An Engineered Multi-Enzyme Cascade with Low-Cost ATP Regeneration for Efficient D-Allulose Production from D-Fructose
Abstract
1. Introduction
2. Materials and Methods
2.1. Strains and Chemicals
2.2. Expression and Purification of Recombinant Proteins
2.3. Enzyme Activity Assays
2.4. Optimization of Multienzyme Cascade Reaction Conditions
2.5. Biosynthesis of D-Allulose
2.6. Conversion of High Concentration of D-Fructose into D-Allulose
3. Results and Discussion
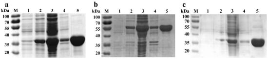
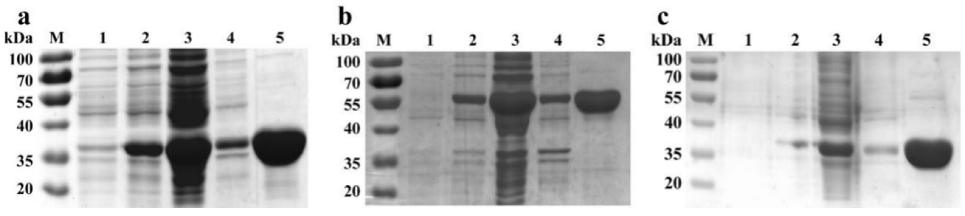
3.1. Preparation of Multienzyme Cascade Components
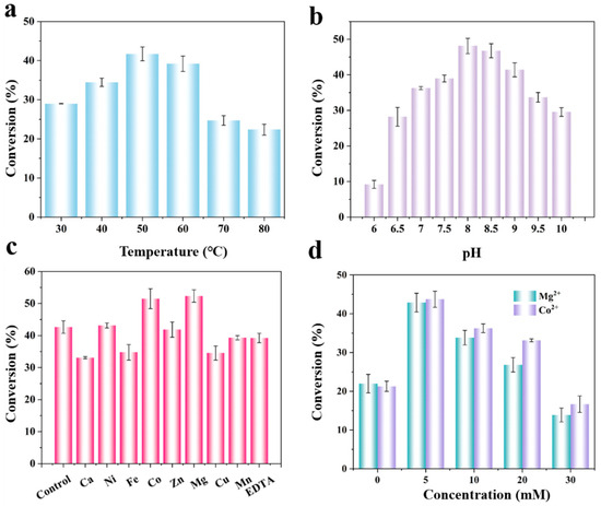
3.2. Systematic Optimization of Cascade Reaction Conditions
3.3. Balancing the ATP and Polyphosphate System
3.4. D-Allulose Synthesis via the Optimized Multienzyme Cascade
3.5. Cascade Performance at High Substrate Loadings
3.6. Enzyme Stability and Reusability Considerations
4. Conclusions
Author Contributions
Funding
Institutional Review Board Statement
Informed Consent Statement
Data Availability Statement
Conflicts of Interest
References
- Chen, Z.; Gao, X.D.; Li, Z. Recent Advances Regarding the Physiological Functions and Biosynthesis of D-Allulose. Front. Microbiol. 2022, 13, 881037. [Google Scholar] [CrossRef]
- Chen, J.; Chen, D.; Ke, M.; Ye, S.; Wang, X.; Zhang, W.; Mu, W. Characterization of a Recombinant D-Allulose 3-Epimerase from Thermoclostridium caenicola with Potential Application in D-Allulose Production. Mol. Biotechnol. 2021, 63, 534–543. [Google Scholar] [CrossRef] [PubMed]
- Zhang, Y.; Zhou, Z.; Luan, H.; Zhang, X.; Liu, M.; Wang, K.; Wang, F.; Feng, W.; Xu, W.; Song, P. Advances in the Biosynthesis of D-Allulose. World J. Microbiol. Biotechnol. 2024, 40, 375. [Google Scholar] [CrossRef]
- Zhao, Y.; Duan, X.; Zhang, J.; Ding, Y.; Liu, Q. Advances in the Bioproduction of D-Allulose: A Comprehensive Review of Current Status and Future Prospects. Food Res. Int. 2025, 202, 115767. [Google Scholar] [CrossRef]
- Natsume, Y.; Yamada, T.; Iida, T.; Ozaki, N.; Gou, Y.; Oshida, Y.; Koike, T. Investigation of D-Allulose Effects on High-Sucrose Diet-Induced Insulin Resistance via Hyperinsulinemic-Euglycemic Clamps in Rats. Heliyon 2021, 7, e08013. [Google Scholar] [CrossRef]
- Bolger, A.M.; Rastall, R.A.; Oruna-Concha, M.J.; Rodriguez-Garcia, J. Effect of D-Allulose, in Comparison to Sucrose and D-Fructose, on the Physical Properties of Cupcakes. LWT 2021, 150, 111989. [Google Scholar] [CrossRef]
- Han, Y.; Park, H.; Choi, B.R.; Ji, Y.; Kwon, E.Y.; Choi, M.S. Alteration of Microbiome Profile by D-Allulose in Amelioration of High-Fat-Diet-Induced Obesity in Mice. Nutrients 2020, 12, 352. [Google Scholar] [CrossRef]
- Pongkan, W.; Jinawong, K.; Pratchayasakul, W.; Jaiwongkam, T.; Kerdphoo, S.; Tokuda, M.; Chattipakorn, S.C.; Chattipakorn, N. D-Allulose Provides Cardioprotective Effect by Attenuating Cardiac Mitochondrial Dysfunction in Obesity-Induced Insulin-Resistant Rats. Eur. J. Nutr. 2021, 60, 2047–2061. [Google Scholar] [CrossRef] [PubMed]
