Abstract
Solid-state fermentation (SSF) of Chinese jujube with Cordyceps militaris was performed in the present study. The results revealed that the contents of total phenolic and flavonoid in rice medium with 50% jujube content increased to 1.59 mg GAE/g d.w. and 0.46 mg RE/g, respectively. The changes of phenolic acid composition showed a similar tendency, and three forms of individual phenolic compounds, namely free phenol, free/conjugated phenol, and bound phenol increased with the extension of the fermentation time. The determination of DPPH, ABTS, FRAP, and the ferrous ion chelating capacity showed that the fermentation significantly enhanced the antioxidant activity in vitro, and the protective functions against ethanol-induced oxidative stress in zebrafish were also then investigated. SSF co-treatment with EtOH reduced MDA elevation and enhanced the activities of SOD and GSH-Px, along with the T-AOC levels in a dose-dependent manner in adult and larval zebrafish. Moreover, the qRT-PCR findings demonstrated that SSF-jujube was capable of upregulating the mRNA expressions of Nrf2 and HO-1 and downregulated the levels of NF-κB in zebrafish larvae. In conclusion, solid-state fermented Chinese jujube with C. militaris was an effective process, exhibited a good antioxidant activity, and demonstrated a better protective effect against ethanol-induced oxidative stress.
1. Introduction
Jujube (Ziziphus jujuba Mill.), belonging to the family Rhamnaceae and genus Ziziphus, is well known as an important Zizyphus species [1]. Chinese jujube, also called red date or Chinese date, is native to China with a history of more than 4000 years. There are over 400 cultivars available in the arid and semiarid temperate regions of China. As the country of origin and the main producer, Jujube production of China was about 7.464 million tons in 2019, accounting for 98% of the world [2]. According to the record of ‘Huangdi Neijing’ (475-221 BC) [3], a classic Chinese medical monograph, Chinese jujube, which has been described as the “fruit of life”, has a long history of usage as a form of traditional Chinese medicine and vital food. Due to its functional and nutritional properties, including their high content of polysaccharides, minerals, vitamin C (VC), B1, and B2, phenol acids, and flavonoids, Chinese jujube exhibited a variety of pharmacological activities, mainly for hepatoprotective effects, but also including antitumor, antioxidant, anti-cardiovascular disease, anti-inflammatory, and gastrointestinal-protective activities [4].
As the type species of the Cordyceps genus, which belongs to the class of Ascomycetes, C. militaris has been used as traditional Chinese medicine for hundreds of years and was authorized as a new resources food in 2009, and as a novel food source in 2014 by National Health Commission of People’s Republic of China, respectively [5]. Active compounds of C. militaris (such as cordycepin, polysaccharides, cordycepic acid, and cordymin) exhibit a wide range of pharmacological effects, including antitumor, antioxidant, anti-inflammatory, immunomodulatory, and anti-microbial activities [6]. According to the traditional Chinese medicine theory, C. militaris is able to regulate liver function, and many scientific studies have also proven this multiple liver-protective activity, such as anti-HCV, anti-liver fibrosis, and treatment of alcoholic and non-alcoholic fatty livers [7,8,9].
Solid-state fermentation (SSF) has been considered to be an effective fermentation process for microorganisms using a solid substrate. Several advantages, such as having a high reproducibility and product titers, minimal waste output, and absence of foam formation, make SSF a convenient technology for secondary metabolites, and for enhancing the important nutrient and functional component in food products [10]. Fungi themselves can enormously participate in the process of fermentation by producing extracellular enzymes, some of which are capable of degrading complex polymers, such as cellulase or protease.
Zebrafish (Danio rerio) is an ideal model for assessing vertebrate biology with many advantages, such as transparent embryos, easy maintenance, high reproductive rate, and their genetic similarity to humans. It had been reported that the cardiovascular system, immune system, nervous system, and especially the digestive system (such as the liver, spleen, etc.) of zebrafish have a lot in common with the corresponding systems of other vertebrates, as well as in humans [11]. In addition, the antioxidant defenses of zebrafish was found to be similar to that of mammals, which suggested that fish and mammals exhibit similar cellular responses to oxidative stress [12].
In this research, we focused on the solid-state fermentation of Chinese jujube with C. militaris. C. militaris is an edible filamentous fungus which might be beneficial for the SSF process, and to provide plentiful novel nutraceutical compounds. To the best of our knowledge, no information is available regarding the influence of SSF with C. militaris on the active ingredients and biological activity of jujube as the substrate. Therefore, the objective of this study was to evaluate the effects of SSF-jujube by C. militaris on the total phenolic and flavonoid content, the phenolic acid composition, and the antioxidant potentiality of Chinese jujube. We hope to provide further understandings from this study in whether SSF-jujube with C. militaris can be used as a potential medicinal and functional food with broad application prospects.
2. Materials and Methods
2.1. Microorganism and Materials
The anamorph strain JY20 of C. militaris, originally isolated from fresh natural specimens, was confirmed by the means of both morphological and molecular methods and was conserved in a potato dextrose agar (PDA) slant. The spore suspension (approximately 108–109 spores/mL) was inoculated into 1000 mL of PDA liquid medium and was incubated at 22 °C and 150 rpm for 6 days as seed culture broth. Chinese jujube was purchased from the Inzone supermarket (Jinan, China), and was shattered to powder (60 mesh) for further usage.
1,1-dipheny-l,2-picrylhydrazyl (DPPH), ferrozine, and tricaine were all purchased from Sigma Chemicals Company (St. Louis, MO, USA). The commercial kits of total antioxidant capacity (using the ABTS and FRAP methods), superoxide dismutase (SOD), glutathione peroxidase (GSH-Px), malondialdehyde (MDA), and total protein content were bought from the Nanjing Jiancheng Institution of Biotechnology (Nanjing, China). All other chemicals and solvents used were of analytical reagent grade, and were obtained from Sinopharm Chemical Reagent Co., Ltd. (Shanghai, China).
2.2. Solid-State Fermentation and Biomass Measurements
Mixed dried jujube powder with rice in proportion and placed them in 500 mL glass jars. The total weight of the mixture was 20 g, and the final concentrations of jujube were 10%, 30%, and 50%, respectively. The glass jar was then moistened with 40 mL of deionized water, sterilized, and inoculated with a 4 mL seed broth of C. militaris. The fermentation procedure was incubated at 22 °C for 28 days, with the control rice medium without jujube.
The SSF biomass of C. militaris was indirectly estimated using the glucosamine content method [13]. The glucosamine content was assayed spectrophotometrically with Ehrlich’s reagent at 530 nm, using a standard curve of glucosamine in water (0.1–0.4 mg/mL). The amount of glucosamine in the fermented jujube was subtracted from that of the unfermented jujube, and the biomass of the fermented jujube was expressed as mg glucosamine/g jujube in dry base.
2.3. Content of Total Phenolic and Flavonoids
The extraction of the lyophilized fermentation product (60 mesh) was performed three times, each time with 10-fold volume of 80% ethanol under ultrasound at 45 °C for 20 min. The extract was centrifuged at 5000 rpm for 15 min. The combined supernatants were evaporated at 55 °C under reduced pressure, lyophilized, and then stored at −20 °C for further analysis.
The above SSF extract (1 g) was redissolved with 5 mL of 80% ethanol, filtered through 0.22 μm filters, and then used for the analysis of phenolic and flavonoids. The total phenolic content (TPC) was determined using the Folin–Ciocalteu method [14]. The absorbance of the mixtures at 760 nm was recorded. A standard curve was plotted using gallic acid (40–200 μg·mL−1) as the standard. The samples were independently analyzed in triplicate, and their results were expressed as milligrams of gallic acid equivalents per gram of dry weight (mg GAE/g d.w.).
