient retention and stimulation of soil fertility. Nat. Commun. 2017, 8, 1089. [Google Scholar] [CrossRef]
- Vaccari, F.; Maienza, A.; Miglietta, F.; Baronti, S.; Di Lonardo, S.; Giagnoni, L.; Lagomarsino, A.; Pozzi, A.; Pusceddu, E.; Ranieri, R.; et al. Biochar stimulates plant growth but not fruit yield of processing tomato in a fertile soil. Agric. Ecosyst. Environ. 2015, 207, 163–170. [Google Scholar] [CrossRef]
- Širić, I.; Eid, E.M.; Taher, M.A.; El-Morsy, M.H.E.; Osman, H.E.M.; Kumar, P.; Adelodun, B.; Fayssal, S.A.; Mioč, B.; Andabaka, Ž.; et al. Combined Use of Spent Mushroom Substrate Biochar and PGPR Improves Growth, Yield, and Biochemical Response of Cauliflower (Brassica oleracea var. botrytis): A Preliminary Study on Greenhouse Cultivation. Horticulturae 2022, 8, 830. [Google Scholar] [CrossRef]
- Massa, D.; Bonetti, A.; Cacini, S.; Faraloni, C.; Prisa, D.; Tuccio, L.; Petruccelli, R. Soilless tomato grown under nutritional stress increases green biomass but not yield or quality in presence of biochar as growing medium. Hortic. Environ. Biotechnol. 2019, 60, 871–881. [Google Scholar] [CrossRef]



| Substrate | Peat (% v:v) | Compost (% v:v) | Compost + Biochar (% v:v) | n for Plantlet Development | n for Plant Fruiting |
|---|---|---|---|---|---|
| Control | 100 | 0 | 0 | 5 | 5 |
| CP-BC 100 | 0 | 0 | 100 | 5 | 6 |
| CP-BC 50 | 50 | 0 | 50 | 5 | 6 |
| CP-BC 30 | 70 | 0 | 30 | 5 | 6 |
| CP-BC 15 | 85 | 0 | 15 | 5 | 5 |
| CP 100 | 0 | 100 | 0 | 5 | 6 |
| CP 50 | 50 | 50 | 0 | 5 | 6 |
| CP 30 | 70 | 30 | 0 | 5 | 6 |
| CP 15 | 85 | 15 | 0 | 5 | 5 |
| Units | Control | CP-BC 100 | CP-BC 50 | CP-BC 30 | CP-BC 15 | CP 100 | CP 50 | CP 30 | CP 15 | |
|---|---|---|---|---|---|---|---|---|---|---|
| pH | 5.4 ± 0.005 h | 8.6 ± 0.04 a | 6.9 ± 0.01 b | 6.7 ± 0.02 c | 6.1 ± 0.03 f | 6.8 ± 0.01 b | 6.4 ± 0.03 d | 6.2 ± 0.02 e | 5.8 ± 0.01 g | |
| EC | (dS m−1) | 0.5 ± 0.003 b | 1.1 ± 0.01 b | 0.8 ± 0.005 d | 0.6 ± 0.002 e | 0.8 ± 0.001 c | 2.02 ± 0.01 a | 1.1 ± 0.002 b | 0.8 ± 0.001 d | 0.8 ± 0.008 d |
| Bulk density | (g cm−3) | 0.33 ± 0.01 a | 0.21 ± 0.02 b | 0.20 ± 0.01 b | 0.16 ± 0.003 c,d | 0.19 ± 0.001 b,c | 0.21 ± 0.001 b | 0.14 ± 0.005 d,e | 0.14 ± 0.01 d,e | 0.12 ± 0.005 e |
| WHC | (% of DW) | 322.7 ± 16.5 a,b,c | 269.5 ± 49.2 b,c | 278.2 ± 39.7 b,c | 303.9 ± 20.4 a,b,c | 345.9 ± 12.9 a,b | 357.9 ± 56.4 a,b | 255.7 ± 20.9 c | 282.2 ± 15.1 a,b,c | 371.3 ± 6.5 a |
| Ctot | g kg−1 | 326.7 ± 1 f | 612.2 ± 2.2 a | 438.4 ± 7.3 d | 514.8 ± 17.2 b | 496.4 ± 0.5 b,c | 490.4 ± 2.2 c | 437.2 ± 3.4 d,e | 419.5 ± 3.41 e | 495.7 ± 0.1 c |