- Iwasaki, Y.; Sendo, M.; Dezaki, K.; Hira, T.; Sato, T.; Nakata, M.; Goswami, C.; Aoki, R.; Arai, T.; Kumari, P.; et al. GLP-1 Release and Vagal Afferent Activation Mediate the Beneficial Metabolic and Chronotherapeutic Effects of D-Allulose. Nat. Commun. 2018, 9, 113. [Google Scholar] [CrossRef]
- Teysseire, F.; Bordier, V.; Beglinger, C.; Wölnerhanssen, B.K.; Meyer-Gerspach, A.C. Metabolic Effects of Selected Conventional and Alternative Sweeteners: A Narrative Review. Nutrients 2024, 16, 622. [Google Scholar] [CrossRef] [PubMed]
- Guan, L.; Zhu, L.; Wang, K.; Gao, Y.; Li, J.; Yan, S.; Zhang, X.; Ji, N.; Fan, J.; Zhou, Y.; et al. Biochemical Characterization, Structure-Guided Mutagenesis, and Application of a Recombinant D-Allulose 3-Epimerase from Christensenellaceae bacterium for the Biocatalytic Production of D-Allulose. Front. Bioeng. Biotechnol. 2024, 12, 1365814. [Google Scholar] [CrossRef]
- Li, C.; Li, L.; Feng, Z.; Guan, L.; Lu, F.; Qin, H.M. Two-Step Biosynthesis of D-Allulose via a Multienzyme Cascade for the Bioconversion of Fruit Juices. Food Chem. 2021, 357, 129746. [Google Scholar] [CrossRef]
- McDonald, E.J. A New Synthesis of D-Psicose (D-Ribo-Hexulose). Carbohydr. Res. 1967, 5, 106–108. [Google Scholar] [CrossRef]
- Takamine, S.; Iida, T.; Okuma, K.; Izumori, K. Manufacturing Method of Rare Sugar Syrup through Alkali Isomerization and Its Physiological Function. Bull. Appl. Glycosci. 2016, 6, 37. [Google Scholar] [CrossRef] [PubMed]
- Li, C.; Lin, J.; Guo, Q.; Zhang, C.; Du, K.; Lin, H.; Lin, J. D-Psicose 3-Epimerase Secretory Overexpression, Immobilization, and D-Psicose Biotransformation, Separation and Crystallization. J. Chem. Technol. Biotechnol. 2018, 93, 350–357. [Google Scholar] [CrossRef]
- Wen, X.; Tesfay, M.A.; Ning, Y.; Lin, H.; Liu, G.; Hu, H.; Xu, X.; Jiang, X.; Zhao, C.; Ren, Y.; et al. Green Biotechnological Synthesis of Rare Sugars/Alcohols: D-Allulose, Allitol, D-Tagatose, L-Xylulose, L-Ribose. Food Res. Int. 2025, 206, 116058. [Google Scholar] [CrossRef]
- Mao, S.; Cheng, X.; Zhu, Z.; Chen, Y.; Li, C.; Zhu, M.; Liu, X.; Lu, F.; Qin, H.M. Engineering a Thermostable Version of D-Allulose 3-Epimerase from Rhodopirellula baltica via Site-Directed Mutagenesis Based on B-Factors Analysis. Enzyme Microb. Technol. 2020, 132, 109441. [Google Scholar] [CrossRef]
- Shen, J.D.; Xu, B.P.; Yu, T.L.; Fei, Y.X.; Cai, X.; Huang, L.G.; Jin, L.Q.; Liu, Z.Q.; Zheng, Y.G. Identification of Hyperthermophilic D-Allulose 3-Epimerase from Thermotoga sp. and Its Application as a High-Performance Biocatalyst for D-Allulose Synthesis. Bioprocess Biosyst. Eng. 2024, 47, 841–850. [Google Scholar] [CrossRef]
