Subgrid Turbulent Flux Models for Large Eddy Simulations of Diffusion Flames in Space Propulsion
Abstract
1. Introduction
2. Theoretical Background
2.1. Filters
2.2. Filtered Conservation Equations and Modeling
2.3. Turbulent Diffusion Flames
2.3.1. Flame Index (FI)
2.3.2. Mixture Fraction
2.3.3. Progress Variable
3. Simulation Setup
3.1. Strategy
3.2. Filtering
4. Gradient Model Enhancement
4.1. Model Description
4.2. Model Validation
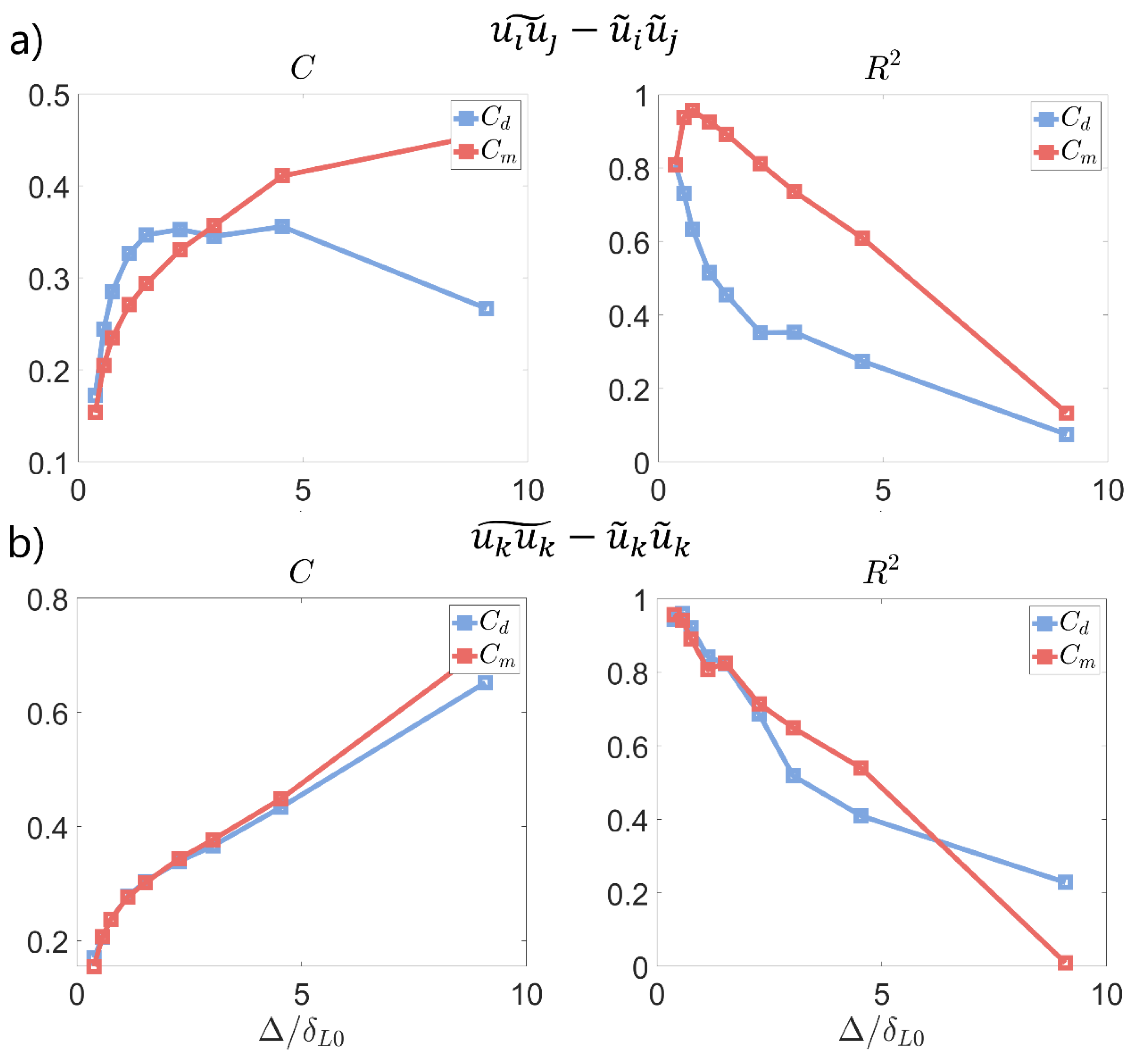
4.2.1. Reynolds Stresses and
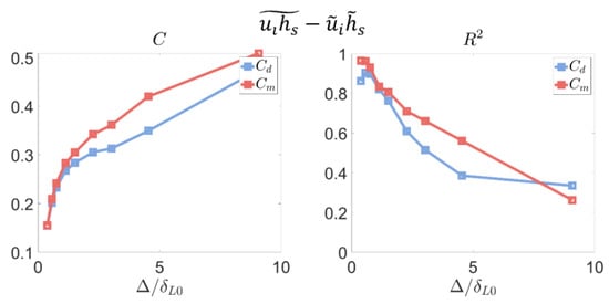
