Next Article in Journal
Nutraceuticals as Potential Targets for the Development of a Functional Beverage for Improving Sleep Quality
Next Article in Special Issue
Effect of Production Technique on Pilsner-Style Non-Alcoholic Beer (NAB) Chemistry and Flavor
Previous Article in Journal
Indirect Nuclear Magnetic Resonance (NMR) Spectroscopic Determination of Acrylamide in Coffee Using Partial Least Squares (PLS) Regression
 
 
Font Type:
Arial Georgia Verdana
Font Size:
Aa Aa Aa
Line Spacing:
Column Width:
Background:
Article

Dysphagia-Related Health Information Improved Consumer Acceptability of Thickened Beverages

1
Department of Food Science and Nutrition & Kimchi Research Institute, Pusan National University, Busan 46241, Korea
2
Department of Rehabilitation and Medicine, Pusan National University Hospital, Busan 49241, Korea
*
Author to whom correspondence should be addressed.
Beverages 2021, 7(2), 32; https://doi.org/10.3390/beverages7020032
Submission received: 1 May 2021 / Revised: 23 May 2021 / Accepted: 28 May 2021 / Published: 2 June 2021
(This article belongs to the Special Issue Featured Papers in Non-Alcoholic Beverages Section)

Abstract

Most people tend to think that healthy foods do not taste good. This view could have a negative impact on the taste of the food that people eat for health. However, if health-related information is provided to avoid negative aspects, acceptability may improve. Thus, this study investigated changes in consumers’ sensory perception of thickened beverages before and after the provision of dysphagia-related health information. Sixty young (19–39 years old) and middle-aged (40–64 years old) consumers participated in two experiment sessions conducted one week apart. The first session proceeded without any information and the second provided information about dysphagia and the need for dietary modification before evaluation. Three beverages (orange juice, red bean water, and sports drink) were used in nectar-like (51–350 cP) and honey-like (351–1750 cP) forms; original beverage samples (0%) were used as the control. Consumers were asked about acceptability, liking the flavor, intensity, and general health interest (GHI). An analysis of variance was performed to show the change in flavor rating and acceptability between the two sessions. Although there were age-related differences in response to the samples, thickened beverages were rated as more acceptable, in terms of their characteristics (swallowing, viscosity, and mouthfeel) after the information was provided. There were no significant differences for the 0% samples. The mean GHI values were 3.97 ± 0.85 and 4.81 ± 0.68 for the young and middle-aged groups, respectively. High and low GHI groups were analyzed. The high GHI group showed significant differences in acceptability in the informed evaluation, whereas the low GHI group was not influenced by the information.

1. Introduction

The importance of health to individuals and society is increasing [1]. However, functional foods that promote health may be accompanied by an unpleasant taste, and health information may influence other product-related expectations that indicate a negative impact on taste [2,3,4,5]. Tuorila et al. mentioned that people often feel that sensory pleasure must be sacrificed in order to achieve the goal of a healthy diet [5]. When people consume a product, both the intrinsic sensory attributes and extrinsic factors play an important role in the choice probability and liking of products [6]. When extrinsic information is provided, the new information is used in relation to the person’s previous experience and influences the consumption of the food [7,8]. Many studies have been conducted on the effects of extrinsic factors [3,9,10,11,12,13,14,15,16,17,18] and examined how the changes in consumer preference depend on extrinsic factors, such as product packaging and nutrition labeling. However, there is a lack of research on how taste and flavor perceptions are changed when information is provided about the disease and health implication of modified dietary form.
The percentage of elderly people is growing rapidly [19]. As the average life span of people is now longer, people are more likely to be exposed to diseases. In particular, many elderly people suffer from degenerative diseases and undernutrition that contribute to negative health consequences [20,21]. Dysphagia is the term for difficulties or discomfort of passing, occurring when consuming liquid or solid foods from the mouth to the stomach. It is caused by brain damage, stroke, cancer, neurological disorders, and structural diseases of the oral cavity, pharynx, and esophagus [22,23,24,25]. In addition to aspiration pneumonia and respiratory problems, malnutrition, chest infections, and mortality may occur [26,27]. Therefore, the diet of patients with dysphagia needs special attention; in particular, dietary modifications may be required. One method to assist swallowing is to increase the viscosity of the liquid to slow the movement of foodstuffs, causing them to move slowly when passing through the pharynx. Alternatively, optimization of the foodstuff through modification of attributes, such as temperature, taste, texture, and size, can be used to make food safer for the elderly [23,25,27,28,29,30,31,32]. Although the consumption of watery fluid presents the most danger to the patient [33,34], hydration is essential.
Dysphagia is a disease in which the physical properties and viscosity of the diet are important [29]. Therefore, the provision of information on the disease and the necessity of dietary modification to patients is considered to be a good indicator of change in consumers’ perception and cognition. However, the modified texture of foodstuffs can easily reduce people’s preferences [35]. People perceived thickened beverages as unappetizing and evoking unpleasant associations even before their first consumption [36]. However, as increased viscosity is a necessary food characteristic for patients with dysphagia; thus, the study of how disease-related information or the knowledge of direct implications with respect to health affects peoples’ perception of thickened beverages is required. Although dysphagia-diagnosed patients would be direct consumers of thickened beverages, each patient with dysphagia should consume a drink with a viscosity diagnosed by a doctor according to the severity of swallowing. Thus, testing various viscosity levels with patients would be dangerous. There is also a lack of research on how information provision affects people’s preference using general health interest (GHI) [37], which is an index of a person’s health concerns.
Therefore, the aims of this study were to determine the influence of the provision of dysphagia information on the consumer acceptability of thickened beverages and to investigate if there were differences in the changes in acceptability between age groups and their GHI.

2. Materials and Methods

2.1. Sample Ingredients

2.1.1. Thickeners

Three hydrocolloid ingredients were used to enhance the viscosity of the test samples: xanthan gum (MSC Co., Yangsan, Korea), guar gum (Nam Yung Commercial Co., Seoul, Korea), and modified starch (NATIONAL 77-1760, Ingredion, Seoul, Korea). Xanthan gum has synergistic effect with galactomannan [38]. Of the different types of galactomannan, guar gum was used to improve the viscosity stability. In addition, modified starch is already widely used in foods designed for patients with difficulty swallowing. This starch is resistant to harsh process conditions, such as acid, and tolerates cold and hot water well.

2.1.2. Beverages

Commercially available red bean water, orange juice, and a sports drink were chosen. Red bean water contains many compounds beneficial for the body. Red bean water is known to be a healthy drink with antioxidant [39], anti-inflammatory [40], and antitumor [41] effects and improved lipid metabolism [42]. It is red and has a goso (nutty) flavor, originating from the red beans that may mask the starchy off flavor from thickening ingredients and potentially decrease repulsion to the beverages. Orange juice is the most common fruit juice and was selected as it was the beverage with the highest retail sales [43]. A sports drink was selected owing to the water and mineral content. Red bean water was provided from cold storage. The orange juice and sports drink were distributed without refrigeration.

2.2. Sample Preparation

Thickened beverages were prepared by using xanthan gum, modified starch, and guar gum. Three viscosity levels following classification of National Dysphagia Diet Task Force (2002) [44] were used in this study: nectar-like samples (51–350 cP), honey-like samples (351–1750 cP), and thin samples (the original beverage sample) used as the control (1–50 cP). The viscosity of samples is shown in Table 1. First, we weighed the thickening powder and liquid in proportions. Next, the liquid was poured into a 1 L beaker (Pyrex, Corning Incorporated, New York, NY, USA) and placed on a stirrer (MSH-20D, Daihan, Wonju, Korea). We then placed a 6 cm magnetic bar (Daihan, Wonju, Korea) into the beaker. To prevent the powder from lumping, it was added while the liquid was being stirred, and then mixed for 5 min. The mixture was left to set for 5 min to stabilize the viscosity. The samples were stored in a refrigerator and used within 24 h. Before the sample was supplied, the magnetic bar was put in the beaker and stirred for 1 min. The viscosity was measured after refrigeration to ensure the samples were within the ranges designated.

