Modeling and Parameterization of the Evaporation and Thermal Decomposition of an Iron(III) Nitrate Nonahydrate/Ethanol Droplet for Flame Spray Pyrolysis
Abstract
:1. Introduction
2. Mathematical Model
3. Results and Discussion
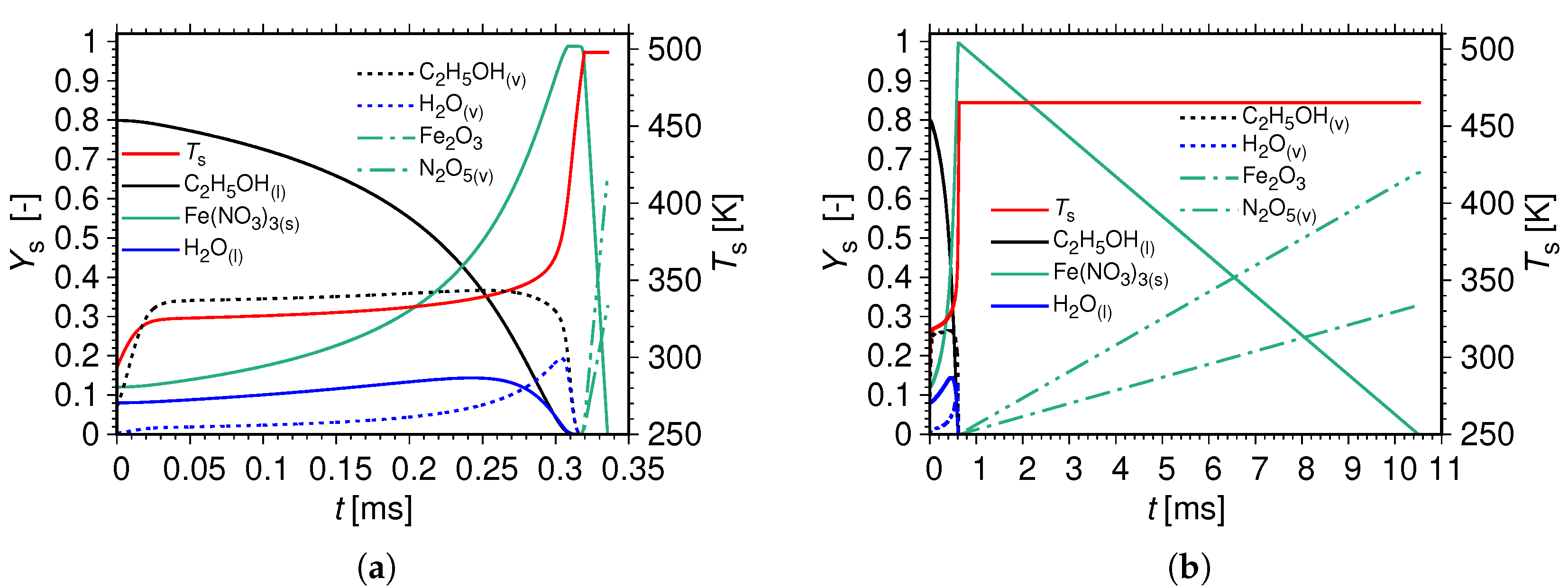
3.1. Droplet Heating, Evaporation, and Thermal Decomposition
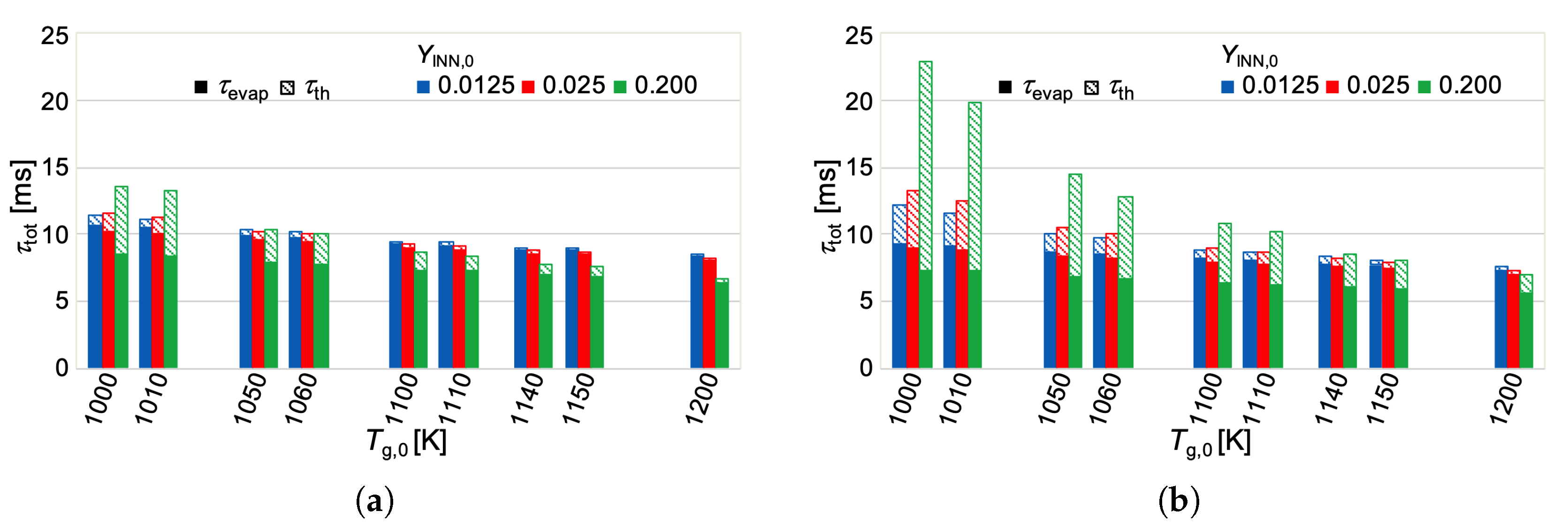
3.2. Process Time
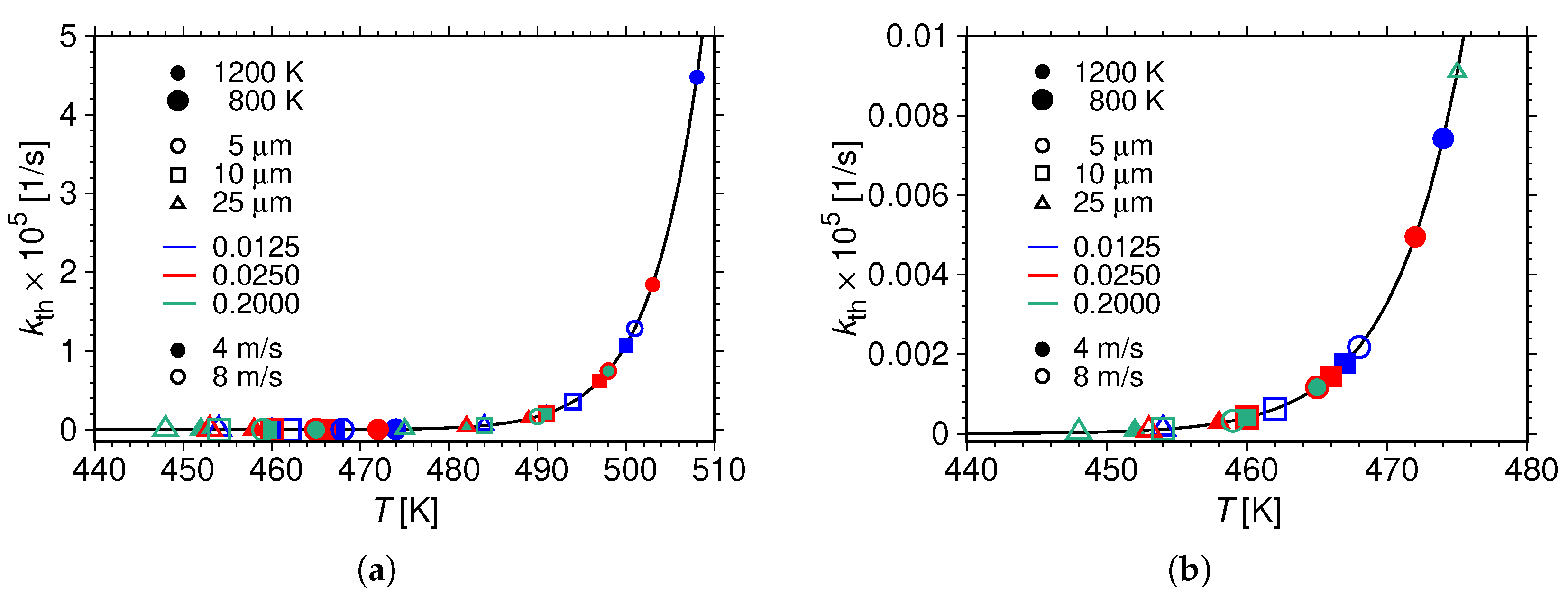
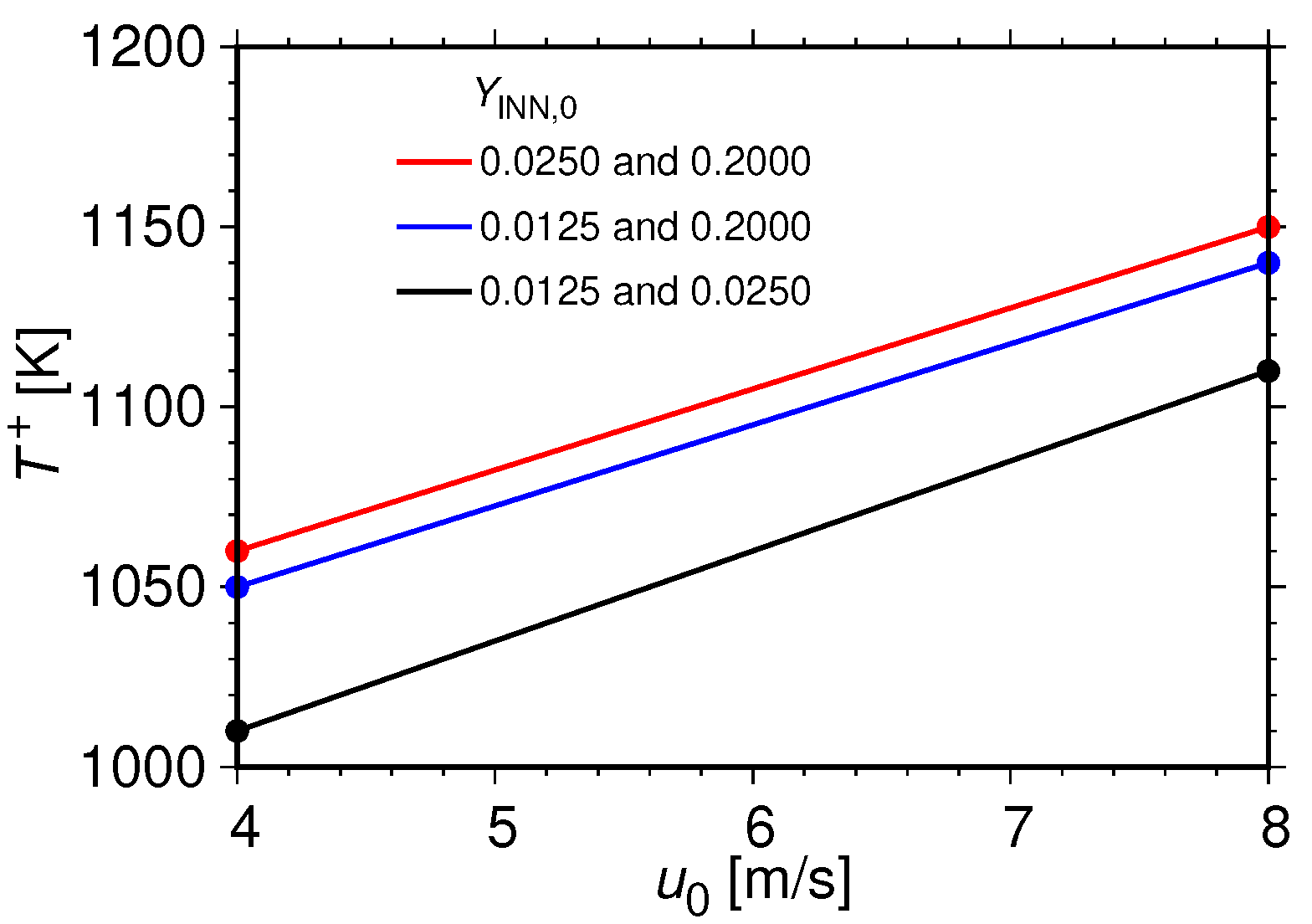
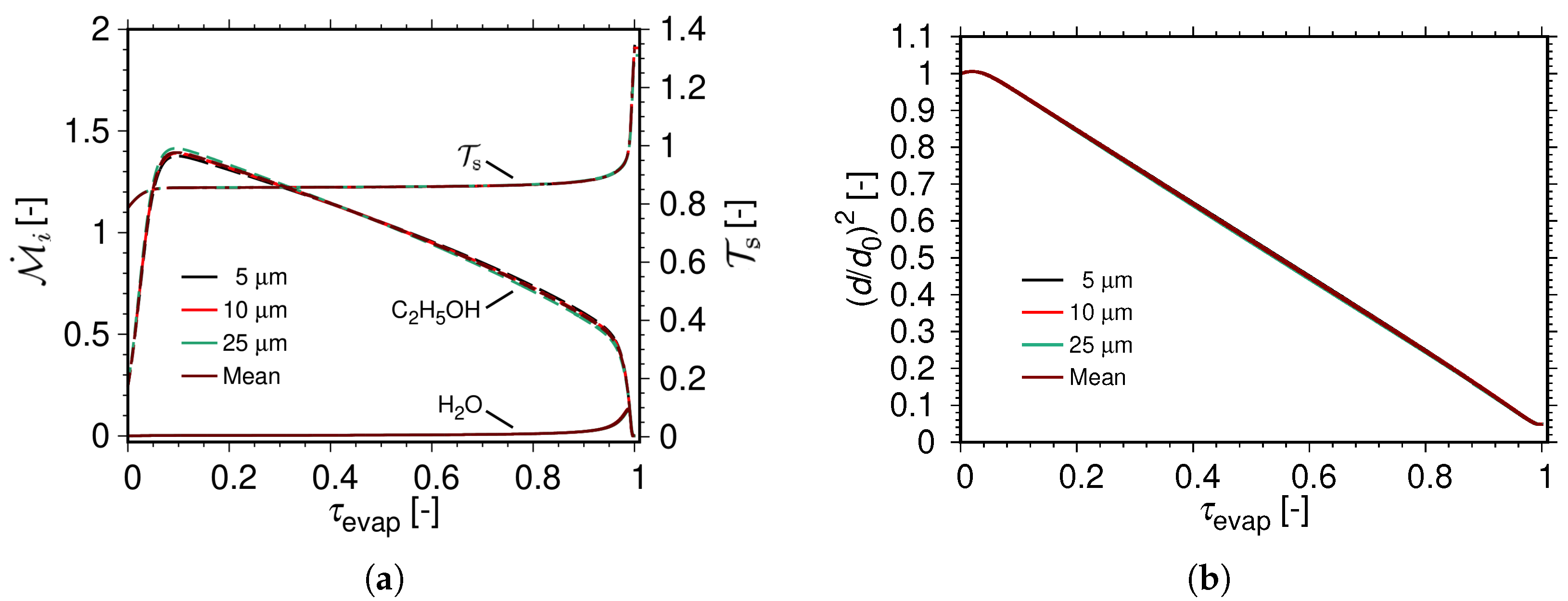
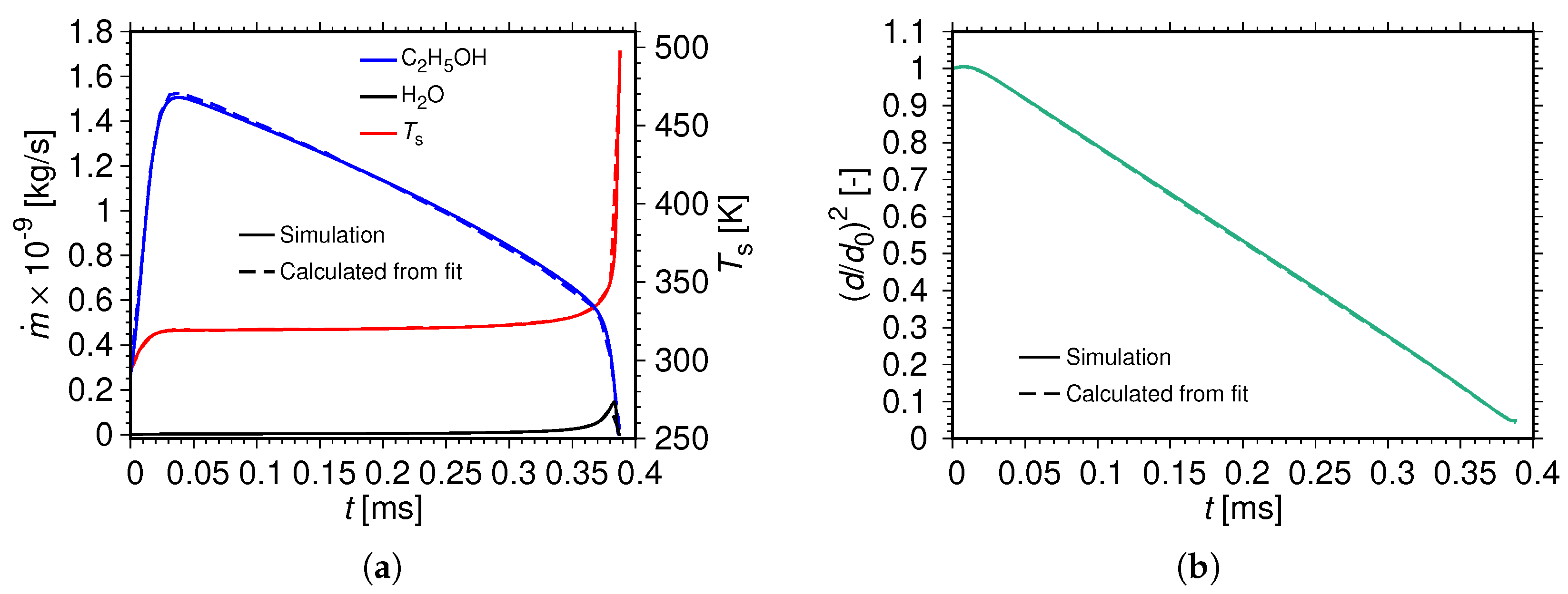
3.3. Parameterization
3.4. Polynomial Fits
3.5. Tabulation and Retrieval of Simulation Results
4. Summary and Conclusions
Author Contributions
Funding
Institutional Review Board Statement
Informed Consent Statement
Data Availability Statement
Conflicts of Interest
Appendix A. Polynomial Coefficients, Droplet Evaporation, and Thermal Decomposition Times
| T | mdot_ethanol | mdot_water | (d/d_0) | 0.025 | 800 |
| 7.867359690591 | 1.747616394195 | −2.312503267622 | 1.615854300254 | −6.634820152282 | 1.681763960325 |
| −2.664277105596 | 2.576599396956 | −1.405152642616 | 3.470305154648 | −1.251614391388 | 0.98 |
| 1.321788785208 | −2.698997242649 | −4.289653155658 | 1.860013374498 | 1.851624158345 | −3.214339097653 |
| −1.929862335301 | −1.919975663692 | 5.198552438105 | 2.975354052134 | −1.518691541518 | 1.00 |
| 4.049928500265 | 1.402068766769 | 5.590321897474 | −1.837923088876 | 2.417769740843 | −1.817936365063 |
| 8.540484953760 | −2.554575902726 | 4.734574245018 | −4.961016526826 | 2.247808444881 | 0.40 |
| −2.042865679835 | 3.324992865363 | −2.409797491151 | 1.024856616974 | −2.832688925475 | 5.317552375646 |
| −6.866898241760 | 6.024603170622 | −3.437402257253 | 1.151999845723 | −1.722499714524 | 0.98 |
| 7.004499984111 | 7.320841215824 | 6.985636575392 | −1.264700266326 | 9.813146413021 | −4.211053619002 |
| 1.088454183635 | −1.735749149109 | 1.671629805079 | −8.915648471500 | 2.022706210720 | 0.96 |
| −9.382191114812 | 3.094568746672 | −1.939972472475 | −2.439799160664 | 8.645600620347 | 2.870304398015 |
| 8.550078823384 | −2.735465696351 | −2.224800808429 | 3.826532228996 | −1.232716072344 | 0.98 |
| 1.000289904692 | 2.936087644462 | −1.773320982005 | 1.252323804627 | −5.234968870397 | 1.369006095653 |
| −2.284585819393 | 2.411780969212 | −1.540582055775 | 5.335670240812 | −7.443802056633 | 1.00 |
| 4 | 9.953996022681 | 8 | 9.959139590121 | ||
| 5 | 0.714201000000 | 0.659601000000 | 2.470800000000 | 10.27039900000 | |
| 10 | 2.638701000000 | 2.371301000000 | 8.705399000000 | 31.68709900000 | |
| 25 | 14.23037000000 | 12.30450000000 | 46.28680000000 | 145.3087000000 | |
| T | mdot_ethanol | mdot_water | (d/d_0) | 0.025 | 1200 |
| 7.867145821586 | 2.458546514703 | −3.454578014776 | 2.558941751342 | −1.119941643820 | 3.063310091836 |
| −5.353792133168 | 5.941725000673 | −4.019275839190 | 1.494058678680 | −2.297048762642 | 0.98 |
| 3.007659971000 | −6.120495257208 | −9.902830762100 | 4.200275432824 | 4.198999581126 | −5.113716178296 |
| −4.347147946854 | −4.342974843581 | 1.152668977259 | 6.702060944189 | −3.409626488293 | 1.00 |
