Citric Acid-Assisted Electrokinetic Remediation of Arsenic and Metal-Rich Acidic Mine Pond Sediments
Abstract
1. Introduction
2. Materials and Methods
2.1. Soil Preparation and Characterisation
2.2. Electrokinetic Test
3. Results and Discussion
3.1. Characteristics and Environmental Impact of the Sediment
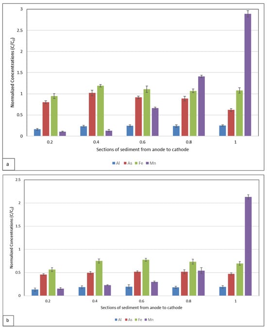
3.2. EKR Application to Sediment
3.3. Evaluation of Energy Expenditure in EKR
4. Conclusions
Funding
Institutional Review Board Statement
Informed Consent Statement
Data Availability Statement
Acknowledgments
Conflicts of Interest
References
- Beane, S.J.; Comber, S.D.; Rieuwerts, J.; Long, P. Abandoned metal mines and their impact on receiving waters: A case study from Southwest England. Chemosphere 2016, 153, 294–306. [Google Scholar] [CrossRef]
- Mahar, A.; Wang, P.; Ali, A.; Awasthi, M.K.; Lahori, A.H.; Wang, Q.; Li, R.; Zhang, Z. Challenges and opportunities in the phytoremediation of heavy metals contaminated soils: A review. Ecotoxicol. Environ. Saf. 2016, 126, 111–121. [Google Scholar] [CrossRef] [PubMed]
- Ma, J.F.; Ryan, P.R.; Delhaize, E. Aluminium tolerance in plants and the complexing role of organic acids. Trends Plant Sci. 2001, 6, 273–278. [Google Scholar] [CrossRef] [PubMed]
- Kochian, L.V.; Hoekenga, O.A.; Pineros, M.A. How do crop plants tolerate acid soils? Mechanisms of aluminum tolerance and phosphorous efficiency. Annu. Rev. Plant Biol. 2004, 55, 459–493. [Google Scholar] [CrossRef] [PubMed]
- Pugh, R.E.; Dick, D.G.; Fredeen, A.L. Heavy metal (Pb, Zn, Cd, Fe, and Cu) contents of plant foliage near the Anvil Range lead/zinc mine, Faro, Yukon Territory. Ecotoxicol. Environ. Saf. 2002, 52, 273–279. [Google Scholar] [CrossRef]
- Chatterjee, C.; Gopal, R.; Dube, B.K. Impact of iron stress on biomass, yield, metabolism and quality of potato (Solanum tuberosum L.). Sci. Hortic. 2006, 108, 1–6. [Google Scholar] [CrossRef]
- Robello, E.; Galatro, A.; Puntarulo, S. Iron role in oxidative metabolism of soybean axes upon growth: Effect of iron overload. Plant Sci. 2007, 172, 939–947. [Google Scholar] [CrossRef]
- Adamski, J.M.; Peters, J.A.; Danieloski, R.; Bacarin, M.A. Excess iron-induced changes in the photosynthetic characteristics of sweet potato. J. Plant Physiol. 2011, 168, 2056–2062. [Google Scholar] [CrossRef]
- Xu, Y.; Lu, Q.; Li, J.; Wan, L.; Chen, S.; Lu, Y. Effect of humus on the remediation of arsenic-contaminated soil by electrokinetic technology. Environ. Technol. Innov. 2021, 21, 101297. [Google Scholar] [CrossRef]
- Wang, H.T.; Ding, J.; Xiong, C.; Zhu, D.; Li, G.; Jia, X.Y.; Zhu, Y.G.; Xue, X.M. Exposure to microplastics lowers arsenic accumulation and alters gut bacterial communities of earthworm Metaphire californica. Environ. Pollut. 2019, 251, 110–116. [Google Scholar] [CrossRef]
- Hindmarsh, J.T.; McCurdy, R.F.; Savory, J. Clinical and environmental aspects of arsenic toxicity. CRC Crit. Rev. Clin. Lab. Sci. 1986, 23, 315–347. [Google Scholar] [CrossRef]
- Romero-Freire, A.; Sierra-Aragón, M.; Ortiz-Bernad, I.; Martín-Peinado, F.J. Toxicity of arsenic in relation to soil properties: Implications to regulatory purposes. J. Soils Sediments 2014, 14, 968–979. [Google Scholar] [CrossRef]
- Rahmani, A.; Khamutian, S.; Doosti-Irani, A.; Shokoohizadeh, M.J.; Shirmohammadi-Khorram, N.; Sahraeei, F.; Khodabakhshi, M.; Ahangaran, N. The association of arsenic exposure with mortality due to cancer, diabetes, Alzheimer’s and congenital anomalies using Poisson regression. Sci. Rep. 2023, 13, 15456. [Google Scholar] [CrossRef]
