Abstract
Unmodified kraft lignin was used to create a starch-based adhesive via the Stein Hall process. Lignin up to 35 wt% was used in several formulations. Lignin was incorporated in both the carrier and slurry portions of the formulations and the effect on adhesive strength and water resistance was studied. The addition of lignin resulted in a significant increase in adhesive strength when the lignin was added solely to the slurry portion. When lignin was added solely to the carrier portion, the adhesive strength decreased. Other formulations, where lignin was present in both the carrier and slurry portions, showed moderate increases in adhesive strength. Finally, the addition of lignin increased the water-resistance of the adhesive bond in the paperboard.
1. Introduction
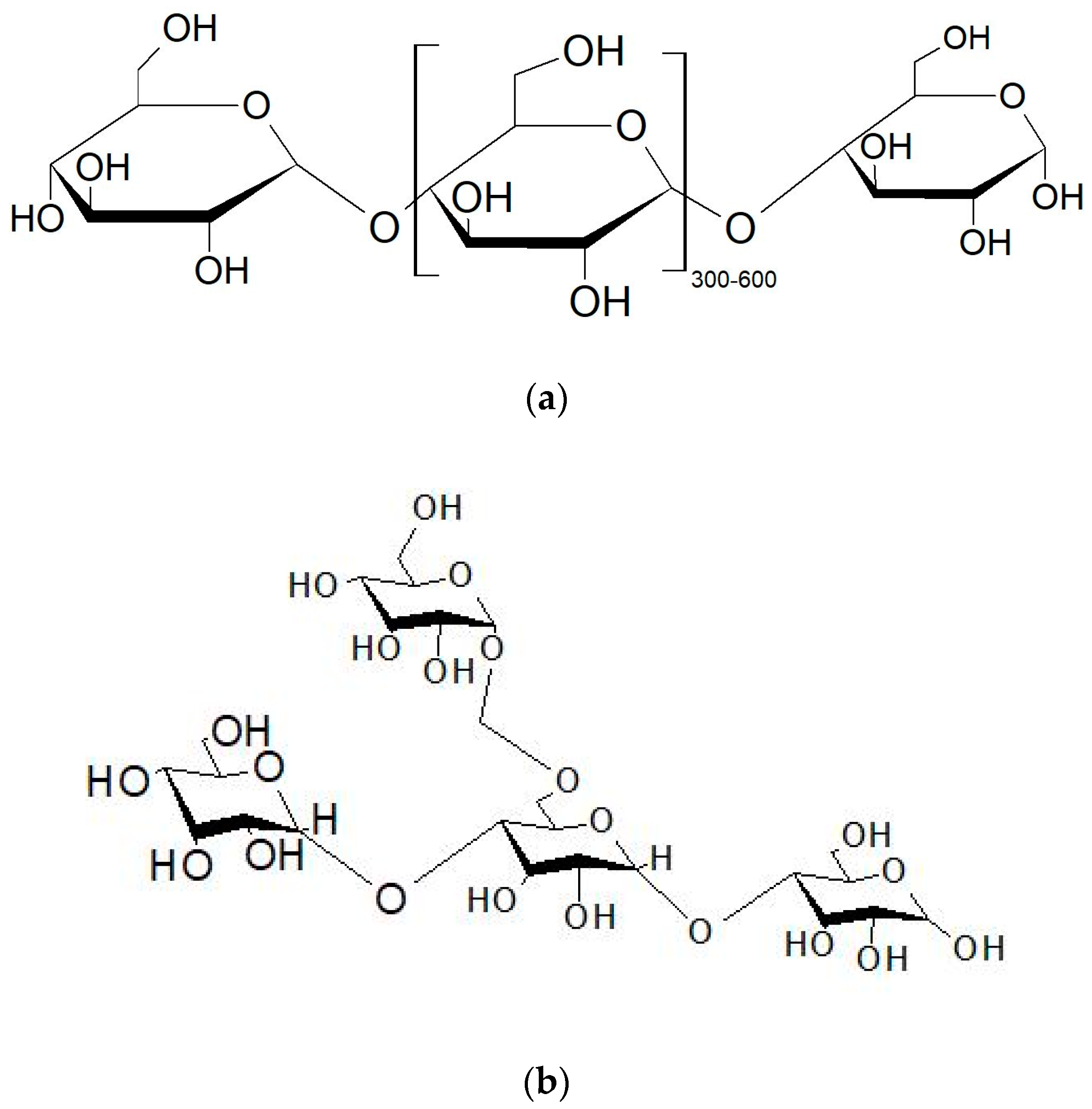
Efforts to increase the sustainability of polymer products are numerous [1,2]. One well-known example is the use of starch as an adhesive in paperboard and corrugated cardboard production [3]. These starch-based adhesives are readily available at good quality, low cost, are biodegradable, and are easy to use. They are usually available as a powder and are mixed with water prior to application. Commercially, starches that are used in adhesive production are derived from corn, wheat, potato, rice, and tapioca [4]. Starch is one of the world’s most naturally abundant polymers, consisting of glucose repeat units. Starch is made up of two materials, namely amylose and amylopectin (Figure 1). Amylopectin is a highly branched macromolecule, while amylose has a linear structure. The ratio of these molecules differs according to the plant source, and the physical properties of the products are greatly influenced by this ratio. The most important differences between types of starch is the molecular weight of the amylose portion and the ratio of amylose to amylopectin. In addition, due to the presence of hydroxyl groups in its structure, starch presents a high affinity toward polar materials such as water [5,6].