| 2.649827491167 | 6.467468055715 | 1.121608918537 | −3.171074204381 | 4.068617331905 | −3.044654355509 |
| 1.430867104877 | −4.287019474526 | 7.959594503533 | −8.353184950542 | 3.789437614192 | 0.40 |
| −5.535923262976 | 8.969839635294 | −6.472828661464 | 2.740187227611 | −7.536843528899 | 1.407472429049 |
| −1.807523129705 | 1.576513584004 | −8.939005651413 | 2.976022992189 | −4.418695467229 | 0.98 |
| 5.355407763709 | 1.217485456189 | 1.010741979324 | −1.729839498434 | 1.318634067348 | −5.604895163329 |
| 1.438672462980 | −2.280482870988 | 2.183751108664 | −1.158085428036 | 2.611880933761 | 0.96 |
| −1.244420427367 | 4.102654147558 | −2.569441893389 | −3.234340385848 | 1.143042667218 | 3.802439643503 |
| 1.135102030104 | −3.621309429414 | −2.947956283717 | 5.065214628272 | −1.630984700822 | 0.98 |
| 1.000238817552 | 6.485587657779 | −2.281399335789 | 1.648888218078 | −7.030976392018 | 1.873519086859 |
| −3.191143274565 | 3.454879972907 | −2.284257683482 | 8.330356340793 | −1.266164668291 | 1.00 |
| 4 | 9.471258445809 | 8 | 9.781422439604 | ||
| 5 | 0.388001000000 | 0.363501000000 | 0.006200000000 | 0.015900000000 | |
| 10 | 1.454101000000 | 1.328901000000 | 0.014200000000 | 0.059300000000 | |
| 25 | 8.020566000000 | 7.058666000000 | 0.085000000000 | 0.304000000000 | |
| T | mdot_ethanol | mdot_water | (d/d_0) | 0.025 | 400 |
| 7.863412201930 | −5.596710255187 | 7.798673182253 | −1.297379984485 | 9.975999440013 | −4.294562346831 |
| 1.115593134769 | −1.786913375918 | 1.726649103043 | −9.229611868066 | 2.096557240873 | 0.96 |
| 4.327485463200 | −1.420829733550 | 8.878482597668 | 1.107328831258 | −3.931565613548 | −1.289473838013 |
| −3.788109751754 | 1.216241556876 | 9.787607058016 | −1.678799308370 | 5.381425268914 | 1.00 |
| 1.531480084513 | 4.785051289419 | −2.248358016042 | 1.895204961594 | −9.673053825490 | 3.126326310656 |
| −6.552662882402 | 8.876379844265 | −7.497755187025 | 3.590661591465 | −7.448170524673 | 0.96 |
| −1.627867255534 | 5.723643530561 | −4.077842548455 | −4.510212130202 | 2.209964176216 | 5.765295109952 |
| 1.219165401094 | −5.923272862578 | −4.250988691443 | 8.268980803539 | −2.796865533756 | 0.98 |
| 2.007980299564 | −2.849737850328 | 2.110074500648 | −3.058608732265 | 2.311805681849 | −1.011391492653 |
| 2.711026039274 | −4.516878664993 | 4.563090602700 | −2.559639457377 | 6.122727040275 | 0.96 |
| −3.434773944602 | 1.128861736657 | −7.069061556954 | −8.799281912150 | 3.142472975938 | 1.026209107149 |
| 3.000416840101 | −9.693919852327 | −7.785546174139 | 1.338354041063 | −4.294555224574 | 0.98 |
| 1.000021336987 | −1.050836018406 | 6.470737723956 | −2.486456955154 | 2.384077785236 | −1.104888213757 |
| 2.952114185993 | −4.770194050724 | 4.608457970917 | −2.453507475778 | 5.547886968102 | 1.00 |
| 1 | 0.157760100000 | 0.149597000000 | |||
| 2 | 0.598526300000 | 0.556698900000 | |||
| 5 | 3.421601000000 | 3.077001000000 | |||
| T | mdot_ethanol | mdot_water | (d/d_0) | 0.0125 | 800 |
| 7.868617734492 | 1.758780317274 | −2.393496998021 | 1.723320694844 | −7.331690010150 | 1.943564131765 |
| −3.271580345032 | 3.459558997750 | −2.188901128876 | 7.353653211725 | −9.485217956632 | 0.98 |