Total flavonoid content (TFC) was measured referring to the method of Juan and Chou [15]. The absorbance was measured at 510 nm after reaction for 15 min. Rutin was used to calculate the total flavonoid content, and the determined results were expressed as milligrams of rutin equivalent per gram of dry weight (mg RE/g d.w.).
2.4. Extraction of Free, Free/Conjugated, and Bound Phenolics
Phenolic acids are mainly present in three forms: soluble free, soluble conjugated, and insoluble-bound states. Fermentation products (10 g, 60 mesh) were extracted with 100 mL of 80% ethanol three times, the supernatants were used to extract free phenolics and free/conjugated phenolics [16], and the residues were digested with 4 M NaOH and were used to extract bound phenolics as per the described method [17]. Samples were determined in triplicate and were expressed as milligrams of gallic acid equivalents per gram of dry weight (mg GAE/g d.w.).
2.5. Measurements of Antioxidant Activities In Vitro
One gram of SSF extract powder was redissolved with 30 mL of deionized water, filtered through 0.22 μm filters, and were subsequently used for the determination of the antioxidant activities. The DPPH free radical scavenging effect and the ferrous ion-chelating activity of the extracts were estimated using the method of Xiao [18]. The ABTS radical cation (ABTS+) scavenging activity and ferric-reducing power were evaluated according to the protocol of the total antioxidant capacity assay kit (ABTS method and FRAP method, respectively).
2.6. Measurements of the Antioxidant Responses In Vivo
2.6.1. Zebrafish Husbandry and Embryo Collection
The wild type (AB strain) zebrafish aged 4–5 months was provided by Eze-Rinka Co., Ltd. (Nanjing, China). Adult zebrafish were cultured in an automated recirculating system at 28.0 ± 0.5 °C with a 14 h light/10 h dark cycle, pH 7.0. The larval and adult fish were fed with live brine shrimp twice a day until at the point of drug administration. The suitable paired female and male fish according to a proportion of 1:2 were selected and then transferred to spawning tanks for mating. The fertilized eggs were collected the next day and raised in embryo medium (0.0001 g/L methyl blue)in an incubator at 28.0 ± 0.5 °C until 96 h post-fertilization (hpf). The dead embryos were timely removed during this period, and the healthy and hatched zebrafish were subsequently selected.
2.6.2. Exposure and Antioxidant Responses of Adult Zebrafish
The adult male zebrafish were raised and housed in 171 mM ethanol (1% EtOH) solution to investigate the liver injury caused by chronic alcohol exposure [19]. Seventy five zebrafish were randomly distributed into five groups, including the blank control treated with fish water only, the solvent control (1% EtOH), and three groups treated with SSF-jujube extracts of different final concentrations (0.1 mg/mL, 0.2 mg/mL, and 0.5 mg/mL, respectively), and were fed twice per day for 3 weeks in independent and non-circulating 2 L tanks continuously. The ethanol solutions were replaced every day to avoid any decreases in the ethanol concentration due to evaporation, and to maintain a clean housing environment. At the end of the 21 d exposure, the zebrafish were euthanized and the SOD, MDA, GSH-Px, and T-AOC levels of zebrafish tissue were determined according to the kit’s introductions.
2.6.3. Exposure and Antioxidant Responses of Zebrafish Larvae
Zebrafish larvae at 96 hpf were randomly assigned to 5 groups in a 24-well plate (40 larvae per well): 1. control group sustained in filtered fish water, 2. ethanol group exposed to 343 mM ethanol (2% EtOH) for 32 h [20], and 3. the SSF-jujube extracts group, with the SSF extracts at the final concentrations of 10, 30, and 50 μg/mL, respectively, and who were co-exposed to 2% EtOH for 32 h to verify the regulatory role in alcohol liver disease (ALD). Three replicates at each group were performed. The exposure solutions were changed every 12 h, and at the end of exposure, zebrafish larvae were anesthetized with an ice bath and were sampled for the biochemical analysis of SOD, MDA, GSH-Px, and T-AOC levels.
2.7. Quantitative Real-Time PCR (qRT-PCR) Analysis
Thirty zebrafish larvae after exposure in each group were collected, snap frozen in 1.5 mL microcentrifuge tubes with liquid nitrogen and stored at −80 °C until further usage. Total RNA was extracted using the Trizol reagent (Takara, Dalian, China) following the manufacturer’s protocol. The RNA content and purity were determined at OD260 and OD280, respectively, with the Nano DropTM 2000 Spectrophotometer (Thermo Fisher, Waltham, MA, USA).
1 μg of total RNA was reverse-transcribed into complimentary DNA (cDNA) using a First Strand cDNA Synthesis Kit (Servicebio, Wuhan, China). qRT-PCR was performed with a 2 × SYBR Green qPCR Master Mix Kit (No ROX) (Servicebio, Wuhan, China) on a CFX ConnectTM Real-Time PCR Detect System (Bio-rad, Hercules, CA, USA). The reaction conditions were as follows: pre-denaturation for 10 min at 95 °C, followed by 40 cycles of denaturation at 95 °C for 15 s, and annealing at 60 °C for 30 s. Ct values were obtained, and the relative mRNA expressions of the target genes (NF-κB, Nrf2 and HO-1) were normalized to that of β-actin, and was calculated using the 2−ΔΔCt method. The primer sequences used for qRT-qPCR are listed in Table S1.
2.8. Ethics Statement
The experimental procedures involving zebrafish were performed under the approval of the Ethics Committee of the School of Life Science, Shandong University (No.: SYDWLL-2021-29). All surgery was performed under 0.03% tricaine anesthesia, and all efforts were made to minimize suffering.
3. Results
3.1. Biomass and Content of Total Phenolic and Flavonoids
The determination of fungal biomass is hard and extremely complicated because of the difficulty in separating the fungal hyphae from the substrates. As a reducing sugar produced by enzymatic hydrolysis, the glucosamine in the solid substrate was measured and recalculated to a dry biomass concentration. The growth of C. militaris under different proportions of jujube medium for 28 days was conducted, and the rice medium without jujube was used as the control. The content changes of glucosamine, and the total phenolic and flavonoids during the fermentation are shown in Table 1. All jujube media of SSF represented the similar elevated trends in biomass formation with the extension of the fermentation time. After 28 days of fermentation, glucosamine in the control medium (only rice), and the jujube medium (10%, 30%, and 50% addition amount, respectively) ranged from 7.07 to 50.85, 8.06 to 40.45, 8.97 to 36.42, and 9.97 to 33.79 mg/g, respectively. The net increment of the TPC was about 0.84, 0.90, 1.40, and 1.59 mg GAE/g d.w., while the TFC was 0.70, 0.57, 0.51, and 0.46 mg RE/g, respectively. The TPC content of each jujube group was found to be much higher than that of the control group. The TPC of the 50% jujube medium reached the highest content of approximately 1.59 mg GAE/g d.w., and interestingly, on the contrary, its biomass was determined to be the lowest. The above results suggested that the addition of jujube would promote the synthesis of phenolics in a dose-dependent manner.
Table 1.
The content of glucosamine, TPC, TFC, and phenolic fractions of SSF-jujube by C. militaris during the fermentation. Values are means ± SD (n = 3). NT—represented not tested.