Figure 1.
Starch structure, (a) amylose and (b) amylopectin.
Due to the amylose fraction, suspended starch granules in water do not exhibit any adhesive properties due to their high crystallinity. The granules must be broken down in order to present adhesive properties [4]. Amylopectin is water-soluble, while pure amylose can be dissolved in water at high alkali conditions or by cooking at 150–160 °C under high pressure [6]. When starch is heated (say, at 60–80 °C) in the presence of water, starch granule breakdown occurs through an irreversible process called gelatinization [7]. Starch gelatinization is an endothermic process which leads to the swelling of the starch granules, loss of crystallinity and water absorption [8]. The swollen granules are rich in amylopectin as the linear amylose diffuses out of the granules during this process and forms a continuous gel phase outside of the granules. In fact, amylose plays a restraining role for the swelling of amylopectin [9]. Not all starch granules will gelatinize at the same temperature. The percentage of amylose in different starches and their gelation temperature are summarized in Table 1.
Table 1.
Amylose content and gelation temperature of different starch types.
The most popular process for starch adhesive production (i.e., breaking down the starch granules or gelatinization) is the Stein Hall process, which was introduced in the 1930 s by J.V. Bauer [10]. In this process (Figure 2), there are two parts for the adhesive preparation, a “carrier” portion and a “slurry” portion. Briefly, the carrier portion consists of a gelatinized starch solution whereas the slurry portion is an ungelatinized starch suspension.
Figure 2.
The Stein Hall process.
In the carrier portion, part of the starch (usually about 15–20 wt% of the total starch) is dissolved in water and heated under alkali conditions to be fully gelatinized. Heating starch in the presence of water leads the starch granules to absorb water and swell. The hydrogen bonds between amylose and amylopectin molecules inside the granules will break down and new hydrogen bonds between starch and water molecules are formed. The addition of sodium hydroxide (NaOH) accelerates this process by breaking hydrogen bonds between starch molecules inside the granules. Adding an alkali solution decreases the gelation temperature of the starch.
During this process, some of the linear amylose leaches out of the starch granules. Both swelling of the granules and amylose leaching thicken the paste, leading to an increase in viscosity. After a while, the viscosity reaches a plateau which indicates that starch granules are fully swollen to their maximum size. If the swelling process is not stopped at this point and shear force is applied, starch granules will burst. At this stage, it is said that the starch is fully gelatinized and the starch solution becomes a thick paste [11]. Upon complete gelation of starch, the colour of the starch solution turns from opaque white to translucent. Sodium tetraborate decahydrate (aka Borax) is usually added in trace amounts after complete gelation of the starch, which leads to the cross-linking of hydroxyl groups between the starch molecules, thus increasing viscosity and tackiness. This thick paste is referred to as the carrier portion of the starch adhesive [12]. The carrier portion is mostly responsible for achieving the required viscosity of the adhesive and, in most processes, is made in a separate tank and is referred to as the primary mixture [13].
The slurry portion is prepared by mixing the remaining part of the starch in the formulation (usually, about 80–85 wt% of the total starch) with water. At the end of the process, the slurry portion is added to the carrier portion. The viscous carrier portion prevents settling of the ungelatinized starch granules. It should be noted that the solid content of starch adhesives is usually between 20–30 wt%.