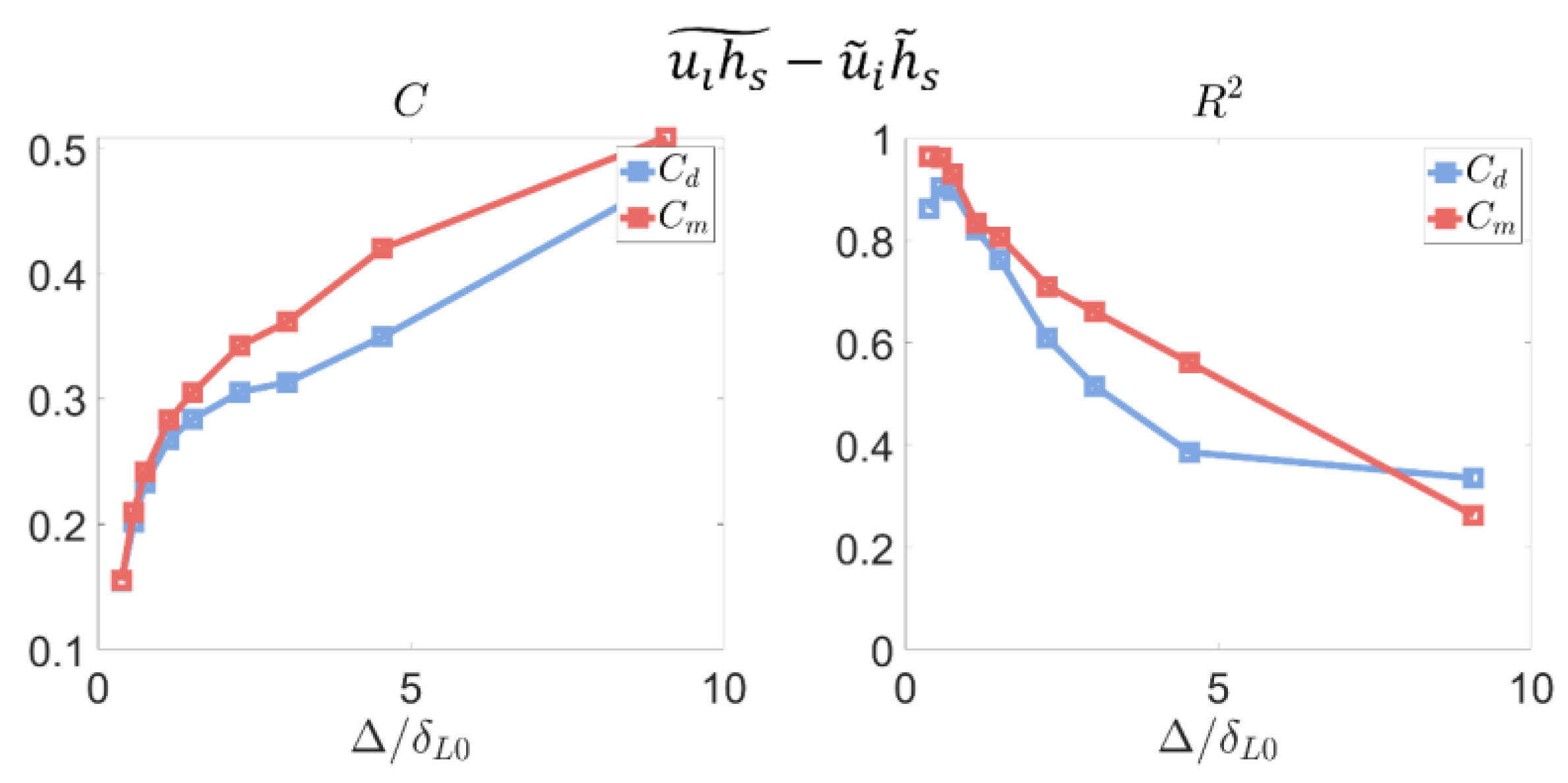
4.2.2. Enthalpy Flux
4.2.3. Species Fluxes
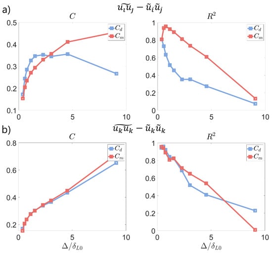
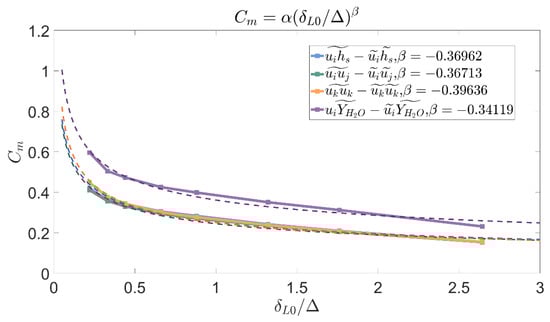
4.3. Dynamic Model Formulation
5. Validation with Large Eddy Simulations
5.1. Simulation Description
- Direct Numerical Simulation (DNS);
- Large Eddy Simulation with no modeling of subgrid turbulence ();
- Large Eddy Simulation with modeling of subgrid turbulent fluxes (including Reynolds stresses) using the proposed models at downstream positions ().