- Yang, P.; Zhu, X.; Zheng, Z.; Mu, D.; Jiang, S.; Luo, S.; Wu, Y.; Du, M. Cell Regeneration and Cyclic Catalysis of Engineered Kluyveromyces marxianus of a D-Psicose-3-Epimerase Gene from Agrobacterium tumefaciens for D-Allulose Production. World J. Microbiol. Biotechnol. 2018, 34, 65. [Google Scholar] [CrossRef] [PubMed]
- Li, C.; Gao, X.; Li, H.; Wang, T.; Lu, F.; Qin, H.-M. Growth-Coupled Evolutionary Pressure Improving Epimerases for D-Allulose Biosynthesis Using a Biosensor-Assisted In Vivo Selection Platform. Adv. Sci. 2024, 11, 2306478. [Google Scholar] [CrossRef]
- Li, Y.; Shi, T.; Han, P.; You, C. Thermodynamics-Driven Production of Value-Added D-Allulose from Inexpensive Starch by an In Vitro Enzymatic Synthetic Biosystem. ACS Catal. 2021, 11, 5088–5099. [Google Scholar] [CrossRef]
- Ricca, E.; Brucher, B.; Schrittwieser, J.H. Multi-Enzymatic Cascade Reactions: Overview and Perspectives. Adv. Synth. Catal. 2011, 353, 2239–2262. [Google Scholar] [CrossRef]
- Zhang, H.; Sun, Z.; Du, X.; Cheng, Q.; Ji, F.; Nie, Z.; Zhan, J.; Wang, Z.; Li, A.; Delidovich, I.; et al. D-Allulose Production via a Simplified In Vitro Multienzyme Cascade Strategy: Biosynthesis and Crystallization. Food Biosci. 2024, 62, 105507. [Google Scholar] [CrossRef]
- You, C.; Shi, T.; Li, Y.; Han, P.; Zhou, X.; Zhang, Y.-H.P. An In Vitro Synthetic Biology Platform for the Industrial Biomanufacturing of Myo-Inositol from Starch. Biotechnol. Bioeng. 2017, 114, 1855–1864. [Google Scholar] [CrossRef]
- Han, R.; Tu, W.; Liu, S.; Ji, Y.; Schwaneberg, U.; Guo, Y.; Ni, Y. Novel Multienzyme Cascade for Efficient Synthesis of D-Allulose from Inexpensive Sucrose. Food Biosci. 2023, 56, 103303. [Google Scholar] [CrossRef]
- Robinson, P.K. Enzymes: Principles and Biotechnological Applications. Essays Biochem. 2015, 59, 1–41. [Google Scholar] [CrossRef]
- Kabir, M.F.; Ju, L.K. On Optimization of Enzymatic Processes: Temperature Effects on Activity and Long-Term Deactivation Kinetics. Process Biochem. 2023, 130, 734–746. [Google Scholar] [CrossRef]
- Li, C.; Zhang, C.; Lin, J.; Gao, L.; Lin, H.; Lin, J. Enzymatic Fructose Removal from D-Psicose Bioproduction Model Solution and the System Modeling and Simulation. J. Chem. Technol. Biotechnol. 2018, 93, 1249–1260. [Google Scholar] [CrossRef]
- Riordan, J.D. The Role of Metals in Enzyme Activity. Ann. Clin. Lab. Sci. 1977, 7, 119–129. [Google Scholar] [PubMed]
- Xie, X.; Li, C.; Bai, X.; Yang, H.; Zhang, C.; Li, Z. D-Allulose 3-Epimerase for Low-Calorie D-Allulose Synthesis: Microbial Production, Characterization, and Applications. Crit. Rev. Biotechnol. 2025, 45, 353–372. [Google Scholar] [CrossRef] [PubMed]
- Sun, C.; Li, Z.; Ning, X.; Xu, W.; Li, Z. In Vitro Biosynthesis of ATP from Adenosine and Polyphosphate. Bioresour. Bioprocess. 2021, 8, 117. [Google Scholar] [CrossRef]
- IARC Working Group on the Evaluation of Carcinogenic Risks to Humans. Cobalt in hard metals and cobalt sulfate, gallium arsenide, indium phosphide and vanadium pentoxide. In IARC Monographs on the Evaluation of Carcinogenic Risks to Humans; IARC Press: Lyon, France, 2006; pp. 1–294. [Google Scholar]