In the corrugated cardboard production process, the starch adhesive is applied at the vertices of the fluted cardboard (Figure 3). Upon contact with a hot press at 60–70 °C, the ungelatinized portion of the starch will quickly gelatinize and produce instant tack. The Borax added to the carrier portion is responsible for the formation of the “green bond”. In this context, “green” refers to a “new” hydrogen bond formed between the cellulose molecules in the paperboard and in the adhesive (composed of starch and Borax). The green bond is responsible for holding the components of corrugated boards together prior to final heat curing [4,14].
Figure 3.
Application of starch adhesive in corrugated cardboard (cross-section view).
Selecting a proper adhesive is vital to ensure that packaging will fulfill its performance requirements. A number of different starch adhesive modifications have been proposed, which involve the addition of different compounds to the formulation, thereby leading to improved adhesive performance. For example, a variety of plasticizers (e.g., glycerol and glucose) have been used to control the brittleness of the adhesive. In addition, these plasticizers act as a hygroscopic agent, which decreases the drying rate of the film [15]. Calcium chloride, urea, and sodium nitrate are commonly used to decrease the viscosity [16]. Mineral fillers such as calcium carbonate and titanium dioxide are often used to control the penetration of adhesive into porous material [6]. Formaldehyde, copper sulfate, and zinc sulfate are common preservatives used in starch-based adhesives to prevent microbial activity [6].
One important goal in the starch-based adhesive modification is to increase the water-resistance of the adhesive due to starch’s affinity toward water absorption. Due to the lower water solubility of amylose, one suggestion is to use starch with a higher amylose content (at least 35% amylose) in the carrier portion because it will improve rheological and film-forming properties and, to some extent, increase water-resistance of the adhesive. Unfortunately, high amylose content starch-based adhesives do not present sufficient water resistance, and thus, additives are still required [17]. Another method to increase water resistance involves the preparation of acidic starch-based adhesives where urea formaldehyde or melamine formaldehyde, along with an acidic catalyst, are added to cross-link the starch and provide water-resistant bonds.
Other cross-linking agents such as diacetone acrylamide-formaldehyde, acetoacetamide formaldehyde, and acetone-formaldehyde condensates have been used. However, one should bear in mind that usage of formaldehyde is considered unsafe, and the presence of free formaldehyde in commercial products is discouraged [18]. Also, the amount of Borax in a starch formulation should be lowered when urea or melamine-formaldehyde are used as using one or both resins in the presence of Borax will increase adhesive viscosity. Such increases in viscosity are difficult to control; additionally, reducing the amount of Borax leads to a decrease in the tackiness of the adhesive [17].
In yet another method, different types of fibres were used to enhance water resistance, dry strength, viscosity, and tackiness [19]. Suspending fibre in the carrier and/or slurry portion, at levels beyond 25 wt%, was effective. The addition of fibre lowered the gel point by surrounding the starch granules, which helped maintain the moisture around the granules. This phenomenon improved adhesion and prevented moisture from being diffused into the fiberboard. The addition of fibre, along with the addition of thermosetting materials, enhanced water resistance because the moisture held by the fibres around the granules led to resin cross-linking, thereby forming a moisture barrier. The presence of fibre also improved adhesion due to fibre to fibre entanglements between the adhesive and the fiberboard. The hydrophobicity of the fibre also helped repel moisture, thereby increasing the drying rate and water resistance [14,19].
In other achievements, hemicellulose was added to a starch adhesive formulation [20]. Hemicellulose is completely compatible with starch and can be extracted from corn fibre under alkaline conditions. Thus, in a corrugating process, there would be no need for a separate production process because, as noted earlier, the carrier portion is prepared under alkaline conditions. Despite the structural differences between hemicellulose, starch, and cellulose, the hydroxyl functional groups common to all three materials allows for bond formation within the adhesive. Hemicellulose reacts positively with Borax since it forms a Borax-oxygen bridge structure, which is common in poly-hydroxyl groups and thus enhances tackiness. As a result of cross-linking hemicellulose with starch, the availability of hydroxyl groups to form hydrogen bonds with water is reduced. Therefore, more hydrophobic and aliphatic moieties are formed [14,20].