| Ntot | g kg−1 | 12 ± 0.1 d | 22.5 ± 0.2 b,c | 16.8 ± 0.3 c,d | 20.9 ± 1.4 b,c | 20.1 ± 0.4 b,c | 36.9 ± 7.3 a | 27.3 ± 0.7 b | 19.0 ± 0.6 c,d | 20.7 ± 0.9 b,c |
| C/N | 27.4 ± 0.1 a | 27.2 ± 0.1 a | 26.04 ± 0.3 a | 24.7 ± 2.3 a,b | 24.7 ± 0.4 a,b | 13.7 ± 2.7 c | 16.02 ± 0.4 c | 22.1 ± 0.8 b | 24 ± 1 a,b | |
| NO3− | mg kg−1 | 5.9 ± 0.7 b | 1.4 ± 0.1 c | 1.8 ± 0.1 c | 1.3 ± 0.1 c | 1.7 ± 0.01 c | 12.1 ± 1.8 a | 2.9 ± 0.4 b | 2.1 ± 0.2 c | 1.3 ± 0.1 c |
| NH4+ | mg kg−1 | 0.01 ± 0.002 b | 0.09 ± 0.02 b | 0.02 ± 0.002 b | 0.01 ± 0.004 b | 0.01 ± 0.007 b | 2.5 ± 0.09 b | 0.01 ± 0.003 b | 0.01 ± 0.006 b | 0.004 ± 0.00 b |
| P | g kg−1 | 0.4 | 1.5 | 1.2 | 1.1 | 0.7 | 3.6 | 2.0 | 1.2 | 0.8 |
| K | g kg−1 | 3.3 | 7.9 | 7.1 | 4.8 | 2.4 | 16.6 | 11.1 | 7.5 | 2.3 |
| Ca | g kg−1 | 10.7 | 15.6 | 17.6 | 24.0 | 25.5 | 13.2 | 15.6 | 15.8 | 23.7 |
| Fe | g kg−1 | 7.9 | 3.5 | 8.5 | 2.6 | 2.3 | 0.9 | 0.9 | 9.8 | 1.9 |
| Mg | g kg−1 | 3.1 | 3.5 | 4.4 | 4.2 | 4.1 | 3.7 | 4.6 | 4.1 | 3.7 |
| Al | g kg−1 | 11.3 | 2.5 | 7.7 | 1.7 | 1.3 | 0.8 | 10.3 | 10.5 | 1.0 |
| Mn | mg kg−1 | 59.4 | 96.05 | 131.4 | 58.1 | 37.25 | 61.65 | 117.65 | 97.70 | 31.35 |
| Na | mg kg−1 | 178.3 | 177.5 | 206.6 | 174.9 | 148.4 | 229.4 | 216.2 | 195.6 | 144.6 |
| Cd | mg kg−1 (0.7) * | n.d. | n.d. | n.d. | 0.7 | n.d. | n.d. | 1.20 † | n.d. | 0.70 |
| Cu | mg kg−1 (70) * | 20 | 24.9 | 31.6 | 26.1 | 23.1 | 62.30 | 49.45 | 35.30 | 26.40 |
| Ni | mg kg−1 (25) * | 12.64 | 6.2 | 11.9 | 3.8 | 10.5 | 5.05 | 12.60 | 18.85 | 4.95 |
| Pb | mg kg−1 (45) * | 6.46 | 0.65 | 4.8 | 1.2 | 2.1 | 3.05 | 7.40 | 8.65 | 1.20 |
| Zn | mg kg−1 (200) * | 24.58 | 29.45 | 39.7 | 24.2 | 26.8 | 49.05 | 51.00 | 40.15 | 19.65 |
| Cr (Total) | mg kg−1 (70) * | 6.15 | 48.05 | 34.3 | 26.5 | 18.8 | 23.90 | 15.95 | 24.65 | 17.40 |
| Control | CP-BC 100 | CP-BC 50 | CP-BC 30 | CP-BC 15 | CP 100 | CP 50 | CP 30 | CP 15 | |
|---|---|---|---|---|---|---|---|---|---|
| Germination Index | 114.7 ± 9.0 | 102.9 ± 10.0 | 109.5 ± 15.2 | 106.5 ± 11.0 | 331.4 ± 8.5 | 114.4 ± 5.5 | 85.7 ± 16.8 | 131.4 ± 14.9 | 271.4 ± 4.7 |
| Classification | Phyto- stimulant | Phyto- stimulant | Phyto- stimulant | Phyto- stimulant | Phyto- stimulant | Phyto- stimulant | No phytotoxic | Phyto- stimulant | Phyto- stimulant |
| Control | CP-BC 100 | CP-BC 50 | CP-BC 30 | CP-BC 15 | CP 100 | CP 50 | CP 30 | CP 15 | |
|---|---|---|---|---|---|---|---|---|---|
| Survival rates (%) | 80 | 60 | 100 | 100 | 100 | 0 | 100 | 100 | 100 |
| Above-ground biomass (g) | 7.5 ± 0.4 a | 1.7 ± 1.3 b | 1.2 ± 0.9 b | 0.5 ± 0.2 b | 1.7 ± 0.6 b | - | 1.3 ± 0.2 b | 1.0 ± 0.8 b | 1.7 ± 0.6 b |
