Abstract
Polyketides are an important class of structurally diverse natural products derived from a precursor molecule consisting of a chain of alternating ketone and methylene groups. These compounds have attracted the worldwide attention of pharmaceutical researchers since they are endowed with a wide array of biological properties. As one of the most common filamentous fungi in nature, Aspergillus spp. is well known as an excellent producer of polyketide compounds with therapeutic potential. By extensive literature search and data analysis, this review comprehensively summarizes Aspergillus-derived polyketides for the first time, regarding their occurrences, chemical structures and bioactivities as well as biosynthetic logics.
1. Introduction
Polyketides are a highly diverse group of natural products having structurally intriguing carbon skeletons, such as polyphenols, macrolides, polyenes, enediynes, and polyethers [1]. These substances encompass an important source of pharmaceutically relevant molecules, such as antibiotics, immunosuppressants, antiparasitics, cholesterol-lowering, and antitumoral agents [2,3,4,5,6]. Biosynthetically, polyketide motifs are biochemically formed by acetyl-CoA units undergoing a sequence of events catalyzed by polyketide synthases (PKS), a multi-enzyme complex that is highly homologous to fatty acid synthase (FAS) [7].
As one of the ubiquitous fungi in nature, the genus Aspergillus has recently received much more attention owing to its great biosynthetic potential of secondary metabolites (SMs) with nutritional, agrochemical and medicinal applications [8]. By the end of 2022, over 3100 Aspergillus-derived SMs had been isolated and collected in the Dictionary of Natural Products (DNP) database [9]. Among these substances, as many as 343 polyketide derivatives (1–343) had been discovered and characterized from Aspergillus strains. To enrich our knowledge of these molecules and explore their therapeutic potentials, all aspects are well organized and comprehensively summarized in this review, including their biological sources, structural features, biological properties as well as biosynthetic logic.
2. Aspergillus-Derived Polyketides as Secondary Metabolites
According to structural features, Aspergillus-derived polyketides are grouped into fourteen types, including benzophenone, diphenyl ether, furan and furanone, isocoumarin, lignan, naphthalene, phenolic, polyene, pyran and pyranone, quinone, steroid, meroterpenoid, xanthone and miscellaneous, which are respectively introduced below. Detailed information for these chemicals was summarized in Table S1.
2.1. Benzophenones
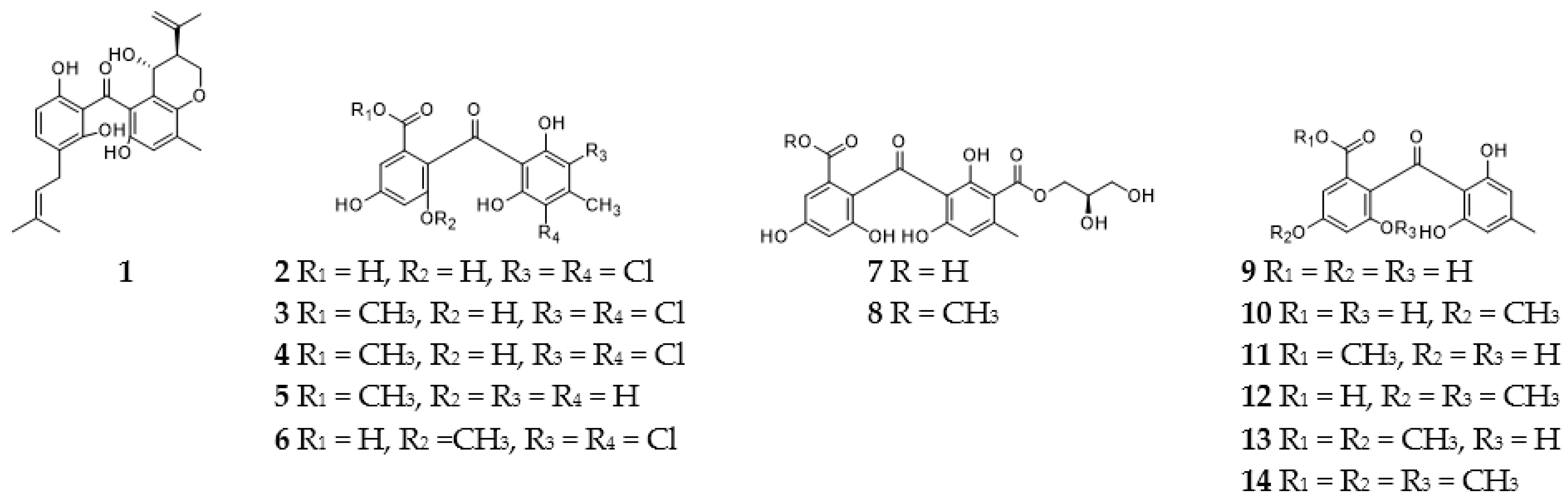
Benzophenone derivatives (Figure 1) are a class of ketones formed by the direct connection of one carbonyl with two phenyl groups and play an important role in medicinal chemistry [10]. Under nitrogen-limiting culture conditions, strain A. nidulans FGSCA4 was found to produce a novel prenylated benzophenone pre-shamixanthone (1), which exerted significant inhibition against lipid accumulation in HepG2 cells without cytotoxic effect and displayed a potent reduction of total cholesterol and triglycerides [11,12]. Two new dichlorinated benzophenones 2 and 3 were purified from A. terreus C9408-3 [13], and the later compound is a promising immunosuppressant agent targeting the isomerase cyclophilin A (CyPA) [14]. Three benzophenone analogs (4–6) obtained from a wetland fungus A. flavipes PJ03-11 exhibited stronger α-glucosidase inhibitory activities than acarbose [15]. Bioassay-guided fractionation of the EtOAc extract of one marine sponge-derived strain A. europaeus WZXY-SX-4-1 led to the isolation of eight benzophenone derivatives (7–14), of which compounds 9, 11, and 12 showed potent radical scavenging activity against DPPH (2,2-diphenyl-1-picrylhydrazyl) and 8 had strong down-regulation of NF-κB in LPS-induced SW480 cells [16]. Moreover, the putative biosynthetic pathway analysis indicates that endocrocin and emodin were their precursors through consecutive oxidation and methylation (Scheme 1).
Figure 1.
Aspergillus-derived benzophenones (1–14).
Scheme 1.
Proposal biosynthetic pathways for compounds 7–14.
2.2. Diphenyl Ethers
Aspergillus-derived diphenyl ethers (15–31, Figure 2) consist of at least two phenyls connected by one or more oxygen atoms. These aromatic polyketides exhibited excellent potential for therapeutic and industrial applications [17]. Two new rare dibenzo-1,4-dioxins, gibellulins C (15) and D (16), were produced by genetically modified A. nidulans through the deletion of a global regulator LaeB [18]. F-9775A (17) and F-9775B (18), originally isolated from Paecilomyces carneus, were detected in the crude extract of A. nidulans RMS011 and acted as potent inhibitors of protease K, which could inhibit osteoporosis [19]. Tetraorcinol A (19) was a new orcinol tetramer isolated from the fermentation broth of the coral-associated fungus A. versicolor LCJ-5-4 and displayed weak DPPH radical-scavenging activity with an IC50 value of 67 µM [20]. Besides two chlorinated benzophenones 2 and 3, three diphenyl ethers (20–22) were also produced by strain A. terreus C9408-3 [13], and compound 20 was shown to be a new endothelin binding inhibitor [21]. Strain A. flavipes PJ03-11 also manufactured one new diphenyl ether, 5-hydroxymethylasterric acid (23), and seven known analogs (24–30), of which compound 25 exhibited a stronger inhibitory effect on α-glucosidase than acarbose [15]. Diorcinol (31) obtained from the fermentation culture of endophytic A. flocculus was found to inhibit the growth of chronic myelogenous leukemia cell line K562 at 30 µM [22].
Figure 2.
Aspergillus-derived diphenyl ethers (15–31).
2.3. Furans and Furanones
Furans and furanones are the most polyketides produced by Aspergillus spp. and display a broad spectrum of biological properties [23]. Structurally, these substances are classified into two major types, including furans and benzofurans (Figure 3) and furanones and benzofuranones (Figure 4, Figure 5 and Figure 6).
Figure 3.
Aspergillus-derived furans and benzofurans (32–43).
Figure 4.
Aspergillus-derived furanones (44–76).
Figure 5.
Aspergillus-derived tetrahydrofuranones (77–95).
Figure 6.
Aspergillus-derived benzofuranones (96–101).
2.3.1. Furans and Benzofurans
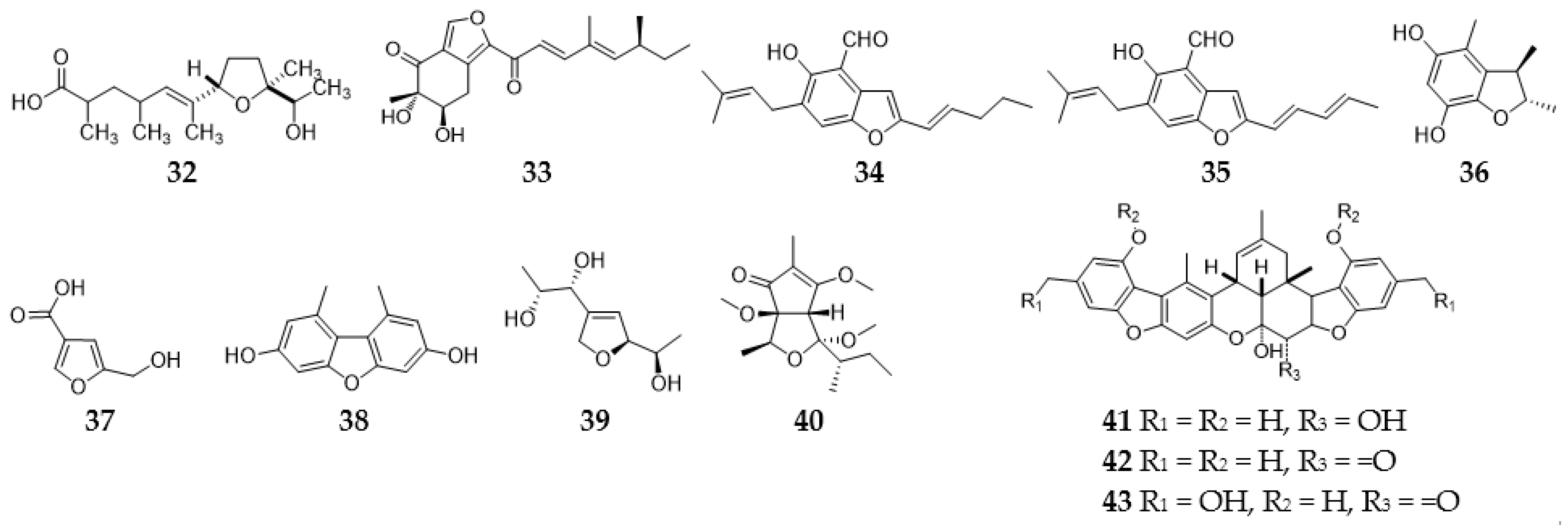
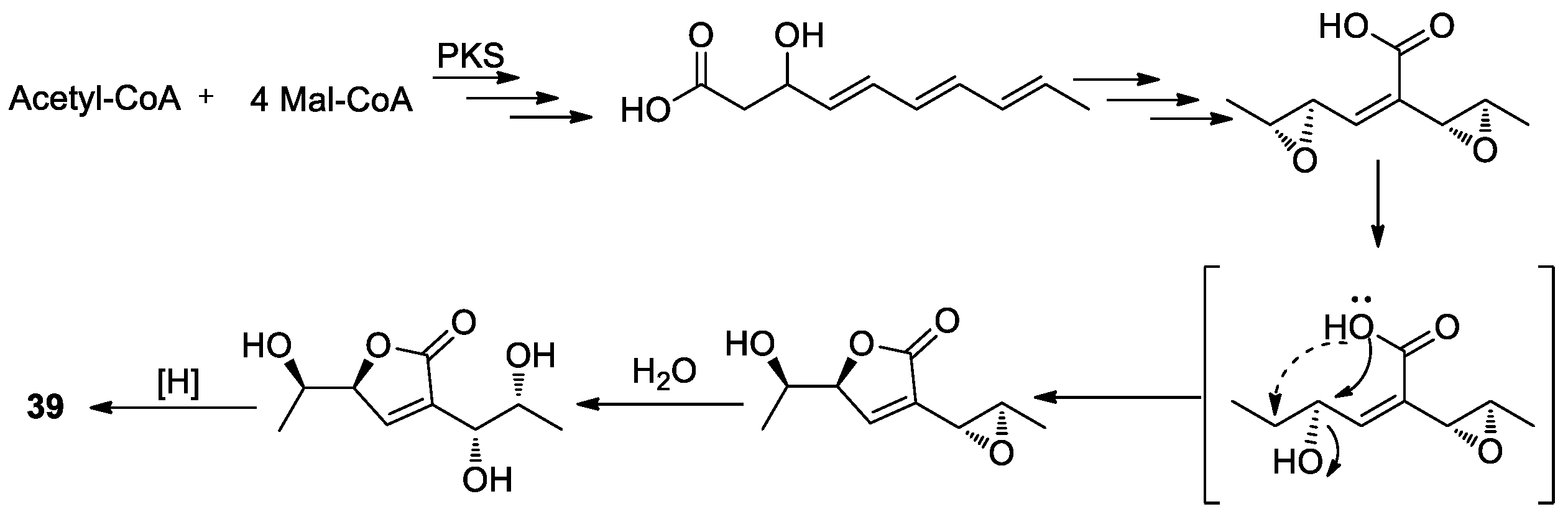
Chemical investigation of one A. niger strain from the Caribbean sponge Hyrtios proteus led to the discovery of a new furan with a unique carbon skeleton, asperic acid (32) [24], which was later reisolated from the strain A. phoenicis collected in Saskatchewan (Canada) and exhibited potent cytotoxic activity toward the murine lymphocytic leukemia P388 with an ED50 value of 0.18 mug/mL and a variety of human cancer cell lines (pancreas, breast, CNS, lung, colon, and prostate) with GI50 values ranged from 1.7 to 2.0 μg/mL [25]. Asperfuranone (33) was a novel polyketide consisting of a conjugated alkene chain and a furan subunit produced by A. nidulans by replacing the promoter of the transcription activator with the inducible alcA promoter [26]. A gene cluster containing two fungal PKSs (AN1036.3 and AN1034.3) for the biosynthesis of 33 was first characterized (Scheme 2), and its mechanism of action (MOA) showed that this compound exerted an inhibitory effect on A549 cells via blocking cell cycle progression and inducing apoptosis [27]. Two prenylated benzaldehyde derivatives (34 and 35) were characterized from the marine-derived fungus A. glaucus HB1-19 and showed strong radical-scavenging activity [28]. A new benzofuran polyketide (36) was produced by soil fungus A. terreus X3 but displayed no antimicrobial effect [29]. Flufuran (37) was a typical furan polyketide discovered from A. flavus 9643 and shown to inhibit Phytophthora cinnamomi at 0.2 mg/mL [30,31]. 3,7-Dihydroxy-1,9-dimethyldibenzo- furan (38) originally obtained from a mycobiont of the lichen Lecanora cinereocarnea was found to be produced by an endozoic fungus A. sydowii SCSIO 41301 from marine sponge Phakellia fusca [32,33]. Asperochratide H (39) was a new cytotoxic C9 polyketide produced by the deep-sea-derived fungus A. ochraceus, and its putative biosynthetic route was proposed in Scheme 3 [34]. Asperpentenone A (40) possesses a rare cyclopentenone-tetrahydrofuran moiety from strain Aspergillus sp. SCSIO 41024 [35]. Asticolorins A–C (41–43) are toxic metabolites manufactured by strain A. versicolor MRC 638 and were characterized by the novel way in which a mevalonate-derived 3,3-dimethylallyl group was used to link two dibenzofuran moieties [36,37].
