New Insights into Biochemical, Genotoxic, and Analytical Aspects of Low-Level Imidacloprid Exposure in Liver and Kidney Tissue of Adult Male Wistar Rats
Abstract
1. Introduction
2. Materials and Methods
2.1. Chemicals and Reagents
2.2. Animals and Experimental Design
2.3. Biochemical Analysis
2.3.1. Cholinesterase Activity Assay
2.3.2. Determination of Oxidative Stress Parameters
2.4. Determination of Primary DNA Damage with Alkaline Comet Assay
2.5. HPLC-UV DAD Analysis
2.6. Statistical Analysis
3. Results
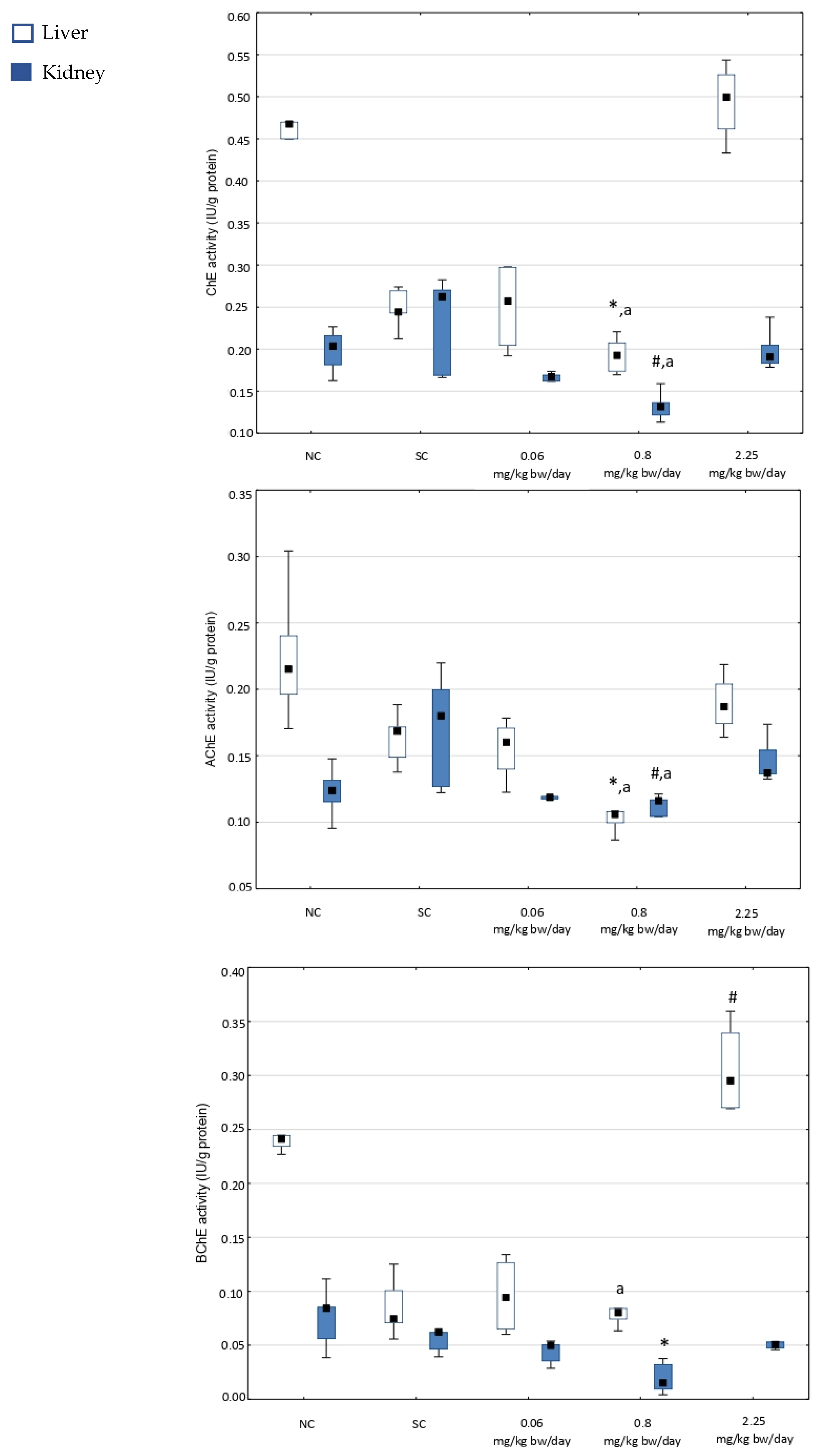
3.1. Cholinesterase Activities
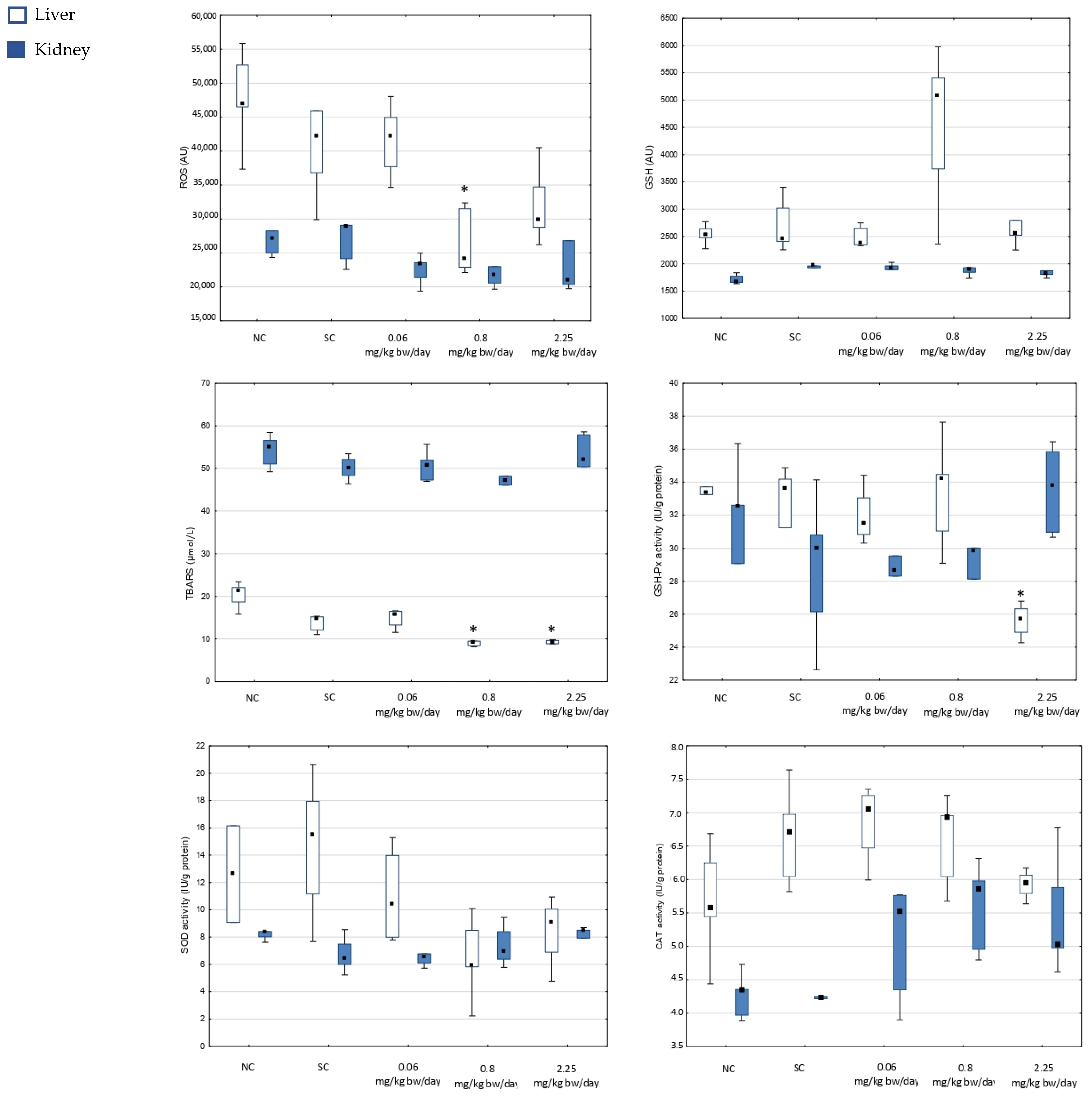
3.2. Oxidative Stress Parameters
3.3. The Alkaline Comet Assay
3.4. Analysis of Imidacloprid and Its Metabolite in Urine
4. Discussion
5. Conclusions
Author Contributions
Funding
Institutional Review Board Statement
Informed Consent Statement
Data Availability Statement
Acknowledgments
Conflicts of Interest
References
- Jeschke, P.; Nauen, R.; Schindler, M.; Elbert, A. Overview of the status and global strategy for neonicotinoids. J. Agric. Food Chem. 2011, 59, 2897–2908. [Google Scholar] [CrossRef]
- Kundoo, A.A.; Dar, S.A.; Mushtaq, M.; Bashir, Z.; Dar, M.S.; Gul, S.; Ali, M.T.; Gulzar, S. Role of neonicotinoids in insect pest management: A review. J. Entomol. Zool. Stud. 2018, 6, 333–339. [Google Scholar]
- Matsuda, K.; Shimomura, M.; Ihara, M.; Akamatsu, M.; Sattelle, D.B. Neonicotinoids show selective and diverse actions on their nicotinic receptor targets: Electrophysiology, molecular biology, and receptor modeling studies. Biosci. Biotechnol. Biochem. 2005, 69, 1442–1452. [Google Scholar] [CrossRef]