| Below-ground biomass (g) | 3.4 ± 0.9 a | 0.6 ± 0.5 b | 0.7 ± 0.1 b | 0.2 ± 0.1 b | 0.7 ± 0.1 b | - | 0.5 ± 0.2 b | 0.4 ± 0.3 b | 1.1 ± 0.6 b |
| Above/below-ground ratio | 2.3 ± 0.6 | 3.5 ± 0.6 | 1.7 ± 1.3 | 2.3 ± 0.8 | 2.5 ± 0.6 | - | 2.7 ± 0.9 | 2.4 ± 0.5 | 1.8 ± 0.6 |
| Control | CP-BC 100 | CP-BC 50 | CP-BC 30 | CP-BC 15 | CP 100 | CP 50 | CP 30 | CP 15 | |
|---|---|---|---|---|---|---|---|---|---|
| Survival rates (%) | 100 | 100 | 100 | 100 | 100 | 100 | 100 | 100 | 100 |
| Below-ground biomass (g) | 37.6 ± 5.0 b | 26.4 ± 6.0 b,c | 14.0 ± 5.3 c,d | 38.0 ± 8.7 b | 53.7 ± 9.7 a | 11.6 ± 6.8 d | 30.1 ± 5.9 b | 37.6 ± 6.4 b | 51.7 ± 2.8 a |
| Dry/Fresh below-ground ratio | 12.1 ± 1.6 b | 10.8 ± 2.3 b | 21.8 ± 7.9 a | 11.2 ± 1.7 b | 9.6 ± 0.6 b | 20.4 ± 4.3 a | 12.5 ± 1.7 b | 11.3 ± 1.6 b | 12.1 ± 0.9 b |
Disclaimer/Publisher’s Note: The statements, opinions and data contained in all publications are solely those of the individual author(s) and contributor(s) and not of MDPI and/or the editor(s). MDPI and/or the editor(s) disclaim responsibility for any injury to people or property resulting from any ideas, methods, instructions or products referred to in the content. |
© 2023 by the authors. Licensee MDPI, Basel, Switzerland. This article is an open access article distributed under the terms and conditions of the Creative Commons Attribution (CC BY) license (https://creativecommons.org/licenses/by/4.0/).
Share and Cite
Picca, G.; Goñi-Urtiaga, A.; Gomez-Ruano, C.; Plaza, C.; Panettieri, M. Suitability of Co-Composted Biochar with Spent Coffee Grounds Substrate for Tomato (Solanum lycopersicum) Fruiting Stage. Horticulturae 2023, 9, 89. https://doi.org/10.3390/horticulturae9010089
Picca G, Goñi-Urtiaga A, Gomez-Ruano C, Plaza C, Panettieri M. Suitability of Co-Composted Biochar with Spent Coffee Grounds Substrate for Tomato (Solanum lycopersicum) Fruiting Stage. Horticulturae. 2023; 9(1):89. https://doi.org/10.3390/horticulturae9010089
Chicago/Turabian StylePicca, Giuseppe, Asier Goñi-Urtiaga, Cristina Gomez-Ruano, César Plaza, and Marco Panettieri. 2023. "Suitability of Co-Composted Biochar with Spent Coffee Grounds Substrate for Tomato (Solanum lycopersicum) Fruiting Stage" Horticulturae 9, no. 1: 89. https://doi.org/10.3390/horticulturae9010089
APA StylePicca, G., Goñi-Urtiaga, A., Gomez-Ruano, C., Plaza, C., & Panettieri, M. (2023). Suitability of Co-Composted Biochar with Spent Coffee Grounds Substrate for Tomato (Solanum lycopersicum) Fruiting Stage. Horticulturae, 9(1), 89. https://doi.org/10.3390/horticulturae9010089