| 7.047907477452 | −1.426166002927 | −2.375181013842 | 9.719035423592 | 9.784591995507 | −3.517901502225 |
| −1.001680200667 | −1.007750366360 | 2.584768640802 | 1.544258868402 | −7.812566367591 | 1.00 |
| 4.216990862295 | 1.587859279807 | 5.433748013738 | −1.895347351970 | 2.557331123657 | −1.957513503559 |
| 9.326856980810 | −2.822461589634 | 5.282737130968 | −5.582212640641 | 2.547792913217 | 0.40 |
| −3.140067363750 | 5.086094640437 | −3.668092331303 | 1.551877336283 | −4.265667520147 | 7.960630714181 |
| −1.021626005120 | 8.904253978322 | −5.045138362832 | 1.678408981624 | −2.490167132284 | 0.98 |
| 3.488613880948 | −4.106384001527 | 5.049113808918 | −8.083100839664 | 6.051457177350 | −2.555678218551 |
| 6.544282754021 | −1.036614480031 | 9.927020829343 | −5.266801462965 | 1.188617578409 | 0.96 |
| −1.817677000307 | 5.992416850793 | −3.752691593343 | −4.724149621272 | 1.669139818970 | 5.553594621465 |
| 1.658230407641 | −5.288642034695 | −4.305706005033 | 7.397204317396 | −2.381719756600 | 0.98 |
| 1.000397035942 | 2.816568944608 | −1.822081457925 | 1.314280025592 | −5.616104055967 | 1.505933670780 |
| −2.590696388545 | 2.843975334046 | −1.915774359678 | 7.165594632266 | −1.128504033771 | 1.00 |
| 4 | 9.950563337973 | 8 | 9.960927572051 | ||
| 5 | 0.730385500000 | 0.675492900000 | 1.470090500000 | 5.706780100000 | |
| 10 | 2.702001000000 | 2.433001000000 | 5.802500000000 | 20.75199900000 | |
| 25 | 14.60533000000 | 12.65355000000 | 31.25400000000 | 102.2839500000 | |
| T | mdot_ethanol | mdot_water | (d/d_0) | 0.0125 | 1200 |
| 7.871035810002 | 2.479094384565 | −3.576394894957 | 2.715466214038 | −1.219165305031 | 3.429086238996 |
| −6.188502974257 | 7.138163354789 | −5.068241127543 | 2.008263136505 | −3.377133696950 | 0.98 |
| 1.012954373676 | −2.048628275244 | −3.421278542091 | 1.395148551837 | 1.405520582274 | −3.882704757331 |
| −1.437301465432 | −1.447002895719 | 3.698812745779 | 2.215835426858 | −1.120397000414 | 1.00 |
| 2.752934134304 | 8.707277836448 | 1.144218965316 | −3.388048706465 | 4.468226790854 | −3.415698564249 |
| 1.633777778876 | −4.968757607717 | 9.345149910740 | −9.918132590929 | 4.544055887417 | 0.40 |
| −4.586897364055 | 7.410091534510 | −5.330157992488 | 2.248815850944 | −6.163267447106 | 1.146642122359 |
| −1.466748471041 | 1.273999892127 | −7.192432053384 | 2.383700014722 | −3.522499073032 | 0.98 |
| 2.404315546780 | −8.923341400677 | 4.612883566157 | −7.767130012944 | 5.906199992866 | −2.510067357691 |
| 6.444422065762 | −1.021694965030 | 9.783366505097 | −5.187127455111 | 1.169382345802 | 0.96 |
| −1.773905585902 | 5.843584501314 | −3.653333345290 | −4.606281056233 | 1.619802607015 | 5.408538264495 |
| 1.621101469014 | −5.144098071221 | −4.194918461684 | 7.193648320012 | −2.314138629057 | 0.98 |
| 1.000559287474 | 6.448389870227 | −2.393847518557 | 1.795996121322 | −7.983513079578 | 2.231880452443 |
| −4.022602048469 | 4.661556690390 | −3.351063881763 | 1.358337273817 | −2.370385908777 | 1.00 |
| 4 | 9.419233225215 | 8 | 9.773408658583 | ||
| 5 | 0.400735600000 | 0.375837300000 | 0.002330000000 | 0.009580000000 | |
| 10 | 1.503314000000 | 1.376226000000 | 0.010300000000 | 0.036300000000 | |