- Giller, K.E.; Witter, E.; McGrath, S.P. Toxicity of heavy metals to microorganisms and microbial processes in agricultural soils: A review. Soil Biol. Biochem. 1998, 30, 1389–1414. [Google Scholar] [CrossRef]
- Edelstein, M.; Ben-Hur, M. Heavy metals and metalloids: Sources, risks and strategies to reduce their accumulation in horticultural crops. Sci. Hortic. 2018, 234, 431–444. [Google Scholar] [CrossRef]
- Karaca, O. Environmental Impact of Mine Wastes: An Overview of Problems with Mining Sites in Turkey, Remediation Possibilities, and an Example from Turkey. In Environmental Geotechnology; Agnihotri, A., Reddy, K., Bansal, A., Eds.; Lecture Notes in Civil Engineering; Springer: Singapore, 2019; Volume 31, pp. 63–72. [Google Scholar] [CrossRef]
- Nkwunonwo, U.C.; Odika, P.O.; Onyia, N.I. A review of the health implications of heavy metals in food chain in Nigeria. Sci. World J. 2020, 1, 6594109. [Google Scholar] [CrossRef]
- Jomova, K.; Alomar, S.Y.; Nepovimova, E.; Kuca, K.; Valko, M. Heavy metals: Toxicity and human health effects. Arch. Toxicol. 2025, 99, 153–209. [Google Scholar] [CrossRef]
- Tang, S.; Fu, X.; Lin, H.; Liao, Z.; Xie, B.; Xue, Z.; Zhao, G.; Qiao, W.; Wang, Q. Studies on the Migration of Metal Ions in the Aquifer and the Seepage Prevention of Intercepting Walls in Lead–Zinc Mining Areas. Water 2025, 17, 2828. [Google Scholar] [CrossRef]
- Acar, Y.B.; Alshawabkeh, A.N. Principles of electrokinetic remediation. Environ. Sci. Technol. 1993, 27, 2638–2647. [Google Scholar] [CrossRef]
- Al-Hamdan, A.Z.; Reddy, K.R. Transient behavior of heavy metals in soils during electrokinetic remediation. Chemosphere 2008, 71, 860–871. [Google Scholar] [CrossRef] [PubMed]
- Karaca, O.; Karaca, G.; Cameselle, C.; Karaca, I. Removal of the pesticides from soil using electrokinetic method. Rend. Fis. Acc. Lincei 2022, 33, 623–629. [Google Scholar] [CrossRef]
- Sun, Z.; Geng, J.; Zhang, C.; Du, Q. Electrokinetic Remediation of Cu-and Zn-Contaminated Soft Clay with Electrolytes Situated Above Soil Surfaces. Toxics 2024, 12, 563. [Google Scholar] [CrossRef]
- Benamar, A.; Baraud, F. Electrokinetic remediation of dredged sediments from Le Havre Harbour. Eur. J. Environ. Civ. Eng. 2011, 15, 215–228. [Google Scholar] [CrossRef]
- Benamar, A.; Tian, Y.; Portet-Koltalo, F.; Ammami, M.T.; Giusti-Petrucciani, N.; Song, Y.; Boulangé-Lecomte, C. Enhanced electrokinetic remediation of multi-contaminated dredged sediments and induced effect on their toxicity. Chemosphere 2019, 228, 744–755. [Google Scholar] [CrossRef]
- Karaca, O.; Cameselle, C.; Bozcu, M. Opportunities of electrokinetics for the remediation of mining sites in Biga peninsula, Turkey. Chemosphere 2019, 227, 606–613. [Google Scholar] [CrossRef]
- Asadollahfardi, G.; Sarmadi, M.S.; Rezaee, M.; Khodadadi-Darban, A.; Yazdani, M.; Paz-Garcia, J.M. Comparison of different extracting agents for the recovery of Pb and Zn through electrokinetic remediation of mine tailings. J. Environ. Manag. 2021, 279, 111728. [Google Scholar] [CrossRef]
- Ozenturk, B.; Karaca, O.; Ulugergerli, E.U.; Cameselle, C. Removal of salinity from soil using the electrokinetic treatment method. Environ. Geotech. 2025. [Google Scholar] [CrossRef]
