“60 Years on”—Effects of Climatic Change on Tree Phenology—A Case Study Using Pome Fruit
Abstract
:1. Introduction
2. Materials and Methods
2.1. Orchard Location and Climate
2.2. Choice of Fruit Trees
2.3. Phenological Records
2.4. Sourcing of Weather Data and Increase in Average Annual and Monthly Temp Veg Period
3. Results
3.1. Increase in Average Annual and Monthly Temp Veg Period
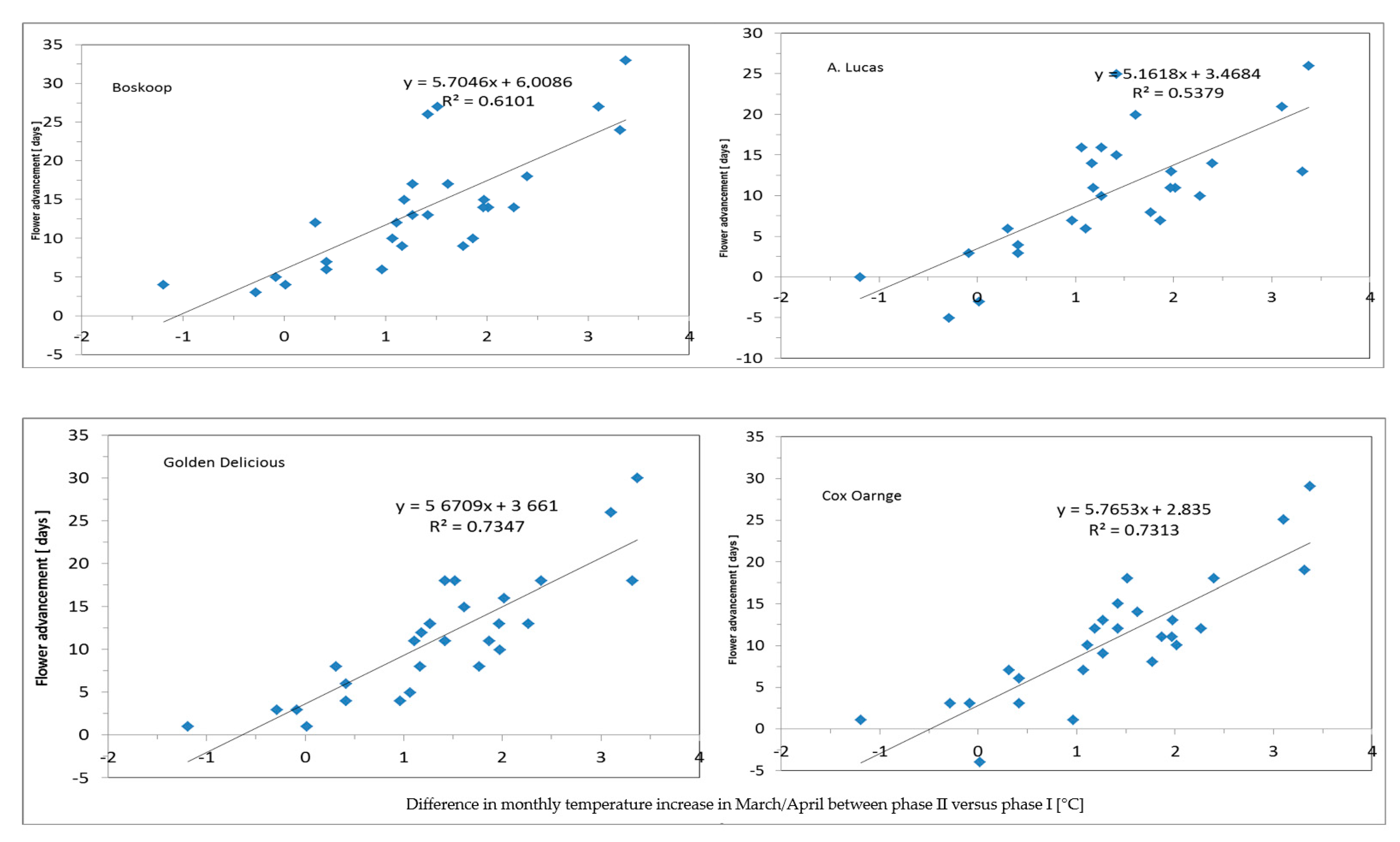
3.2. Correlation between Phenology and Climate Change—Flowering Advancement versus Monthly Spring Temperature (1956–2017)
3.3. Increase in Heat Days and Heavy Rainfall
3.4. Development of Monthly Minimum Air Temperatures in the Flowering Time
3.5. Effect of Climate Change on Risk of Late Spring Frost (and Flower Damage)
3.6. No Change in Overall Precipitation
3.7. Flowering and Harvest Advancement as well as Extended Canopy Duration
3.8. Advanced Harvest Date
3.9. Advanced and Extended Tree Canopy Duration
4. Discussion
4.1. Temperature Rise Indicative of Climate Change and Physiological Consequences
4.2. Climate Change Effects on Pome Fruit Phenology, Chilling and Flower Advancement
4.3. No Negative Results
4.4. Minimum Temperatures and Spring Frost
4.5. Precipitation
5. Conclusions
Author Contributions
Funding
Acknowledgments
Conflicts of Interest
References
- Kaufmann, H.; Blanke, M.M. Performance of three numerical models to assess winter chill in fruit trees- a case study using cherry as model crop in Germany. Reg. Environ. Change 2017, 17, 1–9. [Google Scholar] [CrossRef]
- Blanke, M.M.; Kunz, A. Einfluss rezenter Klimaveränderungen auf die Phänologie bei Kernobst am Standort Klein-Altendorf- anhand 50jähriger Aufzeichnungen. Erwerbs-Obstbau 2009, 51, 101–114. [Google Scholar] [CrossRef]
- Legave, J.M.; Blanke, M.M.; Christique, D.; Giovannini, D.; Matthieu, V.; Oger, R. A comprehensive overview of the spatial and temporal variability of apple bud dormancy release and blooming phenology in Western Europe. Int. J. Biometeorol. 2013, 57, 317–331. [Google Scholar] [CrossRef] [PubMed]