| 25 | 8.311198000000 | 7.329095000000 | 0.053700000000 | 0.205800000000 | |
| T | mdot_ethanol | mdot_water | (d/d_0) | 0.0125 | 400 |
| 7.862289962779 | −1.905590358774 | 8.246785670685 | −1.189278170599 | 8.651374286353 | −3.621138473748 |
| 9.252367142150 | −1.466295075690 | 1.406483886905 | −7.478317983028 | 1.691849238766 | 0.96 |
| −2.632780788706 | 8.756215047302 | −5.635015992938 | −6.830810004370 | 2.639894271472 | 8.131213030150 |
| 2.210078937118 | −7.857067320592 | −6.121967511837 | 1.089707035414 | −3.556828976121 | 1.00 |
| 1.560434982301 | −3.584909539160 | −1.002599438306 | 9.143432826663 | −5.079572110053 | 1.772075950528 |
| −3.976159979558 | 5.720137301422 | −5.093793946382 | 2.554642949221 | −5.516078934044 | 0.96 |
| −1.019233689173 | 3.355736007823 | −2.095540536280 | −2.644960160142 | 9.271265825957 | 3.103094381255 |
| 9.324450303629 | −2.948950637107 | −2.407416453108 | 4.123432219334 | −1.325732748154 | 0.98 |
| 9.402921380123 | −1.994466791369 | 6.611844369495 | −8.797787970135 | 6.182363992352 | −2.542505313592 |
| 6.434200264873 | −1.014333780203 | 9.704339743269 | −5.155566044707 | 1.166918331272 | 0.96 |
| −2.924799743519 | 9.692792270974 | −6.137504854373 | −7.647925312632 | 2.785359590473 | 9.061249660100 |
| 2.639540122732 | −8.697030805188 | −7.007536730384 | 1.217798940888 | −3.942133636662 | 0.98 |
| 1.000050076479 | −1.062935295689 | 7.245769617629 | −9.798521692955 | 6.905498511958 | −2.797130992485 |
| 6.916110567934 | −1.060807127053 | 9.850863108643 | −5.072496164753 | 1.111820518397 | 1.00 |
| 1 | 0.156710100000 | 0.148750100000 | |||
| 2 | 0.595168700000 | 0.554198100000 | |||
| 5 | 3.407837000000 | 3.068738000000 | |||
| T | mdot_ethanol | mdot_water | (d/d_0) | 0.200 | 800 |
| 7.855192690555 | 1.838584458814 | −1.939381754150 | 1.014231619311 | −2.525476466730 | 9.952791292086 |
| 1.075057907659 | −2.962036192513 | 3.611865130408 | −2.194732350432 | 5.393937884827 | 0.96 |
| −6.185737573626 | 2.017953708989 | −1.243901167741 | −1.570941653181 | 5.371475191215 | 1.811928759723 |
| 5.482737922654 | −1.692716034608 | −1.379509011181 | 2.333497911437 | −7.431599444048 | 1.00 |
| 2.437551893200 | 9.383573504797 | 1.543877298855 | 9.118228320071 | −1.145967871160 | 1.863926378632 |
| −1.499536169791 | 6.988466249010 | −1.921440765174 | 2.901435383933 | −1.859631243589 | 0.30 |
| −7.124197329133 | 1.379566883424 | −1.162476576074 | 5.705410528614 | −1.807399559133 | 3.862591840428 |
| −5.641731760705 | 5.563408619606 | −3.546411464371 | 1.320237741952 | −2.180745838176 | 0.96 |
| 8.150182735870 | −2.695515127347 | 1.709579083723 | 2.103683809293 | −7.767692059457 | −2.475081198232 |
| −7.043391174153 | 2.357583125696 | 1.872797798648 | −3.257933248603 | 1.050975806630 | 1.00 |
| 5.158183206384 | 5.052144773312 | −7.155630553926 | −3.095923339265 | 2.860284934387 | −1.210039772187 |
| 2.959010285807 | −4.416309705418 | 3.973192996209 | −1.980895625701 | 4.204763162322 | 0.90 |
| −1.536378626823 | 7.710523562694 | −1.219828904231 | 1.327579682698 | 1.171145827961 | −7.124952058481 |
| −1.339786977567 | −2.064156773762 | 1.769124067650 | −1.361571147800 | 3.226357686589 | 0.98 |