3.2. Measurement of Free, Free/Conjugated, and Bound Phenolics
The three forms of phenolic acids of 50% jujube medium with C. militaris (CFJ) were measured and are also shown in Table 1. The content of soluble free acids, soluble free/conjugated, and insoluble-bound states ranged from 0.330 to 0.476, 0.183 to 0.227, and 0.154 to 0.326 GAE/g d.w., respectively. Compared with the control rice medium (CFR, 0% jujube), all forms of the individual phenolic compounds increased with the time of fermentation during fungal bioprocessing. The microorganism-derived enzymes played an important role in the mobilization of the phenolic compounds. The present results proved the proteolytic activity of C. militaris contributing to the release of the bonds to free the TPC, and SSF served as a good strategy to assist in this conversion [21].
3.3. Antioxidant Activities In Vitro
3.3.1. Scavenging Activity on DPPH and ABTS Radicals
The stoichiometric analysis of DPPH radical bleaching was conducted, and the antioxidant activities of SSF-jujube with C. militaris after 28 days of fermentation are presented in Figure 1. The scavenging effect increased with the increasing fermentation time, and ranged approximately from 30.09% to 86.36%, and from 17.61% to 73.10% in the extracts of CFJ and CFR, respectively (Figure 1(A-1)). The solid-state ferments of the 28th day were collected and extracted using deionized water to detect the DPPH activity at different final concentrations (0.25, 0.5, 1.25, 2.5, and 5 mg/mL, respectively). As the results shown in Figure 1(A-2), all SSF samples showed a good scavenging effect against DPPH radicals in a dose-dependent manner at each concentration level. The scavenging ratios at 5 mg/mL, the highest test concentration of CFJ and CFR, were 95.17% and 77.17%, respectively. Furthermore, the DPPH activity of CFJ at 5 mg/mL was almost close to that of the positive control VC (≈98.59%). The water extracts of CFJ for DPPH radical scavenging effects were significantly higher than that of CFR, suggesting that the addition of jujube in the culture medium was helpful to improve the antioxidant activity of SSF-jujube with C. militaris.

Figure 1.
Evaluation of the DPPH and ABTS radical scavenging activity of SSF-jujube. (A-1) DPPH assay with different fermentation times. (A-2) DPPH assay with different concentrations. (B-1) ABTS assay with different fermentation times (B-2) ABTS assay with different concentrations. Values are means ± SD (n = 3).
The antioxidant activities of SSF were detected using the ABTS method and are depicted in Figure 1B. It was found that ABTS+ scavenging activity of CFJ and CFR increased with the extension of fermentation time, and the activities of CFJ were significantly higher than that of CFR (Figure 1(B-1)). Scavenging abilities for the ABTS+ of CFJ at 0 d, 14 d, 21 d, and 28 d were 0.36, 0.43, 0.64, and 0.77, respectively. The Trolox-equivalent antioxidant capacity (TEAC) of CFJ was approximately 3.27, 2.15, 1.60, and 1.43-fold higher, respectively, compared with those of CFR. At the final concentrations of 0.25–5 mg/mL, the scavenging abilities of CFJ and CFR on ABTS radicals increased from 0.23–0.51, and 0.18–0.29 TEAC, respectively (Figure 1(B-2)). In comparison, the scavenging ability of the commercial antioxidant vitamin E (VE) was about 0.986 TEAC on average. The water extracts of the SSF-jujube showed a fair ability to scavenge free radicals, thereby preventing lipid oxidation via a chain-breaking reaction.
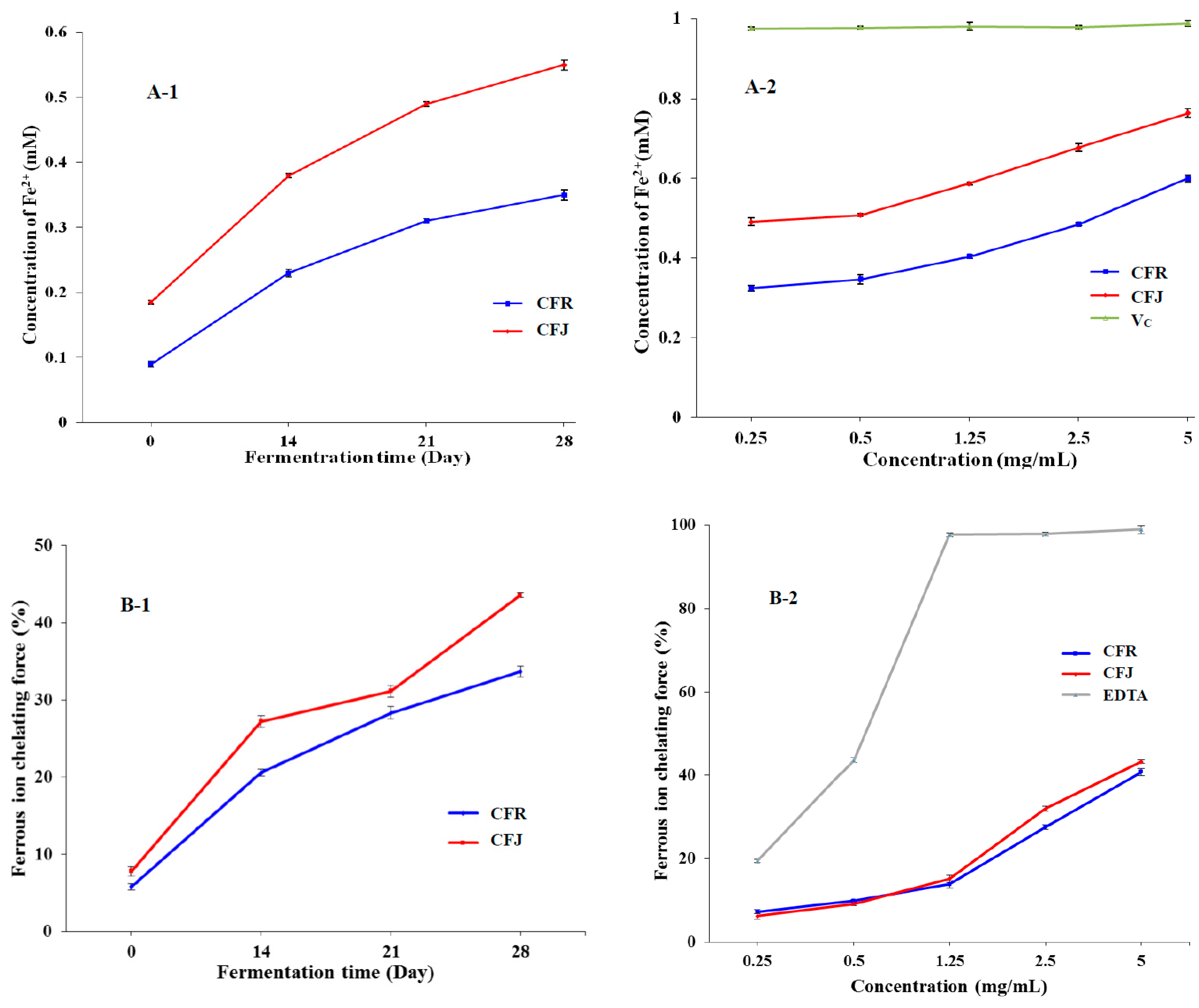
3.3.2. Ferric Reducing Antioxidant Power (FRAP) and Ferrous Ion-Chelating Ability
The antioxidant potential of the SSF extracts was estimated from the ability to reduce TPTZ-Fe (III) to a TPTZ-Fe (II) complex. The blue color formed by the reduction was measured at 593 nm, with the color intensity representing the corresponding ferric reducing power. As shown in Figure 2(A-1)), similar to the results obtained from the DPPH and ABTS assays, the absorbance clearly increased due to formation of the Fe2+-TPTZ complex with the increased fermentation time, meaning that it is evident that solid-state fermentation potentially enhanced the ferric-reducing capacity of the cordyceps cultures of the two media. The higher reducing activity was found for the water extract of CFJ as compared to CFR. Figure 2(A-2) presented a steady increase in the reduction capacity of the SSF extract which was dose-dependent, and the maximum ferric-reducing capacity of CFJ in terms of the Fe (II) concentrations (0.764 mM) was achieved at 5 mg/mL, with statistical differences with CFR and control VC (0.600 and 0.988 mM), respectively.