As mentioned, starch-based adhesives are attractive due to their relatively low cost, versatility, and biodegradability, but one of their main disadvantages is that they have poor water resistance. Blending starch with more hydrophobic biopolymers possibly could improve the water-resistance of the adhesive bond. The second most abundant biopolymer after cellulose is lignin, which is an important renewable source of aromatic materials [21]. Annually, about 40–50 million metric tons of lignin are produced worldwide, largely by the pulp and paper industry [21]. However, most lignin is burned due to its caloric value to generate part of the energy required for the pulp mills [21]. The presence of aromatic moieties in lignin provide a potential for hydrophobic properties, and at the same time, the presence of hydroxyl groups in lignin suggests its compatibility with starch [22].
Recently, the blending of lignin with other renewable materials (e.g., proteins, starch) has attracted attention because of its availability, good mechanical properties, and biodegradability [22,23,24,25,26]. In these cases, it was shown that the addition of lignin decreased water uptake and increased the composite material strength [22,23,24,25]. In addition, lignin has exhibited antioxidant properties due to the presence of phenolic hydroxyl groups, which scavenge free radicals [27]. Research on lignin-starch blends has been focused on producing films and foams, which suggests that lignin could be used in starch-based adhesives [22,23,24,25]. In this paper, we investigate the use of lignin in starch-based adhesives. The objective was to determine the impact of lignin on adhesion and water resistance in paperboard applications.
2. Materials and Methods
2.1. Materials
Unmodified regular corn starch (27% amylose) and sodium tetraborate decahydrate (>99%, aka Borax) were acquired from Sigma Aldrich (St. Louis, MO, USA). Distilled deionized water (DDI) was used in order to prepare both carrier and slurry portions. A 50 wt% sodium hydroxide (NaOH pellets from Fisher Scientific, Hampton, NH, USA) solution was used to adjust the pH. Kraft lignin (light brown in colour, hydrophobic with inorganic content <1 wt%, pH ≈ 3.3 and dry solids about 50 wt%) was prepared by West Fraser Ltd. (Hinton, AB, Canada) and supplied by Noram Engineering and Constructors Ltd. (Vancouver, BC, Canada). The lignin is also known by the trade name “Amalin LPH”. Amalin LPH is produced from the pulping of northern Canadian softwoods, notably spruce, pine, and fir species, and has the properties listed in Table 2.
Table 2.
Composition and properties of lignin used in this study.
2.2. Adhesive Preparation
The carrier portion was prepared by adding 38 g of corn starch to 260 g of DDI water at room temperature. The temperature was increased via stirring hot plate up to 40–50 °C (gelation temperature of starch in alkali). We added 11 g of 50 wt% aqueous sodium hydroxide solution to the starch solution, and the mixture underwent vigorous mixing (4000 rpm) until the starch was fully gelatinized, as observed visually when the suspension became a translucent gel. For the cases where lignin was present in the carrier portion formulation, first, lignin was completely dissolved in the water by addition of the sodium hydroxide solution (pH > 10) and then, starch was added to the mixture. Separately, 2.8 g Borax was dissolved in 80 g of water at 70 °C. The Borax solution was added to the carrier portion after complete gelatinization of the carrier portion, followed by mixing for 3 min at 5000 rpm.
Next, the slurry portion was prepared in situ, rather than as a separate solution, by adding 380 g cold water to the carrier portion. This resulted in a temperature decrease to 35–40 °C and a decrease in viscosity. The diluted solution was mixed for 1 min at 1600 rpm using a Silverson homogenizer (model L5M-A). Next, 200 g of dry starch was added in one shot to facilitate dispersion into the carrier portion [13]. The whole mixture was mixed at 10,000 rpm for 30 s followed by a 1 min pause; this step was repeated for a total of four mixing times. The final solids content was 24 wt%.
Several batches of starch adhesive were prepared, wherein up to 35 wt% of starch was substituted with lignin added either in the carrier portion, slurry portion, or both (Table 3). Sample designations, as shown in the first column of Table 3, consist of a first number referring to the weight percentage of lignin used in the carrier portion based on the total starch loading in the formulation. The second number refers to the weight percentage of lignin used in the slurry portion based on the amount of starch only in the slurry portion.
Table 3.
Batch formulations.
