Evaluation of the Allelopathic Activity of Aqueous and Methanol Extracts of Heliotropium indicum Leaves and Roots on Eight Cucurbit Crops
Abstract
1. Introduction
2. Materials and Methods
2.1. Sample Collection and Processing
2.2. Preparation of Aqueous and Methanolic Extracts of Leaf and Root
2.3. Preparation of Petri Dishes and Seed Sowing
2.4. Measurement of Chlorophyll Content
2.5. Determination of LPO
2.6. Statistical Analysis
3. Results
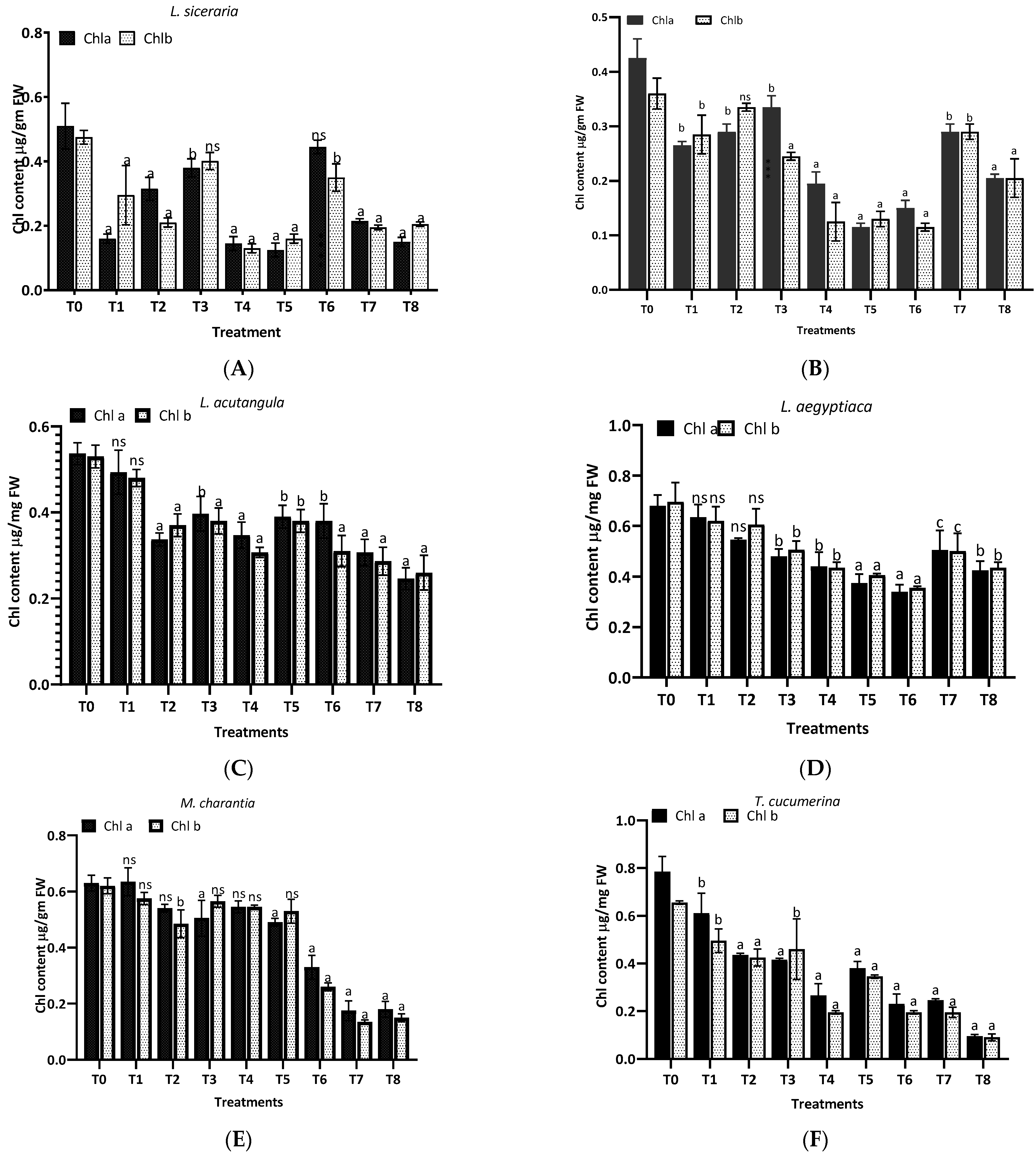
3.1. Effect of Leaf Extract of H. indicum on Chlorophyll Content of Tested Crops
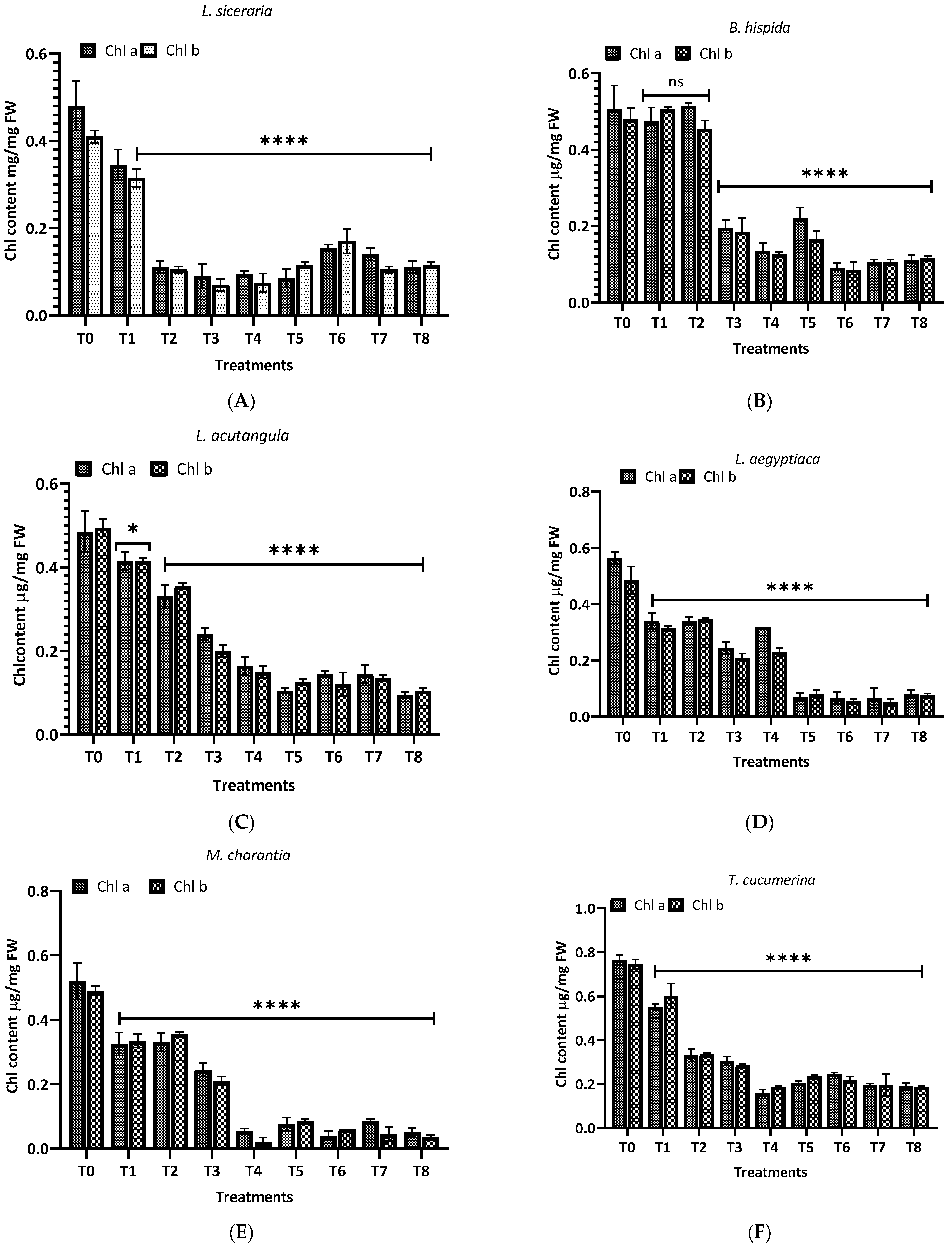
3.2. Effect of Root Extract of H. indicum on Chlorophyll Content of Tested Crops
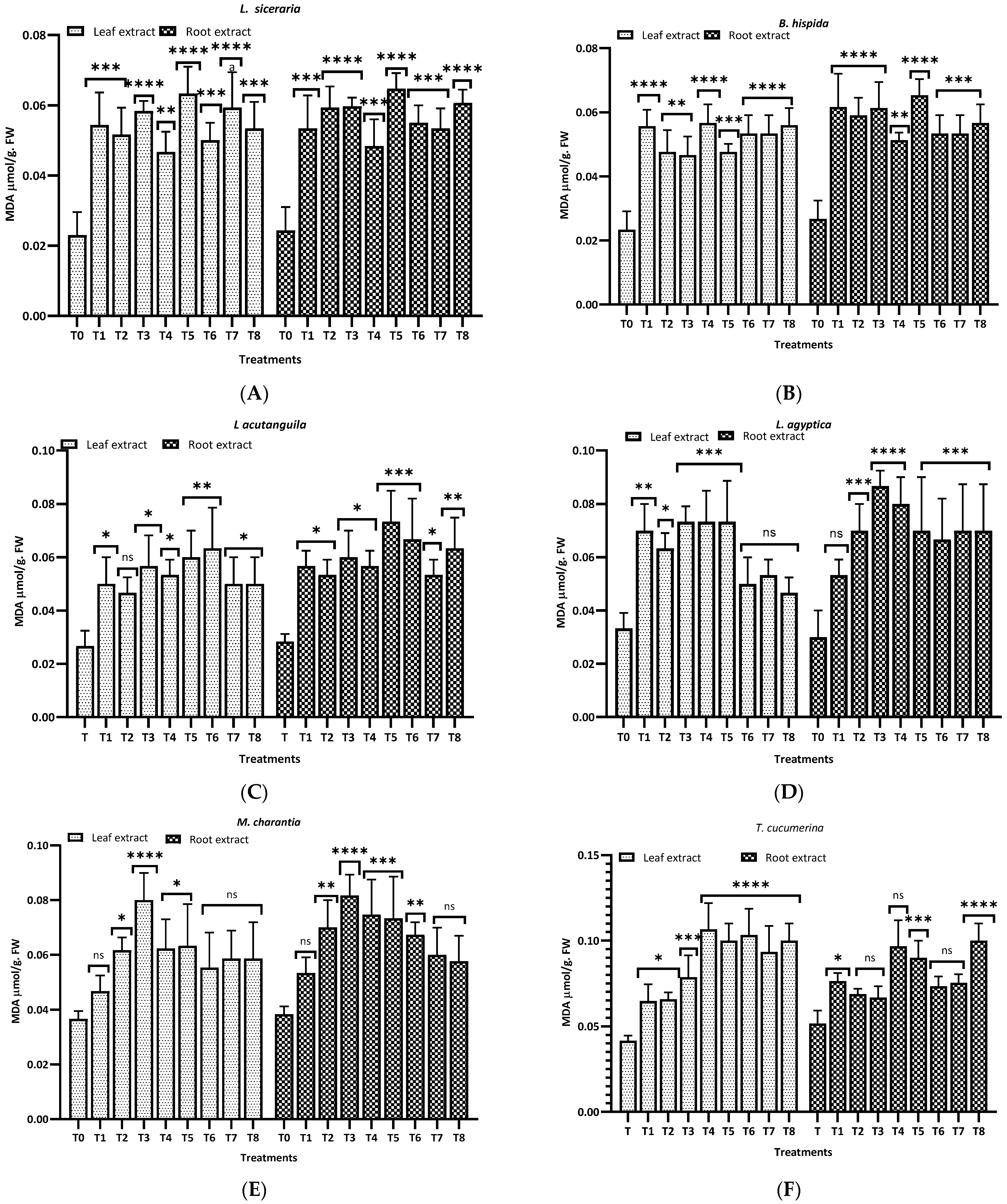
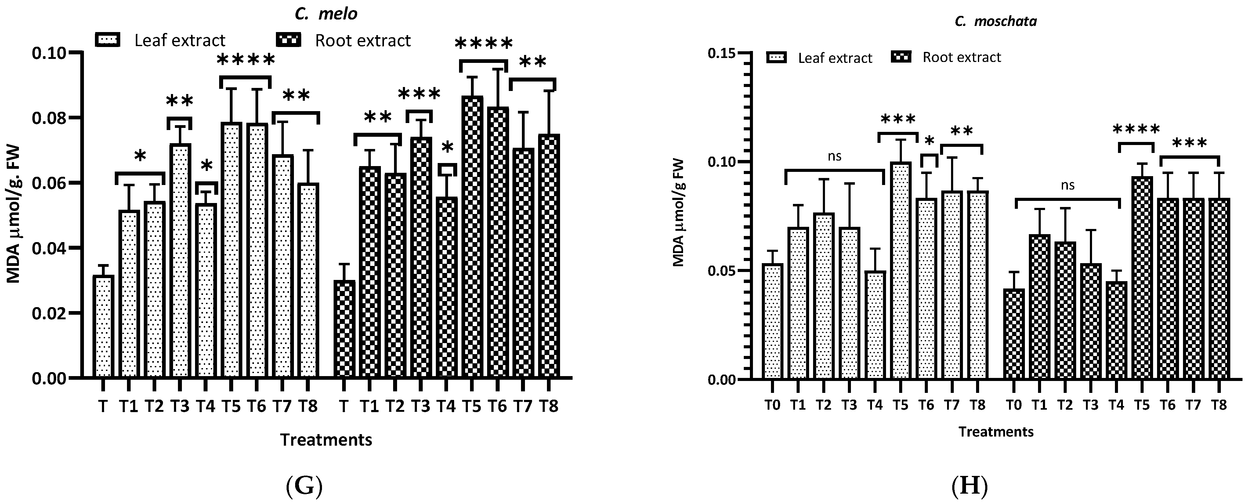
3.3. MDA Levels
4. Discussion
4.1. Germination Percentage
4.2. Shoot and Root Growth
4.3. Species-Specific Responses
4.4. Implications for Sustainable Agriculture
4.5. Biochemical Interactions and Synergistic Effects
5. Conclusions
Author Contributions
Funding
Institutional Review Board Statement
Informed Consent Statement
Data Availability Statement
Acknowledgments
Conflicts of Interest
References
- Aci, M.M.; Sidari, R.; Araniti, F.; Lupini, A. Emerging trends in allelopathy: A genetic perspective for sustainable agriculture. Agronomy 2022, 12, 2043. [Google Scholar] [CrossRef]
- Ain, Q.; Mushtaq, W.; Shadab, M.; Siddiqui, M. Allelopathy: An alternative tool for sustainable agriculture. Physiol. Mol. Biol. Plants 2023, 29, 495–511. [Google Scholar] [CrossRef] [PubMed]
- Jabran, K.; Jabran, K. Allelopathy: Introduction and concepts. In Manipulation of Allelopathic Crops for Weed Control; Springer: Berlin/Heidelberg, Germany, 2017; pp. 1–12. [Google Scholar]
- Lemerle, D.; Verbeek, B.; Orchard, B. Ranking the ability of wheat varieties to compete with Lolium rigidum. Weed Res. 2001, 41, 197–209. [Google Scholar] [CrossRef]
- Fishel, F.M. Pesticide use trends in the US: Global comparison. EDIS 2007, 2007, 3. [Google Scholar] [CrossRef]
- Kostina-Bednarz, M.; Płonka, J.; Barchanska, H. Allelopathy as a source of bioherbicides: Challenges and prospects for sustainable agriculture. Rev. Environ. Sci. Bio/Technol. 2023, 22, 471–504. [Google Scholar] [CrossRef]