Scheme 2.
Proposal biosynthetic pathway for asperfuranone (33).
Scheme 3.
Putative biosynthetic pathway for asperochratide H (39).
2.3.2. Furanones and Benzofuranones
Aspergillus-derived furanones and benzofuranones are the most commonly isolated polyketides, including furanones, dihydrofuranones, tetrahydrofuranones and benzofuranones. Interestingly, most of these compounds are aromatic and belong to α-furanone. Penicillic acid (44) is one of the important furanone antibiotics used to treat bacterial spot disease [38,39]. Versicolactones A (45) and B (46) were isomeric furanones produced by a coral-associated fungus A. versicolor LCJ-5-4, and compound 46 exhibited pronounced cytotoxicity against human pancreatic cancer cells with an IC50 value of 9.4 µM [20,40]. Three acyltetronic acid derivatives (47–49) were produced by strain A. niger ATCC1015 through the activation of the dormant PKS-NRPS gene cluster by expressing the transcription factor CaaR [41]. 2-Carboxymethyl-3-hexylmaleic acid anhydride (50) was purified from an endozoic fungus A. tubingensis OY907 in the Mediterranean marine sponge Ircinia variabilis and displayed an inhibitory effect on Neurospora crassa [42]. A chemical study of a marine-derived strain Aspergillus sp. 16-02-1 resulted in the isolation of eight dihydrofuranone analogs (51–58) with no potent cytotoxicity against human cancer K562, HL-60, HeLa and BGC-823 cell lines [43]. One new polyketide, asperochrins B (59), along with three derivatives (60–62), was isolated from A. ochraceus MA-15. Compounds 60 and 61 displayed selective antibacterial activity against A. hydrophilia, V. anguillarum and V. harveyi with IC50 values ranging from 0.5 to 32.0 µg/mL [44].
Aspergones A-D (63–66) were detected in the fermentation broth of a marine sponge-derived strain Aspergillus sp. OUCMDZ-1583 and compounds 63 and 64 showed an inhibitory effect on α-glucosidase with IC50 values of 2.36 and 1.65 mM, respectively [45]. Dihydropenicillic acid (67) was purified from the endophytic fungus A. flocculus [22] but displayed no antimicrobial or cytotoxic activity [46]. Asperochratide F (68) was another new C9 polyketide from the deep-sea-derived fungus A. ochraceus and exerted significant cytotoxic effects on the BV-2 cell line [34]. Gregation B (69) was a rare β-furanone derived from A. flavus in food samples by a qualitative analytical method based on the identification of fungal chemical markers by HPLC-MS [30] and exhibited antibacterial activity against E. coli [47]. Avenaciolide (70) produced by strain A. avenaceous G. Smith displayed an inhibitory effect on the transport of glutamate in rat liver mitochondria [48,49]. Citrifurans A−D (71–74) was the first heterodimers of azaphilone and furanone from a symbiotic Aspergillus strain in the intestines of centipedes and displayed moderate inhibitory activities against LPS-induced NO production in RAW 264.7 macrophages [50]. One year later, two additional new β-furanones (75 and 76) were obtained from the same strain, and 76 showed significant NO inhibition with an IC50 value of 16.0 µM [51].
Asperlactone (77) was a new tetrahydrofuranone purified from A. melleus CMI 49108 and exhibited superoxide anion inhibition at 30 ± 9% at 10 µM [52,53]. Two new chlorinated polyketides, chlorocarolides A (78) and B (79), were isolated and characterized from the saltwater culture of A. ochraceus [50]. Protulactones A (80) possessing unique ring systems was discovered from the marine-derived fungus Aspergillus sp. SF-5044 [54]. In addition to compound 47, tubingenoic anhydride A (81) was also produced by strain A. tubingensis OY907 and shown to inhibit Neurospora crassa growth at 330 µM [42]. Strain A. ochraceus MA-15 was found to produce a new C9 polyketide asperochrins A (82), which showed inhibitory activity against aquatic pathogenic bacterial Aeromonas hydrophila, Vibrio anguillarum, and V. harveyi [52]. Strain Aspergillus sp. OUCMDZ-1583-derived aspergiones E (83) and F (84) displayed α-glucosidase inhibitions [45]. Allahabadolactones A (85) and B (86) were separated from the endophytic stain A. allahabadii BCC45335, and compound 85 displayed moderate cytotoxicity against NCI-H187 and Vero cell lines, and 86 exhibited low anti-B. cereus effect [55]. Three spiro β-furanones, asperones C–E (87–89), are dimeric polyketides with two distinct skeletons from an unidentified stain Aspergillus sp. and compounds 87 and 88 showed significant nitric oxide (NO) inhibition in lipopolysaccharide (LPS)-induced RAW 264.7 macrophage cells with IC50 values of 13.2 and 6.0 µM, respectively [51]. Six new C9 polyketides (90–95) were also produced by the marine strain A. ochraceus, and compound 94 exerted significant cytotoxic effects on the BV-2 cell line [34].
(+)-Geodin (96), originally derived from strain P. glabrum AJ117540 was produced by strain A. terreus ATCC 20542 and exhibited the activity that stimulates glucose uptake by rat adipocytes [56,57]. Asperetide (97) and (5)-3-butyl-7-methoxyphthalide (98) were purified from the medicinal plant-derived fungus Aspergillus sp. TJ23 [58]. In addition to gibellulins C (15) and D (16), three porriolide analogs (99–101) were manufactured by disruption of the global regulator LaeB in A. nidulans [18] and displayed an inhibitory effect on the root elongation of both lettuce and stone-leek seedlings by 53.3% and 48.5%, respectively [59,60].
2.4. Isocoumarins
Aspergillus-derived isocoumarins (Figure 7) are a class of phenolic compounds usually containing hydroxyl group(s) and display various pharmacological properties, including antimicrobial, anti-inflammatory, cytotoxic activities and inhibitory effects on serine protease and gamma-secretase [61,62,63]. Chemical investigation of an Indo-Pacific marine sponge-derived A. ochraceus afforded a new dihydroisocoumarin, (−)-(R)-mellein (102), which exhibited a broad spectrum of antifungal and antioomycetes activities [64]. One marine-derived strain A. ochraceus MA-15 was shown to produce four isocoumarin derivatives (103–106), of which compound 106 had inhibitory activity against aquatic pathogenic bacterial Aeromonas hydrophila, Vibrio anguillarum, and V. harveyi [44].
Figure 7.
Aspergillus-derived isocoumarins (102–124).
In addition to aspergones A–D (69–72), five isocoumarins (107–111) were also obtained from the endozoic strain OUCMDZ-1583 [45], and compounds 107 and 109–111 showed α-glucosidase inhibitions with IC50 values of 0.027, 1.65, 1.19, and 1.74 mM, respectively, and 107 and 109 exhibited inhibitory activity against the influenza A (H1N1) virus. (3S)-5-Hydroxymellein (112), originally derived from Cephalosporium sp. AL031 was found to be produced by the marine sponge-derived fungus Aspergillus sp. SCSIO XWS03F03 [65,66]. Aflatoxins B1, B2, and G1 (113–115) are a kind of naturally occurring carcinogens frequently detected in secondary metabolites of A. flavus [30,67,68]. Compounds 116–123 are dihydroisocoumarin derivatives separated from the endophytic strain A. flocculus and the marine strain A. terreus SCSIO 41008 and displayed no potent cytotoxic effect on chronic myelogenous leukemia cell line K562 [22,69]. Alternariol 9-O-methyl ether (124) was isolated from an endophytic strain A. fumigatus D but exhibited no antimicrobial activity [70].
2.5. Lignans
Lignans mainly exist in plants and have the function of scavenging free radicals and antioxidation [71]. Interestingly, some of these substances had been isolated and characterized from microorganisms, including Aspergillus strains (Figure 8). Chemical investigation of the fumaroles-derived strain A. terreus C9408-3 afforded four lignan derivatives (125–128), which compounds 126 and 127 exhibited mild cytotoxic activity, and 128 showed antiplasmodial activity against Plasmodium falciparum K1 with an IC50 value of 7.9 µg/mL [13,72,73,74]. Three new butenolides (129–131) together with flavipesin B (132) and butyrolactone II (133) produced by the fungus A. flavipes PJ03-11 displayed stronger α-glucosidase inhibitory activity than acarbose [15]. Microperfuranone (134) was a biphenyl furanone polyketide purified from A. nidulans [21,75]. Aspergillosis (135) and (±)-asperteretal D (136) were obtained from cultures of the potato endophytic fungus A. carneus L03 and showed moderate antifungal activity against plant pathogens and inhibitory effect on nitric oxide production in lipopolysaccharide-stimulated RAW264.7 cells [76].
Figure 8.
Aspergillus-derived lignans (125–136).
2.6. Naphthalenes
Naphthalenes, a kind of polycyclic aromatic hydrocarbon composed of two benzene rings sharing two adjacent carbon atoms, are toxic to the liver and nervous system and usually cause cataracts and retinal hemorrhage [77,78]. Six naphthalenes 137–142 (Figure 9) were separated from the marine-derived fungus A. glaucus but showed no cytotoxicity at 100 µM against the HL-60 and A-549 cell lines [79]. Using heterologous expression in model host A. nidulans RJMP1.49, three analogs neosartoricins B-D (143–145) were biosynthesized and identified [80]. Funalenone (146) was produced by an epigenetic regulator gene-deleted strain A. niger FGSC A1279 and displayed an inhibitory effect on type I collagenase activity at 170 µM [81]. Two hydroxynaphthalene-2-carboxylate (147,148) were derived from the marine fungus A. terreus SCSIO 41008 and showed weak or no cytotoxic activities toward human glioma U87 cells and glutamate-induced toxicity in HT22 cells [69].
Figure 9.
Aspergillus-derived naphthalenes (137–148).