- Tomizawa, M.; Casida, J.E. Neonicotinoid insecticide toxicology: Mechanisms of selective action. Annu. Rev. Pharmacol. Toxicol. 2005, 45, 247–268. [Google Scholar] [CrossRef] [PubMed]
- United States Environmental Protection Agency (US EPA). Imidacloprid: Human Health Risk Assessment. 2017. Available online: https://www.regulations.gov/document/EPA-HQ-OPP-2008-0844-1235 (accessed on 12 October 2024).
- Bonmatin, J.M.; Giorio, C.; Girolami, V.; Goulson, D.; Kreutzweiser, D.P.; Krupke, C.; Liess, M.; Long, E.; Marzaro, M.; Mitchell, E.A.; et al. Environmental fate and exposure; neonicotinoids and fipronil. Environ. Sci. Pollut. Res. Int. 2015, 22, 35–67. [Google Scholar] [CrossRef]
- Scholz, K.; Spiteller, M. Influence of groundcover on the degradation of 14C-imidacloprid in soil. In Proceedings of Brighton Crop Protection Conference—Pest and Diseases, Brighton, UK, 23–26 November 1992; pp. 883–888. [Google Scholar]
- Roberts, T.R.; Hutson, D.H. Imidacloprid. In Metabolic Pathways of Agrochemicals Part 2: Insecticides and Fungicides; Roberts, T.R., Hutson, D.H., Eds.; The Royal Society of Chemistry: Cambridge, UK, 1999; pp. 111–120. [Google Scholar]
- ECHA (European Chemicals Agency). Assessment Report, Imidacloprid: Product-Type 18 (Insecticides, Acaricides and Products to Control Other Arthropods). 2015. Available online: https://echa.europa.eu/documents/10162/225b9c58-e24c-6491-cc8d-7d85564f3912 (accessed on 10 September 2024).