2.3. Participants

The experiment contained a total of 120 participants: participants between 19 and 39 years of age were classified as the youth group, and participants between 40 and 64 years of age were classified as the middle-aged group. As this study was a food-based study, consumers who had any food-related allergies (especially fruits, soybean, and seaweed) and those sensitive to caffeine (e.g., arrhythmia or anxiety due to caffeine ingestion), or pregnant woman were excluded from participation. In particular, those who suffer from difficulties in eating or swallowing were excluded for safety reasons [46]. Although older adults have been tested for their hedonic response for intended foods [21,47], the acceptability of thickened beverages cannot be tested on patients with dysphagia without diagnosis by a doctor. This study was reviewed and approved by the Institutional Review Board at Pusan National University (PNU IRB/2017_135_HR). Before the first session of the experiment and after a full explanation of the study, all participants voluntarily signed the consent form.

2.4. Questionnaires

In the questionnaires for evaluating thickened beverages, acceptability and general health interest were used. For preference, subjects were asked about the overall acceptability and liking of appearance, flavor, swallowing, viscosity, and mouthfeel. Acceptability was measured using the 9-point hedonic scale (1 = “extremely dislike”, 9 = “extremely like”). The same questionnaire was used to investigate whether preference was affected before and after the provision of dysphagia-related information.
The general health interest (GHI) questionnaire [37] was utilized to determine participants’ individual health attitudes. The degree of health interest was determined by the GHI score and divided into a high GHI and low GHI group. This study was conducted to examine whether the provision of information affects overall acceptability according to health interest.

2.5. Consumer Tests

2.5.1. Laboratory Experiment

Participants were asked to come to the sensory laboratory where individual booths were set up. Two visits separated by a 1-week interval, were used to evaluate the acceptability of dysphagia beverages with and without the provision of information on dysphagia.

2.5.2. Uninformed Evaluation

At the first visit, the evaluation of the thickened beverage was conducted without any information being provided. Participants tasted and evaluated nine samples that were presented following a 3 × 3 William Latin Square design [48] for each beverage type and the serving order of each beverage type was also balanced. All samples were labeled with three-digit random numbers. Then, 30 mL of each sample was served in 60 mL transparent disposable plastic cups. The serving temperature was 8 °C–10 °C. Each sample was provided at 5 min intervals and the total evaluation time did not exceed 1 h. Bottled water (500 mL Samdasoo, Kwang Dong Pharmaceutical Co., Seoul, Korea) and Crich crackers (−30% di sale rispetto alla media dei crackers più venduti, Nuova Industria Biscotti Crich S.p.a Zenson di Piave, Italy) were provided to allow subjects to rinse their mouth between samples. The overall acceptability of the thickened beverage sample, and the liking of appearance, flavor, ease of swallowing, viscosity, and mouth feeling were rated using a 9-point hedonic scale. A 6-point scale (“0” meaning not at all, “1” meaning very weak, and “5” meaning very strong) was used to measure the intensity of perceived viscosity, starch flavor, and characteristics of each beverage, such as cloudiness and goso (nutty) flavor for red bean water, orange flavor and sourness for orange juice, and cloudiness and overall flavor for the sports drink.
After the evaluation was completed, the GHI [37] was asked, which consisted of eight questions on attitudes related to healthfulness. It was used as an index to measure participants’ perception and attitude to the relationship between food and health when they were selecting food. Consumers were provided an additional questionnaire (such as gender, age, the most important factors when purchasing food products, experience with thickened beverages, and knowledge of dysphagia) to determine their demographic information and their knowledge about thickened beverages and dysphagia.

2.5.3. Informed Evaluation

For the second visit, we provided consumers with information on what “dysphagia” was, how dangerous it could be, and why patients with dysphagia require thickened beverages to prevent aspiration. The testing was conducted in the same manner as the uninformed session with respect to samples (served in different balanced order), experimental methods, and processes. The information on dysphagia was provided as printed materials from the leaflets published by the Rehabilitation Medicine department of Pusan National University Hospital. The contents of the leaflet include general definitions of dysphagia, causative diseases, symptoms, diagnosis, and dietary modifications. To ensure consumers were informed about dysphagia, a brief verbal explanation about swallowing difficulty was also included. Then, the consumers started the evaluation. After the nine beverages were evaluated in the same way as in the uninformed session, additional evaluation sheets were distributed to examine whether the perception and knowledge of thickened beverages had changed and to compare the understanding of the need for increased viscosity compared with the uninformed evaluation.

2.6. Data Analysis

An analysis of variance (ANOVA) was conducted to compare the overall liking and liking of other attributes before and after the information was provided about swallowing disorders to determine any significant differences by age classification. Where significant difference was found, Fisher’s least significant difference (LSD) was used as multiple comparison of the means. For each sample, independent student’s t-tests were run to check whether there was a difference in acceptability between the two sessions (α = 0.05). In addition, ANOVA was used to see how preferences change with the GHI value. Principal component analysis (PCA) was conducted to investigate changes in preference and the intensity of other characteristics before and after the provision of information on dysphagia. Eight statements about GHI that consumers answered were averaged. Since four of the eight questions were negative statements, the scores were converted before the analysis. The Cronbach’s alpha was calculated to assess the internal consistency of the GHI statements. A Cronbach’s alpha value of 0.8 to 0.9 is considered to be very reliable, and a value of 0.7 or more is considered desirable [49,50]. All statistical analyses were computed by using SAS® software 9.4 (SAS Institute Inc., Cary, NC, USA).

3. Results

3.1. Consumers’ Demographic Information

The demographic information of each group is shown in Table 2. The youth group consisted of 31 (51.7%) males and 29 (48.3%) females. There were 50 (83.3%) participants between 19 and 25 years of age, 9 (15.0%) participants between 26 and 35 years of age, and 1 (1.7%) participant between 36 and 40 years of age. Most participants in the youth group were students. The middle-aged group consisted of 3 (5.0%) males and 57 (95.0%) females. The higher proportion of female participants in the middle-aged group was because the recruitment of consumers was mostly conducted through apartment announcements and testing was conducted during the daytime; people who responded to the posting were mostly housewives who were available to participate. There were 25 (41.6%) participants between 40 and 45 years of age, 22 (36.6%) participants between 46 and 55 years of age, and 13 (21.6%) participants between 56 and 64 years of age. In both groups, the percentage of people who had never experienced thickened beverages was generally high. When asked if they knew about difficulty of swallowing (dysphagia), 51 (85.0%) participants in both groups answered that they did not know.
Flavor was most commonly chosen as an important factor in selecting a product (n = 59, 98.3% in youth group; n = 49, 81.7% in middle-aged group). In the youth group, 54 (90.0%) participants selected the price; this was probably because most of the participants between 20 and 29 years of age were students and needed to consider affordability. Middle-aged participants were most influenced by nutritional information (n = 37, 61.7%), followed by country of origin (n = 33, 55%), organic product (n = 27, 45%), and functionality (n = 24, 40%). The factors of nutrition information, origin, functionality, organic product, and brand were selected by a higher proportion of participants than in the youth group. This may be because they were actively engaged in food purchasing and, as they age, information about the nature of the product, as well as the flavor, becomes more important [51].