Figure 2.
Evaluation of FRAP and ferrous ion-chelating ability of SSF-jujube with Cordyceps militaris. (A-1) FRAP assay with different fermentation times. (A-2) FRAP assay with different concentrations. (B-1) Fe2+ chelating ability with different fermentation times. (B-2) Fe2+ chelating ability with different concentrations. Values are means ± SD (n = 3).
The transition metal ions of iron were considered as important catalysts for the generation of free radicals, which initiate the radical chain reaction or radical-mediated lipid peroxidation [22]. Ferrous ions could chelate with ferrozine and result in a red color complex formation. The chelating agents or antioxidants may disrupt the ferrozine-Fe2+ complex, thus decreasing the red color. The measurement at 562 nm of the rate of color reduction, therefore, allows for the estimation of the chelating activity. A lower absorbance indicates a higher chelating ability. The trends for the chelating ability of the SSF-jujube extracts were elevated. On the 28th day of fermentation, the ferrous ion-chelating power of CFJ and CFR was 43.63% and 33.73%, respectively (Figure 2(B-1)). Figure 2(B-2) reveals the dose–response curves for the chelating ability. It is evident that the chelating actions of SSF-jujube on the ferrous ions due to the formation of the ferrozine–Fe2+ complex with increasing concentrations, but the difference between CFJ and CFR was not found to be significant.
3.4. Antioxidant Activities In Vivo
3.4.1. Protective Effects of SSF-Jujube in Ethanol-Induced Adult Zebrafish
During the metabolism of ethanol, hepatocytes generate a mass of reactive oxygen species (ROS), such as OH−, superoxide anion (O2−), and H2O2, which need to be removed through the hepatic antioxidative defense system, which includes hepatic antioxidant enzymes (SOD, CAT, and GSH-Px) and non-enzymatic antioxidants (GSH, VE, and VC via food intake) [23].
Simultaneously, the T-AOC content following toxin exposure expresses the total antioxidant capacity originating from the enzymatic and non-enzymatic systems. T-AOC is one of the important indexes to reflect the total antioxidant capacity of the body [24]. The levels of ROS and T-AOC are widely acknowledged as two indicators of oxidative stress following exposure to toxicants [25]. SOD was considered to be the first defense line of the antioxidant system against oxidative stress [26]. CAT and GSH-PX are common antioxidant enzymes responsible for preventing harm from H2O2 [27]. SOD is able to convert O2− into H2O2, which is then detoxified to H2O and O2 either by CAT or GSH-Px. SOD could also terminate the chain reaction of lipid peroxidation. Lipid peroxidation is a chain reaction between polyunsaturated fatty acids and ROS, producing lipid peroxides and hydrocarbon polymers that are highly toxic to the cell. As the end product of lipid peroxidation caused by redundant ROS, MDA provides an indicator of lipid peroxidation [28].
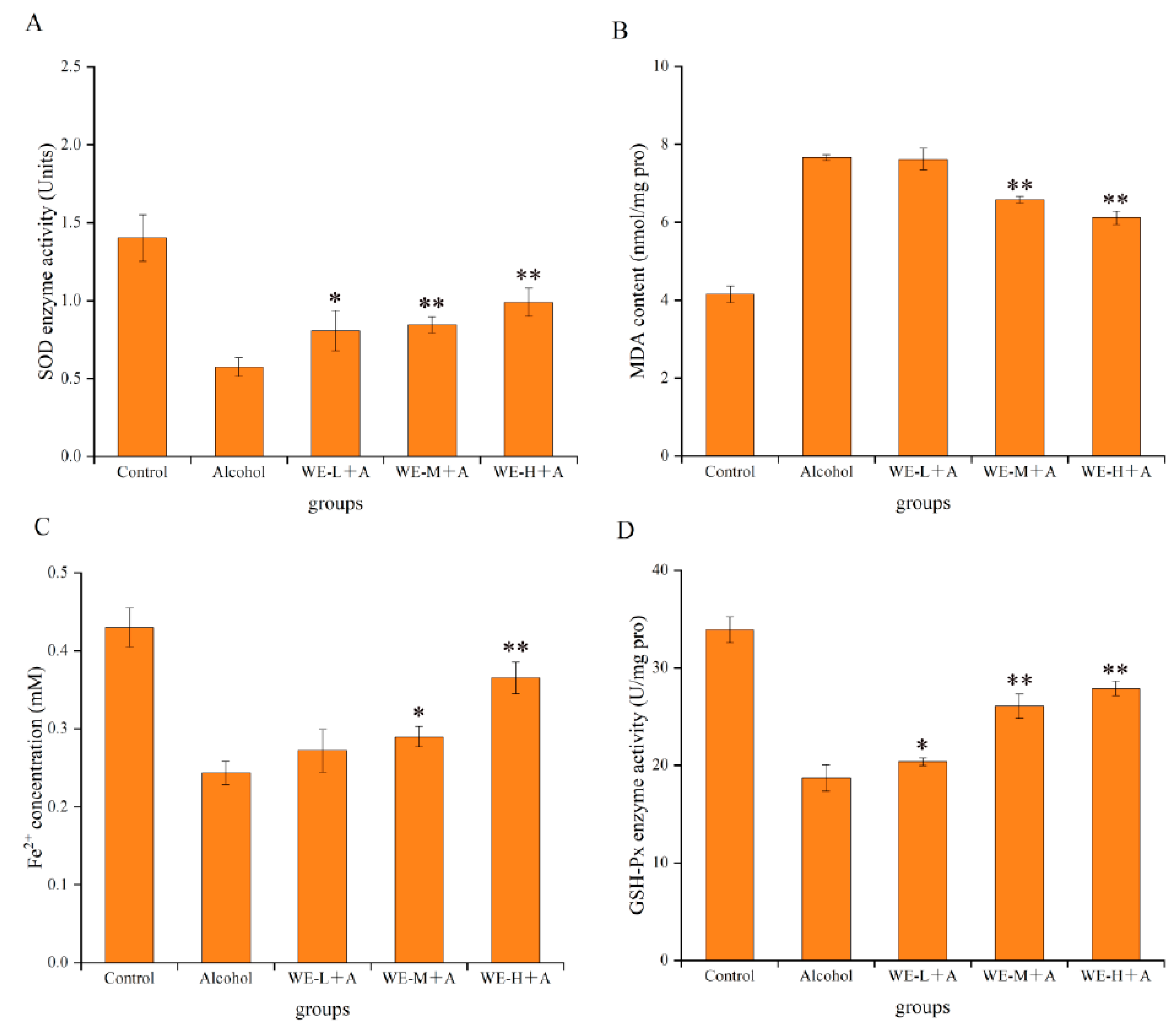
The levels of MDA and T-AOC, and the antioxidant enzyme activities of SOD and GSH-Px in the zebrafish tissue homogenate had been measured to evaluate the oxidative stress effects. As shown in Figure 3, at the end of the 28 day exposure, treatment with ethanol significantly decreased the activities of SOD, GSH-Px (Figure 3A,D), and the levels of T-AOC (Figure 3C), and significantly increased the levels of MDA (Figure 3B) compared to those in the control group. According to previous studies on oxidative stress and inflammation related to liver injury [29], the above data signified that ethanol could remarkably aggravate the degree of oxidative stress in adult zebrafish, which further demonstrates that the zebrafish liver would be damaged by ethanol toxicity. Whereas, after the challenge treatment with different concentrations of the SSF-jujube extract, the antioxidant enzymes activities (SOD and GSH-Px) in adult zebrafish tissues significantly increased, while the content of MDA decreased, and the T-AOC levels increased when compared to the ethanol treatment group. The antioxidant activity of the high concentration water extract (WE-H + E group) in adult fish was the most significant in a dose-dependent manner. The results indicated that the aqueous extract of the culture obtained by adding 50% Chinese jujube in the culture medium had a certain alleviating effect on the oxidation reaction in adult zebrafish caused by ethanol and could protect the adult fish from alcoholic liver damage to some extent.