- EU Commission Implementing Decision (EU) 2023/460. 2023. Available online: https://eur-lex.europa.eu/legal-content/EN/TXT/PDF/?uri=CELEX:32023D0460 (accessed on 10 September 2024).
- Goulson, D.; Nicholls, E.; Botías, C.; Rotheray, E.L. Bee declines driven by combined stress from parasites, pesticides, and lack of flowers. Science 2015, 347, 1255957. [Google Scholar] [CrossRef] [PubMed]
- Tsvetkov, N.; Samson-Robert, O.; Sood, K.; Patel, H.S.; Malena, D.A.; Gajiwala, P.H.; Maciukiewicz, P.; Fournier, V.; Zayed, A. Chronic exposure to neonicotinoids reduces honey bee health near corn crops. Science 2017, 356, 1395–1397. [Google Scholar] [CrossRef]
- Wood, T.J.; Goulson, D. The environmental risks of neonicotinoid pesticides: A review of the evidence post 2013. Environ. Sci. Pollut. Res. 2017, 24, 17285–17325. [Google Scholar] [CrossRef]
- Woodcock, B.A.; Bullock, J.M.; Shore, R.F.; Heard, M.S.; Pereira, M.G.; Redhead, J.; Ridding, L.; Dean, H.; Sleep, D.; Henrys, P.; et al. Country-specific effects of neonicotinoid pesticides on honey bees and wild bees. Science 2017, 356, 1393–1395. [Google Scholar] [CrossRef] [PubMed]
- Chen, Y.R.; Tzeng, D.T.W.; Lin, S.S.; Yang, E.C. Sublethal Imidacloprid Administration to Honey Bee Workers is More Lethal to the Queen Larvae. Environ. Toxicol. Chem. 2024, 43, 2232–2242. [Google Scholar] [CrossRef]
- Fischer, N.; Costa, C.P.; Hur, M.; Kirkwood, J.S.; Woodard, S.H. Impacts of neonicotinoid insecticides on bumble bee energy metabolism are revealed under nectar starvation. Sci. Total Environ. 2024, 912, 169388. [Google Scholar] [CrossRef]
- EU Commission Implementing Regulation (EU) 2018/783. 2018. Available online: https://eur-lex.europa.eu/legal-content/EN/TXT/PDF/?uri=CELEX:32018R0783 (accessed on 20 November 2024).
- World Health Organisation (WHO). Toxicological Evaluations: Imidacloprid. 2001. Available online: https://inchem.org/documents/jmpr/jmpmono/2001pr07.htm (accessed on 12 October 2024).
- Brunet, J.L.; Maresca, M.; Fantini, J.; Belzunces, L.P. Human intestinal absorption of imidacloprid with Caco-2 cells as enterocyte model. Toxicol. Appl. Pharmacol. 2004, 194, 1–9. [Google Scholar] [CrossRef]
- Gervais, J.A.; Luukinen, B.; Buhl, K.; Stone, D. Imidacloprid Technical Fact Sheet; National Pesticide Information Center, Oregon State University Extension Services. 2010. Available online: http://npic.orst.edu/factsheets/archive/imidacloprid.html (accessed on 1 October 2024).
- Wrobel, S.A.; Bury, D.; Hayen, H.; Koch, H.M.; Brüning, T.; Käfferlein, H.U. Human metabolism and urinary excretion of seven neonicotinoids and neonicotinoid-like compounds after controlled oral dosages. Arch. Toxicol. 2022, 96, 121–134. [Google Scholar] [CrossRef]
- USDA Forest Service. Imidacloprid: Human Health and Ecological Risk Assessment Corrected FINAL REPORT. 2015. Available online: https://www.fs.usda.gov/foresthealth/pesticide/pdfs/ImidaclopridFinalReport.pdf (accessed on 1 October 2024).
- Mikolić, A.; Karačonji, I.B. Imidacloprid as reproductive toxicant and endocrine disruptor: Investigations in laboratory animals. Arh. Hig. Rada Toksikol. 2018, 69, 103–108. [Google Scholar] [CrossRef]
- Hafez, E.M.; Issa, S.Y.; Al-Mazroua, M.K.; Ibrahim, K.; Rahman, S.M.A. The neonicotinoid insecticide imidacloprid: A male reproductive system toxicity inducer-human and experimental study. Toxicol. Open Access 2016, 2, 1000109. [Google Scholar] [CrossRef]
- Yuan, X.; Shen, J.; Zhang, X.; Tu, W.; Fu, Z.; Jin, Y. Imidacloprid disrupts the endocrine system by interacting with androgen receptor in male mice. Sci. Total Environ. 2020, 708, 135163. [Google Scholar] [CrossRef]
- Pérez-Bermejo, M.; Barrezueta-Aguilar, C.; Pérez-Murillo, J.; Ventura, I.; Legidos-García, M.E.; Tomás-Aguirre, F.; Tejeda-Adell, M.; Martínez-Peris, M.; Marí-Beltrán, B.; Murillo-Llorente, M.T. Impact of Endocrine Disrupting Pesticide Use on Obesity: A Systematic Review. Biomedicines 2024, 12, 2677. [Google Scholar] [CrossRef] [PubMed]
- United States Environmental Protection Agency (US EPA). Imidacloprid. 2020. Available online: https://www.epa.gov/sites/default/files/2020-01/documents/imidacloprid_pid_signed_1.22.2020.pdf (accessed on 10 October 2024).