3.2. Effect of Dysphagia Information on Thickened Beverage Acceptance

The change in the mean overall acceptability before and after the provision of health information in the youth and middle-aged groups is shown in Table 3. For orange juice (OJ), there was no significant change in overall liking for either viscosity range. However, overall liking of red bean water (RBW) nectar and honey increased significantly from 4.0 to 4.9 and from 3.4 to 4.0, respectively, for the youth group. A significant increase in overall liking was shown for nectar and honey viscosity of the sport drink. In contrast, the overall liking of RBW and SPD 0% was not significantly different. Both nectar and honey viscosity-thickened OJ samples received a slightly higher score than those of other drinks of the same viscosity range. This could be because there are familiar products, such as drinkable jelly, with orange flavor in the market. Additionally, the flavor of OJ could have masked the starchy flavor imparted from thickening ingredients to a greater extent than that of RBW and SPD.
For the middle-aged group, after providing information, the overall liking and all scores of other characteristics in OJ and SPD 0% tended to be lowered than the uninformed evaluation, but the difference was not significant. However, the overall liking of OJ nectar increased from 4.6 to 5.2, that of RBW nectar increased from 4.0 to 4.6, and that of SPD nectar increased from 4.0 to 4.6; all these changes were statistically significant. As participants were informed about the watery texture being not safe for patients with dysphagia to swallow, this may have influenced the middle-aged consumers’ acceptability of thickened beverages. However, among the samples with honey-like thickness, only RBW honey increased significantly from 3.3 to 4.1.

3.3. Effect of Dysphagia Information on Acceptance of Other Characteristics

3.3.1. Appearance and Flavor

In youth group, there were no significant differences in the appearance and flavor acceptability of OJ, but there was a significant increase in liking RBW honey appearance from 4.3 to 4.7 when information on dysphagia was provided. For RBW flavor liking, the mean for nectar viscosity increased significantly from 5.2 to 5.6 and for honey viscosity it increased from 4.9 to 5.4. In SPD, appearance liking increased significantly in all viscosity ranges (Table 3). Once the consumer learned the importance of hydration in elderly people with swallowing difficulties, they might have considered the sports drink to be a good source of hydration, as it was designed for rehydration during or after exercise [52].
For the middle-aged group, the appearance and flavor liking showed a slight increase in the score across samples; however, the increments were only significant in RBW samples. RBW nectar increased from 4.5 to 4.9, and RBW honey increased significantly from 4.3 to 4.8 with dysphagia information provided.

3.3.2. Swallowing

As shown in Table 3, the acceptance of swallowing may be important in patients with dysphagia. The acceptability of swallowing the control samples of OJ, RBW, and SPD (0% thickener added) was not significantly different. However, it increased from 3.4 to 5.0 in OJ nectar, from 4.2 to 4.8 in RBW nectar, and from 4.0 to 4.9 in SPD nectar, and from 3.1 to 3.7 in RBW honey and from 2.4 to 3.5 in SPD honey, which suggested that the provision of information increased the acceptability of swallowing of the thickened beverages in the youth group.
In the middle-aged group, there was no significant difference in the acceptability of swallowing in all 0% control samples (OJ, RBW, and SPD), whereas all nectar-like and honey-like viscosity samples were significantly more acceptable after the provision of information. Increases from 4.6 to 5.2 and from 3.9 to 4.1 were observed for the OJ nectar and OJ honey, respectively, from 4.4 to 5.3 and from 3.3 to 4.2 for the RBW nectar and RBW honey, respectively, and from 4.0 to 5.0 and 3.1 to 3.8 for the SPD nectar and SPD, respectively. Thus, the acceptability of swallowing of viscosity-enhanced beverages was influenced by the provision of dysphagia information to middle-aged consumers.

3.3.3. Viscosity and Mouthfeel Acceptability

The viscosity and mouthfeel of all 0% samples received the highest acceptability score and as the viscosity increased to nectar and then honey, the score decreased in youth group. This was probably because the viscosity of the 0% samples was familiar from products available on the market, and, in an open-ended question, consumers answered that viscosity did not help relieve thirst. However, after reading about the need for modified-texture beverages, there was a change in acceptance. In the viscosity acceptability, OJ nectar increased significantly from 4.0 to 4.7, RBW nectar increased significantly from 3.9 to 4.5, and SPD nectar increased significantly from 3.3 to 4.7. Similarly, in the honey range, where the viscosity was the highest, viscosity acceptability increased significantly for RBW from 2.7 to 3.4 and for SPD from 2.1 to 3.2. Despite this increase, honey samples were still rated as “disliked moderately”.
In the middle-aged group, after the provision of the information, the acceptance of viscosity and mouthfeel for OJ and SPD 0% were lower than their initial evaluation, but the decrease was not significant. However, in the thickened samples, acceptability for both characteristics were rated as significantly improved. The viscosity acceptability of OJ nectar increased from 4.0 to 4.9 and that of OJ honey increased from 3.2 to 3.9. The viscosity acceptability of RBW nectar increased from 4.0 to 5.0 and that of RBW honey increased from 3.1 to 4.1. The viscosity acceptability of viscosity of SPD nectar increased from 3.7 to 4.9 and that of SPD honey increased from 2.9 to 3.7. For mouthfeel acceptability, there were significant increases in the nectar range of samples as well as in the honey range of samples similar to the viscosity characteristic score.

3.4. Influence of Flavor and Intensity Characteristics on Preferences before and after Information Provision

Principal component analysis (PCA) was performed to investigate the effect of flavor characteristics and intensity on the preference before and after information provision (Figure 1). Most of the data variance was explained by PC1 (94.38%) indicating viscosity was the most important factor influencing overall liking. As the intensity of viscosity was increased, viscosity acceptability decreased. Generally, 0% samples showed little change before and after information provision. In contrast, there were positive acceptability change for thickened beverages (nectar and honey range).

3.5. General Health Interest (GHI)

In the youth group, participants scored an average of 3.97 ± 0.85 for the eight statements about GHI. The internal consistency, as expressed by Cronbach’s alpha, was 0.83. In the middle-aged group, the average GHI value was 4.81 ± 0.68 and Cronbach’s alpha was 0.82.