Figure 3.
The effect on oxidative stress in adult zebrafish of SSF-jujube with Cordyceps militaris. (A) SOD, (B) MDA, (C) T-AOC, and (D) GSH-Px. Ethanol represented the 1% ethanol group; WE-L + E represented the 0.1 mg/mL water extracts +1% ethanol group; WE-M + E: 0.2 mg/mL water extracts +1% ethanol group; and WE-H + E: 0.5 mg/mL water extracts +1% ethanol group. Values are means ± SD (n = 3). * p < 0.05, ** p < 0.01 vs. the 1% ethanol group.
3.4.2. Protective Effect of SSF-Jujube in Ethanol-Induced Larval Zebrafish
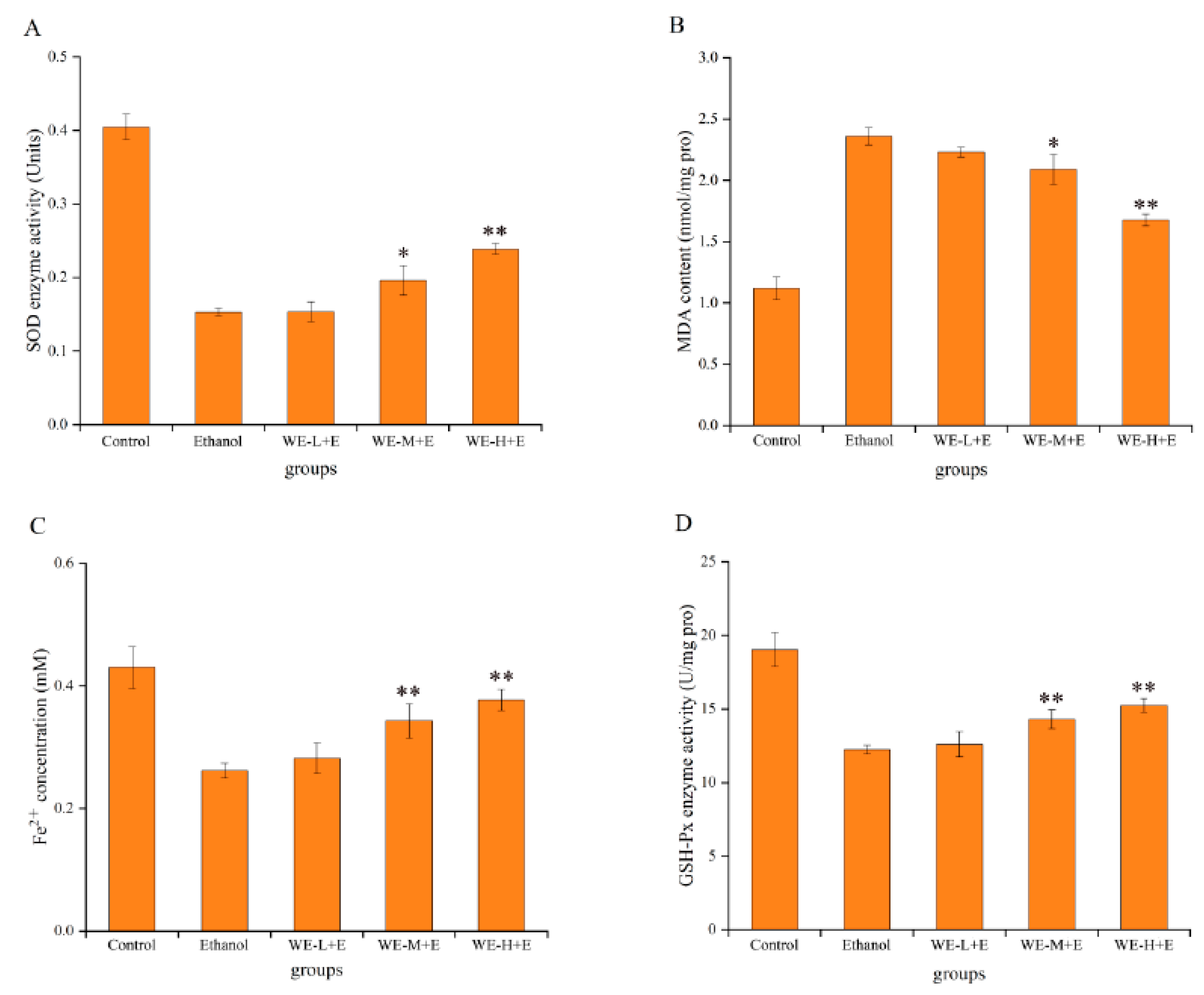
Due to the lower levels of lethality for zebrafish larvae, a 2% ethanol concentration was selected to evaluate the effects of SSF-jujube under acute ethanol exposure. The zebrafish larvae in the ethanol group showed signs of lethargy and slow swimming, with most of them rolling over and sinking at the bottom of the 24-well plate, while most of the larvae in each treatment group generally presented a slow-moving state and drowsiness, and only a few larvae overturned or sank at the bottom of the well. The mortality rates of the zebrafish larvae were determined and are shown in Table S2. Initially, there were 40 larvae per group, and each treatment group had three replicates. Note that while 3.3% of the total 120 larvae in the blank group could not survive after 32 h of exposure, the survival rate was extremely good, which is typical for zebrafish under normal conditions, indicating that there was nothing unusual about the rearing conditions in the study. Compared with the blank group, the exposure of larvae to ethanol resulted in an increased mortality, and upon the 32 h exposure to ethanol, there was a 10% mortality rate observed. The rates were 6.7%, 5.0%, and 5.0% at the SSF-jujube final concentrations of 10, 30, and 50 μg/mL, respectively. These results clearly indicated the efficient protective effect of SSF-jujube against the ethanol-induced larvae death. The EtOH exposure in the zebrafish larvae was found to be acutely toxic, and produced a wide range of phenotypic effects, including morphological defects [30]. After 32 h of treatment with 2% ethanol, the observed malformations were found in both the EtOH and EtOH+SSF groups, including a decreased body length, pericardial edema, yolk sac edema, spinal curvature, and delayed swim bladder inflation (Figure S1 shows the effects of EtOH on the phenotype of zebrafish larvae). Of the larvae that survived exposure to 2% EtOH + SSF of different concentrations beginning at 96 hpf displayed at least one of these phenotypes at 128 hpf. SSF co-treatment with EtOH reduced the proportion of affected zebrafish larvae but did not eliminate them.