5.2. Results Comparison
6. Conclusions and Outlook
Author Contributions
Funding
Data Availability Statement
Acknowledgments
Conflicts of Interest
References
- Haeseler, D.; Bombelli, V.; Vuillermoz, P.; Lo, R.; Marée, T.; Caramelli, F. Green Propellant Propulsion Concepts for Space Transportation and Technology Development Needs. In Proceedings of the 2nd Inernational Conference on Green Propellants for Space Propulsion, Chia Laguna (Cagliari), Sardinia, Italy, 7 June 2004. [Google Scholar]
- Sackheim, R.L.; Masse, R.K. Green Propulsion Advancement—Challenging the Maturity of Monopropellant Hydrazine. In Proceedings of the 49th AIAA Joint Propulsion Conference, San Jose, CA, USA, 15–17 July 2013. [Google Scholar]
- Preclik, D.; Hagemann, G.; Knab, O.; Mading, C.; Haeseler, D.; Haidn, O.J.; Woschnak, A.; DeRosa, M. Lox-hydrocarbon preparatory thrust chamber technology activities in Germany. In Proceedings of the 41st AIAA/ASME/SEA/ASEE Joint Propulsion Conference & Exhibit, Tucson, AZ, USA, 11–13 July 2005. [Google Scholar]
- Haidn, O.; Ordonneau, G.; Soller, S.; Onofri, M. Oxygen-Methane Combustion Studies in the In Space Propulsion Programme. In Proceedings of the 4th European Conference for Aerospace Sciences, Saint Petesbourg, Russia, 4–8 July 2011. [Google Scholar]
- Haidn, O.J.; Celano, M.P.; Luo, M.; Roth, C.; Silvestri, S.; Slavinskaya, N.A. On Methane/Oxygen Combustion for Rocket Applications. In Proceedings of the International Symposium on Innovation and Prospects of Liquid Propulsion, Xi’an, China, 4–6 September 2016. [Google Scholar]
- Tucker, P.K.; Menon, S.; Merkle, C.; Oefelein, J.; Vigor, Y. An approac to Improved Credibility of CFD Simulations for Rocket Injector Design. In Proceedings of the 43rd AIAA/ASME/SAE/ASEE Joint Propulsion Conference & Exhibit, Cincinnati, OH, USA, 8–11 July 2007. [Google Scholar]
- Kang, Y.-D.; Sun, B. Numerical Simulation of Liquiud ROcket Engine Thrust Chamber Regenerative Cooling. J. Thermophys. Heat Transf. 2011, 25, 155–164. [Google Scholar] [CrossRef]
- Daimon, Y.; Negishi, H.; Koshi, M.; Suslov, D. Numerical and Experimental Investigation of the Methane Film Cooling in Subscale Combustion Chamber. In Proceedings of the 5th European Conference for Aeronautics and Space Sciences (EUCASS), Munich, Germany, 5 July 2013. [Google Scholar]
- Zubanov, V.; Egorychev, V.; Shabliy, L. Design of Rocket Engine for Spacecraft Using CFD-Modeling. Procedia Eng. 2015, 104, 29–35. [Google Scholar] [CrossRef]
- Perakis, N.; Rahn, D.; Haidn, O.J.; Eiringhaus, D. Heat Transfer and Combustion Simulation of Seven-Element O2/CH4 Rocket Combustor. J. Propuls. Power 2019, 35, 1080–1097. [Google Scholar] [CrossRef]
- Sternin, A.; Hao, M.; Haidn, O.J.; Tajmar, M. Turbulence and Combustion and Film Prediction in Rocket Application via Parameter Adjustment, Model Variation and Deep Learning Method; DFG TRR40 Summer Program: Albany, NY, USA, 2019. [Google Scholar]
- Breda, P.; Zips, J.; Pfitzner, M. A Non-Adiabatic Flamelet Approach for Non-Premixed O2-CH4 Combustion. In Proceedings of the 3rd World Congress on Momentum, Heat and Mass Transfer, Budapest, Hungary, 12–14 April 2018. [Google Scholar]
- Pizzarelli, M.; Nasuti, F.; Onofri, M. Evolution of Cooling-Channel Properties for Varying Aspect Ratio. Prog. Propuls. Phys. 2016, 8, 117–128. [Google Scholar]
- Pizzarelli, M.; Betti, B.; Nasuti, F. Coupled analysis of hot-gas and coolant flows in LOX/methane thrust chambers. In Proceedings of the 4th European Conference for Aerospace Sciences, Saint Petersburg, Russia, 4–8 July 2011. [Google Scholar]
- Sternin, A.; Perakis, N.; Celano, M.P.; Haidn, O. CFD-analysis of the effect of a cooling film on flow and heat transfer characteristics in a GCH4/GOX rocket combustion chamber. In Proceedings of the Space Propulsion 2018, Sevilla, Spain, 14–18 May 2018. [Google Scholar]