2.3. Characterization
Viscosity: The viscosity of the starch-based adhesive was measured using a Stein Hall viscosity cup at 30 °C immediately after adhesive preparation.
Hydrophobicity: The hydrophobicity of the starch adhesive was determined via water contact angle measurements. A #20 Meyer rod was used to cast films of 12.5″ × 12.5″ from starch-based adhesive onto Mylar sheets. The films were dried at 25 °C at 50% relative humidity for 24 h. Samples of 4″ × 4″ were cut, and three to five locations were tested on each sample. A video contact angle (VCA) optima instrument (AST Products Inc., Billerica, MA, USA) was used to measure the water contact angle. A 2 µL water droplet was slowly dropped onto the film, and the contact angle was measured by VCA OPtimaXE software within 10 s. The average of each measurement is reported.
Glued joint strength: The strength of the glued joints was measured using a modified version of the TAPPI T-837 test [28]. The modification consisted of using paper board (as opposed to corrugated board) in between two hinged plates (Figure 4). Paper boards were cut to 1.5″ × 1.7″ and attached to hinged plates with double-sided tape. The starch adhesive was applied to one surface of the paper board and sandwiched in a hot press under 3450 kPa pressure at 60 °C. Each specimen was held in the hot press for 20 min to ensure that all the starch was fully gelatinized. Each specimen was stored at 25 °C and 50% relative humidity for 24 h. After drying, each hinge half was secured in Instron grips, and the force required to separate the boards was recorded using the Instron tester. Tests were repeated three times; that is, three samples were prepared from each adhesive batch.
Figure 4.
Hinges and an adhesive sample used for assessment of the glued joints with starch-based adhesives.
3. Results and Discussion
The viscosity of all the adhesives was measured at 30 °C immediately after completing the adhesive preparation (Table 4). With the addition of lignin to the carrier portion, the adhesive viscosity decreased. The addition of lignin to the slurry portion had no effect on viscosity. This suggests that the incorporation of lignin in the starch matrix largely happened in the carrier portion. Addition of the lignin at the outset of carrier phase preparation, when the pH was at its highest point (pH = 12 ± 5), resulted in complete dissolution of the lignin, affording maximum interaction with the starch components. This was consistent with other reports on lignin solubility in the literature [29]. The dissolved fractions of the lignin may have had a plasticizing effect by interacting with the starch via hydrogen bonding. Plasticizers are known to interact with polymers by replacing interactions between polymer molecules, thereby improving polymer chain mobility and flexibility by reducing their intermolecular forces. Thus, a significant reduction in the Stein Hall viscosity was observed (Table 4) [22,23].
Table 4.
Starch adhesive final viscosities.
Increasing the lignin content increased the hydrophobicity of the adhesive film according to water contact angle measurements (Table 5). Samples with less than 20 wt% total lignin were not measurable as the water absorbed instantly upon contact with the film surface. These results are consistent with the fact that we are using Kraft lignin, which is insoluble in water at acidic or neutral conditions due to its lack of hydrophilicity [30,31]. Contribution to film hydrophobicity is also due to lignin’s hydrophobic aromatic moieties [25]. The above is supported by Baumberger et al., who showed that the addition of lignin to a starch matrix via blending yielded more hydrophobic starch films and reduced the water absorption of starch-lignin films [32]. In their case, the addition of lignin to starch increased the water contact angle from 30° to 80°. They also noted that the hydrophobicity of lignin was detectable if no plasticizer was used in the formulation. If plasticizers, such as glycerol, are present in the formulation, this could reduce or cancel the hydrophobicity effect of lignin [33].
Table 5.
Water contact angle of starch-lignin adhesive films.
As Borax was used in the formulation, there was a strong possibility of cross-link formation between the starch and lignin via their hydroxyl groups. The formation of hydrogen bonds between both starch and lignin is highly likely due to the presence of hydroxyl groups in both materials. Figure 5 shows possible cross-linking and hydrogen bonding pathways between amylopectin and lignin molecules. It should be noted that the compatibility of lignin with amylopectin is higher than that with amylose [34].
Figure 5.
Possible cross-linking and hydrogen bonding between starch and lignin molecules.
The greater hydrophobicity of the starch-lignin films, as demonstrated by the higher water contact angles, coupled with the strong likelihood of cross-link formation, implies that the addition of lignin increases the water-resistance of the films. This is supported by Baumberger et al. who showed that water solubility of a blend of starch/Kraft lignin was reduced, leading to increased starch-lignin bonds and increased adhesive film water resistance [24].
