Preharvest Applications Improve the Postharvest Storage and Quality of Tomato Fruits by Enhancing the Nutritional Value and Antioxidant System
Abstract
1. Introduction
2. Materials and Methods
2.1. Preharvest Treatments
2.2. Field Treatments
2.3. Laboratory Experiment Design
2.4. Fruit Quality and Physicochemical Estimation
2.4.1. Percent Weight Loss
2.4.2. Pigment Estimation
2.4.3. Fruit Firmness and Total Soluble Solids
2.4.4. Percent Reducing Sugar and Starch Content
2.4.5. Total Organic Acid and Ascorbic Acid
2.4.6. Enzyme Activities
2.4.7. Tannin and Pectin Content
2.4.8. Color Measurement
2.5. Statistical Analysis
3. Results and Discussion
3.1. Weight Loss
3.2. Leaf Pigments
3.3. Fruit Firmness and Total Soluble Solids
3.4. Reducing Sugar and Starch Content
3.5. Total Organic Acid and Ascorbic Acid
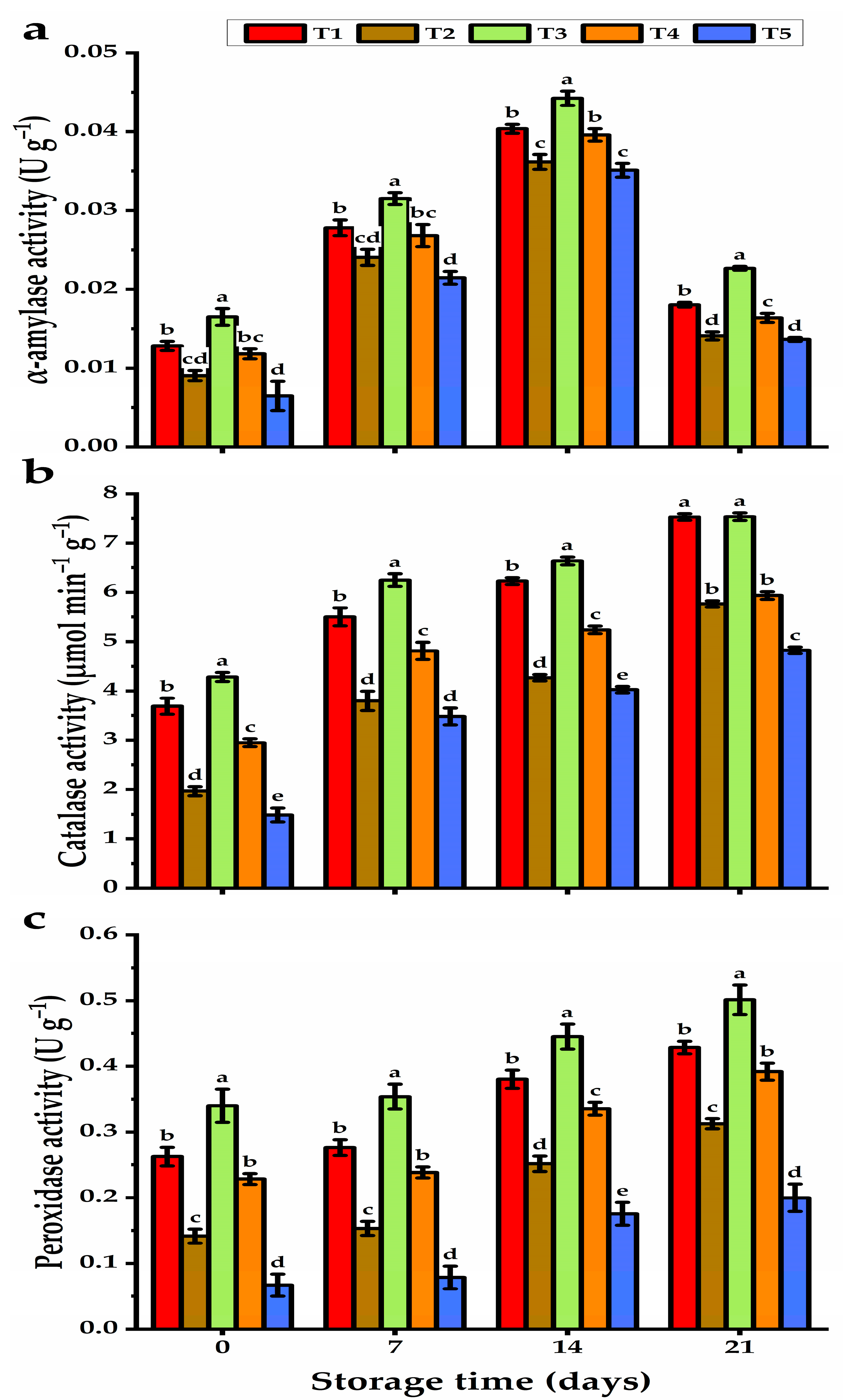
3.6. Enzyme Activities
3.7. Tannin and Pectin Content
3.8. Color Traits
4. Conclusions
Author Contributions
Funding
Data Availability Statement
Acknowledgments
Conflicts of Interest
References
- Helyes, L.; Lugasi, A.; Pogonyi, A.; Pék, Z. Effect of variety and grafting on lycopene content of tomato (Lycopersicon lycopersicum L. Karsten) fruit. Acta Aliment. 2009, 38, 27–34. [Google Scholar] [CrossRef]
- Poór, P.; Ördög, A.; Czékus, Z.; Borbély, P.; Takács, Z.; Kovács, J.; Tari, I. Regulation of the key antioxidant enzymes by developmental processes and environmental stresses in the dark. Biol. Plant. 2018, 62, 201–210. [Google Scholar] [CrossRef]
- Tokas, J.; Kumar, N.; Punia, H.; Dhankar, S.K.; Yashveer, S.; Singal, H.R.; Sheokand, R.N. Response of antioxidant system to postharvest salicylic acid treatment in tomato (Solanum lycopersicum L.) fruit stored at ambient temperature. J. Agric. Sci. Technol. 2023, 25, 155–169. [Google Scholar] [CrossRef]
- Hobson, G.E. Pre-and post-harvest strategies in the production of high quality tomato fruit. Appl. Agric. Res. 2008, 3, 282–287. [Google Scholar]
- Melkamu, M.; Seyoum, T.; Woldetsadik, K. Effects of pre and post-harvest treatments on changes in sugar content of tomato. Afr. J. Biotechnol. 2008, 7, 1139–1144. [Google Scholar]
- Oko-Ibom, G.O.; Asiegbu, J.E. Aspects of tomato fruit quality as influenced by cultivar and scheme of fertilizer application. Agro-Sci. J. Trop. Agric. Food Environ. Ext. 2007, 6, 71–81. [Google Scholar]
- Batu, A. Determination of acceptable firmness and colour values of tomatoes. J. Food Eng. 2004, 61, 471–475. [Google Scholar] [CrossRef]
- Sheta, M.H.; Hasham, M.M.A.; Ghanem, K.Z.; Bayomy, H.M.; El-Sheshtawy, A.-N.A.; El-Serafy, R.S.; Naif, E. Screening of Wheat genotypes for water stress tolerance using soil–water relationships and multivariate statistical approaches. Agronomy 2024, 14, 1029. [Google Scholar] [CrossRef]