| −1.931978544127 | 3.970437400385 | 6.114688294366 | −2.756380153123 | −2.725084802087 | 6.974234266885 |
| 2.870410001606 | 2.837685708678 | −7.902788571659 | −4.423583453077 | 2.267561527146 | 1.00 |
| 9.976420896304 | 4.692846983512 | −1.648966737344 | 1.033136121470 | −3.871833168029 | 9.074919704247 |
| −1.339729551873 | 1.209796161179 | −6.107918394416 | 1.330733405877 | −7.419910249997 | 1.00 |
| 4 | 9.964083311610 | 8 | 9.972790618083 | ||
| 5 | 0.633801000000 | 0.580001000000 | 9.866199000000 | 34.95999900000 | |
| 10 | 2.320001000000 | 2.059901000000 | 34.58999900000 | 111.4400990000 | |
| 25 | 12.31005000000 | 10.52005000000 | 177.6900500000 | 429.4799500000 | |
| T | mdot_ethanol | mdot_water | (d/d_0) | 0.200 | 1200 |
| 7.845309427488 | 2.370679345354 | −2.490086336832 | 1.270988572169 | −2.935275698215 | −1.004054362685 |
| 1.728219025810 | −4.327089095261 | 5.104106989917 | −3.044262366896 | 7.384879679082 | 0.96 |
| −5.854194548888 | 1.914222913185 | −1.185631674012 | −1.490884575436 | 5.164373888153 | 1.725266648586 |
| 5.169625765463 | −1.616890662531 | −1.312223578000 | 2.229745750862 | −7.115852017365 | 1.00 |
| 1.382051357139 | 7.934434006405 | −4.741032640278 | 1.241709408340 | −3.543175089794 | 4.553170480702 |
| −3.317560691007 | 1.463740008506 | −3.885849698733 | 5.724934174109 | −3.602142480115 | 0.30 |
| −1.251805075437 | 2.394939408786 | −2.008584833515 | 9.810361490887 | −3.091412549280 | 6.568937027490 |
| −9.535534375929 | 9.340961704319 | −5.912397148592 | 2.184592841669 | −3.580263826150 | 0.96 |
| −2.411516746177 | 7.373941988366 | −3.902809970567 | −5.668520727874 | 1.171614126754 | 5.888020968782 |
| 2.375092084350 | −4.897996663699 | −4.636914987621 | 6.649476059941 | −1.940386131946 | 1.00 |
| 2.126415958657 | 4.044694312886 | 2.284158088441 | −6.496759255324 | 4.880846933457 | −1.922030625384 |
| 4.524275323404 | −6.584380673730 | 5.811071243140 | −2.851128901724 | 5.967707432399 | 0.90 |
| 5.981939302691 | −2.713378373838 | 3.707289849013 | 1.841040994755 | −3.365493863366 | −5.020883370496 |
| 3.408100863614 | 7.757722844659 | −4.179462252090 | 2.594014909607 | −5.070530089315 | 0.98 |
| −3.928338353321 | 8.602717920480 | 8.969023467818 | −6.406657986003 | −5.911574909882 | 6.692931872158 |
| 6.923801207092 | 6.422948794436 | −2.325586848341 | −1.065958672595 | 5.716081369710 | 1.00 |
| 9.964473759538 | 7.960782429415 | −1.970806765188 | 1.247298968972 | −4.760331344206 | 1.147698790469 |
| −1.771068750443 | 1.718389922394 | −9.873926269677 | 2.907544429969 | −2.895263373342 | 1.00 |
| 4 | 9.455739490290 | 8 | 9.807882531989 | ||
| 5 | 0.319601000000 | 0.296401000000 | 0.015900000000 | 0.071200000000 | |
| 10 | 1.186001000000 | 1.071401000000 | 0.060400000000 | 0.223200000000 | |
| 25 | 6.440050000000 | 5.590050000000 | 0.315000000000 | 1.410000000000 |
References
- Stodt, M.F.; Kiefer, J.; Fritsching, U. Drop dynamics in heterogeneous spray flames for nanoparticle synthesis. At. Sprays 2020, 30, 779–797. [Google Scholar] [CrossRef]
- Ding, S.; Chen, H.A.; Mekasuwandumrong, O.; Hülsey, M.J.; Fu, X.; He, Q.; Panpranot, J.; Yang, C.M.; Yan, N. High-temperature flame spray pyrolysis induced stabilization of Pt single-atom catalysts. Appl. Catal. B 2021, 281, 119471. [Google Scholar] [CrossRef]