- Feng, S.; Kong, Z.; Wang, X.; Peng, P.; Zeng, E.Y. Assessing the genotoxicity of imidacloprid and RH-5849 in human peripheral blood lymphocytes in vitro with comet assay and cytogenetic tests. Ecotoxicol. Environ. Saf. 2005, 61, 239–246. [Google Scholar] [CrossRef] [PubMed]
- Demsia, G.; Vlastos, D.; Goumenou, M.; Matthopoulos, D.P. Assessment of the genotoxicity of imidacloprid and metalaxyl in cultured human lymphocytes and rat bone-marrow. Mutat. Res. 2007, 634, 32–39. [Google Scholar] [CrossRef] [PubMed]
- Costa, C.; Silvari, V.; Melchini, A.; Catania, S.; Heffron, J.J.; Trovato, A.; De Pasquale, R. Genotoxicity of imidacloprid in relation to metabolic activation and composition of the commercial product. Mutat. Res. 2009, 672, 40–44. [Google Scholar] [CrossRef]
- Calderón-Segura, M.E.; Gómez-Arroyo, S.; Villalobos-Pietrini, R.; Martínez-Valenzuela, C.; Carbajal-López, Y.; Calderón-Ezquerro Mdel, C.; Cortés-Eslava, J.; García-Martínez, R.; Flores-Ramírez, D.; Rodríguez-Romero, M.I.; et al. Evaluation of genotoxic and cytotoxic effects in human peripheral blood lymphocytes exposed in vitro to neonicotinoid insecticides news. J. Toxicol. 2012, 2012, 612647. [Google Scholar] [CrossRef]
- Abbassy, M.A.; Marzouk, M.A.; Nasr, H.M.; Mansy, A.S.M. Effect of Imidacloprid and Tetraconazole on Various Hematological and Biochemical Parameters in Male Albino Rats (Rattus norvegious). J. Political Sci. Public Aff. 2014, 2, 122. [Google Scholar] [CrossRef]
- Pérez-Iglesias, J.M.; Ruiz de Arcaute, C.; Nikoloff, N.; Dury, L.; Soloneski, S.; Natale, G.S.; Larramendy, M.L. The genotoxic effects of the imidacloprid-based insecticide formulation Glacoxan Imida on Montevideo tree frog Hypsiboas pulchellus tadpoles (Anura, Hylidae). Ecotoxicol. Environ. Saf. 2014, 104, 120–126. [Google Scholar] [CrossRef]
- Bagri, P.; Kumar, V.; Sikka, A.K. Assessment of imidacloprid-induced mutagenic effects in somatic cells of Swiss albino male mice. Drug. Chem. Toxicol. 2016, 39, 412–417. [Google Scholar] [CrossRef]
- Stivaktakis, P.D.; Kavvalakis, M.P.; Tzatzarakis, M.N.; Alegakis, A.K.; Panagiotakis, M.N.; Fragkiadaki, P.; Vakonaki, E.; Ozcagli, E.; Hayes, W.A.; Rakitskii, V.N.; et al. Long-term exposure of rabbits to imidaclorpid as quantified in blood induces genotoxic effect. Chemosphere 2016, 149, 108–113. [Google Scholar] [CrossRef]
- Guo, J.; Shi, R.; Cao, Y.; Luan, Y.; Zhou, Y.; Gao, Y.; Tian, Y. Genotoxic effects of imidacloprid in human lymphoblastoid TK6 cells. Drug Chem. Toxicol. 2020, 43, 208–212. [Google Scholar] [CrossRef]
- Katić, A.; Kašuba, V.; Kopjar, N.; Lovaković, B.T.; Marjanović Čermak, A.M.; Mendaš, G.; Micek, V.; Milić, M.; Pavičić, I.; Pizent, A.; et al. Effects of low-level imidacloprid oral exposure on cholinesterase activity, oxidative stress responses, and primary DNA damage in the blood and brain of male Wistar rats. Chem. Biol. Interact. 2021, 338, 109287. [Google Scholar] [CrossRef]
- Duzguner, V.; Erdogan, S. Acute oxidant and inflammatory effects of imidacloprid on the mammalian central nervous system and liver in rats. Pestic. Biochem. Physiol. 2010, 97, 13–18. [Google Scholar] [CrossRef]
- Duzguner, V.; Erdogan, S. Chronic exposure to imidacloprid induces inflammation and oxidative stress in the liver & central nervous system of rats. Pestic. Biochem. Physiol. 2012, 104, 58–64. [Google Scholar] [CrossRef]
- Mohany, M.; El-Feki, M.; Refaat, I.; Garraud, O.; Badr, G. Thymoquinone ameliorates the immunological and histological changes induced by exposure to imidacloprid insecticide. J. Toxicol. Sci. 2012, 37, 1–11. [Google Scholar] [CrossRef] [PubMed]
- Soujanya, S.; Lakshman, M.; Kumar, A.A.; Reddy, A.G. Evaluation of the protective role of vitamin C in imidacloprid-induced hepatotoxicity in male Albino rats. J. Nat. Sci. Biol. Med. 2013, 4, 63–67. [Google Scholar] [CrossRef] [PubMed]
- Yardimci, M.; Sevgiler, Y.; Rencuzogullari, E.; Arslan, M.; Buyukleyla, M.; Yilmaz, M. Sex-, tissue-, and exposure duration-dependent effects of imidacloprid modulated by piperonyl butoxide and menadione in rats. Part I: Oxidative and neurotoxic potentials. Arh. Hig. Rada Toksikol. 2014, 65, 387–398. [Google Scholar] [CrossRef]
- Hassanen, E.I.; Hussien, A.M.; Mehanna, S.; Ibrahim, M.A.; Hassan, N.H. Comparative assessment on the probable mechanisms underlying the hepatorenal toxicity of commercial imidacloprid and hexaflumuron formulations in rats. Environ. Sci. Pollut. Res. Int. 2022, 29, 29091–29104. [Google Scholar] [CrossRef]
- Directive 2010/63/EU of the European Parliament and of the Council of 22 September 2010 on the Protection of Animals Used for Scientific Purposes. 2010. Available online: http://data.europa.eu/eli/dir/2010/63/oj (accessed on 1 October 2018).