2.7. Phenolics
Phenolics are a class of aromatic compounds containing one or more hydroxyl groups and usually act as antioxidants in a number of ways [82]. Orsellinic acid (149) and lecanoric acid (150, Figure 10) were isolated from A. nidulans RMS011 through co-cultivation with a collection of 58 soil-dwelling actinomycetes. Compound 150 was originally isolated from the lichen Parmotrema tinctorum and had a toxic effect on HepG2 and CCF cell lines [83,84]. Bioactivity-guided fractionation of the crude extract of the fungus A. versicolor from a marine sponge Petrosia sp. afforded a new aromatic polyketide (151), which showed no cytotoxicity against cell lines A-549, SK-OV-3, SK-MEL-2, XF498 or HCT-15 [85]. Seven phenolics (152–158) from the marine strain A. glaucus HB1-19 exhibited strong radical-scavenging activity [28]. Flavipin (159) produced by endophyte A. fumigatus AF3-093A from the brown alga displayed broad-spectrum antimicrobial activity [86]. Porosuphenols A−D (160, 161, 162a and 162b) were obtained from the endophytic strain A. porosus and possessed a dynamic diene-dione functionality within a flexible carbon chain [87]. Hydroxysydonic acid (163) had been isolated from A. flavus 9643 and A. sydowi and showed NO inhibitory effects in LPS-stimulated BV2 cells [88,89]. A sponge-derived fungus Aspergillus sp. F40 was shown to produce a new aliphatic benzoic acid (164) with moderate antimicrobial activities [90,91]. Bioactivity-guided isolation and MS-based metabolomics analysis of the endophytic A. flocculus resulted in the discovery of three novel phenolics (165–167) [22]. Eight phenolic polyketides (168–175) were identified from the marine fungus A. sydowii SCSIO 41301, and 172 displayed antimicrobial activity [33,92,93]. Antioxidant agent 176 was the precursor of caffeic acid 3,4-dihydroxyphenethyl ester from the deep-sea fungus Aspergillus sp. SCSIO 41024 [35,94].
Figure 10.
Aspergillus-derived phenolic compounds (149–176).
2.8. Polyenes
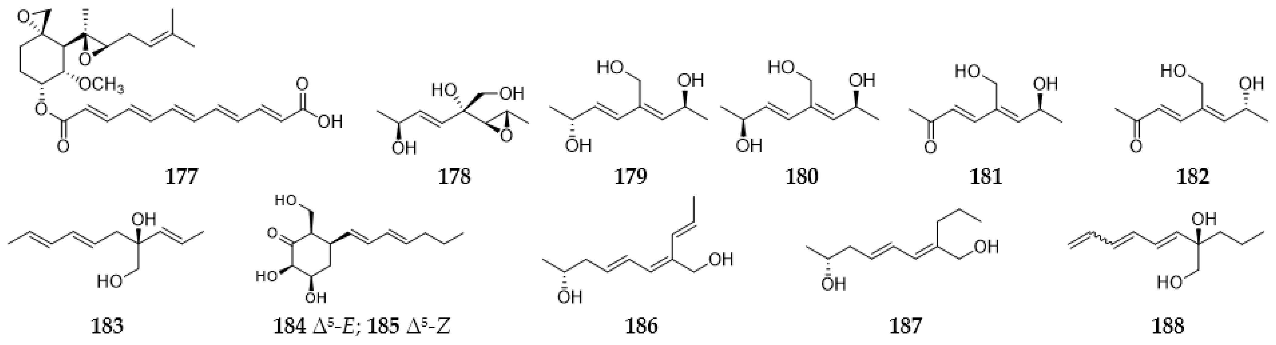
Polyene polyketides are one kind of important antibiotic which are widely used in the treatment of microbial infections [95]. Structurally, Aspergillus-derived polyenes are linear chain molecules (Figure 11). Fumagillin (177), discovered from Aspergillus sp. in 1949, was shown to be an antiphage agent [96]. Aspinonene (178) was a new multifunctional fungal metabolite isolated from the culture broth of A. ochraceus FH-A6692 [97]. Compounds 179–182 are new C9 polyketides and exhibited a weak antitumor effect on K562, HL-60, HeLa, and BGC-823 cell lines but no anti-MRSA activity [58,98]. Aspergones I−M (183–187) were purified as new polyketides from the strain Aspergillus sp. OUCMDZ-1583 and compounds 184 and 185 displayed strong α-glucosidase inhibitions with IC50 values of 2.37 and 2.70 mM, respectively [45]. A new antibacterial polyketide (−)palitantin (188) was isolated from A. fumigatiaffnis, an endophytic fungus on the medicinal plant Tribulus terestris and inhibited the growth of multi-resistant clinical isolate of Enterococcus faecalis and Streptococcus pneumoniae with a MIC value of 64 µg/mL [99].
Figure 11.
Aspergillus-derived polyenes (177–188).
2.9. Pyrans and Pyranones
2.9.1. Pyrans
Recently pyran derivatives received more and more attention due to their wide biological activities, including antibacterial and antifungal activities, and many of them have been developed as commercial antimicrobial agents, such as triadimefon, triadimenol, diniconazole, myclobutanil and bitertanol [100,101]. Azaphilones (189–193, Figure 12) are a class of highly oxygenated pyrano-quinone bicyclic chemicals from strain A. niger ATCC 1015 by activation of a silent PKS gene (aza) [102]. Moreover, their biosynthetic pathways were shown to involve the convergent actions of a highly reducing PKS and a non-reducing PKS. Citrinin (194) is a pyran mycotoxin produced by several strains of Aspergillus, Penicillium and Monascus. In addition to toxicity, this compound displayed certain anticancer and neuroprotective effects [103]. Five new benzopyran derivatives (195–199), including two pairs of enantiomers, were purified from the fermentation broth of A. fumigatus, an endophytic fungus associated with Cordyceps Sinensis. Compounds 195 and 197 exhibited a moderate inhibitory effect on the MV4-11 cell line in vitro with IC50 values of 23.95 µM and 32.70 µM, respectively [104]. Two new C9 pyran polyketides, asperochratides I (200) and J (201), were isolated from the deep-sea-derived A. ochraceus but showed no cytotoxic, anti-food allergic, anti-H1N1 virus and anti-inflammatory activities [34].
Figure 12.
Aspergillus-derived pyrans (189–201).
2.9.2. Pyranones
Protulactone B (202, Figure 13) was a new α-pyranone polyketide possessing unique ring systems isolated from an EtOAc extract of the marine-derived fungus A. sp. SF-5044 [54]. Chaetoquadrin F (203) produced by strain A. sp. 16-02-1 showed antitumor activity against HeLa cell lines with an inhibitory rate (IR) of 13.5% at 100 μg/mL [43]. In addition to asperochrins A (82), five pyranone derivatives (204–208) were also obtained from strain A. ochraceus MA-15 and compounds 205 and 206 displayed inhibitory activity against aquatic pathogens A. hydrophila, V. anguillarum, and V. harveyi [44].
Figure 13.
Aspergillus-derived pyranones (202–219).
By the heterologous expression of the avirulence gene ACE1 in A. oryzae M-2-3, two new polyenyl-α-pyranones (209 and 210) were produced and shown to be not responsible for the observed ACE1-mediated avirulence [105]. (+)-Asperlin (211) was discovered from an A. nidulans mutant, which fused the DNA-binding domain of a transcription factor associated with a silent SM gene cluster with the activation domain of a robust SM transcription factor AfoA [106]. Deletion of the epigenetic regulator gene, a histone acetyltransferase in the SAGA/ADA complex, resulted in the production of a novel compound, nigerpyrone (212) in A. niger FGSC A1279 [107]. Moreover, its biosynthetic pathway was disclosed via gene knockout and complementation experiments (Scheme 4). Aspopyrone A (213) was produced by an Okinawan plant-derived fungus, A. sp. TMPU1623 exhibited a strong inhibitory effect on protein tyrosine phosphatase (PTP) 1B with an IC50 value of 6.7 µM [108]. Bioactivity-guided fractionation of the crude extract of an endophytic strain, A. flocculus, resulted in the isolation of three pyranone analogs (214–216) [22]. 4-Hydroxy-3,6-dimethyl-2-pyrone (217) and 4-methyl-5,6-dihydropyran-2-one (218) were also produced by the marine strain A. sydowii SCSIO 41301 [33], and phomapyrone C (219) together with compounds 40, 176 and 215 was purified from strain SCSIO 41024 [35].
Scheme 4.
Biosynthetic pathway for nigerpyrone (212).
2.9.3. Benzopyranones and Naphthopyranones
Aspergchromones A (220) and B (221), together with noreugenin (222, Figure 14), were two new benzopyranones from the marine sponge-derived strain SCSIO XWS03F03 [65]. By deletion of the epigenetic regulator gcnE in strain A. niger FGSC A1279, two naphthopyranones, aurasperones A (223) and Fonsecinone D (224) were synthesized, and compound 223 showed a potent inhibitory effect on brine shrimp with an LD50 value of 9 ppm [107,109]. In addition to 124, five naphthopyranone analogs (225–229) were also produced by the symbiotic strain A. fumigatus D but displayed no potent antimicrobial activity [70].
Figure 14.
Aspergillus-derived benzopyranones (220–222) and naphthopyranones (223–229).
2.10. Quinones
Quinones constitute an important class of naturally occurring compounds containing unsaturated cyclic ketone(s) [110]. On the basis of chemical structure, Aspergillus-derived quinones (230–277) could be divided into three types, including anthraquinone, benzoquinone and naphthoquinone, in which the first is the major subgroup [111].
2.10.1. Anthraquinones
Anthraquinones are a group of structurally diverse and biologically active natural products with therapeutic effects [112,113]. Several chemical studies suggested that the marine-derived fungus A. glaucus HB1-19 was a versatile producer of anthraquinone polyketides (230–242, Figure 15), which compounds 230 and 231 displayed potent cytotoxicities against A-549, HL-60, BEL-7402, and P388 cell lines and 241 and 242 had strong inhibitory effects on the receptor tyrosine kinases (RTKs) c-Met, Ron, and c-Src with low-micromolar IC50 values [79,114,115]. In addition to the aromatic polyketide 151, substances 243–247 were obtained from the marine strain A. versicolor, and 243, 244, and 246 exhibited significant cytotoxicity against five human solid tumor cell lines (A-549, SK-OV-3, SK-MEL-2, XF-498, and HCT-15) with IC50 values in the range of 0.41–4.61 µg/mL and 243 and 246 also showed excellent antibacterial activity against several clinical Gram-positive strains with MIC values of 0.78–6.25 µg/mL [85]. Sanghaspirodins A (248) and B (249) were two novel antiproliferative agents from strain A. nidulans grown in a chemostat under nitrogen limitation [116]. Two anthraquinones (250 and 251) were synthesized by inducing the expression of the silent PKS gene in A. nidulans FGSCA4 under a continuous cultivation regime [117]. Compounds 252 and 253 were produced by the fumarole-derived strain A. terreus C9408-3 when cultured at 40 °C for 7 days on potato dextrose agar plates [13]. Dermolutein (254) and methylemodin (255), along with compounds 240 and 256–258, were purified from the EtOAc extract of A. europaeus WZXY-SX-4-1 and exerted remarkable down-regulation of NF-κB in LPS-induced SW480 cells [16]. By disruption of a global regulator LaeB in A. nidulans, a potent aggregation inhibitor asperthecin (259) was identified from a mutant by a filter trap assay and electron microscopy [118]. Versiconol B (260) together with three analogs (247, 261, 262) produced by strain A. sp. F40 showed weak antimicrobial activity against S. aureus and V. parahaemolyticus [90]. In addition to the common metabolite 234, compounds 263–267 were detected in the crude extracts of two marine strains A. sydowii SCSIO 41301 and A. terreus SCSIO 41008 [33,69], and 234, 264 and 265 exhibited broad inhibitory activities against H1N1 and H3N influenzas. Whereas strain A. versicolor HBU-2017-7-derived, two anthraquinones (268) and (269) showed no antibacterial or cytotoxic activity [119].
Figure 15.
Aspergillus-derived anthraquinones (230–269).
2.10.2. Benzoquinones and Naphthoquinones
By HPLC-MS analysis, a toxic benzoquinone spinulosin (270, Figure 16) was detected in the SMs of several A. flavus strains and displayed effective nematicidal activity against B. xylophilus without any plant growth inhibition [30,120,121]. Terreic acid (271) produced by strain A. terreus ATCC 20542 was a potential anticancer agent with an inhibitory effect on Bruton’s tyrosine kinase [56,122]. Phomaligol A (272) and phomaligol A1 (273) were two new isomeric benzoquinones discovered from the fermentation culture of A. flocculus, and the later possessed a moderate anti-trypanosome activity against T. brucei with an MIC of 25 μg/mL [22]. Csypyrone B1 (274) was identified as a csyB gene product by overexpression under the control of α-amylase promoter in A. oryzae M-2-3 [123]. A new naphthoquinone derivative, aspergiodiquinone (275), was obtained from a marine-derived A. glaucus HB1-19 [28]. From the solid rice medium of marine strain SCSIO XWS03F03, (4S)-6-hydroxyisosclerone (276) and (-)-regiolone (277) were discovered, while the later was shown to be a phytotoxin [65,124].