- Gao, F.; Xu, Z.; Zhao, H. Flame spray pyrolysis made Pt/TiO2 photocatalysts with ultralow platinum loading and high hydrogen production activity. Proc. Combust. Inst. 2021, 38, 6503–6511. [Google Scholar] [CrossRef]
- Deligiannakis, Y.; Tsikourkitoudi, V.; Stathi, P.; Wegner, K.; Papavasiliou, J.; Louloudi, M. PdO/Pd0/TiO2 nanocatalysts engineered by flame spray pyrolysis: Study of the synergy of PdO/Pd0 on H2 production by HCOOH dehydrogenation and the deactivation mechanism. Energy Fuels 2020, 34, 15026–15038. [Google Scholar] [CrossRef]
- Yuan, X.; Meng, L.; Xu, Z.; Zheng, C.; Zhao, H. CuO quantum dots supported by SrTiO3 perovskite using the flame spray pyrolysis method: Enhanced activity and excellent thermal resistance for catalytic combustion of CO and CH4. Environ. Sci. Technol. 2021, 55, 14080–14086. [Google Scholar] [CrossRef]
- Yuan, X.; Zheng, C.; Zhao, H. Photothermocatalytic removal of CO and formaldehyde with excellent water vapor stability over dual-functional copper loading on TiO2 synthesized via flame spray pyrolysis. Sol. RRL 2021, 5, 2100490. [Google Scholar] [CrossRef]
- Meierhofer, F.; Mädler, L.; Fritsching, U. Nanoparticle evolution in flame spray pyrolysis—Process design via experimental and computational analysis. AlChE J. 2020, 66, e16885. [Google Scholar] [CrossRef]
- Dasgupta, D.; Pal, P.; Torelli, R.; Som, S.; Paulson, N.; Libera, J.; Stan, M. Computational fluid dynamics modeling and analysis of silica nanoparticle synthesis in a flame spray pyrolysis reactor. Combust. Flame 2022, 236, 111789. [Google Scholar] [CrossRef]
- Madero, J.E.; Li, J.; Shen, K.Y.; Wojtak, J.; Axelbaum, R.L. An approach to low-temperature flame spray pyrolysis for the synthesis of temperature-sensitive materials: Application to Li1.2Mn0.54Ni0.13Co0.13O2. Appl. Energy Combust. Sci. 2021, 5, 100020. [Google Scholar] [CrossRef]
- Paulson, N.H.; Libera, J.A.; Stan, M. Flame spray pyrolysis optimization via statistics and machine learning. Mater. Des. 2020, 196, 108972. [Google Scholar] [CrossRef]
- Schneider, F.; Suleiman, S.; Menser, J.; Borukhovich, E.; Wlokas, I.; Kempf, A.; Wiggers, H.; Schulz, C. SpraySyn—A standardized burner configuration for nanoparticle synthesis in spray flames. Rev. Sci. Instrum. 2019, 90, 085108. [Google Scholar] [CrossRef] [PubMed] [Green Version]
- Suleiman, S.; Nanjaiah, M.; Skenderovic, I.; Rosenberger, T.; Kunze, F.; Wlokas, I.; Kruis, E.; Wiggers, H.; Schulz, C. Atmospheric-pressure particle mass spectrometer for investigating particle growth in spray flames. J. Aerosol Sci. 2021, 158, 105827. [Google Scholar] [CrossRef]
- Stodt, M.F.; Liu, C.; Li, S.; Mädler, L.; Fritsching, U.; Kiefer, J. Phase-selective laser–induced breakdown spectroscopy in flame spray pyrolysis for iron oxide nanoparticle synthesis. Proc. Combust. Inst. 2021, 38, 1711–1718. [Google Scholar] [CrossRef]
- Tischendorf, R.; Simmler, M.; Weinberger, C.; Bieber, M.; Reddemann, M.; Fröde, F.; Lindner, J.; Pitsch, H.; Kneer, R.; Tiemann, M.; et al. Examination of the evolution of iron oxide nanoparticles in flame spray pyrolysis by tailored in situ particle sampling techniques. J. Aerosol Sci. 2021, 154, 105722. [Google Scholar] [CrossRef]