- Liu, J.; Zhang, S.; Wei, J.; Haidn, O.J. RANS based numerical simulation of a GCH4/GO2 rocket engine combustion chamber with film cooling and improvement of wall heat flux prediction. Appl. Therm. Eng. 2023, 219, 119544. [Google Scholar] [CrossRef]
- Nasser, I.; Haidn, O.; Manfletti, C. Numerical Investigation of Rocket Engine Cooling Channel Heat Transfer for Different LNG Under Trans-Critical Conditions. Int. J. Thermofluids 2023, 20, 100461. [Google Scholar] [CrossRef]
- Towery, C.A.Z.; Poludnenko, A.Y.; Urzay, J.; O’Brien, J.; Ihme, M.; Hamlington, P.E. Spectral kinetic energy transfer in turbulent premixed reacting flows. Phys. Rev. 2016, E93, 053115. [Google Scholar] [CrossRef] [PubMed]
- Furukawa, J.; Noguchi, Y.; Hirano, T.; Williams, F.A. Anisotropic enhancement of turbulence in large-scale, low intensity turbulent premixed propane-air flames. J. FLuid Mech. 2002, 462, 209–243. [Google Scholar] [CrossRef]
- Karlovitz, B.; Denniston, D.W.; Wells, F.E. Investigation of turbulent flames. J. Chem. Phys. 1951, 19, 541–547. [Google Scholar] [CrossRef]
- Bray, K.N.C.; Libby, P.A.; Masuya, G.; Moss, J.B. Turbulence Production in Premixed Turbulent Flames. Combust. Sci. Technol. 1981, 25, 127–140. [Google Scholar] [CrossRef]
- Ballal, D.R. Combustion-Generated Turbulence in Practical Combustors. In Proceedings of the 23rd Joint Propulsion Conference, SanDiego, CA, USA, 29 June–2 July 1987. [Google Scholar]
- Gulati, A.; Driscoll, J.F. Flame-generated Turbulence and mass fluxes: Effect of varying heat release. In Proceedings of the Symposium (International) on Combustion, Munich, Germany, 3–8 August 1986. [Google Scholar]
- Vervisch, L.; Domingo, P.; Reveillon, J.; Payet, S.; Pera, C.; Hauguel, R. DNS and LES of Turbulent Combustion. In Proceedings of the Computational Fluid Dynamics in Chemical Reaction Engineering IV, Barga, Italy, 19–24 June 2005. [Google Scholar]
- Rodi, W. DNS and LES of some Engineering Flows. Fluid Dyn. Res. 2006, 38, 145–173. [Google Scholar] [CrossRef]
- Pont, G.; Brenner, P.; Cinnella, P.; Robinet, J.-C. High-Order hybrid RANS/LES strategy for industrial applications. In Direct and Large-Eddy Simulation X; Springer: Cham, Switzerland, 2018; pp. 313–319. [Google Scholar]
- Fujii, K. Progress and future prospects of CFD in aerospace- Wind tunnel and beyond. Prog. Aerosp. Sci. 2022, 41, 455–470. [Google Scholar] [CrossRef]
- Poinsot, T.V. Introduction to turbulent combustion. In Theoretical and Numerical Combustion; Elsevier: Amsterdam, The Netherlands, 2005; pp. 125–181. [Google Scholar]
- Poludnenko, A.Y.; Oran, E.S. The interaction of high-speed turbulence with flames: Global properties and internal flame structure. Combust. Flame 2010, 157, 995–1011. [Google Scholar] [CrossRef]
- Colin, O.; Ducros, F.; Veynante, D. A thickened flame model for large eddy simulations of turbulent premixed combustion. Phys. Fluids 2000, 12, 1843–1863. [Google Scholar] [CrossRef]
- Cuenot, B.; Shum-Kivan, F.; Blanchard, S. The thickened flame approach for non-premixed combustion: Principles and implications for turbulent combustion modeling. Combust. Flame 2022, 239, 111702. [Google Scholar] [CrossRef]
- Maestro, D.; Cuenot, B.; Selle, L. Large Eddy Simulation of Combustion and Heat Transfer in a Single Element GCH4/GOX Rocket Combustor. Flow Turbul. Combust. 2019, 103, 699–730. [Google Scholar] [CrossRef]
- Pitsch, H. Large-eddy simulation in turbulent combustion. Annu. Rev. Fluid Mech. 2006, 38, 453–482. [Google Scholar] [CrossRef]
- Fureby, C. Large eddy simulation modelling of combustion for propulsion applications. Philos. Trans. R. Soc. 2009, 367, 2957–2969. [Google Scholar] [CrossRef] [PubMed]