Effect of GHI and Acceptability by Age Groups

Youth Group
Using the GHI average value of youth group, the participants were divided into high and low GHI groups. Participants with a higher GHI value than their group average were classified into the high GHI group and the participants with a GHI value lower than the average score were classified into the low GHI group. In total, 35 participants were in the high GHI group and 25 participants were in the low GHI group. In Figure 2, the changes in the acceptability for the high (Figure 2a) GHI and low (Figure 2b) GHI groups in the pre- and post-information experiments are shown. There were no significant changes in the low GHI group. However, in the high GHI group, the acceptance of the RBW and SPD samples in the nectar and honey range was significantly higher after the information was provided.
Middle-Aged Group
As described in Youth Group, the middle-aged group was divided into high and low GHI groups. There were 32 participants in the high GHI group and 28 participants in the low GHI group. The middle-aged group did not show any significant difference in all samples before and after information provision in the low GHI group (Figure 3b). In contrast, in the high GHI group, significant differences were observed for all nectar-like samples (Figure 3a). Acceptability of the honey-like samples was also increased after the information was provided, but no significance change occurred.
Acceptability Changes by GHI Level of All Consumers
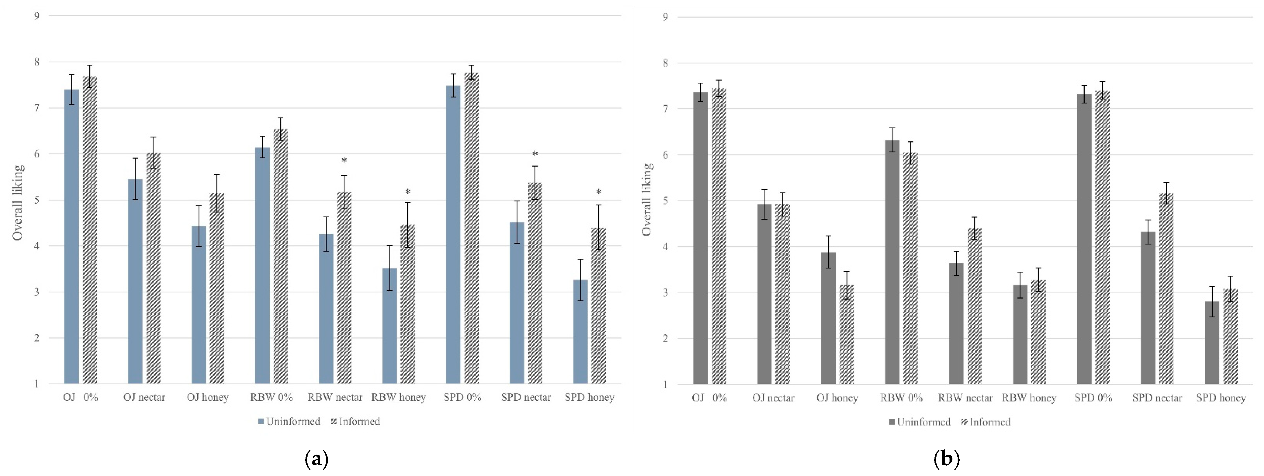
The mean value of GHI was determined for all 120 participants. The average GHI of all consumers was 4.39 ± 0.87; 66 participants had a higher GHI than the mean, and 54 participants had a lower GHI. The pre- and post-information acceptability in the low GHI group is shown in Figure 4b. A significant increase in acceptability after the provision of information was only found for the RBW nectar. In contrast, in the high GHI group, significant increases were found for OJ nectar and honey, RBW 0%, nectar, and honey, and SPD nectar and honey samples (Figure 4a). People who were more interested in health were influenced significantly by information provision.

4. Discussion

To determine whether health information influenced consumer acceptability, thickened beverages were evaluated. Viscosity is a very important characteristic of the diet of patients with dysphagia, but it may easily lead to lower acceptance [23,53,54], and consumers were able to differentiate viscosity when tactile evaluation was used [45]. We used viscosity-enhanced beverages to determine if consumers’ acceptability was affected by the provision of information regarding dysphagia that they were not previously aware of.

4.1. The Influence of Information Provision on Consumer Acceptability

There are many factors that can affect people’s preference. In particular, external and internal information can influence people’s choices [6]. There have been studies on packaging and labeling in extrinsic information [3,10,11,14,55]. In addition, many previous studies [5,15,16,18,56,57] investigated whether specific product related health information had an effect on liking, taste, and flavor perception. Unlike other studies, the current study provided specific information about dysphagia and the need for increased viscosity beverages, rather than information on the product itself.
The overall acceptability of thickened beverages generally increased after the provision of information (Table 3). The 0% beverages received a higher score than other samples because they were the most familiar to consumers owing to their viscosity states. For the nectar- and honey-like samples, the degree of acceptability before information provision was very low, between dislike moderately (score 3) and dislike slightly (score 4). These results agreed with previous research in which consumers gave a liking score between 3.8 and 4.8 for thickened milk and apple juice products [58]. However, the acceptability after the provision of information on dysphagia increased significantly for the increased viscosity beverages. These results are contrary to the study [59] that found that providing information does not affect the overall liking and healthier food choices. The overall acceptability of OJ was not significantly changed in the youth group, probably because the acceptability was already similar to OJ without viscosity modulation. As fruit-flavored water jelly products (such as orange, apple, peach, and grape jelly) are sold in the Korean market, this may have contributed to a lower rejection of OJ with viscosity. The information provision had little effect on the 0% samples, whereas slight acceptability changes were found for thickened beverage samples in this study. Similarly, consumer acceptability was only significantly different in the least-liked sample with information provision including name, nutritional information, picture of raw material, and stories related to samples [17]. In our study, participants perceived the flavor of thickened beverages less as the viscosity was higher. This was consistent with the results of other studies [19,23,29,31,35,60] that showed that flavor intensity was decreased as viscosity increased. In addition, the degree of acceptability of viscosity, swallowing, and mouthfeel were affected by the provision of information, a similar trend as the overall acceptability scores. However, in a pilot study, texture was the primary palatability determinant of thickened juice with gum-based agents; however, it was taste when evaluated blind for appearance [61]. Although the primary objective of thickened beverage is to provide safe hydration, viscosity was the least-associated factor of thirst quenching along with sweetness [62]. This study [62] evaluated eight commercial beverage products, and also included orange juice and an isotonic drink. They found that acid was most related to thirst quenching. Thus, OJ was rated as better at thirst quenching. However, as a result of this study, when the viscosity of orange juice increased, the mean values of mouthfeel and ease of swallowing decreased.

4.2. General Health Interest (GHI)

The GHI [37] is a questionnaire that uses the 7-point scale to ask consumers how much they are interested in health. And GHI score could be used as one of the consumer characteristics and to divide consumers into groups [63]. In this experiment, the GHI value of the youth group was lower than that of the middle-aged group, which was similar results to that of previous study [37]. Similarly, in demographic information, the middle-aged group selected more health-related factors, such as nutrition information, origin, materials, and functionality, than the youth group. This was supportive of the high GHI of the middle-aged group. A previous study [64] also mentioned that older participants were more interested in health. In addition, Cronbach’s alpha for the internal reliability of each factor was similar to the previous research [37] result of 0.89, as the values were 0.83 for the youth group and 0.82 for the middle-aged group. In this experiment, we found a difference in the changes in acceptability between the low and high GHI groups after information provision. In the study where organic and origin information was tested, Korean consumers with high GHI selected information as an important factor in purchase decisions more than those with low GHI [7]. Additionally, people who gave a higher GHI rating also gave a higher rating for the acceptability of liked berries and for less-liked berries compared to the lower GHI group [63]. These results indicate that people with high GHI prioritize health over taste. In contrast, GHI had little effect on taste perception and buying intention. Health labels could be warning sign for consumers who are more worried about the good taste of product than health benefits [3]. Additionally, GHI was not significant for the likelihood of consumption of juice containing KCl, which induced an off flavor but was presented with specific health claims of improving exercise endurance, mental alertness, and emotional well-being [5]. However, in our study, the aim of the thickened beverages was to reduce risk for patients with dysphagia rather than providing added health benefit; thus, GHI may positively affected consumers’ response to health claims for reducing risk.

5. Conclusions

This study examined thickened beverages aimed at patients with dysphagia to determine if information provision affected consumer acceptability of the beverage. The provision of information on dysphagia affected the preference of beverages with increased viscosity. It was also found that swallowing, viscosity, and taste of mouthfeel were also affected. The mean value of GHI was higher with increased age range and it was divided into high and low GHI groups accordingly; in these groups, the degree of preference was also different. People with higher GHI were influenced by the health information and the preference of thickened beverages increased in informed evaluation.
In order to examine changes in people’s acceptability according to the provision of health information, this study was conducted using dysphagia diet, which accompanies dietary modification to reduce risk. Although testing directly with patients is not possible, these results can serve as a good indicator for dietary development for patients with dysphagia. The suitability of samples to replenish the patient’s water supply and to ensure long-term use could also be considered. In addition, the acceptability tests should be extended to the patient experiments and used to judge the suitability of other types of beverages, liquid diets, and solid diets for patients with dysphagia. However, testing involving dysphagia patients should be carefully carried out under supervision of medical supporters.
In this experiment, there is another limitation making the generalization of our findings difficult. The proportion of women in the middle-aged group was very high compared to men. Therefore, in the future, it is necessary to consider the ratio of sex in each group.