Figure 16.
Aspergillus-derived benzoquinones (270–274) and naphthoquinones (275–277).
2.11. Steroids
Steroids are cyclopentane polyhydrophenanthrenes and play an important role in life activities [125,126]. Ergosterol (278, Figure 17) was isolated and identified from an endophytic strain A. sp. TJ23 and exhibited anticancer activities against cell lines B16, MDA-MB-231, 4Tl, HepG2 and LLC with IC50 values ranging from 5.13 to 12.3 µM [63]. An ergosterol peroxide (279) and campesterol (280) were obtained from the fermentation culture of an oyster-derived A. flocculus by using modern metabolomics technology [22], and the former displayed an inhibitory effect on the migration of MDA-MB-231 cells at <20 µM [127,128]. An epoxide steroid (281) was discovered from the deep-sea strain A. sp. SCSIO 41017 was shown to possess moderate activity against cancer cell lines SF-268, MCF-7, HepG-2 and A549 with IC50 values of 13.5–18.0 µM [129].
Figure 17.
Aspergillus-derived steroids (278–281).
2.12. Meroterpenoids
Meroterpenoids as polyketide-terpenoid hybrids are a family of fungal metabolites possessing significant biological activities [130]. However, only a small group of meroterpenoids (282–292, Figure 18) had been isolated and characterized from Aspergillus strains. Terretonin (282), produced by a strain of A. terreus, had a novel, heavily oxidized 25-carbon skeleton and was presumably derived from the degradation of a triterpene precursor [131]. Co-cultivation of a strain of A. fumigatus with the actinomycete Streptomyces rapamycinicus afforded the production of two new prenylated polyketides (283 and 284) [132]. Parasiticolide A (285) was the common SM of two strains of A. flavus and A. parasiticus IFO 4082 [30,133]. Spiroaspertrione A (286) was a novel terpene-polyketide hybrid bearing a unique spiro[bicyclo[3.2.2]nonane-2,1′-cyclohexane] carbocyclic skeleton produced by strain Aspergillus TJ23 and performed as an effective potentiator for oxacillin in suppressing MRSA growth by reducing the oxacillin MIC up to 32-fold [134].
Figure 18.
Aspergillus-derived meroterpenoids (282–292).
Additionally, chemical analysis of the liquid cultures of strain TJ23 resulted in the discovery of two novel terpene-polyketide hybrids (287 and 288), of which compound 287 was a potential inhibitor of PBP2a and worked synergistically with the β-lactam antibiotics oxacillin and piperacillin against MRSA [135]. Sphaeropsidin A (289), along with aspergiloid E (290), was obtained from an endophytic fungus A. porosus [87] and recently gained interest as a cytotoxic agent, showing selectivity toward melanoma and kidney cancer cell lines with a unique mechanism of action targeting regulatory volume increase [136]. Arugosin C (291) was a novel prenylated polyketide produced by a marine-derived fungus, A. versicolor HBU-2017-7, but exhibited no inhibitory activity against HCV protease [119,137]. Chlovalicin (292) was determined as a new chlorinated meroterpenoid from strain A. niger BRF-074 and displayed no cytotoxicity towards the HCT-116 cell line [138].
2.13. Xanthones
Xanthones are a class of natural products with hetero-tricyclic structures possessing a variety of biological activities, including antihypertensive, anticonvulsant, antithrombotic, antitumor and so on [139,140,141,142,143]. Two new xanthones (293 and 294, Figure 19) were purified from a marine sponge-derived fungus A. versicolor [85], and compound 293, along with its derivative (295), was also obtained from strain A. versicolor HBU-2017-7 and shown to have significant cytotoxicity [119]. By continuous cultivation for activating silent polyketide BGCs in strain A. nidulans FGSCA4, a new prenylated cytotoxic xanthone (296) was discovered in its chemostat cultures [144]. Two xanthone dimers (297 and 298) originally produced by A. aculeatus in 1977 were rediscovered from strains A. sp. SCSIO XWS03F03 and A. aculeatus IBT 21030 [65,145]. Bioassay-guided fractionation of the crude extract of a soil fungus A. terreus X3 resulted in the isolation of penicitrinones A and B (299 and 300), which the former showed moderate activity against B. megaterium with a MIC value of 1.60 µM [29]. Four prenylated xanthones (301–304) were separated from the rice medium of the endophytic strain A. sp. TJ23 exhibited weak inhibitory activities against the growth of B16, HepG2, and LLC cancer cell lines [58]. Chemical analysis of a marine sponge-derived strain A. europaeus WZXY-SX-4-1 afforded six xanthone polyketides (305–310), of which compounds 305 and 310 exerted excellent down-regulation of NF-κB in LPS-induced SW480 cells [16]. Oxisterigmatocystin I (311), along with four analogs (293, 312–314), were purified from the culture of a sponge-derived strain A. sp. F40 and showed weak antimicrobial activity against S. aureus [90]. When cultured under static conditions, strain A. sydowii SCSIO 41301 was found to produce two new xanthones (315 and 316), which exhibited obvious selective inhibitory activity against H1N1 influenza [33].
Figure 19.
Aspergillus-derived xanthones (293–316).
2.14. Miscellaneous
A number of other bioactive polyketides had been discovered and identified from Aspergillus strains. Mevinolin (317, Figure 20), along with its analog 318, was obtained from strain A. terreus ATCC 20542 and exhibited a potent competitive inhibitory effect on hydroxymethylglutaryl coenzyme A (HMG CoA) reductase [146]. Aspermytin A (319) was a new neurotrophic agent produced by a mussel-derived strain of Aspergillus [147]. Three decaline derivatives (320–322) showed significant cytotoxicity against melanoma cell lines [148,149]. Calbistrin A (323), together with its analog (324) derived from strain A. aculeatus IBT 21030, acted as an excellent antifungal agent, a promoter of nerve growth factor (NGF) production and a cholesterol-lowering substance [150,151]. Two lovastatin analogs (325 and 326) were detected in the solid culture of A. versicolor SC0156 [152]. Aspergones N-Q (327–330), along with epoxyquinol (331) were separated from the fermentation broth of A. sp. OUCMDZ-1583 and displayed strong α-glucosidase inhibitory effects [45]. Salimyxin B (332) produced by the endophytic strain A. sp. TJ23 showed inhibitory activities against HepG2 with an IC50 value of 9.87 µM [58]. Hexylitaconic acid (333) was a binary fatty acid originally derived from a marine-derived fungus Arthrinium sp., was also produced by the strain of A. niger and showed potent antibacterial and antioxidant activities as well as good inhibitory effect on acetylcholinesterase and p53–HDM2 interaction [41,153,154].
Figure 20.
Aspergillus-derived miscellaneous compounds (317–343).
A terrein glucoside (334) was a new angiogenin secretion inhibitor produced by strain A. sp. PF1381 [155]. Bioassay-guided isolation of an extract of A. sp. MF6215 led to the discovery of three novel 11-membered macrocyclic biphenyl ether lactones (335–337), in which compound 335 inhibited the IgE binding to its receptor by an IC50 value of 200 µM [156]. By UHPLC-DAD-HRMS and dereplication, aculenes C and D (338 and 339) were isolated from a strain of A. aculeatus but showed weak antifungal activity [150]. Dehydrocurvularin (340) was a new lactone polyketide from strain A. terreus ATCC 20542 and acted as a prevalent fungal phytotoxin with heat shock response and immune-modulatory activities and a broad-spectrum inhibitor of various cancer cell lines in vitro [61,157,158]. Aspergones G and H (341 and 342) produced by the strain A. sp. OUCMDZ-1583 displayed no cytotoxic activity [45]. A. flavus-derived terrein (343) was a novel suppressor of ABCG2-expressing breast cancer cells MCF-7 cells [13,30].
3. Conclusions and Perspectives
In summary, the genus Aspergillus is a prolific source of polyketides with diverse chemical structures and a variety of biological activities. Many of these substances or derivatives have therapeutic effects, such as the immunosuppressant agent (3), the antioxidant benzaldehydes (34,35), the α-glucosidase inhibitors (327–330), etc. Furthermore, the potential to discover novel polyketides from Aspergillus strains is still immense since a great number of their BGCs are shown to be inactive or unawakened under traditional culture conditions [159]. With the development and application of bioinformative tools and analytical techniques, more and more Aspergillus genomes, as well as functional genes, will be sequenced and annotated. These silent BGCs responsible for the biosynthesis of novel polyketides are being disclosed and activated using new strategies, such as the one strain many compounds (OSMAC) approach and genome mining combined with metabolic engineering [8,160,161]. In addition, the biosynthesis of polyketides from acyl-CoA thioesters is catalyzed by various PKSs, which structures of initiation and condensation domains provide valuable insights into the molecular factors governing starter unit selectivity and chain-length control. A detailed understanding of these PKS structural features controlling polyketide biosynthesis and modification offers a powerful tool for the controlled and rational design of novel polyketides through enzyme engineering. Therefore, more efforts should be made to employ biosynthetic engineering approaches to improve the efficient discovery of novel polyketides from the genus Aspergillus.
Supplementary Materials
The following supporting information can be downloaded at: https://www.mdpi.com/article/10.3390/jof9020261/s1. Detailed information for Aspergillus-derived polyketides (1–343) is available in Table S1: Detail information for Aspergillus-derived polyketides.
Author Contributions
Conceptualization and funding acquisition, X.B. and H.Z.; Literature search and data analysis, X.B., Y.S., L.S. and J.P.; Writing—original draft, X.B., Z.T. and S.W.; Writing—review and editing, B.T., T.Z. and H.Z. All authors have read and agreed to the published version of the manuscript.
Funding
This research was co-funded by the National Key Research and Development Program of China (2022YFC2804203 and 2018YFC0311004) and the Sci and Tech Innovation Project (Xinmiao Talent Plan) of Zhejiang University Students (4105C5152210115).
Institutional Review Board Statement
Not applicable.
Informed Consent Statement
Not applicable.
Data Availability Statement
Not applicable.
Conflicts of Interest
The authors declare no conflict of interest.
References
- Alberti, F.; Foster, G.D.; Bailey, A.M. Natural products from filamentous fungi and production by heterologous expression. Appl. Microbiol. Biotechnol. 2016, 101, 493–500. [Google Scholar] [CrossRef] [PubMed]
- Bills, G.F.; Gloer, J.B. Biologically active secondary metabolites from the fungi. Microbiol. Spectr. 2016, 4, 1087–1119. [Google Scholar] [CrossRef] [PubMed]
- Theobald, S.; Vesth, T.C.; Rendsvig, J.K.; Nielsen, K.F.; Riley, R.; de Abreu, L.M.; Salamov, A.; Frisvad, J.C.; Larsen, T.O.; Andersen, M.R.; et al. Uncovering secondary metabolite evolution and biosynthesis using gene cluster networks and genetic dereplication. Sci. Rep. 2018, 8, 17957. [Google Scholar] [CrossRef] [PubMed]
- Xiong, Z.; Cao, X.H.; Wen, Q.Y.; Chen, Z.T.; Cheng, Z.X.; Huang, X.Y.; Zhang, Y.X.; Long, C.N.; Zhang, Y.; Huang, Z. An overview of the bioactivity of monacolin K/lovastatin. Food Chem. Toxicol. 2019, 131, 110585. [Google Scholar] [CrossRef] [PubMed]
- Aubel-Sadron, G.; Londos-Gagliardi, D. Daunorubicin and doxorubicin, anthracycline antibiotics, a physicochemical and biological review. Biochimie 1984, 66, 333–352. [Google Scholar] [CrossRef] [PubMed]
- Hawkyard, C.V.; Koerner, R.J. The use of erythromycin as a gastrointestinal prokinetic agent in adult critical care: Benefits versus risks. J. Antimicrob. Chemother. 2007, 59, 347–358. [Google Scholar] [CrossRef]
- Chooi, Y.-H.; Tang, Y. Navigating the fungal polyketide chemical space: From genes to molecules. J. Org. Chem. 2012, 77, 9933–9953. [Google Scholar] [CrossRef]
- Yu, R.; Liu, J.; Wang, Y.; Wang, H.; Zhang, H. Aspergillus niger as a Secondary Metabolite Factory. Front. Chem. 2021, 9, 701022. [Google Scholar] [CrossRef]
- Dictionary of Natural Products. Available online: https://dnp.chemnetbase.com/faces/chemical/ChemicalSearch.xhtml (accessed on 31 December 2022).