- Charlette, F.; Meneveau, C.; Veynante, D. A power-law flame winkling model for LES of premixed turbulent combustion part I: Non-dynamic formulation and initial tests. Combust. Flame 2002, 131, 159–180. [Google Scholar] [CrossRef]
- Rathore, O.; Navarro-Martinez, S. Flame Dynamics Modelling Using Artificially Thickened Models. Flow Turbul. Combust. 2023, 111, 897–927. [Google Scholar] [CrossRef]
- Pitsch, H. A G-Equation Formulation for Large-Eddy Simulation of Premixed Turbulent Combustion; Center for Turbulence Research, Annual Research Briefs: Stanford, CA, USA, 2002. [Google Scholar]
- Pitsch, H.; de Lageneste, L.D. Large-eddy simulation of premixed turbulent combustion using a level-set Approach. Proc. Combust. Inst. 2002, 29, 2001–2008. [Google Scholar] [CrossRef]
- Hawkes, E.R.; Cant, R. A flame surface density approach to large-eddy simulation of premixed turbulent combustion. Proc. Combust. Inst. 2000, 28, 51–58. [Google Scholar] [CrossRef]
- Clark, R.A.; Ferziger, J.H.; Reynolds, W.C. Evaluation of subgrid-scale models using an accurately simulated turbulent flow. J. Fluid Mech. 2006, 91, 1–16. [Google Scholar] [CrossRef]
- Vreman, B.; Geurts, B.; Kuerten, H. Large-Eddy Simulation of the Temporal Mixing Layer Using the Clark Model. Theor. Comput. 1996, 8, 309–324. [Google Scholar] [CrossRef]
- Pierce, C.D.; Moin, P. A dynamic model for subgrid-scale variance and dissipation rate of a conserved scalar. Phys. Fluids 1998, 10, 3041–3044. [Google Scholar] [CrossRef]
- Yeung, P.K.; Pope, S.B. Lagrangian statistics from direct numerical simulations of isotropic turbulence. J. Fluid Mech. 1987, 207, 531–586. [Google Scholar] [CrossRef]
- Favre, A. Problems of Hydrodynamics and Continuum Mechanics; SIAM: Philadelphia, PA, USA, 1969. [Google Scholar]
- Berselli, L.C.; Iliescu, T.; Layton, W.J. Filtering. In Mathematics of Large Eddy Simulation of Turbulent Flows; Springer: Berlin/Heidelberg, Germany, 2006; pp. 227–251. [Google Scholar]
- Garnier, E.; Adams, N.; Sagaut, P. LES Governing Equations. In Large Eddy Simulation for Compressible Flows; Springer: Dordrecht, The Netherlands, 2009; pp. 5–40. [Google Scholar]
- Smagorinsky, J. General Circulation Experiments with the Primitive Equations. Mon. Weather Rev. 1963, 91, 99–164. [Google Scholar] [CrossRef]
- Lilly, D.K. On the Application of the Eddy-Viscosity Concept in the Inertial Sub-Range of Turbulence; NCAR: Boulder, CO, USA, 1966. [Google Scholar]
- Deardorff, J.W. A numerical study of three-dimensional turbulent channel flow at Large Reynolds numbers. J. Fluid Mech. 1970, 41, 453–480. [Google Scholar] [CrossRef]
- Piomelli, U.; Moin, P.; Ferziger, J.H. Model consistency in large eddy simulation of turbulent channel flows. Phys. Fluids 1988, 31, 1884–1891. [Google Scholar] [CrossRef]
- Woodruff, S.L.; Seiner, J.M.; Hussaini, M.Y. Grid-Size Dependence in the Large-Eddy Simulation. AIAA J. 2000, 38, 600–604. [Google Scholar] [CrossRef]
- Basu, Y.D.S.; Maronga, B.; de Roode, S.R. Addressing the Grid-Size Sensitivity Issue in Large-Eddy Simulations of Stable Boundary Layers. Bound.-Layer Meteorol. 2021, 178, 63–89. [Google Scholar]
- Meneveau, C. Germano identity-based subgrid-scale modeling: A brief survey of variations on a fertile theme. Phys. Fluids 2012, 24, 121301. [Google Scholar] [CrossRef]
- Yoshizawa, A. Statistical theory for compressible turbulent shear flows, with application to subgrid modeling. Phys. Fluids 1986, 29, 2152–2164. [Google Scholar] [CrossRef]
- Erlebacher, G.; Hussaini, M.Y.; Kreiss, H.O.; Sarkar, S. The analysis and simulation of compressible turbulence. Theor. Comput. Fluid Dyn. 1990, 2, 73–95. [Google Scholar] [CrossRef]
- Eidson, T.M. Numerical simulation of the turbulent Rayleigh-Bénard problem using subgrid modelling. J. Fluid Mech. 1990, 158, 245–268. [Google Scholar] [CrossRef]