Author Contributions

Conceptualization, J.-H.L., J.-A.Y. and M.-J.S.; methodology, J.-H.L., M.-J.S., J.-A.Y. and S.-H.K..; validation, S.-H.K., M.-J.S. and J.-A.Y.; formal analysis, J.-H.A.; investigation, J.-H.A. and S.-H.K.; resources, J.-A.Y.; writing—original draft preparation, J.-H.A.; writing—review and editing, J.-H.L.; visualization, J.-H.A.; supervision, J.-H.L., J.-A.Y. and M.-J.S.; project administration, S.-H.K.; funding acquisition, J.-A.Y. All authors have read and agreed to the published version of the manuscript.

Funding

This research received no external funding.

Institutional Review Board Statement

The study was conducted according to the guidelines of the Declaration of Helsinki, and approved by the Institutional Review Board of Pusan National University (protocol code PNU IRB/2017_135_HR and date of approval 20 December 2017).

Informed Consent Statement

Informed consent was obtained from all subjects involved in the study.

Acknowledgments

This work was supported by Convergence Medical Institute of Technology R&D project (CMIT2017-14), Pusan National University Hospital.

Conflicts of Interest

The authors declare no conflict of interest.

References

  1. Goetzke, B.; Nitzko, S.; Spiller, A. Consumption of organic and functional food. A matter of well-being and health? Appetite 2014, 77, 96–105. [Google Scholar] [CrossRef] [PubMed]
  2. Lähteenmäki, L. Claiming health in food products. Food Qual. Prefer. 2013, 27, 196–201. [Google Scholar] [CrossRef]
  3. Liem, D.; Aydin, N.T.; Zandstra, E. Effects of health labels on expected and actual taste perception of soup. Food Qual. Prefer. 2012, 25, 192–197. [Google Scholar] [CrossRef]
  4. Reineccius, G.A. Flavoring systems for functional foods. In Essentials of Functional Foods; Schmidle, M.K., Labuza, T.P., Eds.; Aspen Publishers: Gaithersburg, MD, USA, 2000; pp. 89–95. [Google Scholar]
  5. Tuorila, H.; Cardello, A.V. Consumer responses to an off-flavor in juice in the presence of specific health claims. Food Qual. Prefer. 2002, 13, 561–569. [Google Scholar] [CrossRef]
  6. Menichelli, E.; Olsen, N.V.; Meyer, C.; Næs, T. Combining extrinsic and intrinsic information in consumer acceptance studies. Food Qual. Prefer. 2012, 23, 148–159. [Google Scholar] [CrossRef]
  7. Ha, C.-H.; Lee, S.M.; Lee, E.-K.; Kim, K.-O. Effect of flour information (origin and organic) and consumer attitude to health and natural product on bread acceptability of Korean consumers. J. Sens. Stud. 2017, 32, e12281. [Google Scholar] [CrossRef]
  8. Piqueras-Fiszman, B.; Spence, C. Sensory expectations based on product-extrinsic food cues: An interdisciplinary review of the empirical evidence and theoretical accounts. Food Qual. Prefer. 2015, 40, 165–179. [Google Scholar] [CrossRef]
  9. Jantzi, H.; Hayward, L.; Barton, A.; Richardson, C.D.; McSweeney, M.B. Investigating the effect of extrinsic cues on consumers’ evaluation of red wine using a projective mapping task. J. Sens. Stud. 2020, 35. [Google Scholar] [CrossRef]
  10. Choi, Y.; Lee, J. The effect of extrinsic cues on consumer perception: A study using milk tea products. Food Qual. Prefer. 2019, 71, 343–353. [Google Scholar] [CrossRef]
  11. Imm, B.-Y.; Lee, J.H.; Lee, S.H. Effects of sensory labels on taste acceptance of commercial food products. Food Qual. Prefer. 2012, 25, 135–139. [Google Scholar] [CrossRef]
  12. Laureati, M.; Jabes, D.; Russo, V.; Pagliarini, E. Sustainability and organic production: How information influences consumer’s expectation and preference for yogurt. Food Qual. Prefer. 2013, 30, 1–8. [Google Scholar] [CrossRef]
  13. Miklavec, K.; Pravst, I.; Grunert, K.G.; Klopčič, M.; Pohar, J. The influence of health claims and nutritional composition on consumers’ yoghurt preferences. Food Qual. Prefer. 2015, 43, 26–33. [Google Scholar] [CrossRef]
  14. Mueller, S.; Szolnoki, G. The relative influence of packaging, labelling, branding and sensory attributes on liking and purchase intent: Consumers differ in their responsiveness. Food Qual. Prefer. 2010, 21, 774–783. [Google Scholar] [CrossRef]
  15. Pinto, V.R.A.; Freitas, T.B.D.O.; Dantas, M.I.D.S.; Della Lucia, S.M.; Melo, L.F.; Minim, V.; Bressan, J. Influence of package and health-related claims on perception and sensory acceptability of snack bars. Food Res. Int. 2017, 101, 103–113. [Google Scholar] [CrossRef]
  16. Roosen, J.; Marette, S.; Blanchemanche, S.; Verger, P. The effect of product health information on liking and choice. Food Qual. Prefer. 2007, 18, 759–770. [Google Scholar] [CrossRef]
  17. Yoon, E.; Kim, J.; Lee, J. The U.S. Consumers’ Acceptability and Emotion Measures when Consuming Novel Korean Traditional Non-Alcoholic Beverages. J. Sens. Stud. 2016, 31, 256–271. [Google Scholar] [CrossRef]
  18. van Trijp, H.C.; van der Lans, I.A. Consumer perceptions of nutrition and health claims. Appetite 2007, 48, 305–324. [Google Scholar] [CrossRef]
  19. Cichero, J.A.Y. Thickening agents used for dysphagia management: Effect on bioavailability of water, medication and feelings of satiety. Nutr. J. 2013, 12, 1–54. [Google Scholar] [CrossRef] [PubMed]
  20. Doets, E.L.; Kremer, S. The silver sensory experience–A review of senior consumers’ food perception, liking and intake. Food Qual. Prefer. 2016, 48, 316–332. [Google Scholar] [CrossRef]
  21. Okkels, S.L.; Dybdal, D.R.; Beck, A.M.; Bügel, S.; Klausen, T.W.; Olsen, A. An investigation of main meal preferences in nursing home residents. J. Sens. Stud. 2019, 34, e12504. [Google Scholar] [CrossRef]
  22. Cho, H.M.; Yoo, B. Rheological Characteristics of Cold Thickened Beverages Containing Xanthan Gum–Based Food Thickeners Used for Dysphagia Diets. J. Acad. Nutr. Diet. 2015, 115, 106–111. [Google Scholar] [CrossRef]
  23. Lotong, V.; Chun, S.; Chambers, E.; Garcia, J. Texture and Flavor Characteristics of Beverages Containing Commercial Thickening Agents for Dysphagia Diets. J. Food Sci. 2003, 68, 1537–1541. [Google Scholar] [CrossRef]
  24. Park, J.H.; Kim, H.-G.; Oh, B.-M.; Lee, M.-W.; Hwang, I.-K.; Lee, S.-U.; Han, T.R. Comparison of Different Gum-Based Thickeners Using a Viscometer and Line Spread Test: A Preliminary Study. Ann. Rehabil. Med. 2014, 38, 94–100. [Google Scholar] [CrossRef]
  25. Zargaraan, A.; Rastmanesh, R.; Fadavi, G.; Zayeri, F.; Mohammadifar, M.A. Rheological aspects of dysphagia-oriented food products: A mini review. Food Sci. Hum. Wellness 2013, 2, 173–178. [Google Scholar] [CrossRef]
  26. Ekberg, O.; Hamdy, S.; Woisard, V.; Wuttge-Hannig, A.; Ortega, P. Social and Psychological Burden of Dysphagia: Its Impact on Diagnosis and Treatment. Dysphagia 2002, 17, 139–146. [Google Scholar] [CrossRef] [PubMed]
  27. MacQueen, C.E.; Taubert, S.; Cotter, D.; Stevens, S.; Frost, G.S. Which Commercial Thickening Agent Do Patients Prefer? Dysphagia 2003, 18, 46–52. [Google Scholar] [CrossRef] [PubMed]
  28. Cichero, J.A.Y. Adjustment of food textural properties for elderly patients. J. Texture Stud. 2016, 47, 277–283. [Google Scholar] [CrossRef]
  29. Funami, T. Next target for food hydrocolloid studies: Texture design of foods using hydrocolloid technology. Food Hydrocoll. 2011, 25, 1904–1914. [Google Scholar] [CrossRef]
  30. Garin, N.; De Pourcq, J.T.; Martin, R.; Cardona, D.; Gich, I.; Mangues, M.A. Viscosity Differences Between Thickened Beverages Suitable for Elderly Patients with Dysphagia. Dysphagia 2014, 29, 483–488. [Google Scholar] [CrossRef]
  31. Kim, H.; Lee, J.; Hwang, H.-I.; Song, K.-W. Sensory and rheological characteristics of thickened liquids differing concentrations of a xanthan gum-based thickener. J. Texture Stud. 2017, 48, 571–585. [Google Scholar] [CrossRef] [PubMed]
  32. Leonard, R.J.; White, C.; McKenzie, S.; Belafsky, P.C. Effects of Bolus Rheology on Aspiration in Patients with Dysphagia. J. Acad. Nutr. Diet. 2014, 114, 590–594. [Google Scholar] [CrossRef]