- Mihai, D.M.; Hall, S.; Deng, H.; Welch, C.J.; Kawamura, A. Benzophenone and its analogs bind to human glyoxalase 1. Bioorganic Med. Chem. Lett. 2015, 25, 5349–5351. [Google Scholar] [CrossRef]
- Sarkara, A.; Funka, A.N.; Scherlach, K.; Horn, F.; Schroeckh, V.; Chankhamjon, P.; Westermann, M.; Roth, M.; Brakhage, A.A.; Hertweck, C.; et al. Differential expression of silent polyketide biosynthesis gene clusters in chemostat cultures of As-pergillus nidulans. J. Biotechnol. 2012, 160, 64–71. [Google Scholar] [CrossRef]
- Wu, Q.; Wu, C.M.; Long, H.L.; Chen, R.; Liu, D.; Proksch, P.; Guo, P.; Lin, W.H. Varioxiranols A-G and 19-o-methyl-22-methoxypre-shamixanthone, PKS and hybrid PKS-derived metabolites from a sponge-associated Emericella variecolor fungus. J. Nat. Prod. 2015, 78, 2461–2470. [Google Scholar] [CrossRef] [PubMed]
- Liao, W.-Y.; Shen, C.-N.; Lin, L.-H.; Yang, Y.-L.; Han, H.-Y.; Chen, J.-W.; Kuo, S.-C.; Wu, S.-H.; Liaw, C.-C. Asperjinone, a nor-neolignan, and terrein, a suppressor of ABCG2-expressing breast cancer cells, from thermophilic Aspergillus terreus. J. Nat. Prod. 2012, 75, 630–635. [Google Scholar] [CrossRef] [PubMed]
- Hamed, A.; Ismail, M.; Shaaban, M. X-ray, structural assignment and molecular docking study of dihydrogeodin from As-pergillus terreus TM8. Nat. Prod. Res. 2019, 33, 117–121. [Google Scholar] [CrossRef] [PubMed]
- Zhang, L.-H.; Feng, B.-M.; Zhao, Y.-Q.; Sun, Y.; Liu, B.; Liu, F.; Chen, G.; Bai, J.; Hua, H.-M.; Wang, H.-F.; et al. Polyketide butenolide, diphenyl ether, and benzophenone derivatives from the fungus Aspergillus flavipes PJ03-11. Bioorganic Med. Chem. Lett. 2016, 26, 346–350. [Google Scholar] [CrossRef] [PubMed]
- Du, X.; Liu, D.; Huang, J.; Zhang, C.; Proksch, P.; Lin, W. Polyketide derivatives from the sponge associated fungus Aspergillus europaeus with antioxidant and no inhibitory activities. Fitoterapia 2018, 130, 190–197. [Google Scholar] [CrossRef] [PubMed]
- Kini, S.G.; Rathi, E.; Kumar, A.; Bhat, V. Potentials of diphenyl ether scaffold as a therapeutic agent: A review. Mini Rev. Med. Chem. 2019, 19, 1392–1406. [Google Scholar] [CrossRef]
- Lin, H.; Lyu, H.N.; Zhou, S.; Yu, J.W.; Keller, N.P.; Chen, L.; Yin, W.B. Deletion of a global regulator LaeB leads to the discovery of novel polyketides in Aspergillus nidulans. Org. Biomol. Chem. 2018, 16, 4973–4976. [Google Scholar] [CrossRef]
- Schroeckh, V.; Scherlach, K.; Nützmann, H.-W.; Shelest, E.; Schmidt-Heck, W.; Schuemann, J.; Martin, K.; Hertweck, C.; Brakhage, A.A. Intimate bacterial–fungal interaction triggers biosynthesis of archetypal polyketides in Aspergillus nidulans. Proc. Natl. Acad. Sci. USA 2009, 106, 14558–14563. [Google Scholar] [CrossRef]
- Zhuang, Y.B.; Teng, X.C.; Wang, Y.; Liu, P.P.; Wang, H.; Li, J.; Li, G.Q.; Zhu, W.M. Cyclopeptides and polyketides from coral-associated fungus, Aspergillus versicolor LCJ-5-4. Tetrahedron 2011, 67, 7085–7089. [Google Scholar] [CrossRef]
- Ohashi, H.; Akiyama, H.; Nishikori, K.; Mochizuki, J.-I. Asterric acid, a new endothelin binding inhibitor. J. Antibiot. 1992, 45, 1684–1685. [Google Scholar] [CrossRef]
- Tawfike, A.F.; Romli, M.; Clements, C.; Abbott, G.; Young, L.; Schumacher, M.; Diederich, M.; Farag, M.; Edrada-Ebel, R. Isolation of anticancer and anti-trypanosome secondary metabolites from the endophytic fungus Aspergillus flocculus via bioactivity guided isolation and MS based metabolomics. J. Chromatogr. B 2019, 1106–1107, 71–83. [Google Scholar] [CrossRef] [PubMed]
- Mohanlall, V.; Odhav, B. Furans and furanones with antimycotoxigenic activity isolated from Warburgia salutaris (Canel-laceae). J. Med. Plants Res. 2009, 3, 231–240. [Google Scholar] [CrossRef]
- Varoglu, M.; Crews, P. Biosynthetically diverse compounds from a saltwater culture of sponge-derived Aspergillus niger. J. Nat. Prod. 1999, 63, 41–43. [Google Scholar] [CrossRef] [PubMed]
- Pettit, G.R.; Du, J.; Pettit, R.K.; Knight, J.C.; Doubek, D.L. Antineoplastic agents. 575. The Fungus Aspergillus phoenicis. Heterocycles 2009, 79, 909. [Google Scholar] [CrossRef]
- Chiang, Y.-M.; Szewczyk, E.; Davidson, A.D.; Keller, N.; Oakley, B.R.; Wang, C.C.C. A gene cluster containing two fungal polyketide synthases encodes the biosynthetic pathway for a polyketide, asperfuranone, in Aspergillus nidulans. J. Am. Chem. Soc. 2009, 131, 2965–2970. [Google Scholar] [CrossRef]
- Wang, C.C.C.; Chiang, Y.-M.; Praseuth, M.B.; Kuo, P.-L.; Liang, H.-L.; Hsu, Y.-L. Asperfuranone from Aspergillus nidulans inhibits proliferation of human non-small cell lung cancer A549 cells via blocking cell cycle progression and inducing apoptosis. Basic Clin. Pharmacol. Toxicol. 2010, 107, 583–589. [Google Scholar] [CrossRef]
- Sun, S.-W.; Ji, C.-Z.; Gu, Q.-Q.; Li, D.-H.; Zhu, T.-J. Three new polyketides from marine-derived fungus Aspergillus glaucus HB1-19. J. Asian Nat. Prod. Res. 2013, 15, 956–961. [Google Scholar] [CrossRef]
- Xu, L.-L.; Cao, F.; Tian, S.-S.; Zhu, H.-J. Alkaloids and polyketides from the soil fungus Aspergillus terreus and their antibacterial activities. Chem. Nat. Compd. 2017, 53, 1212–1215. [Google Scholar] [CrossRef]
- Saldan, N.C.; Almeida, R.T.R.; Avíncola, A.; Porto, C.; Galuch, M.B.; Magon, T.F.S.; Pilau, E.J.; Svidzinski, T.I.E.; Oliveira, C.C. Development of an analytical method for identification of Aspergillus flavus based on chemical markers using HPLC-MS. Food Chem. 2018, 241, 113. [Google Scholar] [CrossRef]
- Evidente, A.; Cristinzio, G.; Punzo, B.; Andolfi, A.; Testa, A.; Melck, D. ChemInform abstract: Flufuran, an antifungal 3,5-Disubstituted furan produced by Aspergillus flavus link. Chem. Biodivers. 2009, 6, 328–334. [Google Scholar] [CrossRef]
- Tanahashi, T.; Takenaka, Y.; Nagakura, N.; Hamada, N. Dibenzofurans from the cultured lichen mycobionts of Lecanora ci-nereocarnea. Phytochemistry 2001, 58, 1129–1134. [Google Scholar] [CrossRef] [PubMed]
- Liu, N.; Peng, S.; Yang, J.; Cong, Z.; Lin, X.; Liao, S.; Yang, B.; Zhou, X.; Zhou, X.; Liu, Y.; et al. Structurally diverse sesquiterpenoids and polyketides from a sponge-associated fungus Aspergillus sydowii SCSIO41301. Fitoterapia 2019, 135, 27–32. [Google Scholar] [CrossRef] [PubMed]
- Zou, Z.-B.; Zhang, G.; Li, S.-M.; He, Z.-H.; Yan, Q.-X.; Lin, Y.-K.; Xie, C.-L.; Xia, J.-M.; Luo, Z.-H.; Luo, L.-Z.; et al. Asperochratides A–J, ten new polyketides from the deep-sea-derived Aspergillus ochraceus. Bioorganic Chem. 2020, 105, 104349. [Google Scholar] [CrossRef] [PubMed]
- Chen, W.; Liu, H.; Long, J.; Tao, H.; Lin, X.; Liao, S.; Yang, B.; Zhou, X.; Liu, Y.; Wang, J. Asperpentenone A, a novel polyketide isolated from the deep-sea derived fungus Aspergillus sp. SCSIO 41024. Phytochem. Lett. 2019, 35, 99–102. [Google Scholar] [CrossRef]
- Steyn, P.S.; Vleggaar, R.; Simpson, T.J. Stable isotope labelling studies on the biosynthesis of asticolorin C by Aspergillus multicolor. Evidence for a symmetrical intermediate. J. Chem. Soc. Chem. Commun. 1984, 12, 765–767. [Google Scholar] [CrossRef]
- Rabie, C.J.; Simpson, T.J.; Steyn, P.S.; van Rooyen, P.H.; Vleggaar, R. Structure and absolute configuration of the asticolorins, toxic metabolites from Aspergillus multicolor. J. Chem. Soc. Chem. Commun. 1984, 12, 764–765. [Google Scholar] [CrossRef]
- Abrell, L.M.; Borgeson, B.; Crews, P. Chloro polyketides from the cultured fungus (Aspergillus) separated from a marine sponge. Tetrahedron Lett. 1996, 37, 2331–2334. [Google Scholar] [CrossRef]
- Nguyen, H.; Yu, N.; Jeon, S.; Lee, H.; Bae, C.-H.; Yeo, J.; Kim, I.-S.; Park, H.; Kim, J.-C. Antibacterial activities of penicillic acid isolated from Aspergillus persii against various plant pathogenic bacteria. Lett. Appl. Microbiol. 2016, 62, 488–493. [Google Scholar] [CrossRef]
- Qi, C.; Gao, W.; Guan, D.; Wang, J.; Liu, M.; Chen, C.; Zhu, H.; Zhou, Y.; Lai, Y.; Hu, Z.; et al. Butenolides from a marine-derived fungus Aspergillus terreus with antitumor activities against pancreatic ductal adenocarcinoma cells. Bioorganic Med. Chem. 2018, 26, 5903–5910. [Google Scholar] [CrossRef]
- Yang, X.-L.; Awakawa, T.; Wakimoto, T.; Abe, I. Three acyltetronic acid derivatives: Noncanonical cryptic polyketides from Aspergillus niger identified by genome mining. ChemBioChem 2014, 15, 1578–1583. [Google Scholar] [CrossRef]
- Koch, L.; Lodin, A.; Herold, I.; Ilan, M.; Carmeli, S.; Yarden, O. Sensitivity of Neurospora crassa to a marine-derived Aspergillus tubingensis anhydride exhibiting antifungal activity that is mediated by the mas1 protein. Mar. Drugs 2014, 12, 4713–4731. [Google Scholar] [CrossRef] [PubMed]
- Chen, X.-W.; Li, C.-W.; Cui, C.-B.; Hua, W.; Zhu, T.-J.; Gu, Q.-Q. Nine new and five known polyketides derived from a deep sea-sourced Aspergillus sp. 16-02-1. Mar. Drugs 2014, 12, 3116–3137. [Google Scholar] [CrossRef] [PubMed]
- Liu, Y.; Li, X.-M.; Meng, L.-H.; Wang, B.-G. Polyketides from the marine mangrove-derived fungus Aspergillus ochraceus MA-15 and their activity against aquatic pathogenic bacteria. Phytochem. Lett. 2015, 12, 232–236. [Google Scholar] [CrossRef]
- Kong, F.D.; Zhao, C.Y.; Hao, J.J.; Wang, C.; Wang, W.; Huang, X.L.; Zhu, W.M. New α-glucosidase inhibitors from a marine sponge-derived fungus, Aspergillus sp. OUCMDZ-1583. RSC Adv. 2015, 5, 68852–68863. [Google Scholar] [CrossRef]
- Phainuphong, P.; Rukachaisirikul, V.; Tadpetch, K.; Sukpondma, Y.; Saithong, S.; Phongpaichit, S.; Preedanon, S.; Sakayaroj, J. Gamma-butenolide and furanone derivatives from the soil-derived fungus Aspergillus sclerotiorum PSU-RSPG178. Phytochemistry 2017, 137, 165–173. [Google Scholar] [CrossRef]