- U.S. Food and Drug Administration (FDA). Guidance for Industry: Enzyme Preparations: Recommendations for Submission of Chemical and Technological Data for Food Additive Petitions and GRAS Notices; Center for Food Safety and Applied Nutrition: College Park, MD, USA, 2010. Available online: https://www.fda.gov/media/79379/download (accessed on 23 November 2025).
- Cao, C.; Li, C.; Zhao, J.; Wang, F.; Tan, T.; Liu, L. Enzymatic Production of Glutathione Coupling with an ATP Regeneration System Based on Polyphosphate Kinase. Appl. Biochem. Biotechnol. 2018, 185, 385–395. [Google Scholar] [CrossRef]
- Xiao, Q.; Niu, J.; Liu, H.; Liu, Y.; Zhou, X. High Conversion of D-Fructose into D-Allulose by Enzymes Coupling with an ATP Regeneration System. Mol. Biotechnol. 2019, 61, 432–441. [Google Scholar] [CrossRef] [PubMed]
- Shimane, M.; Sugai, Y.; Kainuma, R.; Natsume, M.; Kawaide, H. Mevalonate-Dependent Enzymatic Synthesis of Amorpha-4,11-diene Driven by an ATP-Regeneration System Using Polyphosphate Kinase. Biosci. Biotechnol. Biochem. 2012, 76, 1558–1560. [Google Scholar] [CrossRef] [PubMed][Green Version]
- Cao, H.; Nie, K.; Li, C.; Xu, H.; Wang, F.; Tan, T.; Liu, L. Rational Design of Substrate Binding Pockets in Polyphosphate Kinase for Use in Cost-Effective ATP-Dependent Cascade Reactions. Appl. Microbiol. Biotechnol. 2017, 101, 5325–5332. [Google Scholar] [CrossRef] [PubMed]
- Zhang, X.; Wu, H.; Huang, B.; Li, Z.; Ye, Q. One-Pot Synthesis of Glutathione by a Two-Enzyme Cascade Using a Thermophilic ATP Regeneration System. J. Biotechnol. 2017, 241, 163–169. [Google Scholar] [CrossRef]
- Sato, M.; Masuda, Y.; Kirimura, K.; Kino, K. Thermostable ATP Regeneration System Using Polyphosphate Kinase from Thermosynechococcus elongatus BP-1 for D-Amino Acid Dipeptide Synthesis. J. Biosci. Bioeng. 2007, 103, 179–184. [Google Scholar] [CrossRef]
- Kameda, A.; Shiba, T.; Kawazoe, Y.; Satoh, Y.; Ihara, Y.; Munekata, M.; Ishige, K.; Noguchi, T. A Novel ATP Regeneration System Using Polyphosphate–AMP Phosphotransferase and Polyphosphate Kinase. J. Biosci. Bioeng. 2001, 91, 557–563. [Google Scholar] [CrossRef]
- Hardie, D.G.; Ross, F.A.; Hawley, S.A. AMPK: A Nutrient and Energy Sensor That Maintains Energy Homeostasis. Nat. Rev. Mol. Cell Biol. 2012, 13, 251–262. [Google Scholar] [CrossRef]
- Evans, P.R.; Farrants, G.W.; Hudson, P.J. Phosphofructokinase: Structure and Control. Philos. Trans. R. Soc. Lond. B Biol. Sci. 1981, 293, 53–62. [Google Scholar] [CrossRef]
- Chao, L.H.; Stratton, M.M.; Lee, I.H.; Rosenberg, O.S.; Levitz, J.; Mandell, D.J.; Kortemme, T.; Groves, J.T.; Schulman, H.; Kuriyan, J. A Mechanism for Tunable Autoinhibition in the Structure of a Human Ca2+/Calmodulin-Dependent Kinase II Holoenzyme. Cell 2011, 146, 732–745. [Google Scholar] [CrossRef]