- Sheta, M.H.; Abd El-Wahed, A.H.M.; Elshaer, M.A.; Bayomy, H.M.; Ozaybi, N.A.; Abd-Elraheem, M.A.M.; El-Sheshtawy, A.-N.A.; El-Serafy, R.S.; Moustafa, M.M.I. Green synthesis of zinc and iron nanoparticles using Psidium guajava leaf extract stimulates cowpea growth, yield, and tolerance to saline water irrigation. Horticulturae 2024, 10, 915. [Google Scholar] [CrossRef]
- El-Serafy, R.S.; Dahab, A.A.; Ghanem, K.Z.; Elhakem, A.; Bahgat, A.R.; Venkatesh, J.; El-Sheshtawy, A.A.; Badawy, A. As a natural antioxidant: Sesbania Grandiflora leaf extract enhanced growth and yield performance, active ingredients and tolerance of Hibiscus sabdariffa L. under salt-affected soil. J. Soil Sci. Plant Nutr. 2024, 24, 3406–3420. [Google Scholar] [CrossRef]
- Bahgat, A.R.; Dahab, A.A.; Elhakem, A.; Gururani, M.A.; El-Serafy, R.S. Integrated action of rhizobacteria with Aloe vera and moringa leaf extracts improves defense mechanisms in Hibiscus sabdariffa L. cultivated in saline Soil. Plants 2023, 12, 3684. [Google Scholar] [CrossRef] [PubMed]
- El-Serafy, R.S.; El-Sheshtawy, A.N.A.; Dahab, A.A. Fruit peel soil supplementation induces physiological and biochemical tolerance in Schefflera arboricola L. grown under heat conditions. J. Soil Sci. Plant Nutr. 2023, 23, 1046–1059. [Google Scholar] [CrossRef]
- Alshallash, K.S.; Mohamed, M.F.; Dahab, A.A.; Abd El-Salam, H.S.; El-Serafy, R.S. Biostimulation of Plectranthus amboinicus (Lour.) Spreng. with different yeast strains: Morphological performance, productivity, phenotypic plasticity, and antioxidant activity. Horticulturae 2022, 8, 887. [Google Scholar] [CrossRef]
- Sheha, A.M.; El-Enin, M.M.A.; El-Hashash, E.F.; El-Serafy, R.S.; Shaaban, A. The productivity and overall benefits of faba bean-sugar beet intercropping systems interacted with foliar-applied nutrients. J. Plant Nutr. 2023, 46, 1683–1700. [Google Scholar] [CrossRef]
- Youssef, S.M.; El-Serafy, R.S.; Ghanem, K.Z.; Elhakem, A.; Abdel Aal, A.A. Foliar spray or soil drench: Microalgae application impacts on soil microbiology, morpho-physiological and biochemical responses, oil and fatty acid profiles of chia plants under alkaline stress. Biology 2022, 11, 1844. [Google Scholar] [CrossRef]
- Ghanem, K.Z.; Hasham, M.M.A.; El-Sheshtawy, A.A.; El-Serafy, R.S.; Sheta, M.H. Biochar stimulated actual evapotranspiration and wheat productivity under water deficit conditions in sandy soil based on non-weighing lysimeter. Plants 2022, 11, 3346. [Google Scholar] [CrossRef]
- Atteya, A.K.G.; El-Serafy, R.S.; El-Zabalawy, K.M.; Elhakem, A.; Genaidy, E.A.E. Brassinolide maximized the fruit and oil yield, induced the secondary metabolites, and stimulated linoleic acid synthesis of Opuntia ficus-indica oil. Horticulturae 2022, 8, 452. [Google Scholar] [CrossRef]
- Attia, M.A.E.H.; El-Enin, M.M.A.; Tahoun, A.M.A.; Abdelghany, F.I.M.; El-Serafy, R.S. Productivity of some barley cultivars as affected by supplemental irrigation under rainfed conditions. Aust. J. Crop Sci. 2022, 16, 665–675. [Google Scholar] [CrossRef]