- Dhillon, N.P.; Srimat, S.; Laenoi, S.; Bhunchoth, A.; Phuangrat, B.; Warin, N.; Deeto, R.; Chatchawankanphanich, O.; Jom, K.N.; Sae-tan, S.; et al. Resistance to three distinct Begomovirus species in the agronomical superior tropical pumpkin line AVPU1426 developed at the world vegetable center. Agronomy 2021, 11, 1256. [Google Scholar] [CrossRef]
- Kubiak, A.; Wolna-Maruwka, A.; Niewiadomska, A.; Pilarska, A.A. The problem of weed infestation of agricultural plantations vs. the assumptions of the European biodiversity strategy. Agronomy 2022, 12, 1808. [Google Scholar] [CrossRef]
- Abbas, T.; Nadeem, M.; Tanveer, A.; Syed, S.; Zohaib, A.; Farooq, N.; Shehzad, M. Allelopathic influence of aquatic weeds on agro-ecosystems: A review. Planta Daninha 2017, 35. [Google Scholar] [CrossRef]
- Khan, S.; Ali, K.W.; Shinwari, M.I.; Khan, R.A.; Rana, T. Environmental, ecological and evolutionary effects of weeds allelopathy. Int. J. Botany Stud. 2019, 4, 77–84. [Google Scholar]
- Abdulghader, K.; Nojavan, M.; Naghshbandi, N. Chemical stress induced by heliotrope (Heliotropium europaeum L.) allelochemicals and increased activity of antioxidant enzymes. Pak. J. Biol. Sci. PJBS 2008, 11, 915–919. [Google Scholar] [CrossRef][Green Version]
- Das, S.; Coku, A. Allelopathic and antimicrobial evaluation of two Indian weeds–Heliotropium indicum L. and Synedrella nodiflora L. Gaertn with phytochemical studies. Am. J. PharmTech Res. 2014, 4, 367–377. [Google Scholar]
- Choudhary, C.S.; Behera, B.; Raza, M.B.; Mrunalini, K.; Bhoi, T.K.; Lal, M.K.; Nongmaithem, D.; Pradhan, S.; Song, B.; Das, T.K. Mechanisms of allelopathic interactions for sustainable weed management. Rhizosphere 2023, 25, 100667. [Google Scholar] [CrossRef]
- Mondal, T.; Bachchu, M.A.A.; Ara, R.; Uddin, M.N.; Hossain Bhuyain, M.M.; Sultana, R. Monitoring and eco-friendly management of cucurbit fruit fly, Bactrocera cucurbitae (Coquillett) on bitter gourd. J. Asiat. Soc. Bangladesh Sci. 2023, 48, 67–82. [Google Scholar] [CrossRef]
- Rolnik, A.; Olas, B. Vegetables from the Cucurbitaceae family and their products: Positive effect on human health. Nutrition 2020, 78, 110788. [Google Scholar] [CrossRef]
- Haque, M.M.; Hoque, M.Z. Vegetable Production and Marketing Channels in Bangladesh: Present Scenario, Problems, and Prospects; Seminar Paper; Bangabandhu Sheikh Mujibur Rahman Agricultural University: Gazipur, Bangladesh, 2021. [Google Scholar]