  33. Cho, H.-M.; Yoo, W.; Yoo, B. Steady and dynamic rheological properties of thickened beverages used for dysphagia diets. Food Sci. Biotechnol. 2012, 21, 1775–1779. [Google Scholar] [CrossRef]
  34. Seo, C.-W.; Yoo, B. Steady and Dynamic Shear Rheological Properties of Gum-Based Food Thickeners Used for Diet Modification of Patients with Dysphagia: Effect of Concentration. Dysphagia 2012, 28, 205–211. [Google Scholar] [CrossRef]
  35. Matta, Z.; Chambers, E.; Garcia, J.M.; Helverson, J.M. Sensory Characteristics of Beverages Prepared with Commercial Thickeners Used for Dysphagia Diets. J. Am. Diet. Assoc. 2006, 106, 1049–1054. [Google Scholar] [CrossRef]
  36. Horwarth, M.; Ball, A.; Smith, R. Taste Preference and Rating of Commercial and Natural Thickeners. Rehabil. Nurs. 2005, 30, 239–246. [Google Scholar] [CrossRef] [PubMed]
  37. Roininen, K.; Lähteenmäki, L.; Tuorila, H. Quantification of Consumer Attitudes to Health and Hedonic Characteristics of Foods. Appetite 1999, 33, 71–88. [Google Scholar] [CrossRef] [PubMed]
  38. Huber, K.C.; BeMiller, J.N. Chapter 3. Carbohydrates. In Fennema’s Food Chemistry, 5th ed.; Damodaran, S., Parkin, K.L., Eds.; CRC Press: Boca Raton, FL, USA, 2017; pp. 91–170. [Google Scholar]
  39. Yoshida, K.; Sato, Y.; Okuno, R.; Kameda, K.; Isobe, M.; Kondo, T. Structural Analysis and Measurement of Anthocyanins from Colored Seed Coats ofVigna, Phaseolus, andGlycineLegumes. Biosci. Biotechnol. Biochem. 1996, 60, 589–593. [Google Scholar] [CrossRef]
  40. Ariga, T.; Koshiyama, I.; Fukushima, D. Antioxidative Properties of Procyanidins B-1 and B-3 from Azuki Beans in Aqueous Systems. Agric. Biol. Chem. 1988, 52, 2717–2722. [Google Scholar] [CrossRef]
  41. Koide, T.; Hashimoto, Y.; Kamei, H.; Kojima, T.; Hasegawa, M.; Terabe, K. Antitumor Effect of Anthocyanin Fractions Extracted from Red Soybeans and Red Beans in vitro and in vivo. Cancer Biother. Radiopharm. 1997, 12, 277–280. [Google Scholar] [CrossRef] [PubMed]
  42. Park, Y.M. Effect of Red Bean Hot Water Extracts on Obesity and Lipid Metabolism in Mouse Fed a High Fat Diet. Ph.D. Thesis, Department of Biology Graduate School, Andong National University, Andong, Korea, 2012; p. 51. [Google Scholar]
  43. Food Information Statistics System. Food Market Newsletter. No.0413-26. 2018. Available online: https://www.atfis.or.kr/article/M001010000/view.do?articleId=2933 (accessed on 27 April 2021).
  44. National Dysphagia Diet Task Force. National Dysphagia Diet: Standardization for Optimal Care; American Dietetic Association: Chicago, IL, USA, 2002. [Google Scholar]
  45. Cichero, J.A.Y.; Lam, P.; Steele, C.M.; Hanson, B.; Chen, J.; Dantas, R.O.; Duivestein, J.; Kayashita, J.; Lecko, C.; Murray, J.; et al. Development of International Terminology and Definitions for Texture-Modified Foods and Thickened Fluids Used in Dysphagia Management: The IDDSI Framework. Dysphagia 2017, 32, 293–314. [Google Scholar] [CrossRef]
  46. Zhong, L.; Hadde, E.K.; Zhou, Z.; Xia, Y.; Chen, J. Sensory discrimination of the viscosity of thickened liquids for dysphagia management. J. Sens. Stud. 2018, 33, e12464. [Google Scholar] [CrossRef]
  47. Methven, L.; Jiménez-Pranteda, M.L.; Ben Lawlor, J. Sensory and consumer science methods used with older adults: A review of current methods and recommendations for the future. Food Qual. Prefer. 2016, 48, 333–344. [Google Scholar] [CrossRef]
  48. Cochran, W.G.; Cox, G.M. Experimental Designs; John Wiley & Sons, Inc.: Oxford, UK, 1992. [Google Scholar]
  49. Tavakol, M.; Dennick, R. Making sense of Cronbach’s alpha. Int. J. Med. Educ. 2011, 2, 53. [Google Scholar] [CrossRef] [PubMed]
  50. Park, H. Reliability using Cronbach alpha in sample survey. Korean J. Appl. Stat. 2021, 34, 1–8. [Google Scholar]
  51. Román, S.; Sánchez-Siles, L.M.; Siegrist, M. The importance of food naturalness for consumers: Results of a systematic review. Trends Food Sci. Technol. 2017, 67, 44–57. [Google Scholar] [CrossRef]
  52. Shirreffs, S.M. Hydration in sport and exercise: Water, sports drinks and other drinks. Nutr. Bull. 2009, 34, 374–379. [Google Scholar] [CrossRef]
  53. Pelletier, C.A. A Comparison of Consistency and Taste of Five Commercial Thickeners. Dysphagia 1997, 12, 74–78. [Google Scholar] [CrossRef]
  54. Stahlman, L.B.; Garcia, J.M.; Chambers, E.; Smit, A.B.; Hoag, L.; Chambers, D.H. Perceptual Ratings for Pureed and Molded Peaches for Individuals with and without Impaired Swallowing. Dysphagia 2001, 16, 254–262. [Google Scholar] [CrossRef]
  55. Reis, F.; Alcaire, F.; Deliza, R.; Ares, G. The role of information on consumer sensory, hedonic and wellbeing perception of sugar-reduced products: Case study with orange/pomegranate juice. Food Qual. Prefer. 2017, 62, 227–236. [Google Scholar] [CrossRef]
  56. Grunert, K.G.; Wills, J.M.; Fernández-Celemín, L. Nutrition knowledge, and use and understanding of nutrition information on food labels among consumers in the UK. Appetite 2010, 55, 177–189. [Google Scholar] [CrossRef]
  57. Okamoto, M.; Dan, I. Extrinsic information influences taste and flavor perception: A review from psychological and neuroimaging perspectives. Semin. Cell Dev. Biol. 2013, 24, 247–255. [Google Scholar] [CrossRef]
  58. Gerschke, M.; Seehafer, P. Texture Adaption in Dysphagia: Acceptability Differences Between Thickened and Naturally Thick Beverages. Rehabil. Nurs. 2017, 42, 262–267. [Google Scholar] [CrossRef] [PubMed]
  59. Oliveira, D.; De Steur, H.; Lagast, S.; Gellynck, X.; Schouteten, J.J. The impact of calorie and physical activity labelling on consumer’s emo-sensory perceptions and food choices. Food Res. Int. 2020, 133, 109166. [Google Scholar] [CrossRef] [PubMed]
  60. Ryu, J.S. Principles and considerations in the prescription of dysphagia diet: Viscosity, size, texture and temperature. J. Korean Dysphagia Soc. 2014, 4, 37–44. [Google Scholar]
  61. Goldberg, L.R.; Heiss, C.J. The Effect of Appearance on the Palatability of Thickened Apple Juice. Top. Clin. Nutr. 2013, 28, 154–162. [Google Scholar] [CrossRef]
  62. McEwan, J.A.; Colwill, J.S. The sensory assessment of the thirst-quenching characteristics of drinks. Food Qual. Prefer. 1996, 7, 101–111. [Google Scholar] [CrossRef]
  63. Laaksonen, O.; Knaapila, A.; Niva, T.; Deegan, K.C.; Sandell, M. Sensory properties and consumer characteristics contributing to liking of berries. Food Qual. Prefer. 2016, 53, 117–126. [Google Scholar] [CrossRef]
  64. Masumoto, K.; Shiozaki, M.; Taishi, N. The impact of age on goal-framing for health messages: The mediating effect of interest in health and emotion regulation. PLoS ONE 2020, 15, e0238989. [Google Scholar] [CrossRef]
Figure 1. Principal component analysis biplot of thickened beverages before and after the provision of information on dysphagia 1, 2, 3. 1 Rhombus (♦) indicates the youth group (between 19 and 39 years of age); 2 Square (■) indicates the middle-aged group (aged between 40 and 64); 3 Abbreviations: PC (principal component), OJ (orange juice), RBW (red bean water), SPD (sports drink), 0 (0%), n (nectar), h (honey), Int (Intensity). Samples ending with ‘Un’ indicate the subjects were evaluated in the uninformed session.
Figure 1. Principal component analysis biplot of thickened beverages before and after the provision of information on dysphagia 1, 2, 3. 1 Rhombus (♦) indicates the youth group (between 19 and 39 years of age); 2 Square (■) indicates the middle-aged group (aged between 40 and 64); 3 Abbreviations: PC (principal component), OJ (orange juice), RBW (red bean water), SPD (sports drink), 0 (0%), n (nectar), h (honey), Int (Intensity). Samples ending with ‘Un’ indicate the subjects were evaluated in the uninformed session.
Beverages 07 00032 g001