- El-Serafy, R.S.; El-Sheshtawy, A.A.; Dahab, A.A.; Al-Ashkar, I. Can yeast extract and chitosan-oligosaccharide improve fruit yield and modify the pharmaceutical active ingredients of organic fennel? Ind. Crops Prod. 2021, 173, 114130. [Google Scholar] [CrossRef]
- Dahab, A.A.; Bayomy, H.M.; El-Salam, H.S.A.; Almasoudi, S.E.; Ozaybi, N.A.; Mahmoud, G.A.; Atteya, A.K.G.; El-Serafy, R.S. Seed disinfection treatments minimized microbial load and enhanced nutritional properties of fenugreek sprouts which alleviated diabetes-negative disorders in diabetic rats. Nutrients 2024, 16, 2635. [Google Scholar] [CrossRef]
- El-Serafy, R.S.; El-Sheshtawy, A.-N.A.; Abd El-Razek, U.A.; Abd El-Hakim, A.F.; Hasham, M.M.A.; Sami, R.; Khojah, E.; Al-Mushhin, A.A.M. Growth, yield, quality, and phytochemical behavior of three cultivars of Quinoa in response to moringa and azolla extracts under organic farming conditions. Agronomy 2021, 11, 2186. [Google Scholar] [CrossRef]
- Canellas, L.P.; Olivares, F.L. Physiological responses to humic substances as plant growth promoter. Chem. Biol. Technol. Agric. 2014, 1, 3. [Google Scholar] [CrossRef]
- Xu, J.; Mohamed, E.; Li, Q.; Lu, T.; Yu, H.; Jiang, W. Effect of humic acid addition on buffering capacity and nutrient storage capacity of soilless substrates. Front. Plant Sci. 2021, 12, 644229. [Google Scholar] [CrossRef] [PubMed]
- Halpern, M.; Bar-Tal, A.; Ofek, M.; Minz, D.; Muller, T.; Yermiyahu, U. The use of biostimulants for enhancing nutrient uptake. Adv. Agron. 2015, 130, 141–174. [Google Scholar]
- Puglisi, E.; Pascazio, S.; Suciu, N.; Cattani, I.; Fait, G.; Spaccini, R.; Crecchio, C.; Piccolo, A.; Trevisan, M. Rhizosphere microbial diversity as influenced by humic substance amendments and chemical composition of Rhizodeposits. J. Geochem. Explor. 2013, 129, 82–94. [Google Scholar] [CrossRef]
- Canellas, L.P.; Canellas, N.O.A.; Luiz Eduardo, L.E.S.; Olivares, F.L.; Piccolo, A. Plant chemical priming by humic acids. Chem. Biol. Technol. Agric. 2020, 7, 12. [Google Scholar] [CrossRef]
- Nardi, S.; Schiavon, M.; Francioso, O. Chemical structure and biological activity of humic substances define their role as plant growth promoters. Molecules 2021, 26, 2256. [Google Scholar] [CrossRef]
- Babalar, M.; Asghari, M.; Talaei, A.R.; Khosroshahi, A. Effect of pre- and postharvest salicylic acid treatment on ethylene production, fungal decay and overall quality of Selva strawberry fruit. Food Chem. 2007, 105, 449–453. [Google Scholar] [CrossRef]
- Khan, W.; Prithiviraj, B.; Smith, D. Photosynthetic responses of corn and soybean to foliar application of salicylates. J. Plant Physiol. 2003, 160, 485–492. [Google Scholar] [CrossRef]
- Fariduddin, Q.; Hayat, S.; Ahmad, A. Salicylic acid influences net photosynthetic rate, carboxylation efficiency, nitrate reductase activity and seed yield in Brassica juncea. Photosynthetica 2003, 41, 281–284. [Google Scholar] [CrossRef]