- Nasiruddin, M.; Alam, A.K.M.; Khorsheduzzaman, A.K.M.; Rahaman, Z.; Karim, A.N.M.R.; Jasmine, H.S.; Rajott, E.G. Integrated Management of Cucurbit Fruit Fly, B. Cucurbitae Coquillett in Bangladesh. IPM CRSP Bangladesh Site Technical Bulletin No. 1. 2004, p. 16. Available online: https://www.researchgate.net/publication/265542679 (accessed on 10 January 2024).
- Saxena, S.; Chamoli, A.; Kunjwal, S.S. Pesticide Pollution and It’s Effects on Environment and Human Health: A Review. Uttar Pradesh J. Zool. 2023, 44, 33–39. [Google Scholar] [CrossRef]
- Arnon, D.I. Copper enzymes in isolated chloroplasts. Polyphenoloxidase in Beta vulgaris. Plant Physiol. 1949, 24, 1. [Google Scholar] [CrossRef] [PubMed]
- Högberg, J.; Larson, R.E.; Kristoferson, A.; Orrenius, S. NADPH-dependent reductase solubilized from microsomes by peroxidation and its activity. Biochem. Biophys. Res. Commun. 1974, 56, 836–842. [Google Scholar] [CrossRef]
- Li, J.; Chen, L.; Chen, Q.; Miao, Y.; Peng, Z.; Huang, B.; Guo, L.; Liu, D.; Du, H. Allelopathic effect of Artemisia argyi on the germination and growth of various weeds. Sci. Rep. 2021, 11, 4303. [Google Scholar] [CrossRef]
- Ogunsanya, H.Y.; Motti, P.; Li, J.; Trinh, H.K.; Xu, L.; Bernaert, N.; Van Droogenbroeck, B.; Murvanidze, N.; Werbrouck, S.P.; Mangelinckx, S. Belgian endive-derived biostimulants promote shoot and root growth in vitro. Sci. Rep. 2022, 12, 8792. [Google Scholar] [CrossRef]
- Nweke, C.O.; Ogbonna, C.J. Statistical models for biphasic dose-response relationships (hormesis) in toxicological studies. Ecotoxicol. Environ. Contam. 2017, 12, 39–55. [Google Scholar] [CrossRef]
- Scavo, A.; Abbate, C.; Mauromicale, G. Plant allelochemicals: Agronomic, nutritional and ecological relevance in the soil system. Plant Soil 2019, 442, 23–48. [Google Scholar] [CrossRef]
- Shan, Z.; Zhou, S.; Shah, A.; Arafat, Y.; Arif Hussain Rizvi, S.; Shao, H. Plant Allelopathy in Response to Biotic and Abiotic Factors. Agronomy 2023, 13, 2358. [Google Scholar] [CrossRef]
- Akter, P.; Ahmed, A.A.; Promie, F.K.; Haque, M.E. Root Exudates of Fifteen Common Weed Species: Phytochemical Screening and Allelopathic Effects on T. aestivum L. Agronomy 2023, 13, 381. [Google Scholar] [CrossRef]
- Fenibo, E.O.; Ijoma, G.N.; Matambo, T. Biopesticides in sustainable agriculture: A critical sustainable development driver governed by green chemistry principles. Front. Sustain. Food Syst. 2021, 5, 619058. [Google Scholar] [CrossRef]