- Chmielewski, F.M.; Muller, A.; Bruns, E. Climate changes and trends in phenology of fruit trees and field crops in Germany, 1961–2000. Agric. Forest Meteorol. 2004, 121, 69–78. [Google Scholar] [CrossRef]
- Meier, U.; Graf, H.; Hack, H. Phänologische Entwicklungsstadien des Kernobstes. Nachr. Dtsch. Pflanzenschutzd. 1994, 46, 141–153. [Google Scholar]
- Bergamaschi, M.; Giovannini, D.; Liverani, A.; Sirri, S. Influence of climate on flowering phenology of pome and stone fruit in Romagna, Italy. In Book of Abstracts of the First ISHS European Hort. Congress She, Wien, Austria, 17–20 February 2008; Association of Food, Veterinary Science and Agriculture (ALVA): Vienna, Austria, 2008; pp. 111–112. ISSN 1996-9449. [Google Scholar]
- Chmielewski, F.M.; Müller, A.; Küchler, W. Climate change and frost hazards for fruit trees. Ann. Meteorol. 2005, 42, 488–491. [Google Scholar]
- Chmielewski, F.M.; Blanke, M.M.; Henniges, Y.; Blanke, M.; Weber, R.W.S.; Zoth, M. Phenological models for the beginning of apple blossom in Germany. Meteorol. Z. 2011, 20, 486–496. [Google Scholar] [CrossRef]
- Menzel, A.; von Vopelius, J.; Estrella, N.; Schleip, C.; Dose, V. Farmers’ annual activities are not tracking the speed of climate change. Clim. Res. 2006, 32, 201–207. [Google Scholar] [CrossRef]
- Hansen, J.; Sato, M.; Ruedy, R.; Lo, K.; Lea, D.W.; Medina-Elizade, M. Global temperature change. Proc. Natl. Acad. Sci. USA 2006, 103, 14288–14293. [Google Scholar] [CrossRef] [Green Version]
- IPCC. Climate Change 2013: Summary for Policy Makers (SPM). In The Physical Science Basis. Contribution of Working Group I to the Fifth Assessment Report of the Intergovernmental Panel on Climate Change; Stocker, T.F., Qin, D., Plattner, G.-K., Tignor, M., Allen, S.K., Boschung, J., Nauels, A., Xia, Y., Bex, V., Midgley, P.M., Eds.; Cambridge University Press: Cambridge, UK; New York, NY, USA, 2013; 1535p. [Google Scholar]
- Kromb-Kolb, H. The Causes and the Extent of Climate Change—Past and Present. She Congress Wien, Feb. 2008, Abstract page 86. Available online: www.she2008.org (accessed on 30 September 2021).
