Effects of Partial Premixing and Coflow Temperature on Flame Stabilization of Lifted Jet Flames of Dimethyl Ether in a Vitiated Coflow Based on Stochastic Multiple Mapping Conditioning Approach
Abstract
1. Introduction
2. Mathematical Background
3. Numerical Approach
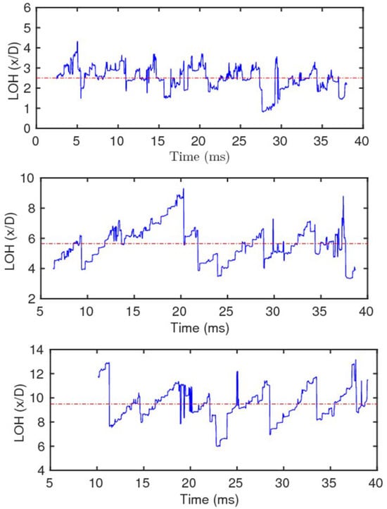
4. Results and Discussion
5. Conclusions
Author Contributions
Funding
Institutional Review Board Statement
Informed Consent Statement
Data Availability Statement
Acknowledgments
Conflicts of Interest
References
- Lyons, K.M. Toward an understanding of the stabilization mechanisms of lifted turbulent jet flames: Experiments. Prog. Energy Combust. Sci. 2007, 33, 211–231. [Google Scholar] [CrossRef]
- Ghai, S.K.; De, S. A Review on Autoignition in Laminar and Turbulent Nonpremixed Flames. In Combustion for Power Generation and Transportation: Technology, Challenges and Prospects; Agarwal, A.K., De, S., Pandey, A., Singh, A.P., Eds.; Springer: Singapore, 2017; pp. 11–37. [Google Scholar]
- Cao, R.R.; Pope, S.B.; Masri, A.R. Turbulent lifted flames in a vitiated coflow investigated using joint PDF calculations. Combust. Flame 2005, 142, 438–453. [Google Scholar] [CrossRef]
- Cabra, R.; Cabra, R.; Chen, J.; Dibble, R.W.; Karpetis, A.N.; Karpetis, A.N.; Barlow, R.S. Lifted methane–air jet flames in a vitiated coflow. Combust. Flame 2005, 143, 491–506. [Google Scholar] [CrossRef]
- Gkagkas, K.; Lindstedt, R.P. Transported PDF modelling with detailed chemistry of pre- and auto-ignition in CH4/air mixtures. Proc. Combust. Inst. 2007, 31, 1559–1566. [Google Scholar] [CrossRef]
- Jangi, M.; Zhao, X.; Haworth, D.C.; Bai, X.S. Stabilization and liftoff length of a non-premixed methane/air jet flame discharging into a high-temperature environment: An accelerated transported PDF method. Combust. Flame 2015, 162, 408–419. [Google Scholar] [CrossRef]
- Cabra, R.; Myhrvold, T.; Chen, J.; Dibble, R.; Karpetis, A.; Barlow, R. Simultaneous laser raman-rayleigh-lif measurements and numerical modeling results of a lifted turbulent H2/N2 jet flame in a vitiated coflow. Proc. Combust. Inst. 2002, 29, 1881–1888. [Google Scholar] [CrossRef]
- Gordon, R.L.; Masri, A.R.; Pope, S.B.; Goldin, G.M. Transport budgets in turbulent lifted flames of methane autoigniting in a vitiated co-flow. Combust. Flame 2007, 151, 495–511. [Google Scholar] [CrossRef]
- Gordon, R.; Stårner, S.; Masri, A.; Bilger, R. Further characterisation of lifted hydrogen and methane flames issuing into a vitiated coflow. In Proceedings of the 5th Asia-Pacific Conference on Combustion, Adelaide, Australia, 17–20 July 2005; pp. 333–336. [Google Scholar]
- Patwardhan, S.S.; De, S.; Lakshmisha, K.N.; Raghunandan, B.N. CMC simulations of lifted turbulent jet flame in a vitiated coflow. Proc. Combust. Inst. 2009, 32, 1705–1712. [Google Scholar] [CrossRef]
- Yadav, R.; Kushari, A.; De, A. Modeling of turbulent lifted flames in vitiated co-flow using multi environment Eulerian PDF transport approach. Int. J. Heat Mass Transf. 2014, 77, 230–246. [Google Scholar] [CrossRef]
- Navarro-Martinez, S.; Kronenburg, A. LES–CMC simulations of a lifted methane flame. Proc. Combust. Inst. 2009, 32, 1509–1516. [Google Scholar] [CrossRef]