- Majerič, P.; Rudolf, R. Advances in ultrasonic spray pyrolysis processing of noble metal nanoparticles. Materials 2020, 13, 3485. [Google Scholar] [CrossRef] [PubMed]
- Dasgupta, D.; Pal, P.; Torelli, R.; Som, S. Computational fluid dynamics modeling of flame spray pyrolysis for nanoparticle synthesis. In Proceedings of the 2020 Spring Technical Meeting of the Central States Section of the Combustion Institute, Huntsville, AL, USA, 17–19 May 2020. [Google Scholar]
- Rittler, A.; Deng, L.; Wlokas, I.; Kempf, A. Large eddy simulations of nanoparticle synthesis from flame spray pyrolysis. Proc. Combust. Inst. 2017, 36, 1077–1087. [Google Scholar] [CrossRef]
- Neto, P.B.; Meierhofer, F.; Meier, H.F.; Fritsching, U.; Noriler, D. Modelling polydisperse nanoparticle size distributions as produced via flame spray pyrolysis. Powder Technol. 2020, 370, 116–128. [Google Scholar] [CrossRef]
- Widiyastuti, W.; Wang, W.N.; Lenggoro, I.W.; Iskandar, F.; Okuyama, K. Simulation and experimental study of spray pyrolysis of polydispersed droplets. J. Mater. Res. 2007, 22, 1888–1898. [Google Scholar] [CrossRef]
- Gapale, D.L.; Arote, S.A.; Borse, R.Y. Mathematical modeling of droplet formation, evaporation, and film growth to study crystallite size and film thickness of spray pyrolysis deposited TiO2 thin films. e-J. Surf. Sci. Nanotechnol. 2018, 16, 419–426. [Google Scholar] [CrossRef] [Green Version]
- Narasu, P.; Keller, A.; Kohns, M.; Hasse, H.; Gutheil, E. Numerical study of the evaporation and thermal decomposition of a single iron (III) nitrate nonahydrate/ethanol droplet. Int. J. Therm. Sci. 2021, 170, 107133. [Google Scholar] [CrossRef]
- Brenn, G.; Deviprasath, L.; Durst, F.; Fink, C. Evaporation of acoustically levitated multi-component liquid droplets. Int. J. Heat Mass Transf. 2007, 50, 5073–5086. [Google Scholar] [CrossRef]
- Narasu, P.; Boschmann, S.; Pöschko, P.; Zhao, F.; Gutheil, E. Modeling and simulation of single ethanol/water droplet evaporation in dry and humid air. Combust. Sci. Technol. 2020, 192, 1233–1252. [Google Scholar] [CrossRef]
- Abramzon, B.; Sirignano, W. Droplet vaporization model for spray combustion calculations. Int. J. Heat Mass Transfer 1989, 32, 1605–1618. [Google Scholar] [CrossRef]
- Mu, J.; Perlmutter, D. Thermal decomposition of metal nitrates and their hydrates. Thermochim. Acta 1982, 56, 253–260. [Google Scholar] [CrossRef]
- Law, C.K. Recent advaces in droplet vaporization and combustion. Prog. Energy Combust. Sci. 1982, 8, 171–201. [Google Scholar] [CrossRef]
- Narasu, P.; Nanjaiah, M.; Wlokas, I.; Gutheil, E. Numerical simulation and parameterization of the heating and evaporation of a titanium(IV) isopropoxide/p-xylene precursor/solvent droplet in hot convective air. Int. J. Multiph. Flow 2022, 150, 104006. [Google Scholar] [CrossRef]
- Keller, A.; Wlokas, I.; Kohns, M.; Hasse, H. Thermophysical properties of solutions of iron (III) nitrate nonahydrate in mixtures of ethanol and water. J. Chem. Eng. Data 2020, 65, 3519–3527. [Google Scholar] [CrossRef]