- Richards, L.A.; Glassmire, A.E.; Ochsenrider, K.M.; Smilanich, A.M.; Dodson, C.D.; Jeffrey, C.S.; Dyer, L.A. Phytochemical diversity and synergistic effects on herbivores. Phytochem. Rev. 2016, 15, 1153–1166. [Google Scholar] [CrossRef]
- Sarkar, C.; Mondal, M.; Khanom, B.; Hossain, M.M.; Hossain, M.S.; Sureda, A.; Islam, M.T.; Martorell, M.; Kumar, M.; Sharifi-Rad, J. Heliotropium indicum L.: From farm to a source of bioactive compounds with therapeutic activity. Evid. Based Complement. Altern. Med. 2021, 2021, 9965481. [Google Scholar] [CrossRef] [PubMed]
- Li, Y.; He, N.; Hou, J.; Xu, L.; Liu, C.; Zhang, J.; Wang, Q.; Zhang, X.; Wu, X. Factors influencing leaf chlorophyll content in natural forests at the biome scale. Front. Ecol. Evol. 2018, 6, 64. [Google Scholar] [CrossRef]
- Kato-Noguchi, H.; Le Thi, H.; Teruya, T.; Suenaga, K. Two potent allelopathic substances in cucumber plants. Sci. Hortic. 2011, 129, 894–897. [Google Scholar] [CrossRef]
- Iman Radha, J.; Rawnaq Ahmed, I.; Hala Muzher, Y. Physiological responses of Helianthus anuus L. plants under allelopathic effect of Cucurbita moschata. Revis Bionatura 2023, 8, 108. [Google Scholar]
- Christ, B.; Hörtensteiner, S. Mechanism and significance of chlorophyll breakdown. J. Plant Growth Regul. 2014, 33, 4–20. [Google Scholar] [CrossRef]
- keya Tudu, C.; Dey, A.; Pandey, D.K.; Panwar, J.S.; Nandy, S. Role of plant derived extracts as biostimulants in sustainable agriculture: A detailed study on research advances, bottlenecks and future prospects. In New and Future Developments in Microbial Biotechnology and Bioengineering; Elsevier: Amsterdam, The Netherlands, 2022; pp. 159–179. [Google Scholar]
- Ma, H.; Chen, Y.; Chen, J.; Zhang, Y.; Zhang, T.; He, H. Comparison of allelopathic effects of two typical invasive plants: Mikania micrantha and Ipomoea cairica in Hainan island. Sci. Rep. 2020, 10, 11332. [Google Scholar] [CrossRef] [PubMed]
- Morales, M.; Munné-Bosch, S. Malondialdehyde: Facts and artifacts. Plant Physiol. 2019, 180, 1246–1250. [Google Scholar] [CrossRef] [PubMed]












| Treatment | L. siceraria | B. hispida | L. acutangula | L. aegyptiaca | M. charantia | T. cucumerina | C. melo | C. moschata |
|---|---|---|---|---|---|---|---|---|
| T0 | 70.00 ± 0.81 | 60.00 ± 0.71 | 80.00 ± 0.76 | 90.00 ± 0.80 | 90.00 ± 0.85 | 100.00 ± 0.88 | 100.00 ± 00 | 60.00 ± 0.78 |
| T1 | 10.66 ± 0.46 a | 50.00 ± 0.71 ns | 30.00 ± 0.81 a | 30.66 ± 0.47 a | 20.00 ± 0.81 a | 60.00 ± 0.78 a | 70.33 ± 0.47 c | 30.30 ± 0.37 b |