- Hayat, Q.; Hayat, S.; Irfan, M.; Ahmad, A. Effect of exogenous salicylic acid under changing environment: A review. Environ. Exp. Bot. 2010, 68, 14–25. [Google Scholar] [CrossRef]
- Janda, T.; Horvath, E.; Szalai, G.; Paldi, E. Role of salicylic acid in the induction of abiotic stress tolerance. In Salicylic Acid: A Plant Hormone; Hayat, S., Ahmad, A., Eds.; Springer: Dordrecht, The Netherlands, 2007; pp. 91–150. [Google Scholar]
- Hayat, S.H.; Hasan, S.A.; Fariduddin, Q.; Ahmad, D.A. Growth of tomato (Lycopersicon esculentum) in response to salicylic acid under water stress. J. Plant Interact. 2008, 3, 297–304. [Google Scholar] [CrossRef]
- Abou-Zaid, M.I.; Tohamy, M.R.; Arisha, H.M.; Raafat, S.M. Role of modified atmosphere and some physical treatments under cool storage conditions in controlling post-harvest cherry tomatoes spoilage. Zagazig J. Agric. Res. 2020, 47, 1463–1477. [Google Scholar] [CrossRef]
- Minh, N.P. Quality attributes of cantaloupe (Cucum ismelo L.) fruit under pre-harvest and post-harvest treatment with methyl jasmonate and salicylic acid. Plant Sci. Today 2022, 9, 52–61. [Google Scholar] [CrossRef]
- Giménez, M.J.; Valverde, J.M.; Valero, D.; Guillén, F.; Martínez-Romero, D.; Serrano, M.; Castillo, S. Quality and antioxidant properties on sweet cherries as affected by pre-harvest salicylic and acetylsalicylic acids treatments. Food Chem. 2014, 160, 226–232. [Google Scholar] [CrossRef]
- Moneruzzaman, K.M.; Hossain, A.B.M.S.; Sani, W.; Saifuddin, M.; Alenazi, M. Effect of harvesting and storage conditions on the postharvest quality of tomato (Lycopersicon esculentum Mill) cv. Roma VF. Aust. J. Crop Sci. 2009, 3, 113–121. [Google Scholar]
- Mackinney, G. Absorption of light by chlorophyll solutions. J. Biol. Chem. 1941, 140, 315–322. [Google Scholar] [CrossRef]
- Maclachlan, S.; Zalik, S. Plastid structure, chlorophyll concentration, and free amino acid composition of a chlorophyll mutant of barley. Can. J. Bot. 1963, 41, 1053–1062. [Google Scholar] [CrossRef]
- Javanmardi, J.; Akbari, N. Salicylic acid at different plant growth stages affects secondary metabolites and phisico-chemical parameters of greenhouse tomato. Adv. Hortic. Sci. 2016, 30, 151–157. [Google Scholar]
- Mui, N.V. Practice in Biochemistry, 2nd ed.; Technology and Science Publishing House: Hanoi, Vietnam, 2001; 205p. [Google Scholar]
- Le Thuy, T.; Le Trong, V.; TK, D.H. Physiological and biochemical changes during the growth of custard apple (Annona squamosa L.) fruit cultivated in Vietnam. J. Hort. Res. 2021, 29, 75–84. [Google Scholar]
- Chau, P.T.T.; Hien, N.T.; Tuong, P.G. Biochemistry Practice; Educational Publishing House: Hanoi, Vietnam, 1998. [Google Scholar]
- A.O.A.C. Official Methods of Analysis, 18th ed.; Association of Official Analytical Chemists: Washington, DC, USA, 1995.
