New Analytical Approach for the Determination of Calcium Phosphate Dibasic and Tribasic in Processed Food by Comparison of Ion Chromatography with High-Performance Liquid Chromatography
Abstract
1. Introduction
2. Materials and Methods
2.1. Chemicals and Reagents
2.2. Sample Pretreatment
2.3. HPLC Analysis
2.4. IC Analysis
2.5. Method Validation
3. Results and Discussion
3.1. HPLC Optimization for Measuring DCP and TCP
3.2. IC Optimization for Measuring DCP and TCP
3.3. Pretreatment of DCP and TCP in Processed Food Samples for IC Analysis
3.4. Method Validation for IC-Cond
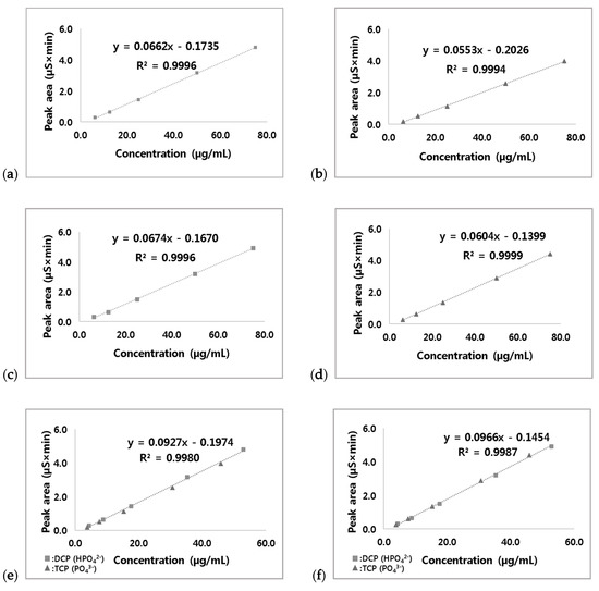
3.4.1. Linearity
3.4.2. LOD and LOQ
3.4.3. Precision and Accuracy
3.5. Sample Analysis
4. Conclusions
Author Contributions
Funding
Conflicts of Interest
References
- Conn, J.F.; Kichline, T.P. Reduction of Mixing Requirements for Yeast Leavened Bread Dough; U.S. Patent 3,556,805; U.S. Patent and Trade Mark Office: Washington, DC, USA, 1971. [Google Scholar]
- Joint FAO/WHO Expert Committee on Food Additives (JECFA). Compendium of Food Additive Specifications: Addendum 12/FNP 52 Add. 12/67(Metals limits); Monographs 1; JECFA: Rome, Italy, 2004; Volume 1, p. 235. [Google Scholar]
- Miyazaki, T.; Sivaprakasam, K.; Tantry, J.; Suryanarayanan, J. Physical characterization of dibasic calcium phosphate dihydrate and anhydrate. J. Pharm. Sci. 2009, 98, 905–916. [Google Scholar] [CrossRef] [PubMed]
- Rossoff, I.S. Handbook of Veterinary Drugs. A Compendium for Research and Clinical Use; Springer Publishing Co.: Berlin/Heidelberg, Germany, 1975. [Google Scholar]
- Lewis, R.J. Sax’s Dangerous Properties of Industrial Materials; Van Nostrand Reinhold: New York, NY, USA, 1996; Volume 8. [Google Scholar]
- EFSA Panel on Food Additives and Flavourings (FAF); Younes, M.; Aquilina, G.; Castle, L.; Engel, K.H.; Fowler, P.; Frutos Fernandez, M.J.; Fürst, P.; Gürtler, R.; Trine, H.; et al. Re-Evaluation of Phosphoric Acid–Phosphates–Di-, Tri-and Polyphosphates (E 338–341, E 343, E 450–452) as Food Additives and the Safety of Proposed Extension of Use. EFSA J. 2019, 17, e05674. [Google Scholar] [CrossRef]
- Kilic, A.; Cansin, G.; Arzu, K.; Durdane, K.; Turan, M. Are there any toxic effects of food additive tricalcium phosphate on pregnant rats and their fetuses. Hacet. J. Biol. 2012, 40, 171–181. [Google Scholar]
- Scientific Committee of Food (SCF). First Series of Food Additives of Various Technological Functions; Commission of the European Communities: Luxembourg, 1991. [Google Scholar]
- Health Canada. Archived List 10: List of Permitted pH Adjusting Agents, Acid-Reacting Materials and Water Correcting Agents; Health Canada: Ottawa, ON, Canada, 2019. [Google Scholar]
- Food Standards Australia New Zealand. FSANZ Code, No. 2 of Schedule 16: Types of substances that may be used as food additives-Additives permitted at GMP. FRL Regist. 2019, F2019C00128. [Google Scholar]
- Ministry of Food and Drug Safety (MFDS). Food Additives Code; MFDS: Cheongju, Korea, 2018.