- European Food Safety Authority (EFSA). Conclusion regarding the peer review of the pesticide risk assessment of the active substance imidacloprid. EFSA J. 2008, 6, 148r. [Google Scholar] [CrossRef]
- European Comission. EU Pesticides Database. Imidacloprid. 2016. Available online: https://ec.europa.eu/food/plant/pesticides/eu-pesticides-database/start/screen/active-substances (accessed on 1 October 2018).
- Pant, K.; Springer, S.; Bruce, S.; Lawlor, T.; Hewitt, N.; Aardema, M.J. Vehicle and positive control values from the in vivo rodent comet assay and biomonitoring studies using human lymphocytes: Historical database and influence of technical aspects. Environ. Mol. Mutagen. 2014, 55, 633–642. [Google Scholar] [CrossRef] [PubMed]
- Ellman, G.L. A colorimetric method for determining low concentrations of mercaptans. Arch. Biochem. Biophys. 1958, 74, 443–450. [Google Scholar] [CrossRef]
- Kašuba, V.; Tariba Lovaković, B.; Lucić Vrdoljak, A.; Katić, A.; Kopjar, N.; Micek, V.; Milić, M.; Pizent, A.; Želježić, D.; Žunec, S. Evaluation of Toxic Effects Induced by Sub-Acute Exposure to Low Doses of α-Cypermethrin in Adult Male Rats. Toxics 2022, 10, 717. [Google Scholar] [CrossRef]
- Tariba Lovaković, B.; Kašuba, V.; Katić, A.; Kopjar, N.; Marjanović Čermak, A.M.; Micek, V.; Milić, M.; Pavičić, I.; Pizent, A.; Žunec, S.; et al. Evaluation of oxidative stress responses and primary DNA damage in blood and brain of rats exposed to low levels of tembotrione. Chemosphere 2020, 253, 126643. [Google Scholar] [CrossRef]
- Singh, N.P.; McCoy, M.T.; Tice, R.R.; Schneider, E.L. A simple technique for quantitation of low levels of DNA damage in individual cells. Exp. Cell Res. 1988, 175, 184–191. [Google Scholar] [CrossRef]
- Asahi, J.; Kamo, H.; Baba, R.; Doi, Y.; Yamashita, A.; Murakami, D.; Hanada, A.; Hirano, T. Bisphenol A induces endoplasmic reticulum stress-associated apoptosis in mouse non-parenchymal hepatocytes. Life Sci. 2010, 87, 431–438. [Google Scholar] [CrossRef] [PubMed]
- Smith, C.C.; Adkins, D.J.; Martin, E.A.; O’Donovan, M.R. Recommendations for design of the rat comet assay. Mutagenesis 2008, 23, 233–240. [Google Scholar] [CrossRef]
- Nimako, C.; Ikenaka, Y.; Okamatsu-Ogura, Y.; Bariuan, J.V.; Kobayashi, A.; Yamazaki, R.; Taira, K.; Hoshi, N.; Hirano, T.; Nakayama, S.M.M.; et al. Chronic low-dose exposure to imidacloprid potentiates high fat diet-mediated liver steatosis in C57BL/6J male mice. J. Vet. Med. Sci. 2021, 83, 487–500. [Google Scholar] [CrossRef]
- Harada, K.H.; Tanaka, K.; Sakamoto, H.; Imanaka, M.; Niisoe, T.; Hitomi, T.; Kobayashi, H.; Okuda, H.; Inoue, S.; Kusakawa, K.; et al. Biological Monitoring of Human Exposure to Neonicotinoids Using Urine Samples, and Neonicotinoid Excretion Kinetics. PLoS ONE 2016, 11, e0146335. [Google Scholar] [CrossRef]
- Kapoor, U.; Srivastava, M.K.; Trivedi, P.; Garg, V.; Srivastava, L.P. Disposition and acute toxicity of imidacloprid in female rats after single exposure. Food Chem. Toxicol. 2014, 68, 190–195. [Google Scholar] [CrossRef]
- Kaur, H.; Hundal, S.S. Acetylcholinesterase and Glutathione-S-Transferase as Biomarkers for Imidacloprid Toxicity in Earthworm Eudrilus eugeniae and Metaphire posthuma. Pakistan J. Zool. 2022, 54, 2489–2492. [Google Scholar] [CrossRef]
- Koshlukova, S.E. Imidacloprid. Risk Characterization Document for Dietary and Drinking Water Exposures. California Environmental Protection Agency Department of Pesticide Regulation. 2006. Available online: https://www.cdpr.ca.gov/wp-content/uploads/2024/10/imidacloprid.pdf (accessed on 25 October 2024).