- Varavinit, S.; Chaokasem, N.; Shobsngob, S. Immobilization of a thermostable alpha-amylase. Sci. Asia 2002, 28, 247–251. [Google Scholar] [CrossRef]
- Aebi, H. Catalase in vitro. In Methods in Enzymology; Academic Press: New York, NY, USA, 1984; Volume 105, pp. 121–126. [Google Scholar]
- Hammerschmidt, R.; Nuckles, E.M.; Kuć, J. Association of enhanced peroxidase activity with induced systemic resistance of cucumber to Colletotrichum lagenarium. Physiol. Plant Pathol. 1982, 20, 73–82. [Google Scholar] [CrossRef]
- Chanwitheesuk, A.; Teerawutgulrag, A.; Rakariyatham, N. Screening of antioxidant activity and antioxidant compounds of some edible plants of Thailand. Food Chem. 2004, 92, 491–497. [Google Scholar] [CrossRef]
- Gururani, M.A.; Atteya, A.K.; Elhakem, A.; El-Sheshtawy, A.N.A.; El-Serafy, R.S. Essential oils prolonged the cut carnation longevity by limiting the xylem blockage and enhancing the physiological and biochemical levels. PLoS ONE 2023, 3, e0281717. [Google Scholar] [CrossRef] [PubMed]
- Javanmardi, J.; Kubota, C. Variation of lycopene, antioxidant activity, total soluble solids and weight loss of tomato during postharvest storage. Postharvest Biol. Technol. 2006, 41, 151–155. [Google Scholar] [CrossRef]
- Kabir, S.N.; Ali, M.; Lee, W.-H.; Cho, S.-I.; Chung, S.-O. Physicochemical quality changes in tomatoes during delayed cooling and storage in a controlled chamber. Agriculture 2020, 10, 196. [Google Scholar] [CrossRef]
- Nardi, S.; Pizzeghello, D.; Muscolo, A.; Vianello, A. Physiological effects of humic substances on higher plants. Soil Biol. Biochem. 2002, 34, 1527–1536. [Google Scholar] [CrossRef]
- Zoran, I.; Yulia, P.; Sharon, A.; Azica, C.; Elazar, F. A short prestorage hot water rinse and brushing reduces decay development in tomato, while maintaining its quality. Trop. Agric. Res. Ext. 2001, 4, 1–5. [Google Scholar]
- Sarinana-Aldaco, O.; Sanchez-Chavez, E.; Fortis-Hernandez, M.; Gonzalez-Fuentes, J.A.; Moreno-Resendez, A.; Rojas-Duarte, A.; Preciado-Rangel, P. Improvement of the nutraceutical quality and yield of tomato by application of salicylic acid. Not. Bot. Horti Agrobot. 2020, 48, 882–892. [Google Scholar] [CrossRef]
- El-Serafy, R.S. Silica Nanoparticles enhances physio-biochemical characters and postharvest quality of Rosa hybrida L. cut flowers. J. Hortic. Res. 2019, 27, 47–54. [Google Scholar] [CrossRef]
- Fahramand, M.; Moradi, H.; Noori, M.; Sobhkhizi, A.; Adibian, M.; Abdollahi, S.; Rigi, K. Influence of humic acid on increase yield of plants and soil properties. Int. J. Farming Allied Sci. 2014, 3, 339–341. [Google Scholar]
- Sahu, G.K.; Kar, M.; Sabat, S.C. Electron transport activities of isolated thylakoids from wheat plants grown in salicylic acid. Plant Biol. 2002, 4, 321–338. [Google Scholar] [CrossRef]
- Moharekar, S.T.; Lokhande, S.D.; Hara, T.; Tanaka, R.; Tanaka, A.; Chavan, P.D. Effects of salicylic acid on chlorophyll and carotenoid contents on wheat and moong seedlings. Photosynthetica 2003, 41, 315–317. [Google Scholar] [CrossRef]
- Elwan, M.W.M.; El-Hamahmy, M.A.M. Improved productivity and quality associated with salicylic acid application in green house pepper. Sci. Hortic. 2009, 122, 521–526. [Google Scholar] [CrossRef]
- Causse, M.; Buret, M.; Robini, K.; Verschave, P. Inheritance of nutritional and sensory quality traits in fresh market tomato and relation to consumer preferences. J. Food Sci. 2003, 68, 2342–2350. [Google Scholar] [CrossRef]