- Lian, Q.; Cao, H.; Wang, F.; Zhang, Y.; Liu, Z.; Wu, J. The Cost-Efficiency Realization in E. coli-Based Cell-Free Protein Synthesis Systems. Appl. Biochem. Biotechnol. 2014, 174, 2351–2367. [Google Scholar] [CrossRef] [PubMed]
- Tavanti, M.; Hosford, J.; Lloyd, R.C.; Brown, M.J.B. ATP Regeneration by a Single Polyphosphate Kinase Powers Multigram-Scale Aldehyde Synthesis In Vitro. Green Chem. 2021, 23, 828–837. [Google Scholar] [CrossRef]
- Uribe, S.; Sampedro, J.G. Measuring Solution Viscosity and Its Effect on Enzyme Activity. Biol. Proced. Online 2003, 5, 108–115. [Google Scholar] [CrossRef]
- Sitnitsky, A.E. Solvent Viscosity Dependence for Enzymatic Reactions. Physica A 2008, 387, 5483–5497. [Google Scholar] [CrossRef]
- Guo, Y.; Feng, T.; Wang, Z.; Li, H.; Wei, X.; Chen, J.; Niu, D.; Liu, J. Phosphorylation-Driven Production of D-Allulose from D-Glucose by Coupling with an ATP Regeneration System. J. Agric. Food Chem. 2022, 70, 15539–15547. [Google Scholar] [CrossRef]
- Wang, Q.Y.; Wang, H.Y.; Zhang, W.G.; Xu, J.Z. Economical One-Pot Synthesis of Isoquercetin and D-Allulose from Quercetin and Sucrose Using Whole-Cell Biocatalyst. Enzyme Microb. Technol. 2024, 176, 110412. [Google Scholar] [CrossRef]
- Tang, X.; Arsalan, A.; Zhang, G.; Yun, J.; Zhang, C.; Qi, X. Coexpression of D-Allulose 3-Epimerase and L-Rhamnose Isomerase in Bacillus subtilis through a Dual Promoter Enables High-Level Biosynthesis of D-Allose from D-Fructose in One Pot. J. Agric. Food Chem. 2025, 73, 2056–2067. [Google Scholar] [CrossRef]
- Jia, D.X.; Sun, C.Y.; Jin, Y.T.; Liu, Z.Q.; Zheng, Y.G.; Li, M.; Wang, H.Y.; Chen, D.S. Properties of D-Allulose 3-Epimerase Mined from Novibacillus thermophilus and Its Application to Synthesis of D-Allulose. Enzyme Microb. Technol. 2021, 148, 109816. [Google Scholar] [CrossRef] [PubMed]
- Tang, H.; Chen, Y.; Fan, D.; Zhao, F.; Han, S. Designable Immobilization of D-Allulose 3-Epimerase on Bimetallic Organic Frameworks Based on Metal Ion Compatibility for Enhanced D-Allulose Production. Int. J. Biol. Macromol. 2024, 273 Pt 1, 133027. [Google Scholar] [CrossRef]
- Ding, Y.Q.; Liu, W.J.; Zhang, H.Y.; Chen, Z.X.; Zhou, J.; Wang, T. Designable Properties of D-Allulose 3-Epimerase Hybrid Nanoflowers and Co-Immobilization on Resins for Improved Enzyme Activity, Stability, and Reusability. Int. J. Mol. Sci. 2024, 25, 6361. [Google Scholar] [CrossRef]






| System | Substrate | Enzymes Involved | ATP Regeneration | Conversion Rate (%) | Reaction Conditions | Cofactor/ ATP Cost | Process Complexity | High-Substrate Performance | Reference |
|---|---|---|---|---|---|---|---|---|---|
| This study (DAE-RHaB- PPK-AP) | D-fructose (50 mM) | 4 (DAE, RhaB, PPK, AP) | Yes (PolyP-based) | 84.50 | 50 °C, pH 8.0 | Low (low-cost recyclable PolyP | Minimal steps; no intermediate purification | Stable conversion at 50–100 g/L substrate | This work |