- Wessler, I.; Kirkpatrick, C.J. Acetylcholine beyond neurons: The non-neuronal cholinergic system in humans. Br. J. Pharmacol. 2008, 154, 1558–1571. [Google Scholar] [CrossRef] [PubMed]
- Giacobini, E. Cholinesterases and Cholinesterases Inhibitors, 3rd ed.; Informa Healthcare: London, UK, 2000. [Google Scholar]
- Aroniadou-Anderjaska, V.; Figueiredo, T.H.; de Araujo Furtado, M.; Pidoplichko, V.I.; Braga, M.F.M. Mechanisms of Or-ganophosphate Toxicity and the Role of Acetylcholinesterase Inhibition. Toxics 2023, 11, 866. [Google Scholar] [CrossRef]
- Popp, J.A.; Cattley, R.C. Hepatobiliary system. In Handbook of Toxicologic Pathology; Haschek, W.M., Rousseaux, C.G., Eds.; Academic Press: San Diego, CA, USA, 1991; pp. 279–314. [Google Scholar]
- Bhardwaj, S.; Srivastava, M.K.; Kapoor, U.; Srivastava, L.P. A 90 days oral toxicity of imidacloprid in female rats: Morphological, biochemical and histopathological evaluations. Food. Chem. Toxicol. 2010, 48, 1185–1190. [Google Scholar] [CrossRef] [PubMed]
- Mohany, M.; Badr, G.; Refaat, I.; El-Feki, M. Immunological and histological effects of exposure to imidacloprid insecticide in male albino rats. Afr. J. Pharm. Pharmacol. 2011, 5, 2106–2114. [Google Scholar] [CrossRef]
- Ince, S.; Kucukkurt, I.; Demirel, H.H.; Turkmen, R.; Zemheri, F.; Akbel, E. The role of thymoquinone as antioxidant protection on oxidative stress induced by imidacloprid in male and female Swiss albino mice. Toxicol. Environ. Chem. 2013, 95, 318–329. [Google Scholar] [CrossRef]
- Toor, H.K.; Sangha, G.K.; Khera, K.S. Imidacloprid induced histological and biochemical alterations in liver of female albino rats. Pestic. Biochem. Physiol. 2013, 105, 1–4. [Google Scholar] [CrossRef]
- Arfat, Y.; Mahmood, N.; Tahir, M.U.; Rashid, M.; Anjum, S.; Zhao, F.; Li, D.J.; Sun, Y.L.; Hu, L.; Zhihao, C.; et al. Effect of imidacloprid on hepatotoxicity and nephrotoxicity in male albino mice. Toxicol. Rep. 2014, 1, 554–561. [Google Scholar] [CrossRef]
- Vohra, P.; Khera, K.S.; Sangha, G.K. Physiological, biochemical and histological alterations induced by administration of imidacloprid in female albino rats. Pestic. Biochem. Physiol. 2014, 110, 50–56. [Google Scholar] [CrossRef]
- Vohra, P.; Khera, K.S. A Three Generation Study with Effect of Imidacloprid in Rats: Biochemical and Histopathological Investigation. Toxicol. Int. 2015, 22, 119–124. [Google Scholar] [CrossRef]
- Lohiya, A.; Kumar, V.; Punia, J.S. Imidacloprid induced oxidative stress and histopathological changes in liver of rats. Indian J. Anim. Res. 2017, 51, 531–536. [Google Scholar] [CrossRef]
- Hassan, A.M.S.; Abo El-Ela, F.I.; Abdel-Aziz, A.M. Investigating the potential protective effects of natural product quercetin against imidacloprid-induced biochemical toxicity and DNA damage in adult rats. Toxicol. Rep. 2019, 6, 727–735. [Google Scholar] [CrossRef] [PubMed]
- Zheng, M.; Qin, Q.; Zhou, W.; Liu, Q.; Zeng, S.; Xiao, H.; Bai, Q.; Gao, J. Metabolic disturbance in hippocampus and liver of mice: A primary response to imidacloprid exposure. Sci. Rep. 2020, 10, 5713. [Google Scholar] [CrossRef]
- Omar, A.A.A.; Gad, M.F.; Refaie, A.A.; Abdelhafez, H.M.; Mossa, A.H. Benchmark Dose Approach to DNA and Liver Damage by Chlorpyrifos and Imidacloprid in Male Rats: The Protective Effect of a Clove-Oil-Based Nanoemulsion Loaded with Pomegranate Peel Extract. Toxics 2023, 11, 569. [Google Scholar] [CrossRef] [PubMed]
- Qumsani, A.T. Exploring the Effects of Imidacloprid on Liver Health and the Microbiome in Rats: A Comprehensive Study. Microorganisms 2024, 13, 15. [Google Scholar] [CrossRef]
- Rankin, G.O. Kidney. In Encylopedia of Toxicology, 2nd ed.; Wexler, P., Ed.; Academic Press: New York, NY, USA, 2005; pp. 666–689. [Google Scholar]
- George, B.; You, D.; Joy, M.S.; Aleksunes, L.M. Xenobiotic transporters and kidney injury. Adv. Drug Deliv. Rev. 2017, 116, 73–91. [Google Scholar] [CrossRef]
- Soujanya, S.; Lakshman, M. Imidacloprid-Induced Nephrotoxicity in Male Rats. Int. J. Sci. Res. 2013, 2, 6. [Google Scholar]