- Wijeratne, E.M.K.; Xu, Y.M.; Arnold, A.E.; Gunatilaka, A.A.L. Pulvinulin A, graminin C, and cis-gregatin B—new natural furanones from Pulvinula sp. 11120, a fungal endophyte of cupressus arizonica. Nat. Prod. Commun. 2015, 10, 107–111. [Google Scholar] [CrossRef]
- Brookes, D.; Tidd, B.K.; Turne, W.B. Avenaciolide, an antifuingal lactone from Aspergillus avenaceus. J. Chem. Soc. 1963, 68, 5385–5391. [Google Scholar] [CrossRef]
- Castelo-branco, P.A.; Rubinger, M.M.M.; Alves, L.D.C.; de Barros, P.M.; Pereira, S.G.; de Melo, V.J.; Pilo-Veloso, D.; Zambolim, L. Synthesis and antifungal activity of aromatic bis-gamma-lactones analogous to avenaciolide. Chem. Biodivers. 2007, 4, 2745–2754. [Google Scholar] [CrossRef]
- Yin, G.P.; Wu, Y.R.; Yang, M.H.; Li, T.X.; Wang, X.B.; Zhou, M.M.; Lei, J.L.; Kong, L.Y. Citrifurans A-D, four dimeric aromatic polyketides with new carbon skeletons from the fungus Aspergillus sp. Org. Lett. 2017, 19, 4058–4061. [Google Scholar] [CrossRef]
- Yin, G.P.; Wu, Y.R.; Han, C.; Wang, X.B.; Gao, H.L.; Yin, Y.; Kong, L.Y.; Yang, M.H. Asperones A–E, five dimeric polyketides with new carbon skeletons from the fungus Aspergillus sp AWG 1–15. Org. Chem. Front. 2018, 5, 2432–2436. [Google Scholar] [CrossRef]
- Garson, M.J.; Staunton, J.; Jones, P.G. New polyketide metabolites from Aspergillus melleus: Structural and stereochemical studies. J. Chem. Soc. Perkin Trans. 1 1984, 1021–1026. [Google Scholar] [CrossRef]
- Sakhri, A.; Chaouche, N.K.; Catania, M.R.; Ritieni, A.; Santini, A. Chemical composition of Aspergillus creber extract and evaluation of its antimicrobial and antioxidant activities. Pol. J. Microbiol. 2019, 68, 309–316. [Google Scholar] [CrossRef] [PubMed]
- Sohn, J.-H.; Oh, H.-C. Protulactones A and B: Two new polyketides from the marine-derived fungus Aspergillus sp. SF-5044. Bull. Korean Chem. Soc. 2010, 31, 1695–1698. [Google Scholar] [CrossRef]
- Sadorn, K.; Saepua, S.; Boonyuen, N.; Laksanacharoen, P.; Rachtawee, P.; Prabpai, S.; Kongsaeree, P.; Pittayakhajonwut, P. Allahabadolactones A and B from the endophytic fungus, Aspergillus allahabadii BCC45335. Tetrahedron 2016, 72, 489–495. [Google Scholar] [CrossRef]
- Boruta, T.; Bizukojc, M. Culture-based and sequence-based insights into biosynthesis of secondary metabolites by Aspergillus terreus ATCC 20542. J. Biotechnol. 2014, 175, 53–62. [Google Scholar] [CrossRef]
- Sato, S.; Okusa, N.; Ogawa, A.; Ikenoue, T.; Seki, T.; Tsuji, T. Identification and preliminary SAR studies of (+)-geodin as a glucose uptake stimulator for rat adipocytes. J. Antibiot. 2005, 58, 583–589. [Google Scholar] [CrossRef]
- Qiao, Y.B.; Tu, K.; Feng, W.Y.; Liu, J.J.; Xu, Q.Q.; Tao, L.; Zhu, H.C.; Chen, C.M.; Wang, J.P.; Xue, Y.B.; et al. Polyketide and prenylxanthone derivatives from the endophytic fungus Aspergillus sp. TJ23. Chem. Biodivers. 2018, 15, e1800395. [Google Scholar] [CrossRef]
- Suemitsu, R.; Ohnishi, K.; Horiuchi, M.; Morikawa, Y.; Sakaki, Y.; Matsumoto, Y. Structure of porriolide, a new metabolite from Alternaria porri. Biosci. Biotech. Biochem. 1993, 57, 334–335. [Google Scholar] [CrossRef]
- Yang, X.-L.; Zhang, S.; Hu, Q.-B.; Luo, D.-Q.; Zhang, Y. Phthalide derivatives with antifungal activities against the plant pathogens isolated from the liquid culture of Pestalotiopsis photiniae. J. Antibiot. 2011, 64, 723–727. [Google Scholar] [CrossRef]
- Frédérick, R.; Masereel, B. Coumarin and isocoumarin as serine protease inhibitors. Curr. Pharm. Des. 2004, 10, 3781–3796. [Google Scholar] [CrossRef]
- Frederic, C.; Costa Cristine, A.; Erwan, A.; David, A.; Cecile, D.; Michael, F.; Jean-Francois, H.; Martinez, J.; Solveig, L.J.; Philippe, M.; et al. JLK inhibitors: Isocoumarin compounds as putative probes to selectively target the gamma-secretase pathway. Curr. Alzheimer Res. 2005, 2, 327–334. [Google Scholar] [CrossRef] [PubMed]
- Hussain, H.; Green, I.R. A patent review of two fruitful decades (1997–2016) of isocoumarin research. Expert Opin. Ther. Pat. 2017, 27, 1267–1275. [Google Scholar] [CrossRef] [PubMed]
- Cimmino, A.; Maddau, L.; Masi, M.; Linaldeddu, B.T.; Evidente, A. Secondary metabolites produced by Sardiniella urbana, a new emerging pathogen on European hackberry. Nat. Prod. Res. 2019, 33, 1862–1869. [Google Scholar] [CrossRef] [PubMed]
- Wang, Y.; Lin, X.P.; Ju, Z.R.; Liao, X.J.; Huang, X.J.; Zhang, C.; Zhao, B.X.; Xu, S.H. Aspergchromones A and B, two new polyketides from the marine sponge-associated fungus Aspergillus sp. SCSIO XWS03F03. J. Asian Nat. Prod. Res. 2017, 19, 684–690. [Google Scholar] [CrossRef]
- Bi, Y.-M.; Bi, X.-B.; Zhao, Q.-R.; Fang, A.; Chen, Y.-G. Dihydroisocoumarins from the Fungus Cephalosporium sp. AL031. Pol. J. Chem. 2006, 80, 397–401. [Google Scholar] [CrossRef]
- Chang, S.B.; Abdel Kader, M.M.; Wick, E.L.; Wogan, G.N. Aflatoxin B2: Chemical identity and biological activity. Science 1963, 142, 1191–1192. [Google Scholar] [CrossRef]
- Klich, M.A. Aspergillus flavus: The major producer of aflatoxin. Mol. Plant Pathol. 2007, 8, 713–722. [Google Scholar] [CrossRef]
- Luo, X.-W.; Lin, Y.; Lu, Y.-J.; Zhou, X.F.; Liu, Y.H. Peptides and polyketides isolated from the marine sponge-derived fungus Aspergillus terreus SCSIO 41008. Chin. J. Nat. Med. 2019, 17, 149–154. [Google Scholar] [CrossRef]
- Hua, Y.; Pan, R.; Bai, X.L.; Wei, B.; Chen, J.W.; Wang, H.; Zhang, H.W. Aromatic polyketides from a symbiotic strain Asper-gillus fumigatus D and characterization of their biosynthetic gene D8.t287. Mar. Drugs 2020, 18, 324. [Google Scholar] [CrossRef]
- Runeberg, P.A.; Brusentsev, Y.; Rendon, S.M.K.; Eklund, P.C. Oxidative transformations of lignans. Molecules 2019, 24, 300. [Google Scholar] [CrossRef]
- Rao, K.V.; Sadhukhan, A.K.; Veerender, M.; Ravikumar, V.; Mohan, E.V.S.; Dhanvantri, S.D.; Sitaramkumar, M.; Babu, J.M.; Vyas, K.; Reddy, G.O. Butyrolactones from Aspergillus terreus. Chem. Pharm. Bull. 2000, 48, 559–562. [Google Scholar] [CrossRef] [PubMed]
- Lin, T.; Lu, C.; Shen, Y. Secondary metabolites of Aspergillus sp. F1, a commensal fungal strain of Trewia nudiflora. Nat. Prod. Res. 2009, 23, 77–85. [Google Scholar] [CrossRef]
- Haritakun, R.; Rachtawee, P.; Chanthaket, R.; Boonyuen, N.; Isaka, M. Butyrolactones from the fungus Aspergillus terreus BCC 4651. Chem. Pharm. Bull. 2010, 58, 1545–1548. [Google Scholar] [CrossRef] [PubMed]
- Furukawa, T.; Fukuda, T.; Nagai, K.; Uchida, R.; Tomoda, H. Helvafuranone produced by the fungus Aspergillus nidulans BF0142 isolated from hot spring-derived soil. Nat. Prod. Commun. 2016, 11, 1001–1003. [Google Scholar] [CrossRef]
- Zhang, X.; Zhang, F.-L.; Wu, X.; Ye, K.; Lv, X.; Ai, H.-L.; Liu, J.-K. Bioactive polyketides from the potato endophytic fungus Aspergillus carneus. Nat. Prod. Commun. 2020, 15, 1–5. [Google Scholar] [CrossRef]
- A Schreiner, C. Genetic toxicity of naphthalene: A review. J. Toxicol. Environ. Heal. Part B 2003, 6, 161–183. [Google Scholar] [CrossRef] [PubMed]
- Preuss, R.; Drexler, H. Naphthalene—An environmental and occupational toxicant. Int. Arch. Occup. Environ. Heal. 2003, 76, 556–576. [Google Scholar] [CrossRef] [PubMed]
- Du, L.; Zhu, T.; Liu, H.; Fang, Y.; Zhu, W.; Gu, Q. Cytotoxic polyketides from a marine-derived fungus Aspergillus glaucus. J. Nat. Prod. 2008, 71, 1837–1842. [Google Scholar] [CrossRef]
- Yin, W.-B.; Chooi, Y.H.; Smith, A.R.; Cacho, R.A.; Hu, Y.; White, T.C.; Tang, Y. Discovery of cryptic polyketide metabolites from dermatophytes using heterologous expression in Aspergillus nidulans. ACS Synth. Biol. 2013, 2, 629–634. [Google Scholar] [CrossRef]
- Inokoshi, J.; Shiomi, K.; Masuma, R.; Tanaka, H.; Yamada, H.; Omura, S. ChemInform abstract: Funalenone, a novel collagenase inhibitor produced by Aspergillus Niger. J. Antibiot. 1999, 52, 1095–1100. [Google Scholar] [CrossRef]
- Machrafi, Y.; Prévost, D.; Beauchamp, C.J. Toxicity of phenolic compounds extracted from bark residues of different ages. J. Chem. Ecol. 2006, 32, 2595–2615. [Google Scholar] [CrossRef] [PubMed]
- Lünne, F.; Niehaus, E.-M.; Lipinski, S.; Kunigkeit, J.; Kalinina, S.A.; Humpf, H.-U. Identification of the polyketide synthase PKS7 responsible for the production of lecanoric acid and ethyl lecanorate in Claviceps purpurea. Fungal Genet. Biol. 2020, 145, 103481. [Google Scholar] [CrossRef] [PubMed]
- Bogo, D.; Matos, M.D.C.; Honda, N.K.; Pontes, E.C.; Oguma, P.M.; Santos, E.C.D.; de Carvalho, J.E.; Nomizo, A. In vitro an-titumour activity of orsellinates. Z. Nat. C 2010, 65, 43–48. [Google Scholar] [CrossRef]
- Lee, Y.M.; Li, H.; Hong, J.; Cho, H.Y.; Bae, K.S.; Kim, M.A.; Kim, D.-K.; Jung, J.H. Bioactive metabolites from the sponge-derived fungus Aspergillus versicolor. Arch. Pharmacal Res. 2010, 33, 231–235. [Google Scholar] [CrossRef] [PubMed]
- Flewelling, A.J.; Bishop, A.L.; Johnson, J.A.; Gray, C.A. Polyketides from an endophytic Aspergillus fumigatus Isolate inhibit the growth of Mycobacterium tuberculosis and MRSA. Nat. Prod. Commun. 2015, 10, 1661–1662. [Google Scholar] [CrossRef]
- Neuhaus, G.F.; Adpressa, D.A.; Bruhn, T.; Loesgen, S. Polyketides from marine-derived Aspergillus porosus: Challenges and opportunities for determining absolute configuration. J. Nat. Prod. 2019, 82, 2780–2789. [Google Scholar] [CrossRef]
- Hamasaki, T.; Nagayama, K.; Hatsuda, Y. Two new metabolites, sydonic acid and hydroxysydonic acid, from Aspergillus sydowi. Agri. Biol. Chem. 1978, 42, 37–40. [Google Scholar] [CrossRef]