The strength of the glued joints, as measured using an Instron tester, is shown in Figure 6. For the cases where lignin was added solely to the slurry portion (samples 0-10, 0-20 and 0-30), the glued joint strength exceeded the adhesive performance of the double-sided tape used to attach the samples to the hinges. Thus, rather than observing failure of the starch-lignin bond with the paperboard, the adhesive bond of the double-sided tape detached from the hinge at loads above 166 N. In comparison, the starch adhesive without lignin (sample 0-0) showed much poorer adhesive performance. On the other hand, with the exception of sample 5-30, the addition of lignin to the carrier portion resulted in a decrease in glued joint strength. It appears that the addition of lignin to the slurry portion in sample 5-30, compensated for the negative effect of having lignin in the carrier portion. For the cases where 10 wt% lignin was used in the carrier portion (sample 10-30), the lignin in the slurry portion was unable to compensate for the negative effect. It should be noted that the film produced from sample 10-30 was very brittle, similar to other reports [23].
Figure 6.
Strength of glued joints in starch-lignin adhesives.
In a number of studies involving starch-lignin blends, as opposed to the use of the Stein Hall process, some supporting conclusions are noted. With a low lignin content (say, <20 wt%), there is evidence for an increase in the tensile strength of starch-lignin blended films [35]. However, when elevated amounts of lignin were used (>20 wt%), the film structure was more compact due to high intermolecular hydrogen bonding leading to a decrease in the tensile strength of the starch-lignin films [35,36]. Increases in elongation at break also were observed [23,24,25]. The latter work suggests a plasticization effect due to the presence of lignin in the starch matrix. Spiridon et al. used scanning electron microscope (SEM) imaging to demonstrate that lignin particles act as a plasticizer in the starch matrix [35]. They surmised that because of their more uniform shape, the lignin particles are more likely to be covered by the softer thermoplastic material, starch.
Overall, one can therefore conclude that lignin acts as a reinforcing filler that impacts both mechanical and physical properties in starch-based adhesives but only when used in the slurry portion. This is consistent with the role of lignin as a plasticizer and cross-link participant.
4. Conclusions
The incorporation of an abundant natural polymer, lignin, up to 35 wt% in a starch-based adhesive has been investigated. It was shown that adding lignin improves strength and water resistance of starch-based adhesive. A common issue plaguing starch-based adhesives is their lack of water resistance due to the high affinity of starch toward the water. This means that in many cases, these adhesives are restricted to a narrower range of packaging applications. In this work, it was shown that the addition of lignin to the starch-based adhesive formulation increases the water-resistance of the adhesive.
Adding lignin to the slurry portion in the Stein Hall process improved the mechanical properties of the glue bond. Lignin was miscible with the starch adhesive, and at low amounts (5 wt% based on the amount of starch), it exhibited a plasticization effect on the starch matrix. However, the incorporation of lignin in the carrier portion and the use of higher concentrations of lignin made the adhesive brittle and lowered its adhesive strength in a cardboard application.
This work illustrates that rather than burning lignin for its caloric value, it can be used as a high-value additive in starch-based adhesives for paperboard products. The extension to corrugated board applications is clear.
Author Contributions
Conceptualization, A.N., J.W. and M.A.D.; methodology, A.N. and M.A.D.; investigation, A.N.; resources, J.W. and M.A.D.; writing—original draft preparation, A.N.; writing—review and editing, J.W. and M.A.D.; supervision, M.A.D.; project administration, M.A.D.; funding acquisition, M.A.D. All authors have read and agreed to the published version of the manuscript.
Funding
This research was funded by Natural Sciences and Engineering Research Council (NSERC) of Canada, Engage Grant number 528358-18.
Acknowledgments
The contribution of lignin as well as technical assistance from Noram Engineering and Constructors Ltd. (Vancouver, BC, Canada) are gratefully acknowledged.
Conflicts of Interest
The authors declare no conflict of interest.