To confirm the antioxidative effects of SSF-jujube, we further assessed SSF-jujube on ethanol induced larval zebrafish injury model in vivo. Four biomarkers (SOD, GSH-Px, T-AOC, and MDA) in zebrafish larvae were measured after 32 h exposure to EtOH or EtOH + SSF. The results in Figure 4 indicated that the treatment with EtOH evidently increased the MDA content (Figure 4B), while it decreased the activities of SOD (Figure 4A) and GSH-Px (Figure 4D), and the levels of T-AOC (Figure 4C). However, SSF co-treatment with EtOH reduced MDA elevation and enhanced the activities of SOD and GSH-Px, and the T-AOC levels in a dose-dependent manner in zebrafish larvae. Both 30 μg/mL and 50 μg/mL SSF-jujube significantly increased the levels of T-AOC and GSH-Px, with the 50 μg/mL SSF-jujube even found to significantly improve the activities of SOD and decrease the MDA content (p < 0.01). Meanwhile 10 μg/mL SSF-jujube showed no significant difference (p > 0.05). Even so, these biomarkers were not restored to control levels after the co-treatment at the current experimental concentrations. The above results showed that the extract of SSF-jujube had a certain alleviating effect on the level of oxidative stress in zebrafish larvae caused by ethanol and could protect zebrafish larvae from alcoholic liver toxicity to a certain extent.
Figure 4.
Effect on oxidative stress in zebrafish larvae of SSF-jujube with Cordyceps militaris. (A) SOD; (B) MDA; (C) T-AOC; and (D) GSH-Px. Ethanol represented the 2% ethanol group; WE-L + E represented 10 μg/mL water extracts +2% ethanol group; WE-M + E: 30 μg/mL water extracts +2% ethanol group; and WE-H + E: 50 μg/mL water extracts +2% ethanol group. Values are means ± SD (n = 3). * p < 0.05, ** p < 0.01 vs. the 2% ethanol group.
3.5. Gene Expression
Oxidative stress arises due to disequilibrium between reactive oxygen species (ROS) generation and antioxidant defenses [31]. Unhealthy lifestyle and metabolism are closely related to the production of ROS. Oxidative stress has been implicated in the pathological processes of most human diseases. As the primary organ responsible for detoxification and exogenous substance metabolism, the liver represents a central link in the development of oxidative stress [32]. Due to the direct hepatotoxicity of ROS generated from ethanol metabolism, the liver is considered as a major victim of ethanol abuse, and further development leads to ALD, which is one of the most prevalent type of chronic liver diseases worldwide [33]. Other numerous liver disorders, including non-alcoholic fat liver disease, hepatic encephalopathy, hepatic fibroproliferative diseases, and so on, have also been considered to be induced by the overproduction of ROS [34].
Based on the cellular protective effect, nuclear factor E2-related factor 2 (Nrf2) is the primary regulator of cell antioxidant responses to oxidative stress. The Nrf2 signaling pathway has become one of the vital targets for regulating antioxidant gene expression, inhibiting the progression of inflammation [35], and treating oxidative stress-linked hepatic diseases [36]. Under stress, Nrf2 may dissociate from its inhibitor Kelch-like ECH-associated protein 1 (Keap1) and translocate into the cellular nucleus, thereby starting the transcriptional activation pathways of the cell defense genes, such as the Nrf2 downstream target gene heme oxygenase 1 (HO-1), which performs antioxidant and anti-inflammation functions [37].
The transcription factor nuclear factor kappa-B (NF-κB) plays a critical role in the regulation of inflammatory cytokines, chemokines, and adhesion molecules [38]. Activation of NF-κB is a seminal upstream trigger of the pro-inflammatory signal. NF-κB is also regulated by oxidative stress. Previous investigations have proved that NF-κB signaling is activated by oxidants, and scavenging oxygen free radicals can inhibit the NF-κB pathway in the presence of antioxidants [39]. The inhibitory action was originally ascribed to its antioxidant actions. Given the opposing property of the two redox-sensitive pathways, new evidence has revealed the complex interplay between Nrf2 and NF-κB, involving the interaction of multiple regulatory mechanisms, such as extensive crosstalks between almost every level of Nrf2 and NF-κB regulation [40].
Ethanol induces oxidative stress in cells and further induces cell inflammation and apoptosis. To further investigate the potential mechanisms underlying the protection of SSF-jujube exposure, the mRNA levels of genes related to oxidative stress and inflammatory were evaluated using qRT-PCR on zebrafish larval. As shown in Figure 5, compared with the normal group, the mRNA expression levels of NF-κB was significantly elevated in the ethanol-treated group, but reversed upon the administration of SSF-jujube in a dose-dependent manner. The expression levels of NF-κB in 10 μg/mL (p < 0.05), 30 μg/mL, and 50 μg/mL SSF (p < 0.01) groups decreased further compared with the ethanol group (Figure 5A). Notably, treatment with ethanol markedly reduced the mRNA levels of Nrf2 and HO-1, and in contrast, the SSF-jujube-treated group upregulated Nrf2 and HO-1 mRNA expression in a dose-dependent manner at each concentration level. Compared with the ethanol group, the expression levels of Nrf2 and HO-1 in 10 μg/mL (p < 0.05), 30 μg/mL, and 50 μg/mL SSF-jujube (p < 0.01) groups all increased significantly (Figure 5B, C). The results indicated that SSF-jujube dose-dependently inhibited the ethanol-induced NF-κB activation and promoted the activation of Nrf2 and HO-1. More studies have confirmed that exogenous substances can activate the expression of antioxidant genes and play an anti-inflammatory and antioxidant role. This research showed that the SSF-jujube extract indeed protected the organism from oxidative stress, resulting in the maximum reduction in liver injury.
Figure 5.
Effects of SSF-jujube with Cordyceps militaris on the relative RNA expression levels of zebrafish larvae against ethanol-induced oxidative stress. (A) NF-κB; (B) Nrf2; and (C) HO-1. Ethanol represented the 2% ethanol group; WE-L + E represented the 10 μg/mL water extracts +2% ethanol group; WE-M + E: 30 μg/mL water extracts +2% ethanol group; and WE-H + E: 50 μg/mL water extracts +2% ethanol group. Values are means ± SD (n = 3). * p < 0.05, ** p < 0.01 vs. the 2% ethanol group.
4. Conclusions
The present study showed that the enrichment of Chinese jujube with phenolic antioxidants can be performed by SSF using the C. militaris fungal strain. The total phenolic and flavonoid contents increased to 1.59 mg GAE/g d.w. and 0.46 mg RE/g, respectively, in the rice medium with 50% jujube addition. The phenolic acid composition showed similar tendencies to the total phenolic and flavonoid contents, and three forms of individual phenolic compounds increased with the time of fermentation during fungal bioprocessing, proving that SSF served as a good strategy to assist in the conversion of phenolic acids [41].
The antioxidant potential in vitro determined using DPPH, ABTS, FRAP, and ferrous ion-chelating ability also increased significantly over the course of SSF-jujube with C. militaris. Moreover, the antioxidant potentiality and protective function against ethanol-induced oxidative stress had been studied in zebrafish. SSF co-treatment with EtOH reduced MDA elevation and enhanced the activities of SOD, GSH-Px, and the T-AOC levels in a dose-dependent manner in adult and larval zebrafish. These results also indicated that SSF-jujube was capable of upregulating the mRNA expressions of Nrf2, and HO-1, and downregulated the levels of NF-κB in zebrafish larvae.