- Hosseini-Farahi, M.; Aboutalebi, A.; Eshghi, S.; Dastyaran, M.; Yosefim, F. Foliar application of humic acid on quantitative and qualitative characteristics of ‘Aromas’ strawberry in soilless culture. Agric. Commun. 2013, 1, 13–16. [Google Scholar]
- Zydlik, Z.; Zydlik, P. The Effect of a preparation containing humic acids on the growth, yield, and quality of strawberry fruits (Fragaria × ananassa (Duchesne ex Weston) Duchesne x Rozier). Agronomy 2023, 13, 1872. [Google Scholar] [CrossRef]
- Mahmoud, S.H.; EL-Tanahy, A.M.M.; Marzouk, N.M.; Abou-Hussein, S.D. Effect of fulvic acid and effective microorganisms (EM) on the vegetative growth and productivity of onion plants. Curr. Sci. Int. 2019, 8, 368–377. [Google Scholar]
- Quinet, M.; Angosto, T.; Yuste-Lisbona, F.J.; Blanchard-Gros, R.; Bigot, S.; Martinez, J.-P.; Lutts, S. Tomato fruit development and metabolism. Front. Plant Sci. 2019, 10, 1554. [Google Scholar] [CrossRef]
- Asghari, M.; Aghdam, M.S. Impact of salicylic acid on post-harvest physiology of horticultural crops. Trends Food Sci. Technol. 2010, 21, 502–509. [Google Scholar] [CrossRef]
- Tagele, A.; Woldetsadik, K.; Gedamu, F.; Rafi, M.M. Effects of preharvest applications of chemicals and storage conditions on the physico-chemical characteristics and shelf life of tomato (Solanum lycopersicum L.) fruit. Heliyon 2022, 8, e09494. [Google Scholar] [CrossRef] [PubMed]
- Dumvilli, J.C.; Fry, S.C. Uronic acid derived oligosaccharides: Their biosynthesis degradation and signaling role in non-diseased plant tissues. Plant Physiol. Biochem. 2000, 38, 125–140. [Google Scholar] [CrossRef]
- Ferrara, G.; Brunetti, G. Effects of the times of application of a soil humic acid on berry quality of table grape (Vitis vinifera L.) cv. Italia. Span. J. Agric. Res. 2010, 8, 817–822. [Google Scholar] [CrossRef]
- Kumar, N.; Kumar, P.; Tokas, J.; Singal, H.R. Post-harvest morpho-physiological changes in tomato after exogenous application of salicylic acid. Ann. Biol. 2018, 34, 92–94. [Google Scholar]
- Tadesse, T.; Workneh, T.S.; Woldetsadik, K. Effect of varieties on changes in sugar content and marketability of tomato stored under ambient conditions. Afr. J. Agric. Res. 2012, 7, 2024–2030. [Google Scholar]
- Turhan, A.; Şeniz, V. Estimation of certain chemical constituents of fruits of selected tomato genotypes grown in Turkey. Afr. J. Agric. Res. 2009, 4, 1086–1092. [Google Scholar]
- Srivastava, M.K.; Dwivedi, U.N. Delayed ripening of banana fruit by salicylic acid. Plant Sci. 2000, 158, 87–96. [Google Scholar] [CrossRef]
- Zachariakis, A.E.; Tzorakakis, I.; Kritsotakis, C.I.; Siminis, V. Humic substances stimulate plant growth and nutrient accumulation in grapevine rootstocks. Acta Hortic. 2001, 549, 131–136. [Google Scholar] [CrossRef]
- Mikkelsen, R.L. Humic materials for agriculture. Better Crops 2005, 89, 7–10. [Google Scholar]
- Liu, K.; Liu, J.; Li, H.; Yuan, C.; Zhong, J.; Chen, Y. Influence of postharvest citric acid and chitosan coating treatment on ripening attributes and expression of cell wall related genes in cherimoya (Annona cherimola Mill.) fruit. Sci. Hortic. 2016, 198, 1–11. [Google Scholar] [CrossRef]
- Dunoyer, A.A.T.; Castillo, F.C.; Camargo, J.M. Effect of humic acid on the growth of seedling tomato (Solanum lycopersicum) and melon Cucumis melo. Rev. Ambiente Água 2022, 17, e2808. [Google Scholar] [CrossRef]
- He, X.; Zhang, H.; Li, J.; Yang, F.; Dai, W.; Xiang, C.; Zhang, M. The positive effects of humic/fulvic acid fertilizers on the quality of Lemon fruits. Agronomy 2022, 12, 1919. [Google Scholar] [CrossRef]
