Sugar Reduction in Dairy Food: An Overview with Flavoured Milk as an Example
Abstract
1. Introduction
2. Types of Sweetener
2.1. Nutritive Sweetener (NS)
2.2. Non-Nutritive Sweeteners (NNSs)
3. Functions of Sugar
3.1. Sweetness
3.2. Flavour
3.3. Mouthfeel
3.4. Food Safety
4. Chemistry of Sweet Taste
5. Sugar Reduction Strategies
5.1. Lactose Hydrolysis
5.2. Ultra- and Nanofiltration
5.3. Product Reformulation by Partial or Total Replacement with Sweeteners
5.4. Gradual Reduction of Sugar
5.5. Use of Multisensory Interactions
5.6. Heterogeneous Distribution
6. Recent Trends in the Use of Natural Sweeteners for Sugar Reduction Strategies
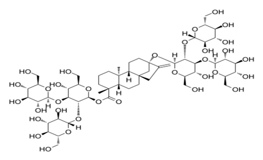
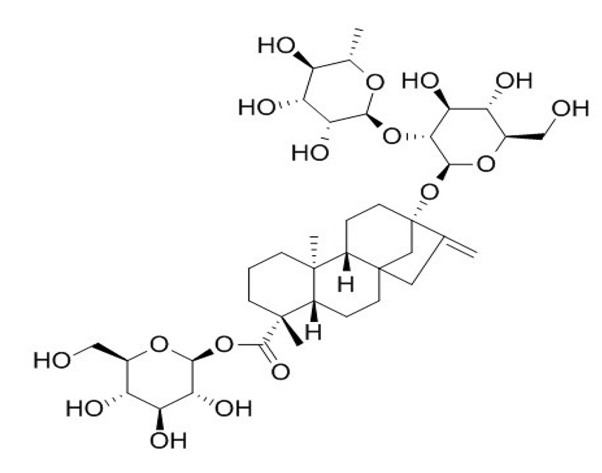
6.1. Stevia (Stevia rebaudiana)
6.2. Monk Fruit (Siraitia grosvenorii)
7. Sweeteners Used for Sugar Reduction in Chocolate Flavoured Milk
8. Consumer Preference for Flavoured Milk and Possible Solutions for Sugar Reduction
9. Sugar and Energy Content of Commercial Chocolate Flavoured Milk
10. Future Prospective and Conclusions
Author Contributions
Funding
Conflicts of Interest
References
- Dello Russo, M.; Ahrens, W.; De Henauw, S.; Eiben, G.; Hebestreit, A.; Kourides, Y.; Lissner, L.; Molnar, D.; Moreno, L.A.; Pala, V. The impact of adding sugars to milk and fruit on adiposity and diet quality in children: A cross-sectional and longitudinal analysis of the Identification and Prevention of Dietary-and Lifestyle-Induced Health Effects in Children and Infants (IDEFICS) Study. Nutrients 2018, 10, 1350. [Google Scholar] [CrossRef]
- Te Morenga, L.; Mallard, S.; Mann, J. Dietary sugars and body weight: Systematic review and meta-analyses of randomised controlled trials and cohort studies. BMJ 2013, 346, e7492. [Google Scholar] [CrossRef] [PubMed]
- Malik, V.S.; Schulze, M.B.; Hu, F.B. Intake of sugar-sweetened beverages and weight gain: A systematic review. Am. J. Clin. Nutr. 2006, 84, 274–288. [Google Scholar] [CrossRef] [PubMed]
- Patel, A.I.; Moghadam, S.D.; Freedman, M.; Hazari, A.; Fang, M.L.; Allen, I.E. The association of flavored milk consumption with milk and energy intake, and obesity: A systematic review. Prev. Med. 2018, 111, 151–162. [Google Scholar] [CrossRef]
- Singh, J.; Rasane, P.; Kaur, S.; Kumar, V.; Dhawan, K.; Mahato, D.K.; Malhotra, S.; Sarma, C.; Kaur, D.; Bhattacharya, J. Nutritional Interventions and Considerations for the development of low calorie or sugar free foods. Curr. Diabetes Rev. 2020, 16, 301–312. [Google Scholar] [CrossRef]
- FPED. What We Eat in America. NHANES 2011–2012, Individuals 2 Years and over (Excluding Breast-Fed Children), Day 1 Dietary Intake Data, Weighted. Food Patterns Equivalents Database (FPED) 2011–2012. Available online: www.ars.usda.gov/ba/bhnrc/fsrg (accessed on 8 October 2018).