- Lan, J.; Wen, F.; Ren, Y.; Liu, G.; Jiang, Y.; Wang, Z.; Zhu, X. An overview of bioelectrokinetic and bioelectrochemical remediation of petroleum-contaminated soils. Environ. Sci. Ecotech. 2023, 16, 100278. [Google Scholar] [CrossRef]
- Narenkumar, J.; Das, B.; Abilaji, S.; Sathishkumar, K.; AlSalhi, M.S.; Devanesan, S.; Rajasekar, A.; Malik, T. Biosurfactant-assisted bio-electrokinetic enhanced remediation of heavy metal-contaminated soil. Front. microbiol. 2024, 15, 1458369. [Google Scholar] [CrossRef] [PubMed]
- Reddy, K.R.; Cameselle, C. Electrochemical Remediation Technologies for Polluted Soils Sediments and Groundwater; John Wiley: Hoboken, NJ, USA, 2009. [Google Scholar] [CrossRef]
- Saichek, R.E.; Reddy, K.R. Electrokinetically enhanced remediation of hydrophobic organic compounds in soils: A review. Crit. Rev. Environ. Sci. Technol. 2005, 35, 115–192. [Google Scholar] [CrossRef]
- Cameselle, C. Enhancement of electro-osmotic flow during the electrokinetic treatment of a contaminated soil. Electrochim. Acta 2015, 181, 31–38. [Google Scholar] [CrossRef]
- Gidudu, B.; Chirwa, E.M. The role of pH, electrodes, surfactants, and electrolytes in electrokinetic remediation of contaminated soil. Molecules 2022, 27, 7381. [Google Scholar] [CrossRef]
- Ammami, M.T.; Benamar, A.; Wang, H.; Bailleul, C.; Legras, M.; Le Derf, F.; Portet-Koltalo, F. Simultaneous electrokinetic removal of polycyclic aromatic hydrocarbons and metals from a sediment using mixed enhancing agents. Int. J. Environ. Sci. Technol. 2014, 11, 1801–1816. [Google Scholar] [CrossRef]
- Cameselle, C.; Gouveia, S.; Cabo, A. Enhanced electrokinetic remediation for the removal of heavy metals from contaminated soils. Appl. Sci. 2021, 11, 1799. [Google Scholar] [CrossRef]
- Ammami, M.T.; Portet-Koltalo, F.; Benamar, A.; Duclairoir-Poc, C.; Wang, H.; Le Derf, F. Application of biosurfactants and periodic voltage gradient for enhanced electrokinetic remediation of metals and PAHs in dredged marine sediments. Chemosphere 2015, 125, 1–8. [Google Scholar] [CrossRef] [PubMed]
- Song, Y.; Ammami, M.T.; Benamar, A.; Mezazigh, S.; Wang, H. Effect of EDTA, EDDS, NTA and citric acid on electrokinetic remediation of As, Cd, Cr, Cu, Ni, Pb and Zn contaminated dredged marine sediment. Environ. Sci. Pollut. Res. 2016, 23, 10577–10586. [Google Scholar] [CrossRef]
- Demir, A.; Pamukcu, S.; Shrestha, R.A. Simultaneous removal of Pb, Cd, and Zn from heavily contaminated mine tailing soil using enhanced electrochemical process. Environ. Eng. Sci. 2015, 32, 416–424. [Google Scholar] [CrossRef]
- Ortiz-Soto, R.; Leal, D.; Gutierrez, C.; Aracena, A.; Rojo, A.; Hansen, H.K. Electrokinetic remediation of manganese and zinc in copper mine tailings. J. Hazard. Mater. 2019, 365, 905–911. [Google Scholar] [CrossRef] [PubMed]
- Karaca, O.; Reddy, K.R. Environmental assessment of mine tailings: Can-Etili Basin (Turkey) as a case study. In Proceedings of the International Multidisciplinary Scientific GeoConference: SGEM, Sofia, Bulgaria, 17–26 June 2014; Volume 3, p. 221. [Google Scholar]
- Yang, X.; Liu, L.; Wang, Y.; Qiu, G. Remediation of As-contaminated soils using citrate extraction coupled with electrochemical removal. Sci. Total Environ. 2022, 817, 153042. [Google Scholar] [CrossRef]
- ÇŞİDB. Regulation on the regular storage of waste, Annex 2: Waste acceptance criteria. Official Gazette, 26 March 2010; No. 27533. (In Turkish) [Google Scholar]