- Javaheri, M.; Mashayekhi, K.; Dadkhah, A.; Tavallaee, F.Z. Effects of salicylic acid on yield and quality characters of tomato fruit (Lycopersicum esculentum Mill.). Int. J. Agric. Crop Sci. 2012, 4, 1184–1187. [Google Scholar]
- Ding, Z.S.; Tian, S.P.; Zheng, X.L.; Zhou, Z.W.; Xu, Y. Responses of reactive oxygen metabolism and quality in mango fruit to exogenous oxalic acid or salicylic acid under chilling temperature stress. Physiol. Plant. 2007, 130, 112–121. [Google Scholar] [CrossRef]
- Mandal, D.; Lalhmingchawii, C.; Hazarika, T.K.; Shukla, A.C. Effect of chitosan, wax and particle film coating on shelf life and quality of tomato cv. Samrudhi at ambient storage. Res. J. Agric. Sci. 2018, 9, 111–116. [Google Scholar]
- Sayyari, M.; Babalare, M.; Kalantarie, S.; Serranoc, M.; Valero, D. Effect of salicylic acid treatment on reducing chilling injury in stored pomegranates. Postharvest Biol. Technol. 2009, 53, 152–154. [Google Scholar] [CrossRef]
- Turfan, N.; Kibar, B.; Davletova, N.; Kibar, H. Ameliorative effects of humic acid and L-tryptophan on enzyme activity, mineral content, biochemical properties, and plant growth of spinach cultivated in saline conditions. Food Sci. Nutr. 2024, 12, 8324–8339. [Google Scholar] [CrossRef]
- Maswada, H.F.; Abd El-Razek, U.A.; El-Sheshtawy, A.A.; Elzaawely, A.A. Morpho-physiological and yield responses to exogenous moringa leaf extract and salicylic acid in maize (Zea mays L.) under water stress. Arch. Agron. Soil Sci. 2018, 64, 994–1010. [Google Scholar] [CrossRef]
- Tareen, M.J.; Abbasi, N.A.; Hafiz, I.A. Postharvest application of salicylic acid enhanced antioxidant enzyme activity and maintained quality of peach cv. “Flordaking” fruit during storage. Sci. Hortic. 2012, 142, 221–228. [Google Scholar] [CrossRef]
- Wang, F.; Du, C.; Chen, J.; Shi, L.; Li, H. A new method for determination of pectin content using spectrophotometry. Polymers 2021, 13, 2847. [Google Scholar] [CrossRef]
- Del Bubba, M.; Giordani, E.; Pippucci, L.; Cincinelli, A.; Checchini, L.; Galvan, P. Changes in tannins, ascorbic acid and sugar content in astringent persimmons during on-tree growth and ripening and in response to different postharvest treatments. J. Food Compos. Anal. 2009, 22, 668–677. [Google Scholar] [CrossRef]
- Iqbal, N.; Poór, P. Plant protection by tannins depends on defence-related phytohormones. J. Plant Growth Regul. 2024. [Google Scholar] [CrossRef]
- Duan, D.; Tong, J.; Xu, Q.; Dai, L.; Ye, J.; Wu, H.; Shi, J. Regulation mechanisms of humic acid on Pb stress in tea plant (Camellia sinensis L.). Environ. Pollut. 2020, 267, 115546. [Google Scholar] [CrossRef] [PubMed]
- Aked, J. Fruits and vegetables. In The Stability and Shelf-Life of Food; Kilcast, D., Subramaniam, P., Eds.; Woodhead Publish Ltd.: Sawston, UK, 2000; pp. 249–278. [Google Scholar]
- Khudairi, A.K. The ripening of tomatoes. Am. Sci. 1972, 60, 696. [Google Scholar]
- Buescher, R.W. Influence of carbon dioxide on postharvest ripening and deterioration of tomatoes. J. Am. Soc. Hortic. Sci. 1979, 104, 545. [Google Scholar] [CrossRef]
- Aghdam, M.S.; Asghari, M.; Babalar, M.; Sarcheshmeh, M.A.A. Impact of salicylic acid on postharvest physiology of fruits and vegetables. In Eco-Friendly Technology for Postharvest Produce Quality; Siddiqui, M.W., Ed.; Academic Press: New York, NY, USA, 2016; pp. 243–268. [Google Scholar]





| Treatment | Day 0 (g) | 7th Day (g) | 14th Day (g) | 21th Day (g) | Weight Loss (%) at the End of Storage |
|---|---|---|---|---|---|
| T1 | 62.44 ± 0.21 a | 59.3 ± 0.13 b | 58.9 ± 0.08 b | 58.4 ± 0.05 b | 6.95 |