So far, this is the first report about the solid-state fermentation of Chinese jujube with C. militaris to our knowledge. These results provide a theoretical basis and experimental evidence for the further medicinal and functional food application of SSF-jujube by C. militaris.
Supplementary Materials
The following supporting information can be downloaded at: https://www.mdpi.com/article/10.3390/fermentation9070656/s1, Figure S1: Photomicrographic representation of the morphological structures of zebrafish larva at 128 hpf; Table S1: The sequences of primer pairs used in real-time quantitative PCR assay; Table S2: Mortality and body length of zebrafish larvae treated with SSF-jujube.
Author Contributions
M.W. and G.Z.: Methodology, Investigation, Formal analysis, Writing—original draft. M.D. and X.L.: Validation, Data curation. J.L.: Conceptualization, Funding acquisition, Supervision, Project administration, Writing—review and editing. All authors have read and agreed to the published version of the manuscript.
Funding
The research work was funded by the National Natural Science Foundation of China (grant number 21877075 and 21807066), and the Key Research and Development Program of Shandong Province (grant number 2019GSF107003 and 2022TZXD0033).
Institutional Review Board Statement
The experimental procedures involving zebrafish were performed under the approval of the Ethics Committee of the School of Life Science, Shandong University (No.: SYDWLL-2021-29). All surgery was performed under 0.03% tricaine anesthesia, and all efforts were made to minimize suffering.
Informed Consent Statement
Not applicable.
Data Availability Statement
Not applicable.
Conflicts of Interest
The authors declare no conflict of interest.
References
- Li, T.L.; Jiang, T.; Liu, N.; Wu, C.Y.; Xu, H.D.; Lei, H.J. Biotransformation of phenolic profiles and improvement of antioxidant capacities in jujube juice by select lactic acid bacteria. Food Chem. 2021, 339, 127859–127869. [Google Scholar] [CrossRef] [PubMed]
- National Bureau of Statistics of China. National Data. 2019. Available online: https://data.stats.gov.cn (accessed on 26 May 2022).
- Reche, J.; Almansa, M.S.; Hernández, F.; Amorós, A.; Legua, P. Physicochemical and antioxidant capacity of jujube (Ziziphus jujuba Mill.) at different maturation stages. Agronomy 2021, 11, 132. [Google Scholar] [CrossRef]
- Arslan, M.; Zareef, M.; Tahir, H.E.; Ali, S.; Huang, X.W.; Rakha, A.; Zou, X.B. Comparative analyses of phenolic compounds and antioxidant properties of Chinese jujube as affected by geographical region and drying methods (Puff-drying and convective hot air-drying systems). J. Food Meas. Charact. 2021, 15, 933–943. [Google Scholar] [CrossRef]
- National Health Commission of the People’s Republic of China. 2014. Available online: https://www.nhc.gov.cn/sps/s7890201406/8268613682e44b1cb2098e0b9c9143d7 (accessed on 26 May 2022).
- Song, Q.Y.; Zhu, Z.Y. Using Cordyceps militaris extracellular polysaccharides to prevent Pb2+-induced liver and kidney toxicity by activating Nrf2 signals and modulating gut microbiota. Food Funct. 2020, 11, 9226–9239. [Google Scholar] [CrossRef] [PubMed]
- Ueda, Y.; Mori, K.; Satoh, S.; Dansako, H.; Ikeda, M.; Kato, N. Anti-HCV activity of the Chinese medicinal fungus Cordyceps militaris. Biochem. Biophys. Res. Commun. 2014, 447, 341–345. [Google Scholar] [CrossRef] [PubMed]
- Ahn, H.Y.; Cho, H.D.; Cho, Y.S. Anti-oxidant and anti-hyperlipidemic effects of cordycepin-rich Cordyceps militaris in a Sprague-Dawley rat model of alcohol-induced hyperlipidemia and oxidative stress. Bioresour. Bioprocess. 2020, 7, 33. [Google Scholar] [CrossRef]
- Gong, X.B.; Li, T.J.; Wan, R.Z.; Sha, L. Cordycepin attenuates high-fat diet-induced non-alcoholic fatty liver disease via down-regulation of lipid metabolism and inflammatory responses. Int. Immunopharmacol. 2021, 91, 107173. [Google Scholar] [CrossRef]
- Dulf, F.V.; Vodnar, D.C.; Toşa, M.I.; Dulf, E.H. Simultaneous enrichment of grape pomace with γ-linolenic acid and carotenoids by solid-state fermentation with Zygomycetes fungi and antioxidant potential of the bioprocessed substrates. Food Chem. 2020, 310, 125927. [Google Scholar] [CrossRef]
- Lin, F.J.; Li, H.; Wu, D.T.; Zhuang, Q.G.; Li, H.B.; Geng, F.; Gan, R.Y. Recent development in zebrafish model for bioactivity and safety evaluation of natural products. Crit. Rev. Food Sci. 2022, 62, 8646–8674. [Google Scholar] [CrossRef]
- Xie, M.X.; Xie, Y.D.; Li, Y.; Zhou, W.; Zhang, Z.; Yang, Y.L.; Zhou, Z.G. Stabilized fermentation product of Cetobacterium somerae improves gut and liver health and antiviral immunity of zebrafish. Fish Shellfish Immun. 2022, 120, 56–66. [Google Scholar] [CrossRef]
- Bei, Q.; Liu, Y.; Wang, L.; Chen, G.; Wu, Z.Q. Improving free, conjugated, and bound phenolic fractions in fermented oats (Avena sativa L.) with Monascus anka and their antioxidant activity. J. Funct. Foods 2017, 32, 185–194. [Google Scholar] [CrossRef]
- Liu, R.H. Whole Grain Phytochemicals and Health. J. Cereal Sci. 2007, 46, 207–219. [Google Scholar] [CrossRef]
- Juan, M.Y.; Chou, C.C. Enhancement of antioxidant activity, total phenolic and flavonoid content of black soybeans by solid state fermentation with Bacillus subtilis BCRC 14715. Food Microbiol. 2010, 27, 586–591. [Google Scholar] [CrossRef]
- Shao, Y.F.; Xu, F.F.; Sun, X.; Bao, J.S.; Beta, T. Phenolic acids, anthocyanins, and antioxidant capacity in rice (Oryza sativa L.) grains at four stages of development after flowering. Food Chem. 2014, 143, 90–96. [Google Scholar] [CrossRef]
- Zhang, M.W.; Zhang, R.F.; Zhang, F.X.; Liu, R.H. Phenolic profiles and antioxidant activity of black rice bran of different commercially available varieties. J. Agric. Food Chem. 2010, 58, 7580–7587. [Google Scholar] [CrossRef] [PubMed]
- Xiao, Y.; Zhang, Q.Q.; Miao, J.Q.; Rui, X.; Li, T.; Dong, M.S. Antioxidant activity and DNA damage protection of mung beans processed by solid state fermentation with Cordyceps militaris SN-18. Innov. Food Sci. Emerg. 2015, 31, 216–225. [Google Scholar] [CrossRef]