- Urzay, J.; O’Brien, J.; Ihme, M.; Moin, P.; Saghafian, A. Backscatter of Turbulent Kinetic Energy in Chemically-Reacting Compressible Flows; Center for Turbulence Research, Annual Research Briefs: Stanford, CA, USA, 2013. [Google Scholar]
- Cook, A.W.; Riley, J.J. A subgrid model for equilibrium chemistry in turbulent flows. Phys. Fluids 1994, 6, 2868–2870. [Google Scholar] [CrossRef]
- Balarac, G.; Pitsch, H.; Raman, V. Development of a dynamic model for the subfilter scalar variance using the concept of optimal estimators. Phys. Fluids 2008, 20, 035114. [Google Scholar] [CrossRef]
- Knudsen, E.; Richardson, E.S.; Doran, E.M.; Pitsch, H. Modeling scalar dissipation and scalar variance in large eddy simulation: Algebraic and Transport equation closures. Phys. Fluids 2012, 24, 055103. [Google Scholar] [CrossRef]
- Cook, A.W.; Bushe, W.K. A subgrid-scale model for the scalar dissipation rate in nonpremixed combustion. Phys. Fluids 1999, 11, 746–748. [Google Scholar] [CrossRef]
- Peters, N. Turbulent Combustion; Cambridge University Press: Cambridge, UK, 2001. [Google Scholar]
- Poinsot, T.; Veynante, D. Turbulent non premixed flames. In Theoretical and Numerical Combustion; Aquaprint: Bordeaux, France, 2012; pp. 287–348. [Google Scholar]
- Yamashita, H.; Shimada, M.; Takeno, T. A numerical study on flame stability at the transition point of jet diffusion flames. Symp. (Int.) Combust. 1996, 26, 27–34. [Google Scholar] [CrossRef]
- Zirwes, T.; Zhang, F.; Habisreuther, P.; Hansinger, M.; Bockhorn, H.; Pfitzner, M.; Trimis, D. Identification of Flame Regimes in Partially Premixed Combustion from a Quasi-DNS Dataser. Flow Turbul. Combust. 2021, 1006, 373–404. [Google Scholar] [CrossRef]
- Kioni, P.N.; Rogg, B.; Bray, K.N.C.; Liñán, A. Flame spread in laminar mixing layers: The triple flame. Combust. Flame 1993, 95, 276–290. [Google Scholar] [CrossRef]
- Cuenot, B. The Flamelet Model for Non-Premixed Combustion. Turbul. Combust. Model. 2011, 28, 43–61. [Google Scholar]
- Bray, K.; Domingo, P.; Vervisch, L. Role of the progress variable in models for partially premixed turbulent combustion. Combust. Flame 2005, 141, 431–437. [Google Scholar] [CrossRef]
- Bilger, R.W. Turbulent jet diffusion flames. Prog. Energy Combust. Sci. 1976, 1, 87–109. [Google Scholar] [CrossRef]
- Martínez-Sanchis, D.; Banik, S.; Sternin, A.; Sternin, D.; Haidn, O.; Tajmar, M. Analysis of turbulence generation and dissipation in shear layers of methane-oxygen diffusion flames using direct numerical simulations. Phys. Fluids 2022, 34, 045121. [Google Scholar] [CrossRef]
- Martínez-Sanchis, D.; Sternin, A.; Haidn, O.J.; Tajmar, M. Turbulent Combustion Statistics in a Diffusion Flame for Space Propulsion Applications. Phys. Fluids 2022, 34, 125115. [Google Scholar] [CrossRef]
- Pierce, C.D.; Moin, P. Progress-variable approach for large-eddy simulation of non-premixed turbulent combustion. J. Fluid Mech. 2004, 504, 73–97. [Google Scholar] [CrossRef]
- Martínez-Sanchis, D.; Sternin, A.; Shvab, J.; Haidn, O.J.; Hu, X. An Eddy Dissipation Concept Performance Study for Space Propulsion Applications. Aerospace 2022, 9, 476. [Google Scholar] [CrossRef]
- Martínez-Sanchis, D.; Sternin, A.; Sternin, D.; Haidn, O.; Tajmar, M. Analysis of periodic synthetic turbulence generation and development for direct numerical simulations. Phys. FLuids 2021, 33, 125130. [Google Scholar] [CrossRef]
- Morsbach, C.; Franke, M. Analysis of a synthetic turbulence generation method for periodic configurations. In Direct and Large-Eddy Simulation XI; Springer International Publishing: Berlin/Heidelberg, Germany, 2019; pp. 169–174. [Google Scholar]
- Shur, M.L.; Spalart, P.R.; Strelets, M.K.; Travin, A.K. Synthetic Turbulence Generators for RANS-LES Interfaces in Zonal Simulations of Aerodynamic and Aeroacoustic Problems. Flow Turbul. Combust. 2014, 93, 63–92. [Google Scholar] [CrossRef]