References
- Dubé, M.A.; Salehpour, S. Applying the principles of green chemistry to polymer production technology. Macromol. React. Eng. 2014, 8, 7–28. [Google Scholar] [CrossRef]
- Zhang, Y.; Cunningham, M.F.; Smeets, N.M.B.; Dubé, M.A. Starch nanoparticle incorporation in latex-based adhesives. Eur. Polym. J. 2018, 106, 128–138. [Google Scholar] [CrossRef]
- Ellis, R.P.; Cochrane, M.P.; Dale, M.F.B.; Duffus, C.M.; Lynn, A.; Morrison, I.M.; Prentice, R.D.M.; Swanston, J.S.; Tiller, S.A. Starch production and industrial use. J. Sci. Food Agric. 1998, 77, 289–311. [Google Scholar] [CrossRef]
- Emblem, A.; Hardwidge, M. (Eds.) Chapter 16: Adhesives for packaging. In Packaging Technology: Fundamentals, Materials and Processes; Woodhead Publishing: London, UK, 2012; ISBN 9781845696658. [Google Scholar]
- Thomas, D.J.; Atwell, W.A. (Eds.) Starch Structure: Chapter 1. In Starches; American Association of Cereal Chemists: St. Paul, MN, USA, 1999; ISBN 978-1-891127-01-4. [Google Scholar]
- ASI Adhesives and Sealants Industry Packaging Enduser: Starch and Dextrin Based Adhesives | 2005-08-01 | asi Magazine. Available online: https://www.adhesivesmag.com/articles/84472-packaging-enduser-starch--and-dextrin-based-adhesives (accessed on 2 July 2019).
- Kadam, S.U.; Tiwari, B.K.; O’Donnell, C.P. Improved thermal processing for food texture modification. Modif. Food Texture Nov. Ingred. Process. Tech. 2015, 1, 115–131. [Google Scholar] [CrossRef]
- Jane, J.; Chen, Y.Y.; Lee, L.F.; McPherson, A.E.; Wong, K.S.; Radosavljevic, M.; Kasemsuwan, T. Effects of amylopectin branch chain length and amylose content on the gelatinization and pasting properties of starch. Cereal Chem. 1999, 76, 629–637. [Google Scholar] [CrossRef]
- Fredriksson, H.; Silverio, J.; Andersson, R.; Eliasson, A.C.; Åman, P. The influence of amylose and amylopectin characteristics on gelatinization and retrogradation properties of different starches. Carbohydr. Polym. 1998, 35, 119–134. [Google Scholar] [CrossRef]
- Bajpai, P. (Ed.) Chapter 12: Corrugated containers. In Biermann’s Handbook of Pulp and Paper; Elsevier: Cambridge, UK, 2018; ISBN 978-0-12-814238-7. [Google Scholar]
- Linke, K. Starch-Based Adhesives. U.S. Patent 4,272,295, 9 June 1981. [Google Scholar]
- 20 Mule Team Borax. Borates in Starch and Dextrin Adhesives; Rio Tinto: London, UK, 2011. [Google Scholar]
- Allen, L.A. Starch Based Adhesives and Method Therefor. U.S. Patent 4,359,341, 16 November 1982. [Google Scholar]
- Fitt, L.E.; Pienkowski, J.J.; Wallace, J.R. Starch-Hemicellulose Adhesive for High Speed Corrugating. U.S. Patent 5,358,559, 25 October 1994. [Google Scholar]
- Pizzi, A.; Mittal, K.L.; Conner, A.; Baumann, M. Chapter 15: Carbohydrate polymers as adhesives. In Handbook of Adhesive Technology; Pizzi, A., Mittal, K.L., Eds.; Marcel Dekker: New York, NY, USA, 1994; ISSN 0144-8617. [Google Scholar]
- Whistler, R.L.; BeMiller, J.N.; Paschall, E.F. (Eds.) Starch: Chemistry and Technology, 2nd ed.; Academic Press: London, UK, 1984; ISBN 0323139507. [Google Scholar]
- McElmury, D.E.; Fischer, A.C. Single Ungelatinized Starch-Component-Corrugating Adhesive. U.S. Patent 3,487,033, 30 December 1969. [Google Scholar]
- Leake, C.H.; Foran, M.T.; Jeffcoat, R.; Philbin, M.T.; Fannon, J.E. All Natural, Starch-Based, Waterresistant Corrugating Adhesive. U.S. Patent 5,405,437, 11 April 1995. [Google Scholar]
- Snyder, P.A. Starch-Based Corrugating Adhesive Containing Fibers. U.S. Patent 4,941,922, 17 July 1990. [Google Scholar]
- McPherson, R.; Antrim, R.L.; Schmidt, A.G. Corrugation Adhesive, Corrugated Board and Preparation Method Therefor. U.S. Patent 6,179,905 B1, 30 January 2001. [Google Scholar]
- The International Lignin Institute about Lignin. Available online: http://www.ili-lignin.com/aboutlignin.php (accessed on 22 July 2019).