Figure 2. Acceptability change in the youth group from dysphagia-uninformed evaluation to dysphagia-informed evaluation: (a) High GHI (n = 35); (b) Low GHI (n = 25) 1, 2, 3. 1 Evaluated using the 9-point hedonic scale ranging from dislike extremely (1) to like extremely (9). 2 Asterisk (*) means statistical difference between dysphagia-uninformed and -informed evaluation of the same sample using independent student’s t-test (α = 0.05). 3 Error bar indicates standard error.
Figure 2. Acceptability change in the youth group from dysphagia-uninformed evaluation to dysphagia-informed evaluation: (a) High GHI (n = 35); (b) Low GHI (n = 25) 1, 2, 3. 1 Evaluated using the 9-point hedonic scale ranging from dislike extremely (1) to like extremely (9). 2 Asterisk (*) means statistical difference between dysphagia-uninformed and -informed evaluation of the same sample using independent student’s t-test (α = 0.05). 3 Error bar indicates standard error.
Beverages 07 00032 g002
Figure 3. Acceptability change in the middle-aged group from dysphagia-uninformed evaluation to dysphagia-informed evaluation: (a) High GHI (n = 32); (b) Low GHI (n = 28) 1, 2, 3. 1 Evaluated using the 9-point hedonic scale ranging from dislike extremely (1) to like extremely (9). 2 Asterisk (*) means statistical difference between dysphagia-uninformed and dysphagia-informed evaluation of the same sample using independent student’s t-test (α = 0.05). 3 Error bar indicates standard error.
Figure 3. Acceptability change in the middle-aged group from dysphagia-uninformed evaluation to dysphagia-informed evaluation: (a) High GHI (n = 32); (b) Low GHI (n = 28) 1, 2, 3. 1 Evaluated using the 9-point hedonic scale ranging from dislike extremely (1) to like extremely (9). 2 Asterisk (*) means statistical difference between dysphagia-uninformed and dysphagia-informed evaluation of the same sample using independent student’s t-test (α = 0.05). 3 Error bar indicates standard error.
Beverages 07 00032 g003
Figure 4. Change in acceptability of thickened beverages from dysphagia-uninformed evaluation to dysphagia-informed evaluation by relative GHI: (a) High GHI (n = 66); (b) Low GHI (n = 54) 1,2,3. 1 Evaluated using the 9-point hedonic scale ranging from dislike extremely (1) to like extremely (9). 2 Asterisk (*) means statistical difference between dysphagia-uninformed and -informed evaluation of the same sample using independent student’s t-test (α = 0.05). 3 Error bar indicates standard error.
Figure 4. Change in acceptability of thickened beverages from dysphagia-uninformed evaluation to dysphagia-informed evaluation by relative GHI: (a) High GHI (n = 66); (b) Low GHI (n = 54) 1,2,3. 1 Evaluated using the 9-point hedonic scale ranging from dislike extremely (1) to like extremely (9). 2 Asterisk (*) means statistical difference between dysphagia-uninformed and -informed evaluation of the same sample using independent student’s t-test (α = 0.05). 3 Error bar indicates standard error.
Beverages 07 00032 g004
Table 1. Sample information and viscosity.
Table 1. Sample information and viscosity.
BeverageSample IDViscosity (cP) 1NDD 2Liquid Remaining (mL) 3IDDSI Level 4
Orange juice
(Lotte Chilsung Co, Ansung, Korea)
OJ 0%5.48–5.55Thin0.00 ± 0.0Level 0
OJ nectar167–344Nectar6.13 ± 0.4Level 2
OJ honey682–1656Honey9.53 ± 0.1Level 3
Red bean water
(Gubingdam (g/b/d), Ulsan, Korea)
RBW 0%2.34–2.36Thin0.00 ± 0.0Level 0
RBW nectar150–328Nectar5.47 ± 0.3Level 2
RBW honey452–1208Honey9.20 ± 0.0Level 3
Sports drink
(Donga Otsuka Co, Cheongju, Korea)
SPD 0%2.79–2.85Thin0.00 ± 0.0Level 0
SPD nectar145–324Nectar4.80 ± 0.2Level 2
SPD honey594–1584Honey9.30 ± 0.1Level 3
1 0% was measured by using an LV viscometer (LVDV-I, AMETEK Brookfield, Middleborough, MA, USA), and nectar and honey samples were measured by using an RV viscometer (DV2T, AMETEK Brookfield). 2 National Dysphagia Diet, thin (1–50 cP), nectar (51–350 cP), honey (351–1750 cP), spoon-thick (1750 cP). 3 Data indicate the mean ± standard deviation of the remaining liquid in syringe (KOVAX-SYRINGE 10 mL, Korea Vaccine Co., LTD., Ansan, Korea) after allowing for the free flow for 10 s of 10 mL of samples, following the method suggested by the International Dysphagia Diet Standardization Initiative (IDDSI) framework [45]. 4 Level 0: all liquid has flowed through the syringe. Level 1: there is between 1 and 4 mL remaining. Level 2: there is between 4 and 8 mL remaining. Level 3: there is more than 8 mL remaining, but some liquid still flows through. Level 4: if no liquid flows at all, the category is Level 4 or above.
Table 2. Demographic information of participants by age group.
Table 2. Demographic information of participants by age group.
Youth
(n = 60)
Number (%)
Middle-Aged
(n = 60)
Number (%)
Gender
 Male31(51.7)3(5.0)
 Female29(48.3)57(95.0)
Age
 19–2550(83.3)0(0.0)
 26–359(15.0)0(0.0)
 36–391(1.7)0(0.0)
 40–450(0.0)25(41.6)
 46–550(0.0)22(36.7)
 56–640(0.0)13(21.7)
Experiences of drinking
thickened beverages
 Yes8(13.3)7(11.7)
 No52(86.7)53(88.3)
Knowledge of dysphagia
 Yes9(15.0)9(15.0)
 No51(85.0)51(85.0)
Know people who have dysphagia
 Yes2(3.3)6(10.0)
 No58(96.7)54(90.0)
Important factors in product selection (check-all-that-apply (CATA))
 Flavor59(98.3)49(81.7)
 Aroma25(41.7)20(33.3)
 Nutrition information18(30.0)37(61.7)
 Country of origin7(11.7)33(55.0)
 Ingredient13(21.7)18(30.0)
 Appearance15(25.0)10(16.7)
 Price54(90.0)36(60.0)
 Functionality6(10.0)24(40.0)
 Organic3(5.0)27(45.0)
 Brand9(15.0)16(26.7)
 Other0(0.0)0(0.0)
Methods of acquiring information about health and nutrition (CATA)
 TV20(33.3)35(58.3)
 Internet50(83.3)40(66.7)
 Radio0(0.0)0(0.0)
 Newspaper0(0.0)7(11.7)
 Book3(5.0)3(5.0)
 Other5(8.3)3(5.0)
Experience in purchasing health functional food after knowing nutrition information
 Yes37(61.7)57(95.0)
 No23(38.3)3(5.0)
Table 3. Mean acceptability 1 of overall liking and appearance, flavor, swallowing, viscosity, and mouthfeel characteristics of thickened beverages without and with information about dysphagia.
Table 3. Mean acceptability 1 of overall liking and appearance, flavor, swallowing, viscosity, and mouthfeel characteristics of thickened beverages without and with information about dysphagia.
Orange JuiceRed Bean WaterSports Drink
GroupRangeUninformedInformedUninformedInformedUninformedInformed
Overall acceptability
Youth0%7.47.66.26.37.47.6
Nectar5.25.64.0 b,24.9 a4.4 b5.3 a
Honey4.24.33.4 b4.0 a3.1 b3.9 a
Middle-aged0%6.66.45.7 b6.1 a6.15.9
Nectar4.6 b5.2 a4.0 b4.6 a4.0 b4.6 a
Honey4.04.33.3 b4.1 a3.63.8
Appearance
Youth0%7.07.26.16.26.7 b7.1 a
Nectar6.06.04.84.95.0 b5.5 a
Honey5.35.34.3 b4.7 a4.0 b4.7 a
Middle-aged0%6.76.55.96.06.16.0
Nectar5.55.84.5 b4.9 a4.75.1
Honey5.15.33.9 b4.5 a4.34.7
Flavor
Youth0%7.27.36.16.36.97.1
Nectar4.55.05.2 b5.6 a5.05.5
Honey5.96.04.9 b5.4 a5.05.2
Middle-aged0%6.56.45.96.05.95.8
Nectar5.65.94.7 b5.2 a4.85.0
Honey5.55.54.3 b4.8 a4.64.8
Swallowing
Youth0%7.67.77.17.37.77.7
Nectar4.5 b5.0 a4.2 b4.8 a4.0 b4.9 a
Honey3.43.63.1 b3.7 a2.4 b3.5 a
Middle-aged0%7.06.76.76.86.86.7
Nectar4.6 b5.2 a4.4 b5.3 a4.0 b5.0 a
Honey3.9 b4.1 a3.3 b4.2 a3.1 b3.8 a
Viscosity
Youth0%7.57.67.27.17.77.7
Nectar4.0 b4.7 a3.9 b4.5 a3.3 b4.7 a
Honey2.93.22.7 b3.4 a2.1 b3.2 a
Middle-aged0%6.96.86.76.86.76.7
Nectar4.0 b4.9 a4.0 b5.0 a3.7 b4.9 a
Honey3.2 b3.9 a3.1 b4.1 a2.9 b3.7 a
Mouthfeel
Youth0%7.27.27.06.87.37.4
Nectar4.2 b4.8 a4.0 b4.6 a3.7 b4.6 a
Honey3.43.63.1 b3.8 a2.4 b3.4 a
Middle-aged0%6.86.56.66.66.66.3
Nectar4.5 b5.1 a4.2 b5.0 a4.0 b4.7 a
Honey3.5 b4.4 a3.2 b4.3 a3.3 b3.8 a
1 Evaluated using the 9-point hedonic scale ranging from dislike extremely (1) to like extremely (9). 2 a, b indicates significant difference between uninformed (1st) and informed (2nd) evaluation of the same sample using a t-test (α = 0.05).
Publisher’s Note: MDPI stays neutral with regard to jurisdictional claims in published maps and institutional affiliations.