- Weber, S.; Damerow, L.; Kunz, A.; Blanke, M. Anthocyanin synthesis and light utilisation can be enhanced by reflective mulch—Visualisation of light penetration into a tree canopy. J. Plant Physiol. 2019, 233, 52–57. [Google Scholar] [CrossRef]
- Tartachnyk, I.; Blanke, M.M. Environmental effects on apple tree photosynthesis. Environmental Physiology ISHS Symposium, Nelson, New Zealand, 2000. Acta Hortic. 2000, 557, 465–472. [Google Scholar]
- Luedeling, E.; Guo, L.; Dai, J.; Leslie, C.; Blanke, M.M. Differential responses of trees to temperature variation during the chilling and forcing phases. Agric. Forest Meteorol. 2013, 181, 33–42. [Google Scholar] [CrossRef] [Green Version]
- Luedeling, E.; Kunz, A.; Blanke, M.M. Effect of recent climate change on cherry phenology. Int. J. Biometeorol. 2013, 57, 679–689. [Google Scholar] [CrossRef] [Green Version]
- Jüstrich, H. Klimawandel: Fakt oder Fiktion? Schweiz. Schweiz. Z. Obst-U. Weinbau 2013, 18, 4–7. [Google Scholar]
- Tartachnyk, I.; Blanke, M.M. Effect of delayed fruit harvest on photosynthesis, transpiration and nutrient remobilization of apple leaves. New Phytol. 2004, 164, 442–450. [Google Scholar] [CrossRef]
- Westwood, N. Temperate Zone Pomology, 3rd ed.; Timber Press: Portland, OR, USA, 1993. [Google Scholar]
- Grab, S.; Craparo, A. Advance of apple and pear tree full bloom dates in response to climate change in the southwestern Cape, South Africa: 1973–2009. Agric. Forest Meteorol. 2011, 151, 406–413. [Google Scholar] [CrossRef]
- Schleip, C.; Menzel, A.; Estrella, N.; Dose, V. The use of Bayesian analysis to detect recent changes in phenological events throughout the year. Agric. Forest Meteorol. 2006, 141, 179–191. [Google Scholar] [CrossRef]
- Eccel, E.; Rea, R.; Caffarra, A.; Crisci, A. Risk of spring frost to apple production under future climate scenarios: The role of phenological acclimation. Int. J. Biometeorol. 2009, 53, 273–286. [Google Scholar] [CrossRef]
- Campoy, J.A.; Ruiz, D.; Egea, J. Dormancy in temperate fruit trees in a global warming context: A review. Sci. Hortic. 2011, 130, 357–372. [Google Scholar] [CrossRef]
- Bisbis, M.; Gruda, N.; Blanke, M.M. Impacts of climate change on vegetable production and produce quality—A review. J. Clean. Prod. 2018, 170, 1602–1620. [Google Scholar] [CrossRef]
- Kaufmann, H.; Blanke, M.M. Substitution of winter chilling by spring forcing for flowering using sweet cherry as model crop. Sci. Hortic. 2019, 244, 75–80. [Google Scholar] [CrossRef]







| Period | Annual Mean | Summer Months | Winter Months |
|---|---|---|---|
| Period I (1956–1987) | 9.0 °C | 14.0 °C | 3.9 °C |
| Period II (1989–2017) | 10.1 °C | 15.0 °C | 5.1 °C |
| Period I + II (1956–2017) | 9.5 °C | 14.5 °C | 4.5 °C |
| Differences | |||
| Difference PII − PI | +1.1 °C | +1.0 °C | +1.2 °C |
| Difference PII − (PI + PII) | +0.6 °C | +0.5 °C | +0.6 °C |
| Month: | March | April | May | ||||||
|---|---|---|---|---|---|---|---|---|---|
| Average Period | Minimum-Temperature | Frost Days 0 to −2 °C | Frost Days <−2 °C | Minimum Temperature | Frost Days 0 to −2 °C | Frost Days <−2 °C | Minimum Temperature | Frost Days 0 to −2 °C | Frost Days <−2 °C |