- Lafi, B.; Chaâbane, M.; Elwej, A.; Grati, M.; Jamoussi, K.; Mnif, H.; Boudawara, T.; Ketata Bouaziz, H.; Zeghal, N. Effects of co-exposure to imidacloprid and gibberellic acid on redox status, kidney variables and histopathology in adult rats. Arch. Physiol. Biochem. 2018, 124, 175–184. [Google Scholar] [CrossRef]
- Xu, X.; Wang, X.; Yang, Y.; Ares, I.; Martínez, M.; Lopez-Torres, B.; Martínez-Larrañaga, M.R.; Wang, X.; Anadón, A.; Martinez, M.A. Neonicotinoids: Mechanisms of systemic toxicity based on oxidative stress-mitochondrial damage. Arch. Toxicol. 2022, 96, 1493–1520. [Google Scholar] [CrossRef]
- Murphy, M.P. How mitochondria produce reactive oxygen species. Biochem. J. 2009, 417, 1–13. [Google Scholar] [CrossRef]
- Wang, X.; Anadón, A.; Wu, Q.; Qiao, F.; Ares, I.; Martínez-Larrañaga, M.R.; Yuan, Z.; Martínez, M.A. Mechanism of Neonicotinoid Toxicity: Impact on Oxidative Stress and Metabolism. Annu. Rev. Pharmacol. Toxicol. 2018, 58, 471–507. [Google Scholar] [CrossRef]
- El-Gendy, K.S.; Aly, N.M.; Mahmoud, F.H.; Kenawy, A.; El-Sebae, A.K. The role of vitamin C as antioxidant in protection of oxidative stress induced by imidacloprid. Food Chem. Toxicol. 2010, 48, 215–221. [Google Scholar] [CrossRef] [PubMed]
- Kapoor, U.; Srivastava, M.K.; Bhardwaj, S.; Srivastava, L.P. Effect of imidacloprid on antioxidant enzymes and lipid peroxidation in female rats to derive its No Observed Effect Level (NOEL). J. Toxicol. Sci. 2010, 35, 577–581. [Google Scholar] [CrossRef]
- Hayes, J.D.; McLellan, L.I. Glutathione and glutathione-dependent enzymes represent a co-ordinately regulated defence against oxidative stress. Free Radic. Res. 1999, 31, 273–300. [Google Scholar] [CrossRef]
- Banerjee, B.D.; Seth, V.; Ahmed, R.S. Pesticide-induced oxidative stress: Perspectives and trends. Rev. Environ. Health 2001, 16, 1–40. [Google Scholar] [CrossRef] [PubMed]
- Collins, A.R. The comet assay for DNA damage and repair: Principles, applications, and limitations. Mol. Biotechnol. 2004, 26, 249–261. [Google Scholar] [CrossRef] [PubMed]
- Ansoar-Rodríguez, Y.; Christofoletti, C.A.; Marcato, A.C.; Correia, J.E.; Bueno, O.C.; Malaspina, O.; Fontanetti, C.S. Insecticide Imidacloprid in a Non-Target Organism (Oreochromis niloticus-Pisces). J. Environ. Protect. 2015, 6, 1360–1367. [Google Scholar] [CrossRef]
- Gibbons, D.; Morrissey, C.; Mineau, P. A review of the direct and indirect effects of neonicotinoids and fipronil on vertebrate wildlife. Environ. Sci. Pollut. Res. 2015, 22, 103–118. [Google Scholar] [CrossRef]
- Han, W.; Tian, Y.; Shen, X. Human exposure to neonicotinoid insecticides and the evaluation of their potential toxicity: An overview. Chemosphere 2018, 192, 59–65. [Google Scholar] [CrossRef]
- Yadav, P.; Dalalal, S.; Kataria, S.K. Assessment of Genotoxicitxicity, Hepatotoxicity and Reproductive Toxicity of Imidacloprid on Mammalian Models. Bull. Pure Appl. Sci. Zool. 2022, 41, 277–296. [Google Scholar] [CrossRef]
- Collins, A.; Møller, P.; Gajski, G.; Vodenková, S.; Abdulwahed, A.; Anderson, D.; Bankoglu, E.E.; Bonassi, S.; Boutet-Robinet, E.; Brunborg, G.; et al. Measuring DNA modifications with the comet assay: A compendium of protocols. Nat. Protoc. 2023, 18, 929–989. [Google Scholar] [CrossRef]
- Jurica, K.; Benković, V.; Sikirić, S.; Kopjar, N.; Brčić Karačonji, I. Liver Function and DNA Integrity in Hepatocytes of Rats Evaluated after Treatments with Strawberry Tree (Arbutus unedo L.) Water Leaf Extract and Arbutin. Drug Chem. Toxicol. 2020, 43, 127–137. [Google Scholar] [CrossRef] [PubMed]
- Jurica, K.; Benković, V.; Sikirić, S.; Brčić Karačonji, I.; Kopjar, N. The Effects of Strawberry Tree (Arbutus unedo L.) Water Leaf Extract and Arbutin upon Kidney Function and Primary DNA Damage in Renal Cells of Rats. Nat. Prod. Res. 2020, 34, 2354–2357. [Google Scholar] [CrossRef] [PubMed]
- Naseer, R.; Tariq, A.; Mirza, M.R.; Rashid, M.; Raza, Q.; Rajput, S.A. Cellular Damage after Prolonged Low-dose Exposure of Neonicotinoid in Rats. Res. Sq. 2022. [Google Scholar] [CrossRef]