- Kraichnan, R.H. Diffusion by a Random Velocity Field. Phys. Fluids 1970, 13, 22–31. [Google Scholar] [CrossRef]
- Martinez-Sanchis, D.; Sternin, A.; Santese, T.; Haidn, O.J. The role of turbulence in the characteristic velocity of rocket combustors. Aerosp. Sci. Technol. 2023, 134, 108158. [Google Scholar] [CrossRef]
- Martinez-Sanchis, D.; Sternin, A.; Jocher, A.; Haidn, O. Analysis of Turbulent Mixing in a Methane—Oxygen Recessed Injector for Space Propulsion. Phys. Fluids 2023, 35, 075141. [Google Scholar] [CrossRef]
- Zhang, F.; Bonart, H.; Zirwes, T.; Habisreuther, P. Direct numerical simulations of chemically reacting flows with the public domain code OpenFOAM. In High Performance Computing in Science and Engineering ‘16; Springer: Berlin/Heidelberg, Germany, 2015; Volume 14, pp. 221–236. [Google Scholar]
- Zirwes, T.; Zhang, F.; Denev, J.; Habisreuther, P.; Bockhorn, H. Automated code generation for maximizing performance of detailed chemistry calculations in OpenFOAM. In High Performance Computing in Science and Engineering ’17; Springer: Berlin/Heidelberg, Germany, 2018; pp. 189–204. [Google Scholar]
- Zirwes, T.; Zhang, F.; Denev, J.A.; Habisreuther, P.; Bockhorn, H.; Trimis, D. Improved vectorization for efficient chemistry computations in OpenFOAM for large scale combustion simulations. In High Performance Computing in Science and Engineering ‘18; Springer: Berlin/Heidelberg, Germany, 2019; pp. 209–224. [Google Scholar]
- Zirwes, T.; Zhang, F.; Habisreuther, P.; Denev, J.A.; Bockhorn, H.; Trimis, D. Implementation and Validation of a Computationally Efficient DNS Solver for Reacting Flows in OpenFOAM. In Proceedings of the 14th World Congress on Computational Mechanics, Virtual Congress, 11–15 January 2021. [Google Scholar]
- Weller, H.; Tabor, G.; Jasak, H.; Fureby, C. A tensorial approach to computational continuum mechanics using object-oriented techniques. Comput. Phys. 1998, 12, 620–631. [Google Scholar] [CrossRef]
- Weller, H.; Tabor, G.; Jasak, H.; Fureby, C. OpenFOAM; openCFD ltd.: Berkshire, UK, 2017. [Google Scholar]
- Mcdonald, P.W. The Computation of Transonic Flow through Two-Dimensional Gas Turbine Cascades; ASME: New York, NY, USA, 1971. [Google Scholar]
- MacCormack, R.W.; Paullay, A.J. Computational Efficiency Achieved by Time Splitting of Finite Difference Operators; AIAA: San Diego, CA, USA, 1972. [Google Scholar]
- Zhang, F.; Zirwes, T.; Nawroth, H.; Habisreuther, P.; Bockhorn, H.; Paschereit, C.O. Combustion-generated noise: An environment-related issue for future combustion systems. Energy Technol. 2017, 5, 1045–1054. [Google Scholar] [CrossRef]
- Zhang, F.; Zirwes, T.; Habisreuther, P.; Bockhorn, H. Effect of unsteady stretching on the flame local dynamics. Combust. Flame 2017, 175, 170–179. [Google Scholar] [CrossRef]
- Zirwes, T.; Häber, T.; Feichi, Z.; Kosaka, H.; Dreizler, A.; Steinhausen, M.; Hasse, C.; Stagni, A.; Trimis, D.; Suntz, R.; et al. Numerical study of quenching distances for side-wall quenching using detailed diffusion and chemistry. Flow Turbul. Combust. 2021, 106, 649–679. [Google Scholar] [CrossRef]
- Zhang, F.; Zirwes, T.; Häaber, T.; Bockhorn, H.; Trimis, D.; Suntz, R. Near wall dynamics of premixed flames. Proc. Combust. Inst. 2020, 38, 1955–1964. [Google Scholar] [CrossRef]
- Zirwes, T.; Zhang, F.; Habisreuther, P.; Hansinger, M.; Bockhorn, H.; Pfitzner, M.; Trimis, D. Quasi-DNS Dataset of a Piloted Flame with Inhomogeneous Inlet Conditions. Flow Turbul. Combust. 2019, 104, 997–1027. [Google Scholar] [CrossRef]
- Zirwes, T.; Sontheimer, M.; Zhang, F.; Abdelsamie, A.; Hernández-Pérez, F.E.; Stein, O.T.; Im, H.G.; Kronenburg, A.; Bockhorn, H. Assessment of Numerical Accuracy and Parallel Performance of OpenFOAM and its Reacting Flow Extension EBIdnsFoam. Flow Turbul. Combust. 2023, 111, 567–602. [Google Scholar] [CrossRef]