- Cerklewski, F.L. Calcium fortification of food can add unneeded dietary phosphorus. J. Food Compos. Anal. 2005, 18, 595–598. [Google Scholar] [CrossRef]
- Tang, Q.; Wang, X.; Chen, F.; Tan, X. Simultaneous determination of phosphate anion and calcium cation in Plastrum testudinis by HPLC–ELSD. J. Pharm. Biomed. Anal. 2013, 77, 29–31. [Google Scholar] [CrossRef] [PubMed]
- Guideline, I.H.T. Validation of analytical procedures: Text and methodology Q2 (R1). In Proceedings of the International conference on harmonization, Geneva, Switzerland, 1–13 November 2005; Volume 11, pp. 11–12. [Google Scholar]
- Clarot, I.; Chaimbault, P.; Hasdenteufel, F.; Netter, P.; Nicolas, A. Determination of gentamicin sulfate and related compounds by high-performance liquid chromatography with evaporative light scattering detection. J. Chromatogr. A 2004, 1031, 281–287. [Google Scholar] [CrossRef] [PubMed]
- Zabaleta, V.; Campanero, M.A.; Irache, J.M. An HPLC with evaporative light scattering detection method for the quantification of PEGs and Gantrez in PEGylated nanoparticles. J. Pharm. Biomed. Anal. 2007, 44, 1072–1078. [Google Scholar] [CrossRef] [PubMed]
- Neue, U.D. HPLC Troubleshooting Guide, Report No. WA20769; Waters Corporation: Milford, MA, USA, 2002. [Google Scholar]
- Mouchere, F.; El Haddad, M.; Elfakir, C.; Dreux, M. Determination of inorganic cations and anions by ion-exchange chromatography with evaporative light-scattering detection. J. Chromatogr. A 2001, 914, 167–173. [Google Scholar] [CrossRef]
- Li, P.; Li, L.m.; Xia, J.; Cao, S.; Hu, X.; Lian, H.Z.; Ji, S. Determination of hexavalent chromium in traditional Chinese medicines by high-performance liquid chromatography with inductively coupled plasma mass spectrometry. J. Sep. Sci. 2015, 38, 4043–4047. [Google Scholar] [CrossRef] [PubMed]
- Kaufmann, A.; Maden, K.; Leisser, W.; Matera, M.; Gude, T. Analysis of polyphosphates in fish and shrimps tissues by two different ion chromatography methods: Implications on false-negative and-positive findings. Food Addit. Contam. 2005, 22, 1073–1082. [Google Scholar] [CrossRef] [PubMed]
- Ministry of Food and Drug Safety (MFDS). The Final Report of An Analytical Method Development for Phosphorus-Containing Additives in Sea Food, Report No. 14162MFDS877; MFDS: Cheongju, Korea, 2014.
- Thermo Fisher Scientific. Product Manual for the DRS 600 Suppressor, 031956-13; Thermo Fisher Scientific Inc.: Waltham, MA, USA, 2018. [Google Scholar]
- Rabin, S.; Stillian, J.; Barreto, V.; Friedman, K.; Toofan, M. New membrane-based electrolytic suppressor device for suppressed conductivity detection in ion chromatography. J. Chromatogr. A 1993, 640, 97–109. [Google Scholar] [CrossRef]
- Ministry of Food and Drug Safety (MFDS). Report of the Production of Food and Food Additives in 2017; MFDS: Cheongju, Korea, 2018.
- Chandran, S.; Singh, R.S. Comparison of various international guidelines for analytical method validation. Pharmazie 2007, 62, 4–14. [Google Scholar] [PubMed]
- U.S. Food and Drug Administration. Guidelines for the Validation of Analytical Methods for the Detection of Microbial Pathogens in Foods and Feeds, 2nd ed.; US Food & Drug Administration Office of Foods and Veterinary Medicine: Silver Spring, MD, USA, 2015.