| T2 | 20.33 ± 0.45 a | 50.00 ± 0.56 ns | 60.66 ± 0.47 ns | 40.00 ± 0.81 a | 40.00 ± 0.82 a | 50.00 ± 0.78 a | 90.00 ± 0.81 ns | 30.60 ± 0.47 cb |
| T3 | 20.66 ± 0.47 a | 40.00 ± 0.45 ns | 30.00 ± 0.81 a | 40.66 ± 0.47 a | 50.00 ± 0.80 a | 40.00 ± 0.81 a | 70.00 ± 0.71 b | 30.00 ± 0.79 c |
| T4 | 20.66 ± 0.48 a | 30.00 ± 0.61 b | 40.00 ± 0.70 a | 40.00 ± 0.81 a | 40.00 ± 0.81 a | 50.66 ± 0.71 a | 70.00 ± 0.71 b | 30.60 ± 0.47 a |
| T5 | 20.00 ± 0.81 a | 20.00 ± 0.45 a | 40.00 ± 0.81 a | 20.00 ± 0.81 a | 20.00 ± 0.71 a | 50.00 ± 0.80 a | 60.33 ± 0.45 a | 30.00 ± 0.81 a |
| T6 | 30.66 ± 0.47 b | 20.00 ± 0.00 a | 40.66 ± 0.47 b | 40.00 ± 0.71 a | 30.00 ± 0.71 a | 40.00 ± 0.77 a | 20.00 ± 0.80 a | 20.00 ± 0.80 a |
| T7 | 20.00 ± 0.81 a | 20.00 ± 0.81 a | 30.00 ± 0.81 a | 40.00 ± 0.75 a | 30.00 ± 0.75 a | 40.00 ± 0.81 a | 20.00 ± 0.78 a | 30.00 ± 0.76 b |
| T8 | 20.00 ± 0.80 a | 20.00 ± 0.81 a | 30.00 ± 0.77 a | 30.00 ± 0.81 a | 20.00 ± 0.81 a | 20.00 ± 0.81 a | 60.00 ± 0.81 a | 10.60 ± 0.47 c |
| Treatment | L. siceraria | B. hispida | L. acutangula | L. aegyptiaca | M. charantia | T. cucumerina | C. melo | C. moschata |
|---|---|---|---|---|---|---|---|---|
| T0 | 10.2 ± 0.16 | 13.9 ± 0.08 | 13.1 ± 0.08 | 11.4 ± 0.08 | 22.4 ± 0.08 | 16.9 ± 0.08 | 12.4 ± 0.08 | 11.03 ± 0.12 |
| T1 | 8.53 ± 0.12 c | 7.2 ± 0.08 a | 19.00 ± 0.16 b | 6.73 ± 0.12 b | 6.03 ± 0.12 a | 7.03 ± 0.12 a | 9.03 ± 0.12 b | 13.06 ± 0.04 c |
| T2 | 4.46 ± 0.28 b | 10.96 ± 0.12 b | 15.06 ± 0.16 c | 4.6 ± 0.16 ns | 7.4 ± 0.07 a | 12.4 ± 0.05 a | 8.03 ± 0.11 b | 10.1 ± 0.08 c |
| T3 | 6.23 ± 0.12 b | 5.76 ± 0.26 a | 10.13 ± 0.12 a | 4.5 ± 0.08 a | 6.16 ± 0.12 a | 8.5 ± 0.08 a | 10.1 ± 0.08 b | 7.26 ± 0.04 c |
| T4 | 4.53 ± 0.12 b | 10.2 ± 0.08 a | 14.03 ± 0.12 c | 5.13 ± 0.12 a | 7.1 ± 0.07 a | 5.1 ± 0.06 a | 10.2 ± 0.98 b | 3.6 ± 0.07 b |
| T5 | 4.53 ± 0.20 b | 6.46 ± 0.16 a | 7.16 ± 0.12 a | 90 ± 0.08 a | 10.1 ± 0.06 a | 11.1 ± 0.08 b | 12 ± 0.08 ns | 5.5 ± 0.08 ns |
| T6 | 7.13 ± 0.12 b | 2.1 ± 0.14 a | 6.4 ± 0.08 a | 14.2 ± 0.08 a | 4.23 ± 0.16 a | 6.1 ± 0.98 c | 5.03 ± 0.12 a | 6.13 ± 0.09 b |
| T7 | 5.46 ± 0.20 b | 4.4 ± 0.08 a | 14.03 ± 0.12 c | 4.4 ± 0.08 c | 7.00 ± 0.09 a | 6.4 ± 0.08 a | 11.03 ± 0.12 c | 3.8 ± 0.07 b |
| T8 | 4.1 ± 0.21 b | 3.3 ± 0.16 a | 6.9 ± 0.45 b | 6.33 ± 0.12 a | 6.00 ± 0.08 a | 6.00 ± 0.10 a | 12.5 ± 0.08 ns | 3.2 ± 0.16 a |