- Tran, S.; Nowicki, M.; Chatterjee, D.; Gerlai, R. Acute and chronic ethanol exposure differentially alters alcohol dehydrogenase and aldehyde dehydrogenase activity in the zebrafish liver. Prog. Neuro-Psychopharmacology 2015, 56, 221–226. [Google Scholar] [CrossRef] [PubMed]
- Howarth, D.L.; Passeri, M.; Sadler, K.C. Drinks like a fish: Using zebrafish to understand alcoholic liver disease. Alcohol. Clin. Exp. Res. 2011, 35, 826–829. [Google Scholar] [CrossRef]
- Dey, T.B.; Chakraborty, S.; Jain, K.K.; Sharma, A.; Kuhad, R.C. Antioxidant phenolics and their microbial production by submerged and solid state fermentation process: A review. Trends Food Sci. Technol. 2016, 53, 60–74. [Google Scholar] [CrossRef]
- Zhang, Z.; Lv, G.; Pan, H.; Fan, L.; Soccol, C.R.; Pandey, A. Production of powerful antioxidant supplements via solid-state fermentation of wheat (Triticum aestivum Linn.) by Cordyceps militaris. Food Technol. Biotechnol. 2012, 50, 32–39. [Google Scholar] [CrossRef]
- Gao, L.; Zhou, Y.C.; Zhong, W.C.; Zhao, X.H.; Chen, C.; Chen, X.M.; Shen, J.G. Caveolin-1 is essential for protecting against binge drinking-induced liver damage through inhibiting reactive nitrogen species. Hepatology 2014, 60, 687–699. [Google Scholar] [CrossRef]
- Ren, W.K.; Yin, Y.L.; Liu, G.; Yu, X.L.; Li, Y.H.; Yang, G.; Wu, G.Y. Effect of dietary arginine supplementation on reproductive performance of mice with porcine circovirus type 2 infection. Amino Acids 2012, 42, 2089–2094. [Google Scholar] [CrossRef]
- Yang, S.P.; Liu, H.L.; Wang, C.G.; Yang, P.; Sun, C.B.; Chen, S.M. Effect of oxidized fish oil on growth performance and oxidative stress of Litopenaeus vannamei. Aquacult. Nutr. 2015, 21, 121–127. [Google Scholar] [CrossRef]
- Liu, H.; Zhang, X.; Du, Y.; Ji, H.; Li, S.; Li, L.; Cao, X. Leonurine protects brain injury by increased activities of UCP4, SOD, CAT and Bcl-2, decreased levels of MDA and Bax, and ameliorated ultrastructure of mitochondria in experimental stroke. Brain Res. 2012, 1474, 73–81. [Google Scholar] [CrossRef]
- Lin, T.; Zhou, D.; Dong, J.; Jiang, F.; Chen, W. Acute toxicity of dichloroacetonitrile (DCAN), a typical nitrogenous disinfection by-product (N-DBP), on zebrafish (Danio rerio). Ecotoxicol. Environ. Saf. 2016, 133, 97–104. [Google Scholar] [CrossRef] [PubMed]
- Cai, Z.N.; Li, W.; Mehmood, S.; Pan, W.J.; Wang, Y.; Meng, F.J.; Chen, Y. Structural characterization, in vitro and in vivo antioxidant activities of a heteropolysaccharide from the fruiting bodies of Morchella esculenta. Carbohyd. Polym. 2018, 195, 29–38. [Google Scholar] [CrossRef]
- Jaeschke, H. Reactive oxygen and mechanisms of inflammatory liver injury. J. Gastroenterol. Hepatol. 2000, 15, 718–724. [Google Scholar] [CrossRef]
- Cadena, P.G.; Cadena, M.R.S.; Sarmah, S.; Marrs, J.A. Folic acid reduces the ethanol-induced morphological and behavioral defects in embryonic and larval zebrafish (Danio rerio) as a model for fetal alcohol spectrum disorder (FASD). Reprod. Toxicol. 2020, 96, 249–257. [Google Scholar] [CrossRef] [PubMed]
- Dorval, J.; Leblond, V.S.; Hontela, A. Oxidative stress and loss of cortisol secretion in adrenocortical cells of rainbow trout (Oncorhynchus mykiss) exposed in vitro to endosulfan, an organochlorine pesticide. Aquat. Toxicol. 2003, 63, 229–241. [Google Scholar] [CrossRef] [PubMed]
- Li, N.; Li, B.; Zhang, J.; Liu, X.; Liu, J.; Li, K.; Diao, Y. Protective effect of phenolic acids from Chebulae Fructus immaturus on carbon tetrachloride induced acute liver injury via suppressing oxidative stress, inflammation and apoptosis in mouse. Nat. Prod. Res. 2020, 34, 3249–3252. [Google Scholar] [CrossRef]
- Rocco, A.; Compare, D.; Angrisani, D. Alcoholic disease: Liver and beyond. World J. Gastroenterol. 2014, 20, 14652–14659. [Google Scholar] [CrossRef]
- Schieber, M.; Chandel, N.S. ROS function in redox signaling and oxidative stress. Curr. Biol. 2014, 24, R453–R462. [Google Scholar] [CrossRef] [PubMed]
- Ahmed, S.M.U.; Luo, L.; Namani, A.; Wang, X.J.; Tang, X. Nrf2 signaling pathway: Pivotal roles in inflammation. BBA-Mol. Basis Dis. 2017, 1863, 585–597. [Google Scholar] [CrossRef]
- Lu, Q.X.; Shu, Y.Y.; Wang, L.; Li, G.X.; Zhang, S.Y.; Gu, W.Q.; Tang, L. The protective effect of Veronica ciliata Fisch extracts on relieving oxidative stress-induced liver injury via activating AMPK/p62/Nrf2 pathway. J. Ethnopharmacol. 2021, 270, 113775. [Google Scholar] [CrossRef]
- Mann, G.E.; Rowlands, D.J.; Li, F.Y.L.; De Winter, P.; Siow, R.C.M. Activation of endothelial nitric oxide synthase by dietary isoflavones: Role of NO in Nrf2-mediated antioxidant gene expression. Cardiovasc. Res. 2007, 75, 261–274. [Google Scholar] [CrossRef]
- Tak, P.P.; Firestein, G.S. NF-kappaB: A key role in inflammatory diseases. J. Clin. Investig. 2001, 107, 7–11. [Google Scholar] [CrossRef]
- Staal, F.J.T.; Roederer, M.; Herzenberg, L.A.; Herzenberg, L.A. Intracellular thiols regulate activation of nuclear factor kappa B and transcription of human immunodeficiency virus. Proc. Natl. Acad. Sci. USA 1990, 87, 9943–9947. [Google Scholar] [CrossRef] [PubMed]
- Tian, Y.J.; Li, Y.; Liu, J.L.; Lin, Y.; Jiao, J.; Chen, B.; Li, C.Y. Photothermal therapy with regulated Nrf 2/NF-κB signaling pathway for treating bacteria-induced periodontitis. Bioact. Mater. 2022, 9, 428–445. [Google Scholar] [CrossRef] [PubMed]
- Wang, L.B.; Wang, L.J.; Wang, T.T.; Li, Z.G.; Gao, Y.X.; Cui, S.W.; Qiu, J. Comparison of quercetin and rutin inhibitory influence on Tartary buckwheat starch digestion in vitro and their differences in binding sites with the digestive enzyme. Food Chem. 2022, 367, 130762. [Google Scholar] [CrossRef] [PubMed]
Disclaimer/Publisher’s Note: The statements, opinions and data contained in all publications are solely those of the individual author(s) and contributor(s) and not of MDPI and/or the editor(s). MDPI and/or the editor(s) disclaim responsibility for any injury to people or property resulting from any ideas, methods, instructions or products referred to in the content. |
© 2023 by the authors. Licensee MDPI, Basel, Switzerland. This article is an open access article distributed under the terms and conditions of the Creative Commons Attribution (CC BY) license (https://creativecommons.org/licenses/by/4.0/).