| 1958–2017 Phase I + II | −4.9 °C | 4.5 | 5.1 | −2.1 °C | 2.5 | 1.2 | 1.2 °C | 0.4 | 0 |
| 1958–1987 (Phase I) | −5.5 °C | 5.0 | 5.6 | −2.0 °C | 2.5 | 1.0 | 1.2 °C | 0.5 | 0 |
| 1988–2017 (Phase II) | −4.2 °C | 4.0 | 4.5 | −2.3 °C | 2.6 | 1.4 | 1.2 °C | 0.4 | 0 |
| Pheno Stage/Variety-Period | Blossom Start | Full Bloom | End of Bloom | Fruit Harvest | Start of Leaf Drop | End of Leaf Drop | Fruit Developm. * | Canopy Duration ** |
|---|---|---|---|---|---|---|---|---|
| Pear | ||||||||
| A. Lucas 1958–2017 | 17.04. | 21.04. | 30.04. | 22.09. | 28.10. | 10.11. | 154 | 194 |
| 1958–1987 | 22.04. | 27.04. | 05.05. | 30.09. | 29.10. | 09.11. | 156 | 190 |
| 1988–2017 | 13.04. | 16.04. | 24.04. | 15.09. | 26.10. | 11.11. | 152 | 196 |
| Apple cv. Cox Orange | ||||||||
| 1958–2017 | 01.05. | 06.05. | 14.05. | 19.09. | 30.10. | 15.11. | 136 | 182 |
| 1958–1987 | 06.05. | 11.05. | 18.05. | 22.09. | 30.10. | 14.11. | 134 | 177 |
| 1988–2017 | 26.04. | 30.04. | 09.05. | 16.09. | 29.10. | 16.11. | 139 | 186 |
| Roter Boskoop | ||||||||
| 1958–2017 | 27.04. | 02.05. | 12.05. | 29.09. | 04.11. | 20.11. | 150 | 191 |
| 1958–1987 | 03.05. | 09.05. | 18.05. | 01.10. | 05.11. | 18.11. | 145 | 186 |
| 1988–2017 | 21.04. | 25.04. | 05.05. | 27.09. | 03.11. | 22.11. | 155 | 196 |
| Golden Delicious | ||||||||
| 1958–2017 | 01.05. | 05.05. | 14.05. | 04.10. | 07.11. | 26.11. | 152 | 190 |
| 1958–1987 | 06.05. | 11.05. | 20.05. | 10.10. | 09.11. | 28.11. | 152 | 187 |
| 1988–2017 | 26.04. | 29.04. | 09.05. | 28.09. | 05.11. | 26.11. | 152 | 193 |
| Phenology Stage | BBCH Stage | Golden Delicious | Roter Boskoop | Cox Orange | A. Lucas |
|---|---|---|---|---|---|
| Full bloom | 65 | 12 | 14 | 11 | 11 |
| Harvest starts | 87 | 12 | 4 | 6 | 15 |
| Begin leaf drop Begin of chilling | 93 | 4 | 2 | 1 | 3 |
| Harvest to leaf drop | n.a. | 8 | 2 | 5 | 12 |
| Tree canopy duration | n.a. | 6 | 10 | 9 | 6 |
Publisher’s Note: MDPI stays neutral with regard to jurisdictional claims in published maps and institutional affiliations. |
© 2022 by the authors. Licensee MDPI, Basel, Switzerland. This article is an open access article distributed under the terms and conditions of the Creative Commons Attribution (CC BY) license (https://creativecommons.org/licenses/by/4.0/).
Share and Cite
Kunz, A.; Blanke, M. “60 Years on”—Effects of Climatic Change on Tree Phenology—A Case Study Using Pome Fruit. Horticulturae 2022, 8, 110. https://doi.org/10.3390/horticulturae8020110
Kunz A, Blanke M. “60 Years on”—Effects of Climatic Change on Tree Phenology—A Case Study Using Pome Fruit. Horticulturae. 2022; 8(2):110. https://doi.org/10.3390/horticulturae8020110
Chicago/Turabian StyleKunz, Achim, and Michael Blanke. 2022. "“60 Years on”—Effects of Climatic Change on Tree Phenology—A Case Study Using Pome Fruit" Horticulturae 8, no. 2: 110. https://doi.org/10.3390/horticulturae8020110
APA StyleKunz, A., & Blanke, M. (2022). “60 Years on”—Effects of Climatic Change on Tree Phenology—A Case Study Using Pome Fruit. Horticulturae, 8(2), 110. https://doi.org/10.3390/horticulturae8020110