| Treatment | L. siceraria | B. hispida | L. acutangula | L. aegyptiaca | M. charantia | T. cucumerina | C. melo | C. moschata |
|---|---|---|---|---|---|---|---|---|
| T0 | 8.01 ± 0.21 | 9.13 ± 0.12 | 7.06 ± 0.04 | 8.01 ± 0.08 | 6.06 ± 0.04 | 5.43 ± 0.09 | 6.00 ± 0.08 | 10.23 ± 0.20 |
| T1 | 6.46 ± 0.12 a | 9.02 ± 0.16 a | 4.36 ± 0.09 b | 7.26 ± 0.12 ns | 7.06 ± 0.16 c | 5.03 ± 0.12 ns | 5.03 ± 0.14 c | 9.33 ± 0.12 c |
| T2 | 6.05 ± 0.08 b | 6.03 ± 0.12 b | 6.03 ± 0.12 c | 5.05 ± 0.08 b | 5.01 ± 0.08 b | 7.01 ± 0.08 c | 2.09 ± 0.08 b | 12.00 ± 0.08 c |
| T3 | 5.03 ± 0.08 b | 5.00 ± 0.08 a | 8.00 ± 0.08 c | 7.07 ± 0.35 ns | 3.02 ± 0.14 b | 7.43 ± 0.04 b | 2.05 ± 0.08 b | 8.13 ± 0.12 c |
| T4 | 8.36 ± 0.12 b | 8.43 ± 0.16 a | 5.03 ± 0.12 b | 7.33 ± 0.12 ns | 7.02 ± 0.16 c | 4.33 ± 0.16 b | 5.01 ± 0.08 c | 7.02 ± 0.08 b |
| T5 | 5.05 ± 0.16 ns | 8.26 ± 0.12 a | 6.03 ± 0.08 c | 6.06 ± 0.04 a | 3.03 ± 0.21 b | 4.96 ± 0.12 c | 4.03 ± 0.14 c | 9.03 ± 0.12 ns |
| T6 | 6.43 ± 0.17 a | 4.01 ± 0.08 a | 7.13 ± 0.12 ns | 6.06 ± 0.16 b | 5.02 ± 0.21 ns | 7.13 ± 0.12 c | 3.13 ± 0.12 b | 5.07 ± 0.08 b |
| T7 | 4.53 ± 0.12 a | 6.00 ± 0.08 a | 5.36 ± 0.12 c | 2.04 ± 0.08 a | 8.03 ± 0.12 b | 7.04 ± 0.21 b | 3.33 ± 0.16 b | 5.00 ± 0.08 b |
| T8 | 8.01 ± 0.08 c | 6.02 ± 0.08 a | 9.43 ± 0.16 b | 6.01 ± 0.08 b | 9.03 ± 0.12 b | 9.03 ± 0.12 b | 4.01 ± 0.08 b | 6.03 ± 0.21 a |
| Treatment | L. siceraria | B. hispida | L. acutangula | L. aegyptiaca | M. charantia | T. cucumerina | C. melo | C. moschata |
|---|---|---|---|---|---|---|---|---|
| T0 | 70.00 ± 0.81 | 60.66 ± 1.69 | 80.00 ± 0.81 | 90 ± 0.80 | 90 ± 0.81 | 90.66 ± 0.85 | 90.33 ± 0.47 | 60.06 ± 0.81 |
| T1 | 40.00 ± 0.77 c | 40.33 ± 0.81 ns | 40.33 ± 0.81 ns | 30.00 ± 0.81 a | 30.66 ± 0.81 c | 60.06 ± 0.46 ns | 80.33 ± 1.24 ns | 20.33 ± 0.78 a |
| T2 | 30.66 ± 0.77 ns | 60.33 ± 0.47 ns | 30.66 ± 0.47 c | 30.66 ± 0.80 a | 20.00 ± 1.32 a | 40.66 ± 0.47 c | 80.00 ± 0.81 ns | 20.00 ± 0.82 a |
| T3 | 30.66 ± 0.80 c | 30.66 ± 0.82 ns | 40.33 ± 0.40 c | 20.00 ± 0.81 a | 30.00 ± 0.81 a | 30.66 ± 0.47 c | 30.66 ± 0.47 c | 40.00 ± 0.81 a |
| T4 | 20.00 ± 0.78 c | 40.33 ± 0.80 ns | 30.66 ± 0.40 c | 20.66 ± 0.47 b | 20.66 ± 1.24 b | 20.33 ± 0.44 b | 50.33 ± 0.47 a | 30.00 ± 0.80 a |
| T5 | 20.33 ± 0.76 a | 40.33 ± 0.77 ns | 20.66 ± 0.47 c | 40.33 ± 0.47 ns | 30.00 ± 0.81 a | 20.66 ± 0.45 c | 30.00 ± 0.00 b | 30.66 ± 0.80 a |