- World Health Organization (WHO). WHO Expert Committee on Specifications for Pharmaceutical Preparations: Thirty-Second Report; WHO: Geneva, Switzerland, 1992; Volume 32, pp. 117–121. [Google Scholar]
- AOAC Peer Verified Methods Advisory Committee. AOAC Peer Verified Methods Program; AOAC International: Gaithersburg, MD, USA, 1998; pp. 1–35. [Google Scholar]
- UNODC. Guidance for the Validation of Analytical Methodology and Calibration of Equipment Used for Testing of Illicit Drugs in Seized Materials and Biological Specimens; United Nations Office on Drugs and Crime: Vienna, Austria, 2009. [Google Scholar]





| Parameter | IC condition 1 | IC condition 2 | IC condition 3 | |||
|---|---|---|---|---|---|---|
| Column | Thermo Scientific IonPac AS-16, analytical (4 × 250 mm) Thermo Scientific IonPac AG-16, guard (4 × 50 mm) | |||||
| Column temp. | 30 °C | 35 °C | 35 °C | |||
| Mobile phase | EGC a III KOH | |||||
| Time (min) | KOH (mM) | Time (min) | KOH (mM) | Time (min) | KOH (mM) | |
| 0 2 20 24 31 33 35 | 20 40 80 100 100 20 20 | 0 5 22 32 35 42 | 2.6 20 100 100 2.6 2.6 | 0 5 20 30 33 38 | 3 20 90 90 3 3 | |
| Flow rate | 1 mL/min | 1 mL/min | 1 mL/min | |||
| Suppressor | ASRS b 300 (Dionex, 4 mm) | ASRS b 500 (Dionex, 4 mm) | ASRS b 300 (Dionex, 4 mm), Auto-suppression external water mode | |||
| Injection vol. | 25 µL | 25 µL | 25 µL | |||
| Run time | 35 min | 42 min | 38 min | |||
| Concentration (µg/mL) | 2000 | 6000 | 12,000 | ||||||
|---|---|---|---|---|---|---|---|---|---|
| Method | DCP | TCP | DCP | TCP | DCP | TCP | |||
| Snack | Inter-day | Precision | 3.9 | 1.8 | 1.5 | 1.3 | 2.3 | 4.2 | |
| Accuracy | 103.7 | 100.2 | 92.6 | 95.2 | 82.0 | 88.8 | |||
| Intra-day | Precision | 3.8 | 4.8 | 0.8 | 1.4 | 1.9 | 2.7 | ||
| Accuracy | 95.9 | 101.0 | 84.4 | 97.6 | 86.0 | 97.2 | |||
| Cereal | Inter-day | Precision | 1.3 | 1.3 | 1.6 | 0.7 | 6.6 | 0.7 | |
| Accuracy | 116.1 | 114.2 | 101.1 | 107.3 | 88.5 | 105.4 | |||
| Intra-day | Precision | 1.1 | 0.5 | 0.6 | 2.7 | 1.6 | 1.4 | ||
| Accuracy | 116.7 | 113.9 | 102.2 | 100.3 | 98.4 | 99.2 | |||
© 2020 by the authors. Licensee MDPI, Basel, Switzerland. This article is an open access article distributed under the terms and conditions of the Creative Commons Attribution (CC BY) license (http://creativecommons.org/licenses/by/4.0/).
Share and Cite
Song, M.; Park, J.; Lee, J.; Suh, H.; Lee, H.; Ryu, D.; Lee, C. New Analytical Approach for the Determination of Calcium Phosphate Dibasic and Tribasic in Processed Food by Comparison of Ion Chromatography with High-Performance Liquid Chromatography. Foods 2020, 9, 248. https://doi.org/10.3390/foods9030248
Song M, Park J, Lee J, Suh H, Lee H, Ryu D, Lee C. New Analytical Approach for the Determination of Calcium Phosphate Dibasic and Tribasic in Processed Food by Comparison of Ion Chromatography with High-Performance Liquid Chromatography. Foods. 2020; 9(3):248. https://doi.org/10.3390/foods9030248
Chicago/Turabian StyleSong, Minjung, Juhee Park, Jihyun Lee, Heejae Suh, Hyunjung Lee, Dojin Ryu, and Chan Lee. 2020. "New Analytical Approach for the Determination of Calcium Phosphate Dibasic and Tribasic in Processed Food by Comparison of Ion Chromatography with High-Performance Liquid Chromatography" Foods 9, no. 3: 248. https://doi.org/10.3390/foods9030248
APA StyleSong, M., Park, J., Lee, J., Suh, H., Lee, H., Ryu, D., & Lee, C. (2020). New Analytical Approach for the Determination of Calcium Phosphate Dibasic and Tribasic in Processed Food by Comparison of Ion Chromatography with High-Performance Liquid Chromatography. Foods, 9(3), 248. https://doi.org/10.3390/foods9030248