- Doherty, W.O.S.; Mousavioun, P.; Fellows, C.M. Value-adding to cellulosic ethanol: Lignin polymers. Ind. Crops Prod. 2011, 33, 259–276. [Google Scholar] [CrossRef]
- Baumberger, S.; Lapierre, C.; Monties, B.; Lourdin, D.; Colonna, P. Preparation and properties of thermally moulded and cast lignosulfonates-starch blends. Ind. Crops Prod. 1997, 6, 253–258. [Google Scholar] [CrossRef]
- Baumberger, S.; Lapierre, C.; Monties, B. Utilization of pine kraft lignin in starch composites: Impact of structural heterogeneity. J. Agric. Food Chem. 1998, 46, 2234–2240. [Google Scholar] [CrossRef]
- Lepifre, S.; Froment, M.; Cazaux, F.; Houot, S.; Lourdin, D.; Coqueret, X.; Lapierre, C.; Baumberger, S. Lignin incorporation combined with electron-beam irradiation improves the surface water resistance of starch films. Biomacromolecules 2004, 5, 1678–1686. [Google Scholar] [CrossRef] [PubMed]
- Sen, S.; Patil, S.; Argyropoulos, D.S. Thermal properties of lignin in copolymers, blends, and composites: A review. Green Chem. 2015, 17, 4862–4887. [Google Scholar] [CrossRef]
- Yang, J.; Ching, Y.C.; Chuah, C.H. Applications of lignocellulosic fibers and lignin in bioplastics: A review. Polymers 2019, 11, 751. [Google Scholar] [CrossRef]
- Measuring the Bond Strength of a Glued Manufacturer’s Joint. In TAPPI T 837; TAPPI: Atlanta, GA, USA, 1995.
- Kong, F.; Wang., S.; Price, J.T.; Konduri, M.K.R.; Fatehi, P. Water soluble kraft lignin-acrylic acid copolymer: Synthesis and characterization. Green Chem. 2015, 17, 4355–4366. [Google Scholar] [CrossRef]
- Qin, Y.; Yang, D.; Guo, W.; Qiu, X. Investigation of grafted sulfonated alkali lignin polymer as dispersant in coal-water slurry. J. Ind. Eng. Chem. 2015, 27, 192–200. [Google Scholar] [CrossRef]
- Alwadani, N.; Fatehi, P. Lignin Modzification to Produce hydrOphobic Products. Master’s Thesis, Lakehead University, Thunder Bay, ON, Canada, 2017. [Google Scholar]
- Baumberger, S.; Lapierre, C.; Monties, B.; Della Valle, G. Use of kraft lignin as filler for starch films. Polym. Degrad. Stab. 1998, 59, 273–277. [Google Scholar] [CrossRef]
- Stevens, E.S.; Klamczynski, A.; Glenn, G.M. Starch-lignin foams. Express Polym. Lett. 2010, 4, 311–320. [Google Scholar] [CrossRef]
- Baumberger, S. Chapter 1: Starch-lignin films. In Chemical Modification, Properties and Usage of Lignin; Hu, T.Q., Ed.; Springer: Boston, MA, USA, 2002; ISBN 978-1-4615-0643-0. [Google Scholar]
- Spiridon, I.; Teaca, C.A.; Bodirlau, R. Preparation and characterization of adipic acid-modified starch microparticles/plasticized starch composite films reinforced by lignin. J. Mater. Sci. 2011, 46, 3241–3251. [Google Scholar] [CrossRef]
- Vengal, J.C.; Srikumar, M. Processing and study of novel lignin-starch and lignin-gelatin biodegradable polymeric films. Trends Biomater. Artif. Organs 2005, 18, 237–241. [Google Scholar]
© 2020 by the authors. Licensee MDPI, Basel, Switzerland. This article is an open access article distributed under the terms and conditions of the Creative Commons Attribution (CC BY) license (http://creativecommons.org/licenses/by/4.0/).