| T6 | 20.66 ± 0.80 c | 30.00 ± 0.76 ns | 20.00 ± 0.81 c | 20.66 ± 0.46 b | 30.66 ± 0.80 a | 20.66 ± 0.47 c | 50.33 ± 0.46 a | 30.00 ± 0.79 a |
| T7 | 30.00 ± 0.82 a | 20.66 ± 0.75 ns | 20.66 ± 0.47 c | 20.00 ± 0.80 a | 30.00 ± 0.81 a | 10.66 ± 0.47 a | 40.33 ± 0.47 a | 20.66 ± 0.77 a |
| T8 | 20.66 ± 0.80 a | 20.66 ± 0.81 ns | 20.00 ± 0.81 c | 20.00 ± 0.81 a | 30.66 ± 1.21 a | 30.00 ± 0.00 b | 20.33 ± 0.47 c | 20.00 ± 0.76 a |
| Treatment | L. siceraria | B. hispida | L. acutangula | L. aegyptiaca | M. charantia | T. cucumerina | C. melo | C. moschata |
|---|---|---|---|---|---|---|---|---|
| T0 | 10.2 ± 0.16 | 14.2 ± 0.16 | 13 ± 0.08 | 11.4 ± 0.08 | 22.4 ± 0.08 | 17.1 ± 0.08 | 12.3 ± 0.16 | 11.1 ± 0.08 |
| T1 | 14.66 ± 0.12 b | 10.33 ± 0.04 b | 6.53 ± 0.12 a | 9.3 ± 0.08 b | 7.1 ± 0.08 a | 13.1 ± 0.08 a | 9.33 ± 0.12 a | 4.5 ± 0.08 a |
| T2 | 6.13 ± 0.12 a | 7.3 ± 0.08 b | 11.63 ± 0.04 b | 12.1 ± 0.08 ns | 7.0 ± 0.07 a | 5.76 ± 0.04 a | 11.33 ± 0.12 b | 7.53 ± 0.12 b |
| T3 | 4.4 ± 0.08 a | 6.16 ± 0.12 a | 6.66 ± 0.12 a | 4.8 ± 0.08 a | 9.1 ± 0.08 a | 17.16 ± 0.12 ns | 6.1 ± 0.08 b | 6.13 ± 0.12 a |
| T4 | 5.46 ± 0.20 b | 6.76 ± 0.04 a | 15.3 ± 0.06 b | 5.3 ± 0.05 a | 4.06 ± 0.04 a | 5.2 ± 0.16 a | 9.3 ± 0.08 b | 10.5 ± 0.08 c |
| T5 | 7.1 ± 0.08 b | 4.36 ± 0.04 a | 3.7 ± 0.08 a | 6.8 ± 0.09 a | 7.13 ± 0.12 a | 6.36 ± 0.09 a | 8.46 ± 0.12 b | 3.26 ± 0.12 a |
| T6 | 4.3 ± 0.07 b | 5.13 ± 0.09 a | 14.06 ± 0.04 c | 3.5 ± 0.08 a | 5.16 ± 0.12 a | 8.33 ± 0.12 a | 12.46 ± 0.12 b | 6.1 ± 0.08 a |
| T7 | 4.8 ± 0.08 b | 7.56 ± 0.04 a | 10.16 ± 0.12 b | 10.56 ± 0.04 c | 5.1 ± 0.08 a | 9.4 ± 0.08 a | 10.1 ± 0.08 c | 3.46 ± 0.12 a |
| T8 | 3.6 ± 0.10 c | 3.8 ± 0.08 a | 6.56 ± 0.04 a | 4.56 ± 0.04 a | 6.1 ± 0.08 a | 6.93 ± 0.04 a | 5.2 ± 0.08 b | 3 ± 0.08 a |
| Treatment | L. siceraria | B. hispida | L. acutangula | L. aegyptiaca | M. charantia | T. cucumerina | C. melo | C. moschata |
|---|---|---|---|---|---|---|---|---|
| T0 | 8.13 ± 0.12 | 9.1 ± 0.08 | 7.1 ± 0.08 | 8.1 ± 0.08 | 6.1 ± 0.08 | 5.36 ± 0.09 | 6.13 ± 0.12 | 10.4 ± 0.08 |
| T1 | 6.16 ± 0.12 a | 8.2 ± 0.16 c | 10.1 ± 0.07 a | 6.1 ± 0.08 a | 5.03 ± 0.12 a | 7.33 ± 0.12 a | 2.23 ± 0.16 a | 7.4 ± 0.08 a |
| T2 | 5.43 ± 0.04 a | 8.13 ± 0.12 b | 4.4 ± 0.08 a | 4.1 ± 0.07 a | 7.13 ± 0.12 a | 10.03 ± 0.12 a | 3.1 ± 0.06 a | 7.06 ± 0.04 a |
| T3 | 5.2 ± 0.21 b | 5.6 ± 0.08 a | 6.1 ± 0.08 b | 7.4 ± 0.08 b | 6.06 ± 0.16 b | 5.1 ± 0.08 ns | 2.6 ± 0.08 a | 9.4 ± 0.08 b |