- Goodwin, D.; Moffat, H.; Speth, R. Cantera: An Object-Oriented Software Toolkit for Chemical Kinetics, Thermodynamics and Transport Processes, version 2.3.0b; CANTERA: Carson City, NV, USA, 2017. [Google Scholar]
- Kee, R.; Coltrin, M.; Glarborg, P. Chemically Reacting Flow: Theory and Practice; Wiley: London, UK, 2005. [Google Scholar]
- Slavinskaya, N.; Abbasi, M.; Starcke, J.H.; Haidn, O. Methane Skeletal Mechanism for Space Propulsion Applications. In Proceedings of the Joint Propulsion Conference, Salt Lake City, UT, USA, 25–27 July 2016. [Google Scholar]
- Winter, F.; Perakis, N.; Haidn, O. Emission imaging and CFD simulation of a coaxial single-element GOX/GCH4 rocket combustor. In Proceedings of the Joint Propulsion Conference, Cincinnati, OH, USA, 9–11 July 2018. [Google Scholar]
- Martinez-Sanchis, D.; Sternin, A.; Haidn, O.; Tajmar, M. Combustion regimes in turbulent non-premixed flames for space propulsion. Aerospace 2023, 10, 671. [Google Scholar] [CrossRef]
- Germano, M.; Piomelli, U.; Moin, P.; Cabot, W.H. A dynamic subgrid-scale eddy viscosity model. Phys. Fluids 1991, 3, 1760–1765. [Google Scholar] [CrossRef]
- Martinez-Sanchis, D.; Sternin, A.; Haidn, O.; Jocher, A. Effects of injection recess in methane turbulent combustion for space combustion. Phys. Fluids 2024, 36, 015153. [Google Scholar] [CrossRef]
















| Symbol | Description | Value |
|---|---|---|
| Kolmogorov length scale | 0.1 | |
| Large eddies scale | 15.8 | |
| Root mean square of the velocity fluctuations | 3.108 | |
| Reynolds number of the large Eddies | 348 |
| Symbol | Description | Value |
|---|---|---|
| Injection pressure | ||
| Inlet temperature | ||
| Global equivalence ratio | ||
| Laminar flame thickness at stoichiometric conditions | ||
| Laminar flame speed at stoichiometric conditions |
| Simulation | Number of Cells [x y z] | ] | ] |
|---|---|---|---|
| 192 × 192 × 1152 | 0.189 | 1 | |
| 96 × 96 × 756 | 0.378 | 2 | |
| 64 × 64 × 384 | 0.568 | 3 | |
| 48 × 48 × 288 | 0.759 | 4 | |
| 32 × 32 × 192 | 1.135 | 6 | |
| 24 × 24 × 144 | 1.514 | 8 | |
| 16 × 16 × 96 | 2.271 | 12 | |
| 12 × 12 × 72 | 3.028 | 16 | |
| 8 × 8 × 48 | 4.514 | 24 | |
| 4 × 4 × 24 | 9.083 | 48 |
Disclaimer/Publisher’s Note: The statements, opinions and data contained in all publications are solely those of the individual author(s) and contributor(s) and not of MDPI and/or the editor(s). MDPI and/or the editor(s) disclaim responsibility for any injury to people or property resulting from any ideas, methods, instructions or products referred to in the content. |
© 2024 by the authors. Licensee MDPI, Basel, Switzerland. This article is an open access article distributed under the terms and conditions of the Creative Commons Attribution (CC BY) license (https://creativecommons.org/licenses/by/4.0/).
Share and Cite
Martinez-Sanchis, D.; Sternin, A.; Banik, S.; Haidn, O.; Tajmar, M. Subgrid Turbulent Flux Models for Large Eddy Simulations of Diffusion Flames in Space Propulsion. Fluids 2024, 9, 124. https://doi.org/10.3390/fluids9060124
Martinez-Sanchis D, Sternin A, Banik S, Haidn O, Tajmar M. Subgrid Turbulent Flux Models for Large Eddy Simulations of Diffusion Flames in Space Propulsion. Fluids. 2024; 9(6):124. https://doi.org/10.3390/fluids9060124
Chicago/Turabian StyleMartinez-Sanchis, Daniel, Andrej Sternin, Sagnik Banik, Oskar Haidn, and Martin Tajmar. 2024. "Subgrid Turbulent Flux Models for Large Eddy Simulations of Diffusion Flames in Space Propulsion" Fluids 9, no. 6: 124. https://doi.org/10.3390/fluids9060124
APA StyleMartinez-Sanchis, D., Sternin, A., Banik, S., Haidn, O., & Tajmar, M. (2024). Subgrid Turbulent Flux Models for Large Eddy Simulations of Diffusion Flames in Space Propulsion. Fluids, 9(6), 124. https://doi.org/10.3390/fluids9060124