Share and Cite

MDPI and ACS Style

An, J.-H.; Yoon, J.-A.; Shin, M.-J.; Kim, S.-H.; Lee, J.-H. Dysphagia-Related Health Information Improved Consumer Acceptability of Thickened Beverages. Beverages 2021, 7, 32. https://doi.org/10.3390/beverages7020032

AMA Style

An J-H, Yoon J-A, Shin M-J, Kim S-H, Lee J-H. Dysphagia-Related Health Information Improved Consumer Acceptability of Thickened Beverages. Beverages. 2021; 7(2):32. https://doi.org/10.3390/beverages7020032

Chicago/Turabian Style

An, Ji-Hye, Jin-A Yoon, Myung-Jun Shin, Sang-Hun Kim, and Jee-Hyun Lee. 2021. "Dysphagia-Related Health Information Improved Consumer Acceptability of Thickened Beverages" Beverages 7, no. 2: 32. https://doi.org/10.3390/beverages7020032

APA Style

An, J.-H., Yoon, J.-A., Shin, M.-J., Kim, S.-H., & Lee, J.-H. (2021). Dysphagia-Related Health Information Improved Consumer Acceptability of Thickened Beverages. Beverages, 7(2), 32. https://doi.org/10.3390/beverages7020032

Note that from the first issue of 2016, this journal uses article numbers instead of page numbers. See further details here.

Article Metrics

Back to TopTop