| T4 | 6.13 ± 0.09 a | 8.16 ± 0.12 b | 10.2 ± 0.08 a | 7.1 ± 0.08 b | 10.13 ± 0.12 a | 4.56 ± 0.04 b | 3.5 ± 0.07 a | 12 ± 0.08 a |
| T5 | 8.53 ± 0.12 ns | 5.8 ± 0.08 a | 5.13 ± 0.09 a | 8.1 ± 0.08 ns | 5.1 ± 0.08 c | 5.6 ± 0.08 ns | 3 ± 0.07 a | 7.5 ± 0.35 c |
| T6 | 9.13 ± 0.12 b | 7.53 ± 0.12 b | 5.7 ± 0.08 a | 6.13 ± 0.12 a | 4.2 ± 0.16 a | 9.1 ± 0.07 a | 3.5 ± 0.08 a | 6.16 ± 0.12 a |
| T7 | 6.63 ± 0.12 b | 9.16 ± 0.12 ns | 8.1 ± 0.08 b | 5.2 ± 0.08 a | 3.1 ± 0.08 a | 9.1 ± 0.07 a | 1.6 ± 0.06 a | 5.53 ± 0.12 a |
| T8 | 8.76 ± 0.04 c | 6.3 ± 0.08 a | 7.1 ± 0.07 ns | 5.53 ± 0.12 a | 4.1 ± 0.08 a | 4.6 ± 0.08 b | 2.5 ± 0.08 a | 6.83 ± 0.04 a |
Disclaimer/Publisher’s Note: The statements, opinions and data contained in all publications are solely those of the individual author(s) and contributor(s) and not of MDPI and/or the editor(s). MDPI and/or the editor(s) disclaim responsibility for any injury to people or property resulting from any ideas, methods, instructions or products referred to in the content. |
© 2024 by the authors. Licensee MDPI, Basel, Switzerland. This article is an open access article distributed under the terms and conditions of the Creative Commons Attribution (CC BY) license (https://creativecommons.org/licenses/by/4.0/).
Share and Cite
Akter, P.; Siddiqua, T.; Begum, R.; Ahmed, A.M.A. Evaluation of the Allelopathic Activity of Aqueous and Methanol Extracts of Heliotropium indicum Leaves and Roots on Eight Cucurbit Crops. Horticulturae 2024, 10, 135. https://doi.org/10.3390/horticulturae10020135
Akter P, Siddiqua T, Begum R, Ahmed AMA. Evaluation of the Allelopathic Activity of Aqueous and Methanol Extracts of Heliotropium indicum Leaves and Roots on Eight Cucurbit Crops. Horticulturae. 2024; 10(2):135. https://doi.org/10.3390/horticulturae10020135
Chicago/Turabian StyleAkter, Pervin, Tahera Siddiqua, Rabeya Begum, and A. M. Abu Ahmed. 2024. "Evaluation of the Allelopathic Activity of Aqueous and Methanol Extracts of Heliotropium indicum Leaves and Roots on Eight Cucurbit Crops" Horticulturae 10, no. 2: 135. https://doi.org/10.3390/horticulturae10020135
APA StyleAkter, P., Siddiqua, T., Begum, R., & Ahmed, A. M. A. (2024). Evaluation of the Allelopathic Activity of Aqueous and Methanol Extracts of Heliotropium indicum Leaves and Roots on Eight Cucurbit Crops. Horticulturae, 10(2), 135. https://doi.org/10.3390/horticulturae10020135