- Roy, R.N.; Kumar, S.; Sreedhara, S. A new approach to model turbulent lifted CH4/air flame issuing in a vitiated coflow using conditional moment closure coupled with an extinction model. Combust. Flame 2014, 161, 197–209. [Google Scholar] [CrossRef]
- Michel, J.B.; Colin, O.; Angelberger, C.; Veynante, D. Using the tabulated diffusion flamelet model ADF-PCM to simulate a lifted methane–air jet flame. Combust. Flame 2009, 156, 1318–1331. [Google Scholar] [CrossRef]
- Domingo, P.; Vervisch, L.; Veynante, D. Large-eddy simulation of a lifted methane jet flame in a vitiated coflow. Combust. Flame 2008, 152, 415–432. [Google Scholar] [CrossRef]
- Enjalbert, N.; Domingo, P.; Vervisch, L. Mixing time-history effects in Large Eddy Simulation of non-premixed turbulent flames: Flow-Controlled Chemistry Tabulation. Combust. Flame 2012, 159, 336–352. [Google Scholar] [CrossRef]
- Schulz, O.; Jaravel, T.; Poinsot, T.; Cuenot, B.; Noiray, N. A criterion to distinguish autoignition and propagation applied to a lifted methane–air jet flame. Proc. Combust. Inst. 2017, 36, 1637–1644. [Google Scholar] [CrossRef]
- Han, W.; Raman, V.; Chen, Z. LES/PDF modeling of autoignition in a lifted turbulent flame: Analysis of flame sensitivity to differential diffusion and scalar mixing time-scale. Combust. Flame 2016, 171, 69–86. [Google Scholar] [CrossRef]
- Ghai, S.K.; De, S.; Kronenburg, A. Numerical simulations of turbulent lifted jet diffusion flames in a vitiated coflow using the stochastic multiple mapping conditioning approach. Proc. Combust. Inst. 2019, 37, 2199–2206. [Google Scholar] [CrossRef]
- Ghai, S.K.; De, S. Numerical investigation of auto-igniting turbulent lifted CH4/air jet diffusion flames in a vitiated co-flow using a RANS based stochastic multiple mapping conditioning approach. Combust. Flame 2019, 203, 362–374. [Google Scholar] [CrossRef]
- Straub, C.; De, S.; Kronenburg, A.; Vogiatzaki, K. The effect of timescale variation in multiple mapping conditioning mixing of PDF calculations for Sandia Flame series D–F. Combust. Theory Model. 2016, 20, 894–912. [Google Scholar] [CrossRef]
- Ghai, S.K.; De, S. Numerical investigation of flow and scalar fields of piloted, partially-premixed dimethyl ether/air jet flames using stochastic multiple mapping conditioning approach. Combust. Flame 2019, 208, 480–491. [Google Scholar] [CrossRef]
- Macfarlane, A.W.; Dunn, M.J.; Juddoo, M.; Masri, A.R. Stabilisation of turbulent auto-igniting dimethyl ether jet flames issuing into a hot vitiated coflow. Proc. Combust. Inst. 2017, 36, 1661–1668. [Google Scholar] [CrossRef]
- Ghai, S.K.; De, S.; Vogiatzaki, K.; Cleary, M.J. Theory and Application of Multiple Mapping Conditioning for Turbulent Reactive Flows. In Modeling and Simulation of Turbulent Combustion; Springer: Singapore, 2018; pp. 447–474. [Google Scholar]
- Klimenko, A.Y.; Pope, S.B. The modeling of turbulent reactive flows based on multiple mapping conditioning. Phys. Fluids 2003, 15, 1907–1925. [Google Scholar] [CrossRef]
- Janicka, J.; Kolbe, W.; Kollmann, W. Closure of the Transport Equation for the Probability Density Funcfion of Turbulent Scalar Fields. J. Non-Equilib. Thermody 1979, 4, 47–66. [Google Scholar] [CrossRef]
- Ghai, S.K.; De, S. Numerical modeling of turbulent premixed combustion using RANS based stochastic multiple mapping conditioning approach. Proc. Combust. Inst. 2019, 37, 2519–2526. [Google Scholar] [CrossRef]