- Tessier, A.P.G.C.; Campbell, P.G.; Bisson, M.J.A.C. Sequential extraction procedure for the speciation of particulate trace metals. Anal. Chem. 1979, 51, 844–851. [Google Scholar] [CrossRef]
- García-Sánchez, A.; Alonso-Rojo, P.; Santos-Francés, F. Distribution and mobility of arsenic in soils of a mining area (Western Spain). Sci. Total Environ. 2010, 408, 4194–4201. [Google Scholar] [CrossRef] [PubMed]
- Smedley, P.L.; Kinniburgh, D.G. A review of the source, behaviour and distribution of arsenic in natural waters. Appl. Geochem. 2002, 17, 517–568. [Google Scholar] [CrossRef]
- Kawa, Y.K.; Wang, J.; Chen, X.; Zhu, X.; Zeng, X.-C.; Wang, Y. Reductive dissolution and release of arsenic from arsenopyrite by a novel arsenate-respiring bacterium from the arsenic-contaminated soils. Int. Biodeterior. Biodegrad. 2019, 143, 104712. [Google Scholar] [CrossRef]
- Belzile, N.; Tessier, A. Interactions between arsenic and iron oxyhydroxides in lacustrine sediments. Geochim. Cosmochim. Acta 1990, 54, 103–109. [Google Scholar] [CrossRef]
- Rahman, M.A.; Hasegawa, H.; Ueda, K.; Maki, T.; Rahman, M.M. Influence of EDTA and chemical species on arsenic accumulation in Spirodela polyrhiza L. (duckweed). Ecotoxicol. Environ. Saf. 2008, 70, 311–318. [Google Scholar] [CrossRef][Green Version]
- Zhu, Z.; Liu, H.; Yang, Y.; Zhou, X.; Tang, S.; Zhang, L.; Zhu, Y.; Fan, Y. Remediation characteristics and effects of electrokinetic-citric acid system on karst soil contaminated by arsenic and cadmium. Environ. Technol. Innov. 2024, 33, 103483. [Google Scholar] [CrossRef]
- Yuan, C.; Chiang, T.S. Enhancement of electrokinetic remediation of arsenic spiked soil by chemical reagents. J. Hazard. Mater. 2008, 152, 309–315. [Google Scholar] [CrossRef]







| Metal | C0 (mg/kg) | R (%) (CA) | R (%) (DIW) |
|---|---|---|---|
| As | 1030 | 51.13 | 9.63 |
| Al | 66,700 | 82.39 | 77.3 |
| Fe | 56,800 | 29.54 | 0.0 |
| Mn | 751 | 32.86 | 0.0 |
Disclaimer/Publisher’s Note: The statements, opinions and data contained in all publications are solely those of the individual author(s) and contributor(s) and not of MDPI and/or the editor(s). MDPI and/or the editor(s) disclaim responsibility for any injury to people or property resulting from any ideas, methods, instructions or products referred to in the content. |
© 2025 by the author. Licensee MDPI, Basel, Switzerland. This article is an open access article distributed under the terms and conditions of the Creative Commons Attribution (CC BY) license (https://creativecommons.org/licenses/by/4.0/).
Share and Cite
Karaca, O. Citric Acid-Assisted Electrokinetic Remediation of Arsenic and Metal-Rich Acidic Mine Pond Sediments. Toxics 2025, 13, 1000. https://doi.org/10.3390/toxics13111000
Karaca O. Citric Acid-Assisted Electrokinetic Remediation of Arsenic and Metal-Rich Acidic Mine Pond Sediments. Toxics. 2025; 13(11):1000. https://doi.org/10.3390/toxics13111000
Chicago/Turabian StyleKaraca, Oznur. 2025. "Citric Acid-Assisted Electrokinetic Remediation of Arsenic and Metal-Rich Acidic Mine Pond Sediments" Toxics 13, no. 11: 1000. https://doi.org/10.3390/toxics13111000
APA StyleKaraca, O. (2025). Citric Acid-Assisted Electrokinetic Remediation of Arsenic and Metal-Rich Acidic Mine Pond Sediments. Toxics, 13(11), 1000. https://doi.org/10.3390/toxics13111000