- Quang, T.H.; Phong, N.V.; Hanh, T.T.H.; Cuong, N.X.; Ngan, N.T.T.; Oh, H.; Nam, N.H.; Minh, C.V. Cytotoxic and im-munomodulatory phenol derivatives from a marine sponge-derived fungus Ascomycota sp. VK12. Nat. Prod. Res. 2021, 35, 5153–5159. [Google Scholar] [CrossRef]
- Tian, Y.-Q.; Lin, S.-T.; Kumaravel, K.; Zhou, H.; Wang, S.-Y.; Liu, Y.-H. Polyketide-derived metabolites from the sponge-derived fungus Aspergillus sp. F40. Phytochem. Lett. 2018, 27, 74–77. [Google Scholar] [CrossRef]
- Hu, J.S.; Li, Z.; Gao, J.Y.; He, H.T.; Dai, H.Q.; Xia, X.K.; Liu, C.H.; Zhang, L.X.; Song, F.H. New diketopiperazines from a ma-rine-derived fungus strain Aspergillus versicolor MF180151. Mar. Drugs 2019, 17, 262. [Google Scholar] [CrossRef]
- Kudo, S.; Murakami, T.; Miyanishi, J.; Tanaka, K.; Takada, N.; Hashimoto, M. Isolation and absolute stereochemistry of op-tically active sydonic acid from Glonium sp. (Hysteriales, Ascomycota). Biosci. Biotechnol. Biochem. 2009, 73, 203–204. [Google Scholar] [CrossRef] [PubMed]
- Wei, M.Y.; Wang, C.Y.; Liu, Q.A.; Shao, C.L.; She, Z.G.; Lin, Y.C. Five sesquiterpenoids from a marine-derived fungus Asper-Gillus sp. isolated from a gorgonian Dichotella gemmacea. Mar. Drugs 2010, 8, 941–949. [Google Scholar] [CrossRef] [PubMed]
- Zhang, Z.; Xiao, B.; Chen, Q.; Lian, X.-Y. Synthesis and biological evaluation of caffeic acid 3,4-dihydroxyphenethyl ester. J. Nat. Prod. 2010, 73, 252–254. [Google Scholar] [CrossRef] [PubMed]
- Lakhani, P.; Patil, A.; Majumdar, S. Challenges in the polyene- and azole-based pharmacotherapy of ocular fungal infections. J. Ocul. Pharmacol. Ther. 2019, 35, 6–22. [Google Scholar] [CrossRef]
- Hanson, F.R.; Eble, T.E. AN antiphage agent isolated from Aspergillus sp. J. Bacteriol. 1949, 58, 527–529. [Google Scholar] [CrossRef]
- Fuchser, J.; Grabley, S.; Noltemeyer, M.; Philipps, S.; Thiericke, R.; Zeeck, A. Secondary metabolites by chemical-screening, 28. Aspinonene, a new multifunctional fungal metabolite. Liebigs Ann. Der Chem. 1994, 8, 831–835. [Google Scholar] [CrossRef]
- Kito, K.; Ookura, R.; Yoshida, S.; Namikoshi, M.; Ooi, T.; Kusumi, T. Pentaketides relating to aspinonene and dihydroaspyrone from a marine-derived fungus, Aspergillus ostianus. J. Nat. Prod. 2007, 70, 2022–2025. [Google Scholar] [CrossRef]
- Ola, A.R.B.; Tawo, B.D.; Belli, H.L.L.; Proksch, P.; Tommy, D.; Hakim, E.H. A new antibacterial polyketide from the endophytic fungi Aspergillus fumigatiaffinis. Nat. Prod. Commun. 2018, 13, 1573–1574. [Google Scholar] [CrossRef]
- Su, S.; Yin, P.; Li, J.; Chen, G.; Wang, Y.; Qu, D.; Li, Z.; Xue, X.; Luo, X.; Li, M. In vitro and in vivo anti-biofilm activity of pyran derivative against Staphylococcus aureus and Pseudomonas aeruginosa. J. Infect. Public Heal. 2019, 13, 791–799. [Google Scholar] [CrossRef]
- McDonald, B.R.; Scheidt, K.A. Pyranone Natural products as inspirations for catalytic reaction discovery and development. Acc. Chem. Res. 2015, 48, 1172–1183. [Google Scholar] [CrossRef]
- Zabala, A.O.; Xu, W.; Chooi, Y.-H.; Tang, Y. Characterization of a silent azaphilone gene cluster from Aspergillus niger ATCC 1015 reveals a hydroxylation-mediated pyran-ring formation. Chem. Biol. 2012, 19, 1049–1059. [Google Scholar] [CrossRef] [PubMed]
- Filho, J.W.G.D.O.; Islam, M.T.; Ali, E.S.; Uddin, S.J.; Santos, J.V.D.O.; de Alencar, M.V.O.B.; Júnior, A.L.G.; Paz, M.F.C.J.; Brito, M.D.R.M.D.; Sousa, J.M.D.C.E.; et al. A comprehensive review on biological properties of citrinin. Food Chem. Toxicol. 2017, 110, 130–141. [Google Scholar] [CrossRef] [PubMed]
- Guy, M.; Mathieu, M.; Anastopoulos, I.P.; Martínez, M.G.; Rousseau, F.; Dotto, G.L.; de Oliveira, H.P.; Lima, E.C.; Thyrel, M.; Larsson, S.H.; et al. Process parameters optimization, characterization, and application of KOH-activated norway spruce bark graphitic biochars for efficient azo dye adsorption. Molecules 2022, 27, 456. [Google Scholar] [CrossRef] [PubMed]
- Song, Z.; Bakeer, W.; Marshall, J.W.; Yakasai, A.A.; Khalid, R.M.; Collemare, J.; Skellam, E.; Tharreau, D.; Lebrun, M.-H.; Lazarus, C.M.; et al. Heterologous expression of the avirulence gene ACE1 from the fungal rice pathogen Magnaporthe oryzae. Chem. Sci. 2015, 6, 4837–4845. [Google Scholar] [CrossRef]
- Grau, M.F.; Entwistle, R.; Chiang, Y.-M.; Ahuja, M.; Oakley, C.E.; Akashi, T.; Wang, C.C.C.; Todd, R.B.; Oakley, B.R. Hybrid transcription factor engineering activates the silent secondary metabolite gene cluster for (+)-asperlin in Aspergillus nidulans. ACS Chem. Biol. 2018, 13, 3193–3205. [Google Scholar] [CrossRef]
- Wang, B.; Li, X.; Yu, D.; Chen, X.; Tabudravu, J.; Deng, H.; Pan, L. Deletion of the epigenetic regulator GcnE in Aspergillus niger FGSC A1279 activates the production of multiple polyketide metabolites. Microbiol. Res. 2018, 217, 101–107. [Google Scholar] [CrossRef]
- Yamazaki, H.; Takahashi, K.; Iwakura, N.; Abe, T.; Akaishi, M.; Chiba, S.; Namikoshi, M.; Uchida, R. A new protein tyrosine phosphatase 1B inhibitory α-pyrone-type polyketide from Okinawan plant-associated Aspergillus sp. TMPU1623. J. Antibiot. 2018, 71, 745–748. [Google Scholar] [CrossRef]
- Siriwardane, A.M.; Kumar, N.S.; Jayasinghe, L.; Fujimoto, Y. Chemical investigation of metabolites produced by an endo-phytic Aspergillus sp. isolated from Limonia acidissima. Nat. Prod. Res. 2015, 29, 1384–1387. [Google Scholar] [CrossRef]
- Monks, T.J.; Jones, D.C. The metabolism and toxicity of quinones, quinonimines, quinone methides, and quinone-thioethers. Curr. Drug Metab. 2002, 3, 425–438. [Google Scholar] [CrossRef]
- Espinosa-Bustos, C.; Vázquez, K.; Varela, J.; Cerecetto, H.; Paulino, M.; Segura, R.; Pizarro, J.; Vera, B.; González, M.; Zarate, A.M.; et al. New aryloxy-quinone derivatives with promising activity on Trypanosoma cruzi. Arch. Pharm. 2019, 353, e1900213. [Google Scholar] [CrossRef]
- Li, J.L.; Jiang, X.; Liu, X.; He, C.; Di, Y.; Lu, S.; Huang, H.; Lin, B.; Wang, D.; Fan, B. Antibacterial anthraquinone dimers from marine derived fungus Aspergillus sp. Fitoterapia 2018, 133, 1–4. [Google Scholar] [CrossRef] [PubMed]
- Malik, E.M.; Müller, C.E. Anthraquinones as pharmacological tools and drugs. Med. Res. Rev. 2016, 36, 705–748. [Google Scholar] [CrossRef]
- Du, L.; Zhu, T.; Fang, Y.; Liu, H.; Gu, Q.; Zhu, W. Aspergiolide A, a novel anthraquinone derivative with naphtho[1,2,3-de]chromene-2,7-dione skeleton isolated from a marine-derived fungus Aspergillus glaucus. Tetrahedron 2007, 63, 1085–1088. [Google Scholar] [CrossRef]
- Du, L.; Ai, J.; Li, D.; Zhu, T.; Wang, Y.; Knauer, M.; Bruhn, T.; Liu, H.; Geng, M.; Gu, Q.; et al. Aspergiolides C and D: Spirocyclic aromatic polyketides with potent protein kinase c-met inhibitory effects. Chem. A Eur. J. 2010, 17, 1319–1326. [Google Scholar] [CrossRef] [PubMed]
- Scherlach, K.; Sarkar, A.; Schroeckh, V.; Dahse, H.-M.; Roth, M.; Brakhage, A.A.; Horn, U.; Hertweck, C. Two Induced fungal polyketide pathways converge into antiproliferative spiroanthrones. Chembiochem 2011, 12, 1836–1839. [Google Scholar] [CrossRef]
- Xie, L.; Tang, H.; Song, J.; Long, J.; Zhang, L.; Li, X. Chrysophanol: A review of its pharmacology, toxicity and pharmacokinetics. J. Pharm. Pharmacol. 2019, 71, 1475–1487. [Google Scholar] [CrossRef]
- Paranjape, S.R.; Chiang, Y.M.; Sanchez, J.F.; Entwistle, R.; Wang, C.C.C.; Oakley, B.R.; Gamblin, T.C. Inhibition of tau ag-gregation by three Aspergillus nidulans secondary metabolites: 2,omega-dihydroxyemodin, asperthecin, and asperbenzal -dehyde. Planta Med. 2014, 80, 77–85. [Google Scholar] [CrossRef]
- Zhang, S.S.; Zhu, A.O.; Bai, X.; Zhu, H.J.; Cao, F. Alkaloids and polyketides from the marine-derived fungus Aspergillus ver-sicolor. Chem. Nat. Compd. 2020, 56, 964–967. [Google Scholar] [CrossRef]
- Frisvad, J.C.; Larsen, T.O. Extrolites of Aspergillus fumigatus and Other Pathogenic Species in Aspergillus section fumigati. Front. Microbiol. 2016, 6, 1485. [Google Scholar] [CrossRef]
- Hayashi, A.; Fujioka, S.; Nukina, M.; Kawano, T.; Shimada, A.; Kimura, Y. Fumiquinones A and B, nematicidal quinones produced by Aspergillus fumigatus. Biosci. Biotechnol. Biochem. 2007, 71, 1697–1702. [Google Scholar] [CrossRef]
- Kong, C.; Huang, H.; Xue, Y.; Liu, Y.; Peng, Q.; Liu, Q.; Xu, Q.; Zhu, Q.; Yin, Y.; Zhou, X.; et al. Heterologous pathway assembly reveals molecular steps of fungal terreic acid biosynthesis. Sci. Rep. 2018, 8, 2116. [Google Scholar] [CrossRef] [PubMed]
- Seshime, Y.; Juvvadi, P.R.; Kitamoto, K.; Ebizuka, Y.; Fujii, I. Identification of csypyrone B1 as the novel product of Aspergillus oryzae type III polyketide synthase CsyB. Bioorganic Med. Chem. 2010, 18, 4542–4546. [Google Scholar] [CrossRef] [PubMed]
- Xu, Z.; Xiong, B.; Xu, J. Chemical investigation of secondary metabolites produced by mangrove endophytic fungus phyl-losticta capitalensis. Nat. Prod. Res. 2021, 35, 1561–1565. [Google Scholar] [CrossRef] [PubMed]
- Marcos, J.; Pozo, J.O. Current LC-MS methods and procedures applied to the identification of new steroid metabolites. J. Steroid Biochem. Mol. Biol. 2016, 162, 41–56. [Google Scholar] [CrossRef] [PubMed]
- Salmi, C.; Brunel, J.M. Therapeutic potential of cationic steroid antibacterials. Expert Opin. Investig. Drugs 2007, 16, 1143–1157. [Google Scholar] [CrossRef]
- Chobot, V.; Opletal, L.; Jahodar, L.; Patel, A.V.; Dacke, C.G.; Blunden, G. Ergosta-4,6,8,22-tetraen-3-one from the edible fungus, Pleurotus ostreatus (oyster fungus). Phytochemistry 1997, 45, 1669–1671. [Google Scholar] [CrossRef]