| T | mdot_ethanol | mdot_water | (d/d_0) | 0.025 | 1200 |
| 7.867145821586 | 2.458546514703 | −3.454578014776 | 2.558941751342 | −1.119941643820 | 3.063310091836 |
| −5.353792133168 | 5.941725000673 | −4.019275839190 | 1.494058678680 | −2.297048762642 | 0.98 |
| 3.007659971000 | −6.120495257208 | −9.902830762100 | 4.200275432824 | 4.198999581126 | −5.113716178296 |
| −4.347147946854 | −4.342974843581 | 1.152668977259 | 6.702060944189 | −3.409626488293 | 1.00 |
| 2.649827491167 | 6.467468055715 | 1.121608918537 | −3.171074204381 | 4.068617331905 | −3.044654355509 |
| 1.430867104877 | −4.287019474526 | 7.959594503533 | −8.353184950542 | 3.789437614192 | 0.40 |
| −5.535923262976 | 8.969839635294 | −6.472828661464 | 2.740187227611 | −7.536843528899 | 1.407472429049 |
| −1.807523129705 | 1.576513584004 | −8.939005651413 | 2.976022992189 | −4.418695467229 | 0.98 |
| 5.355407763709 | 1.217485456189 | 1.010741979324 | −1.729839498434 | 1.318634067348 | −5.604895163329 |
| 1.438672462980 | −2.280482870988 | 2.183751108664 | −1.158085428036 | 2.611880933761 | 0.96 |
| −1.244420427367 | 4.102654147558 | −2.569441893389 | −3.234340385848 | 1.143042667218 | 3.802439643503 |
| 1.135102030104 | −3.621309429414 | −2.947956283717 | 5.065214628272 | −1.630984700822 | 0.98 |
| 1.000238817552 | 6.485587657779 | −2.281399335789 | 1.648888218078 | −7.030976392018 | 1.873519086859 |
| −3.191143274565 | 3.454879972907 | −2.284257683482 | 8.330356340793 | −1.266164668291 | 1.00 |
| 4 | 9.471258445809 | 8 | 9.781422439604 | ||
| 5 | 0.388001000000 | 0.363501000000 | 0.006200000000 | 0.015900000000 | |
| 10 | 1.454101000000 | 1.328901000000 | 0.014200000000 | 0.059300000000 | |
| 25 | 8.020566000000 | 7.058666000000 | 0.085000000000 | 0.304000000000 |
Publisher’s Note: MDPI stays neutral with regard to jurisdictional claims in published maps and institutional affiliations. |
© 2022 by the authors. Licensee MDPI, Basel, Switzerland. This article is an open access article distributed under the terms and conditions of the Creative Commons Attribution (CC BY) license (https://creativecommons.org/licenses/by/4.0/).
Share and Cite
Narasu, P.; Gutheil, E. Modeling and Parameterization of the Evaporation and Thermal Decomposition of an Iron(III) Nitrate Nonahydrate/Ethanol Droplet for Flame Spray Pyrolysis. Fluids 2022, 7, 146. https://doi.org/10.3390/fluids7050146
Narasu P, Gutheil E. Modeling and Parameterization of the Evaporation and Thermal Decomposition of an Iron(III) Nitrate Nonahydrate/Ethanol Droplet for Flame Spray Pyrolysis. Fluids. 2022; 7(5):146. https://doi.org/10.3390/fluids7050146
Chicago/Turabian StyleNarasu, Praveen, and Eva Gutheil. 2022. "Modeling and Parameterization of the Evaporation and Thermal Decomposition of an Iron(III) Nitrate Nonahydrate/Ethanol Droplet for Flame Spray Pyrolysis" Fluids 7, no. 5: 146. https://doi.org/10.3390/fluids7050146
APA StyleNarasu, P., & Gutheil, E. (2022). Modeling and Parameterization of the Evaporation and Thermal Decomposition of an Iron(III) Nitrate Nonahydrate/Ethanol Droplet for Flame Spray Pyrolysis. Fluids, 7(5), 146. https://doi.org/10.3390/fluids7050146