| T2 | 62.18± 0.51 a | 58.2 ± 0.17 d | 57.8 ± 0.08 d | 57.3 ± 0.06 d | 9.05 |
| T3 | 62.24 ± 0.44 a | 59.9 ± 0.14 a | 59.6 ± 0.10 a | 59.0 ± 0.05 a | 5.90 |
| T4 | 62.36 ± 0.60 a | 58.9 ± 0.08 c | 58.4 ± 0.09 c | 57.9 ± 0.07 c | 7.99 |
| T5 | 62.70 ± 0.73 a | 57.7 ± 0.08 e | 57.1 ± 0.08 e | 56.6 ± 0.07 e | 10.42 |
| Storage Days | Treatments | L | C | H |
|---|---|---|---|---|
| 0 | T1 | 51.8 ± 0.8 a | 41.1 ± 0.8 b | 86.1 ± 1.0 b |
| T2 | 48.5 ± 0.5 bc | 38.9 ± 0.3 c | 76.5 ± 2.2 c | |
| T3 | 53.1 ± 0.6 a | 43.8 ± 0.4 a | 94.7 ± 1.7 a | |
| T4 | 50.4 ± 1.3 ab | 39.0 ± 0.3 c | 80.6 ± 1.5 c | |
| T5 | 46.5 ± 0.9 c | 35.9 ± 1.1 d | 71.2 ± 1.9 d | |
| 7 | T1 | 43.3 ± 1.0 a | 42.9 ± 0.8 b | 64.1 ± 1.0 b |
| T2 | 39.7 ± 0.4 bc | 40.2 ± 0.3 c | 44.7 ± 3.1 d | |
| T3 | 44.7 ± 1.1 a | 45.8 ± 0.4 a | 74.7 ± 1.7 a | |
| T4 | 41.8 ± 1.4 ab | 40.5 ± 0.3 c | 53.6 ± 1.5 c | |
| T5 | 37.5 ± 0.8 c | 36.9 ± 1.1 d | 43.3 ± 1.9 d | |
| 14 | T1 | 37.8 ± 1.1 ab | 44.9 ± 0.8 b | 44.1 ± 1.0 b |
| T2 | 33.8 ± 0.4 cd | 41.6 ± 0.3 c | 41.6 ± 1.6 b | |
| T3 | 39.4 ± 1.2 a | 47.9 ± 0.4 a | 53.1 ± 1.9 a | |
| T4 | 36.1 ± 1.4 bc | 42.3 ± 0.3 c | 43.2 ± 1.0 b | |
| T5 | 31.5 ± 0.8 d | 38.2 ± 1.1 d | 40.6 ± 1.1 b | |
| 21 | T1 | 34.9 ± 1.1 a | 45.8 ± 0.9 b | 41.1 ± 1.3 b |
| T2 | 31.1 ± 0.5 bc | 42.6 ± 0.5 bc | 37.1 ± 0.6 c | |
| T3 | 36.2 ± 1.1 a | 49.4 ± 0.3 a | 47.2 ± 0.6 a | |
| T4 | 33.4 ± 1.5 ab | 43.9 ± 1.4 b | 37.2 ± 0.7 c | |
| T5 | 28.5 ± 0.9 c | 40.3 ± 1.7 d | 34.7 ± 1.2 c |
Disclaimer/Publisher’s Note: The statements, opinions and data contained in all publications are solely those of the individual author(s) and contributor(s) and not of MDPI and/or the editor(s). MDPI and/or the editor(s) disclaim responsibility for any injury to people or property resulting from any ideas, methods, instructions or products referred to in the content. |
© 2024 by the authors. Licensee MDPI, Basel, Switzerland. This article is an open access article distributed under the terms and conditions of the Creative Commons Attribution (CC BY) license (https://creativecommons.org/licenses/by/4.0/).
Share and Cite
Al-Saif, A.M.; Ahmed, M.E.M.; Taha, M.A.; Sharma, A.; El-Sheshtawy, A.-N.A.; Abouelsaad, I.A.; El-Serafy, R.S.; Mahdy, R.M. Preharvest Applications Improve the Postharvest Storage and Quality of Tomato Fruits by Enhancing the Nutritional Value and Antioxidant System. Horticulturae 2024, 10, 1248. https://doi.org/10.3390/horticulturae10121248
Al-Saif AM, Ahmed MEM, Taha MA, Sharma A, El-Sheshtawy A-NA, Abouelsaad IA, El-Serafy RS, Mahdy RM. Preharvest Applications Improve the Postharvest Storage and Quality of Tomato Fruits by Enhancing the Nutritional Value and Antioxidant System. Horticulturae. 2024; 10(12):1248. https://doi.org/10.3390/horticulturae10121248
Chicago/Turabian StyleAl-Saif, Adel M., Mohamed E. M. Ahmed, Mohamed A. Taha, Ashutosh Sharma, Abdel-Nasser A. El-Sheshtawy, Ibrahim A. Abouelsaad, Rasha S. El-Serafy, and Rehab M. Mahdy. 2024. "Preharvest Applications Improve the Postharvest Storage and Quality of Tomato Fruits by Enhancing the Nutritional Value and Antioxidant System" Horticulturae 10, no. 12: 1248. https://doi.org/10.3390/horticulturae10121248
APA StyleAl-Saif, A. M., Ahmed, M. E. M., Taha, M. A., Sharma, A., El-Sheshtawy, A.-N. A., Abouelsaad, I. A., El-Serafy, R. S., & Mahdy, R. M. (2024). Preharvest Applications Improve the Postharvest Storage and Quality of Tomato Fruits by Enhancing the Nutritional Value and Antioxidant System. Horticulturae, 10(12), 1248. https://doi.org/10.3390/horticulturae10121248