- Lee, D.Y.; Lee, S.J.; Kwak, H.Y.; Jung, L.K.; Heo, J.; Hong, S.; Kim, G.W.; Baek, N.I. Sterols isolated from nuruk (rhizopus oryzae KSD-815) inhibit the migration of cancer cells. J. Microbiol. Biotechnol. 2009, 19, 1328–1332. [Google Scholar] [CrossRef]
- Salendra, L.; Lin, X.; Chen, W.; Pang, X.; Luo, X.; Long, J.; Liao, S.; Wang, J.; Zhou, X.; Liu, Y.; et al. Cytotoxicity of polyketides and steroids isolated from the sponge-associated fungus Penicillium citrinum SCSIO 41017. Nat. Prod. Res. 2019, 35, 900–908. [Google Scholar] [CrossRef]
- Nazir, M.; Saleem, M.; Tousif, M.I.; Anwar, M.A.; Surup, F.; Ali, I.; Wang, D.; Mamadalieva, N.Z.; Alshammari, E.; Ashour, M.L.; et al. Meroterpenoids: A comprehensive ipdate insight on structural di-versity and biology. Biomolecules 2021, 11, 957. [Google Scholar] [CrossRef]
- Springer, J.P.; Dorner, J.W.; Cole, R.J.; Cox, R.H. Terretonin, a toxic compound from Aspergillus terreus. J. Org. Chem. 1979, 44, 4852–4854. [Google Scholar] [CrossRef]
- König, C.C.; Scherlach, K.; Schroeckh, V.; Horn, F.; Nietzsche, S.; Brakhage, A.A.; Hertweck, C. Bacterium induces cryptic meroterpenoid pathway in the pathogenic fungus Aspergillus fumigatus. Chembiochem 2013, 14, 938–942. [Google Scholar] [CrossRef] [PubMed]
- Hamasaki, T.; Kuwano, H.; Isono, K.; Hatsuda, Y.; Fukuyama, K.; Tsukihara, T.; Katsube, Y. A new metabolite, parasiticolide A, from Aspergillus parasiticus. Agric. Biol. Chem. 2014, 39, 749–751. [Google Scholar] [CrossRef]
- Hu, Z.X.; Sun, W.G.; Li, Q.; Li, X.N.; Zhu, H.C.; Huang, J.F.; Liu, J.J.; Wang, J.P.; Xue, Y.B.; Zhang, Y.H. Spiroaspertrione A, a bridged spirocyclic meroterpenoid, as a potent potentiator of oxacillin against methicillin-resistant staphylococcus aureus from Aspergillus sp. TJ23. J. Org. Chem. 2017, 82, 3125–3131. [Google Scholar] [CrossRef]
- Qiao, Y.; Zhang, X.; He, Y.; Sun, W.; Feng, W.; Liu, J.; Hu, Z.; Xu, Q.; Zhu, H.; Zhang, J.; et al. Aspermerodione, a novel fungal metabolite with an unusual 2,6-dioxabicyclo[2.2.1]heptane skeleton, as an inhibitor of penicillin-binding protein 2a. Sci. Rep. 2018, 8, 5454. [Google Scholar] [CrossRef] [PubMed]
- Yan, T.; Guo, Z.K.; Jiang, R.; Wei, W.; Wang, T.; Guo, Y.; Song, Y.C.; Jiao, R.H.; Tan, R.X.; Ge, H.M. New flavonol and diterpenoids from the endophytic fungus Aspergillus sp. YXf3. Planta Med. 2013, 79, 348–352. [Google Scholar] [CrossRef] [PubMed]
- Hawas, U.W.; El-Beih, A.A.; El-Halawany, A.M. Bioactive anthraquinones from endophytic fungus Aspergillus versicolor iso-lated from red sea algae. Arch. Pharm. Res. 2012, 35, 1749–1756. [Google Scholar] [CrossRef]
- Uchoa, P.K.S.; Pimenta, A.T.A.; Braz-Filho, R.; de Oliveira, M.D.C.F.; Saraiva, N.N.; Rodrigues, B.S.F.; Pfenning, L.H.; Abreu, L.M.; Wilke, D.V.; Florêncio, K.G.D.; et al. New cytotoxic furan from the marine sediment-derived fungi Aspergillus niger. Nat. Prod. Res. 2017, 31, 2599–2603. [Google Scholar] [CrossRef]
- Yoiprommarat, S.; Kongthong, S.; Choowong, W.; Boonyuen, N.; Isaka, M.; Bunyapaiboonsri, T. Xanthones from a lignicolous freshwater fungus (BCC 28210). Nat. Prod. Res. 2019, 34, 1233–1237. [Google Scholar] [CrossRef]
- Wu, Z.-H.; Liu, D.; Xu, Y.; Chen, J.-L.; Lin, W.-H. Antioxidant xanthones and anthraquinones isolated from a marine-derived fungus Aspergillus versicolor. Chin. J. Nat. Med. 2018, 16, 219–224. [Google Scholar] [CrossRef]
- Khattab, A.R.; Farag, M.A. Current status and perspectives of xanthones production using cultured plant biocatalyst models aided by in-silico tools for its optimization. Crit. Rev. Biotechnol. 2020, 40, 415–431. [Google Scholar] [CrossRef]
- Malik, A.; Ardalani, H.; Anam, S.; McNair, L.M.; Kromphardt, K.J.; Frandsen, R.J.N.; Franzyk, H.; Staerk, D.; Kongstad, K.T. Antidiabetic xanthones with α-glucosidase inhibitory activities from an endophytic penicillium canescens. Fitoterapia 2020, 142, 104522. [Google Scholar] [CrossRef] [PubMed]
- Masters, K.-S.; Bräse, S. Xanthones from fungi, lichens, and bacteria: The natural products and their synthesis. Chem. Rev. 2012, 112, 3717–3776. [Google Scholar] [CrossRef] [PubMed]
- Pornpakakul, S.; Liangsakul, J.; Ngamrojanavanich, N.; Roengsumran, S.; Silhanonth, P.; Piapukiew, J.; Sangvichien, E.; Puthong, S.; Petsom, A. Cytotoxic activity of four xanthones from Emericella variecolor, an endophytic fungus isolated from Croton oblongifolius. Arch. Pharm. Res. 2006, 29, 140–144. [Google Scholar] [CrossRef] [PubMed]
- Andersen, R.; Buechi, G.; Kobbe, B.; Demain, A.L. Secalonic acids D and F are toxic metabolites of Aspergillus aculeatus. J. Org. Chem. 1977, 42, 352–353. [Google Scholar] [CrossRef] [PubMed]
- Alberts, A.W.; Chen, J.; Kuron, G.; Hunt, V.; Huff, J.; Hoffman, C.; Rothrock, J.; Lopez, M.; Joshua, H.; Harris, E.; et al. Mevinolin: A highly potent competitive inhibitor of hydroxymethylglutaryl-coenzyme A reductase and a cholesterol-lowering agent. Proc. Natl. Acad. Sci. USA 1980, 77, 3957–3961. [Google Scholar] [CrossRef]
- Tsukamoto, S.; Miura, S.; Yamashita, Y.; Ohta, T. Aspermytin A: A New neurotrophic polyketide isolated from a marine-derived fungus of the genus Aspergillus. Bioorganic Med. Chem. Lett. 2004, 35, 417–420. [Google Scholar] [CrossRef]
- Zhuravleva, O.I.; Afiyatullov, S.S.; Vishchuk, O.M.; Denisenko, V.A.; Slinkina, N.N.; Smetanina, O.F. Decumbenone C, a new cytotoxic decaline derivative from the marine fungus Aspergillus sulphureus KMM 4640. Arch. Pharmacal Res. 2012, 35, 1757–1762. [Google Scholar] [CrossRef]
- Zhuravleva, O.I.; Kirichuk, N.N.; Denisenko, V.A.; Dmitrenok, P.S.; Pivkin, M.V.; Afiyatullov, S.S. New kipukasin from marine isolate of the fungus Aspergillus flavus. Chem. Nat. Compd. 2016, 52, 266–268. [Google Scholar] [CrossRef]
- Petersen, L.M.; Hoeck, C.; Frisvad, J.C.; Gotfredsen, C.H.; Larsen, T.O. Dereplication guided discovery of secondary metabo-lites of mixed biosynthetic origin from Aspergillus aculeatus. Molecules 2014, 19, 10898–10921. [Google Scholar] [CrossRef]
- Jackson, M.; Karwowski, J.P.; Humphrey, P.E.; Kohl, W.L.; Barlow, G.J.; Tanaka, S.K. Calbistrins, novel antifungal agents produced by Penicillium restrictum. I. Production, taxonomy of the producing organism and biological activity. J. Antibiot. 1993, 46, 34–38. [Google Scholar] [CrossRef]
- Fu, Y.; Wu, P.; Xue, J.H.; Wei, X.Y.; Li, H.X. Versicorin, a new lovastatin analogue from the fungus Aspergillus versicolor SC0156. Nat. Prod. Res. 2015, 29, 1363–1368. [Google Scholar] [CrossRef] [PubMed]
- Tsukamoto, S.; Yoshida, T.; Hosono, H.; Ohta, T.; Yokosawa, H. Hexylitaconic acid: A new inhibitor of p53-HDM2 interaction isolated from a marine-derived fungus, Arthrinium sp. Bioorg. Med. Chem. Lett. 2006, 16, 69–71. [Google Scholar] [CrossRef] [PubMed]
- Kaaniche, F.; Hamed, A.; Abdel-Razek, A.S.; Wibberg, D.; Abdissa, N.; El Euch, I.Z.; Allouche, N.; Mellouli, L.; Shaaban, M.; Sewald, N. Bioactive secondary metabolites from new endophytic fungus Curvularia sp. isolated from Rauwolfia macrophylla. PLoS ONE 2019, 14, e0217627. [Google Scholar] [CrossRef] [PubMed]
- Arakawa, M.; Someno, T.; Kawada, M.; Ikeda, D. A New Terrein Glucoside, a Novel Inhibitor of Angiogenin Secretion in Tumor Angiogenesis. J. Antibiot. 2008, 61, 442–448. [Google Scholar] [CrossRef] [PubMed]
- Singh, S.B.; Jayasuriya, H.; Zink, D.L.; Polishook, J.D.; Dombrowski, A.W.; Zweerink, H. Aspercyclide A–C, three novel fungal metabolites from Aspergillus sp. as inhibitors of high-affinity IgE receptor. Tetrahedron Lett. 2004, 45, 7605–7608. [Google Scholar] [CrossRef]
- Xu, Y.Q.; Espinosa-Artiles, P.; Schubert, V.; Xu, Y.M.; Zhang, W.; Lin, M.; Gunatilaka, A.A.L.; Sussmuth, R.; Molnar, I. Char-acterization of the biosynthetic genes for 10,11-dehydrocurvularin, a heat shock response-modulating anticancer fungal polyketide from Aspergillus terreus. Appl. Environ. Microb. 2013, 79, 2038–2047. [Google Scholar] [CrossRef]
- Santagata, S.; Xu, Y.-M.; Wijeratne, E.M.K.; Kontnik, R.; Rooney, C.; Perley, C.C.; Kwon, H.; Clardy, J.; Kesari, S.; Whitesell, L.; et al. Using the heat-shock response to discover anticancer compounds that target protein homeostasis. ACS Chem. Biol. 2011, 7, 340–349. [Google Scholar] [CrossRef]
- Park, H.-S.; Jun, S.-C.; Han, K.-H.; Hong, S.-B.; Yu, J.-H. Diversity, application, and synthetic biology of industrially important Aspergillus fungi. Adv. Appl. Microbiol. 2017, 100, 161–202. [Google Scholar] [CrossRef]
- Pfannenstiel, B.T.; Greco, C.; Sukowaty, A.T.; Keller, N.P. The epigenetic reader SntB regulates secondary metabolism, de-velopment and global histone modifications in Aspergillus flavus. Fung. Genet. Biol. 2018, 120, 9–18. [Google Scholar] [CrossRef]
- Tang, S.; Zhang, W.; Li, Z.; Li, H.; Geng, C.; Huang, X.; Lu, X. Discovery and characterization of a PKS–NRPS hybrid in Aspergillus terreus by genome mining. J. Nat. Prod. 2020, 83, 473–480. [Google Scholar] [CrossRef]
Disclaimer/Publisher’s Note: The statements, opinions and data contained in all publications are solely those of the individual author(s) and contributor(s) and not of MDPI and/or the editor(s). MDPI and/or the editor(s) disclaim responsibility for any injury to people or property resulting from any ideas, methods, instructions or products referred to in the content. |
© 2023 by the authors. Licensee MDPI, Basel, Switzerland. This article is an open access article distributed under the terms and conditions of the Creative Commons Attribution (CC BY) license (https://creativecommons.org/licenses/by/4.0/).