| DAE (Thermotoga sp.) | D-fructose (800 g/L) | 1 (DAE) | No | 32.50 | 80 °C, pH 7.5 | High (no ATP regenerat-ion) | Single enzyme but requires extreme temperatures | Good stability at high substrate but low conversion | [18] |
| A6PE/A6PP system | D-glucose (275 mM) | 5 (αGP, PGM, PGI, A6PE, A6PP) + 4 (IA, 4GT, PPGK, GI) | No | 79.20 | 70 °C, pH 5.5 | High (PEP-dependent high consumption | High complexity: 9 enzymes | Moderate; limited by enzyme compatibility | [25] |
| BsL-RI + Bp- DAE (coupled) | D-fructose (100 g/L) | 2 (RI, DAE) | No | 15.00 | 65 °C, pH 8.5 | Medium (moderate system complexity) | Moderate; requires coupling of two species | Works at 100 g/L but with low conversion | [50] |
| ATP-driven phosphorylation – dephosphorylation | D-glucose (124.16 ± 2.69 g/L) | 6 (Glk, PGM, FruK, A6PE, A6PP, AcK) | Yes (Acetate kinase) | 62.60 ± 3.76 g/L | 50 °C, pH 8.5 | Medium (acetyl phosphate donor) | High complexity: multiple phosphorylation steps | Good substrate tolerance but lower yield | [48] |
| One-pot whole-cell | Quercetin (120 mg/L) + Sucrose (20 g/L) | 4 (F3GT, GmSUS, EcSUP, DAEase) | No | 5.70 ± 0.80 g/L | 55 °C, pH 8.0 | Medium (intracellular ATP balancing) | Requires intracellular balancing | Not applicable | [49] |
Disclaimer/Publisher’s Note: The statements, opinions and data contained in all publications are solely those of the individual author(s) and contributor(s) and not of MDPI and/or the editor(s). MDPI and/or the editor(s) disclaim responsibility for any injury to people or property resulting from any ideas, methods, instructions or products referred to in the content. |
© 2025 by the authors. Licensee MDPI, Basel, Switzerland. This article is an open access article distributed under the terms and conditions of the Creative Commons Attribution (CC BY) license (https://creativecommons.org/licenses/by/4.0/).
Share and Cite
Lu, Y.; Tang, H.; Fan, D.; Wang, Q.; Han, S. An Engineered Multi-Enzyme Cascade with Low-Cost ATP Regeneration for Efficient D-Allulose Production from D-Fructose. Fermentation 2025, 11, 667. https://doi.org/10.3390/fermentation11120667
Lu Y, Tang H, Fan D, Wang Q, Han S. An Engineered Multi-Enzyme Cascade with Low-Cost ATP Regeneration for Efficient D-Allulose Production from D-Fructose. Fermentation. 2025; 11(12):667. https://doi.org/10.3390/fermentation11120667
Chicago/Turabian StyleLu, Yutong, Huayang Tang, Dexun Fan, Qingzhu Wang, and Shuangyan Han. 2025. "An Engineered Multi-Enzyme Cascade with Low-Cost ATP Regeneration for Efficient D-Allulose Production from D-Fructose" Fermentation 11, no. 12: 667. https://doi.org/10.3390/fermentation11120667
APA StyleLu, Y., Tang, H., Fan, D., Wang, Q., & Han, S. (2025). An Engineered Multi-Enzyme Cascade with Low-Cost ATP Regeneration for Efficient D-Allulose Production from D-Fructose. Fermentation, 11(12), 667. https://doi.org/10.3390/fermentation11120667