- Nassar, A.M.K.; Abdelhafez, H.E.D.H.; Salim, Y.M.; Abdel-Halim, K.Y. Cytotoxicity of short-term exposure to sublethal dose of the insecticide thiamethoxam to male albino rats. Toxicol. Environ. Health Sci. 2024, 16, 151–160. [Google Scholar] [CrossRef]



| Small-Sized Liver Cells (Non-Parenchymal Cells) | Medium-Sized Liver Cells (Parenchymal Cells) | ||||
|---|---|---|---|---|---|
| Experimental Group | Tail Intensity | Tail Length | Tail Intensity | Tail Length | |
| Negative control (NC) | Median Min–Max | 0.07 PC 0–8.88 | 17.08 PC 5.83–38.33 | 0.05 PC 0–9.80 | 20.42 PC 11.67–39.58 |
| Positive control (PC) | Median Min–Max | 3.29 0–18.07 | 22.92 12.5–44.17 | 1.96 0–16.32 | 25.42 12.5–39.17 |
| Solvent control (SC) | Median Min–Max | 0.23 PC 0–14.55 | 18.33 PC 10.83–45.00 | 0.27 PC 0–9.92 | 22.08 PC 9.58–44.58 |
| 0.06 mg/kg bw/per day | Median Min–Max | 0.18 NC,PC 0–10.10 | 17.08 NC,PC,SC 10.00–42.92 | 0.17 NC,PC,SC,b,c 0–9.96 | 20.83 NC,PC,SC,a 11.25–33.75 |
| 0.8 mg/kg bw/per day | Median Min–Max | 0.05 PC,SC,a 0–11.46 | 15.00 NC,PC,SC,a 9.58–34.17 | 0.03 PC,SC,a,b 0–12.58 | 18.33 NC,PC,SC,a 11.67–42.92 |
| 2.25 mg/kg bw/per day | Median Min–Max | 0.07 PC,SC,a 0–13.74 | 15.00 NC,PC,SC,a 10.00–37.92 | 0.03 NC,PC,SC,a 0–14.54 | 17.92 NC,PC,SC,a,b 12.08–37.92 |
| Experimental Group | Tail Intensity | Tail Length | |
|---|---|---|---|
| Negative control (NC) | Median Min–Max | 0.04 PC 0–10.42 | 15.83 PC 8.75–37.5 |
| Positive control (PC) | Median Min–Max | 2.24 NC 0–31.24 | 22.08 NC 11.67–48.33 |
| Solvent control (SC) | Median Min–Max | 0.26 NC,PC 0–17.75 | 16.04 NC,PC 7.92–43.33 |
| 0.06 mg/kg bw/per day | Median Min–Max | 0.16 NC,PC,SC 0–20.84 | 16.25 NC,PC,SC 7.08–42.5 |
| 0.8 mg/kg bw/per day | Median Min–Max | 0.05 NC,PC,SC,a 0–25.13 | 15.00 NC,PC,SC,a 7.92–43.33 |
| 2.25 mg/kg bw/per day | Median Min–Max | 0.06 NC,PC,SC,a 0–17.80 | 15.42 NC,PC,SC,a,b 9.58–39.17 |
Disclaimer/Publisher’s Note: The statements, opinions and data contained in all publications are solely those of the individual author(s) and contributor(s) and not of MDPI and/or the editor(s). MDPI and/or the editor(s) disclaim responsibility for any injury to people or property resulting from any ideas, methods, instructions or products referred to in the content. |
© 2025 by the authors. Licensee MDPI, Basel, Switzerland. This article is an open access article distributed under the terms and conditions of the Creative Commons Attribution (CC BY) license (https://creativecommons.org/licenses/by/4.0/).
Share and Cite
Katić, A.; Kašuba, V.; Kopjar, N.; Tariba Lovaković, B.; Mendaš, G.; Micek, V.; Milić, M.; Pizent, A.; Žunec, S.; Lucić Vrdoljak, A. New Insights into Biochemical, Genotoxic, and Analytical Aspects of Low-Level Imidacloprid Exposure in Liver and Kidney Tissue of Adult Male Wistar Rats. Toxics 2025, 13, 879. https://doi.org/10.3390/toxics13100879
Katić A, Kašuba V, Kopjar N, Tariba Lovaković B, Mendaš G, Micek V, Milić M, Pizent A, Žunec S, Lucić Vrdoljak A. New Insights into Biochemical, Genotoxic, and Analytical Aspects of Low-Level Imidacloprid Exposure in Liver and Kidney Tissue of Adult Male Wistar Rats. Toxics. 2025; 13(10):879. https://doi.org/10.3390/toxics13100879
Chicago/Turabian StyleKatić, Anja, Vilena Kašuba, Nevenka Kopjar, Blanka Tariba Lovaković, Gordana Mendaš, Vedran Micek, Mirta Milić, Alica Pizent, Suzana Žunec, and Ana Lucić Vrdoljak. 2025. "New Insights into Biochemical, Genotoxic, and Analytical Aspects of Low-Level Imidacloprid Exposure in Liver and Kidney Tissue of Adult Male Wistar Rats" Toxics 13, no. 10: 879. https://doi.org/10.3390/toxics13100879
APA StyleKatić, A., Kašuba, V., Kopjar, N., Tariba Lovaković, B., Mendaš, G., Micek, V., Milić, M., Pizent, A., Žunec, S., & Lucić Vrdoljak, A. (2025). New Insights into Biochemical, Genotoxic, and Analytical Aspects of Low-Level Imidacloprid Exposure in Liver and Kidney Tissue of Adult Male Wistar Rats. Toxics, 13(10), 879. https://doi.org/10.3390/toxics13100879