- Nooren, P.A.; Wouters, H.A.; Peeters, T.; Roekaerts, D.J.; Maas, U.; Schmidt, D. Monte Carlo PDF modelling of a turbulent natural-gas diffusion flame. Combust. Theory Model. 1997, 1, 79–96. [Google Scholar] [CrossRef]
- Macfarlane, A.R.; Dunn, M.; Juddoo, M.; Masri, A. The evolution of autoignition kernels in turbulent flames of dimethyl ether. Combust. Flame 2018, 197, 182–196. [Google Scholar] [CrossRef]
- Chin, G.T.; Chen, J.Y.; Rapp, V.H.; Dibble, R.W. Development and Validation of a Reduced DME Mechanism Applicable to Various Combustion Modes in Internal Combustion Engines. J. Combust. 2011, 2011, 630580. [Google Scholar] [CrossRef]
- Zhao, Z.; Chaos, M.; Kazakov, A.F.; Dryer, F.L. Thermal decomposition reaction and a comprehensive kinetic model of dimethyl ether. Int. J. Chem. Kinet. 2008, 40, 1–18. [Google Scholar] [CrossRef]







| Parameter | Fuel Jet | Coflow | ||||
|---|---|---|---|---|---|---|
| Case 1 | Case 2 | Case 3 | ||||
| Jet composition (by volume) | Pure DME | Air/DME (1:1) | Air/DME (3:1) | |||
| Temperature (K) | 298 | 1350 | 1400 | 1500 | ||
| Velocity (m/s) | 50 | 4 | ||||
| Reynolds number (Re) | 38,610 | 22,990 | 16,650 | - - - | ||
| Diameter (mm) | 4.45 | 197 | ||||
| Equivalence ratio | - - - | 0.36 | 0.38 | 0.43 | ||
| Stoichiometric mixture fraction, | 0.06 | 0.11 | 0.20 | - - - | ||
| 0.0 | 0.0941 | 0.1578 | 0.1459 | 0.141 | 0.1307 | |
| 0.0 | 0.2919 | 0.4948 | 0.7589 | 0.7585 | 0.7575 | |
| 0.0 | 0.0 | 0.0 | 0.0952 | 0.1005 | 0.1118 | |
| 1.0 | 0.614 | 0.3474 | 0.0 | 0.0 | 0.0 | |
Disclaimer/Publisher’s Note: The statements, opinions and data contained in all publications are solely those of the individual author(s) and contributor(s) and not of MDPI and/or the editor(s). MDPI and/or the editor(s) disclaim responsibility for any injury to people or property resulting from any ideas, methods, instructions or products referred to in the content. |
© 2024 by the authors. Licensee MDPI, Basel, Switzerland. This article is an open access article distributed under the terms and conditions of the Creative Commons Attribution (CC BY) license (https://creativecommons.org/licenses/by/4.0/).
Share and Cite
Ghai, S.K.; Gupta, R.; De, S. Effects of Partial Premixing and Coflow Temperature on Flame Stabilization of Lifted Jet Flames of Dimethyl Ether in a Vitiated Coflow Based on Stochastic Multiple Mapping Conditioning Approach. Fluids 2024, 9, 125. https://doi.org/10.3390/fluids9060125
Ghai SK, Gupta R, De S. Effects of Partial Premixing and Coflow Temperature on Flame Stabilization of Lifted Jet Flames of Dimethyl Ether in a Vitiated Coflow Based on Stochastic Multiple Mapping Conditioning Approach. Fluids. 2024; 9(6):125. https://doi.org/10.3390/fluids9060125
Chicago/Turabian StyleGhai, Sanjeev Kumar, Rajat Gupta, and Santanu De. 2024. "Effects of Partial Premixing and Coflow Temperature on Flame Stabilization of Lifted Jet Flames of Dimethyl Ether in a Vitiated Coflow Based on Stochastic Multiple Mapping Conditioning Approach" Fluids 9, no. 6: 125. https://doi.org/10.3390/fluids9060125
APA StyleGhai, S. K., Gupta, R., & De, S. (2024). Effects of Partial Premixing and Coflow Temperature on Flame Stabilization of Lifted Jet Flames of Dimethyl Ether in a Vitiated Coflow Based on Stochastic Multiple Mapping Conditioning Approach. Fluids, 9(6), 125. https://doi.org/10.3390/fluids9060125