- Nicklas, T.A.; O’neil, C.; Fulgoni, V. Flavored milk consumers drank more milk and had a higher prevalence of meeting calcium recommendation than nonconsumers. J. Sch. Health 2017, 87, 650–657. [Google Scholar] [CrossRef]
- Ludwig, D.S.; Peterson, K.E.; Gortmaker, S.L. Relation between consumption of sugar-sweetened drinks and childhood obesity: A prospective, observational analysis. Lancet 2001, 357, 505–508. [Google Scholar] [CrossRef]
- Krachler, B.; Eliasson, M.; Stenlund, H.; Johansson, I.; Hallmans, G.; Lindahl, B. Reported food intake and distribution of body fat: A repeated cross-sectional study. Nutr. J. 2006, 5, 34. [Google Scholar] [CrossRef]
- Striegel-Moore, R.H.; Thompson, D.; Affenito, S.G.; Franko, D.L.; Obarzanek, E.; Barton, B.A.; Schreiber, G.B.; Daniels, S.R.; Schmidt, M.; Crawford, P.B. Correlates of beverage intake in adolescent girls: The National Heart, Lung, and Blood Institute Growth and Health Study. J. Pediatr. 2006, 148, 183–187. [Google Scholar] [CrossRef]
- WHO. Guideline: Sugars Intake for Adults and Children; World Health Organization: Geneva, Switzerland, 2015; pp. 1–49. [Google Scholar]
- PHE. Sugar Reduction: Achieving the 20%. A Technical Report Outlining Progress to date, Guidelines for Industry, 2015 Baseline Levels in Key Foods and Next Steps; Public Health England: London, UK, 2017.
- Egger, G.; Swinburn, B.; Rossner, S. Dusting off the epidemiological triad: Could it work with obesity? Obes. Rev. 2003, 4, 115–119. [Google Scholar] [CrossRef]
- Keast, R.; Sayompark, D.; Sacks, G.; Swinburn, B.; Riddell, L. The influence of caffeine on energy content of sugar-sweetened beverages: ‘The caffeine–calorie effect’. Eur. J. Clin. Nutr. 2011, 65, 1338. [Google Scholar] [CrossRef] [PubMed]
- Carocho, M.; Morales, P.; Ferreira, I.C.F.R. Sweeteners as food additives in the XXI century: A review of what is known, and what is to come. Food Chem. Toxicol. 2017, 107, 302–317. [Google Scholar] [CrossRef] [PubMed]
- Chattopadhyay, S.; Raychaudhuri, U.; Chakraborty, R. Artificial sweeteners—A review. J. Food Sci. Technol. 2014, 51, 611–621. [Google Scholar] [CrossRef]
- Servant, G.; Tachdjian, C.; Tang, X.-Q.; Werner, S.; Zhang, F.; Li, X.; Kamdar, P.; Petrovic, G.; Ditschun, T.; Java, A. Positive allosteric modulators of the human sweet taste receptor enhance sweet taste. Proc. Natl. Acad. Sci. USA 2010, 107, 4746–4751. [Google Scholar] [CrossRef] [PubMed]
- Lustig, R.H.; Schmidt, L.A.; Brindis, C.D. Public health: The toxic truth about sugar. Nature 2012, 482, 27. [Google Scholar] [CrossRef]
- Shankar, P.; Ahuja, S.; Sriram, K. Non-nutritive sweeteners: Review and update. Nutrition 2013, 29, 1293–1299. [Google Scholar] [CrossRef]
- Anton, S.D.; Martin, C.K.; Han, H.; Coulon, S.; Cefalu, W.T.; Geiselman, P.; Williamson, D.A. Effects of stevia, aspartame, and sucrose on food intake, satiety, and postprandial glucose and insulin levels. Appetite 2010, 55, 37–43. [Google Scholar] [CrossRef]
- Han, P.; Bagenna, B.; Fu, M. The sweet taste signalling pathways in the oral cavity and the gastrointestinal tract affect human appetite and food intake: A review. Int. J. Food Sci. Nutr. 2019, 70, 125–135. [Google Scholar] [CrossRef]
- Godshall, M.A. The expanding world of nutritive and non-nutritive sweeteners. Sugar J. 2007, 69, 12–20. [Google Scholar]
- Pellerin, L. Food for thought: The importance of glucose and other energy substrates for sustaining brain function under varying levels of activity. Diabetes Metab. 2010, 36, CS59–CS63. [Google Scholar] [CrossRef]
- Page, K.A.; Chan, O.; Arora, J.; Belfort-DeAguiar, R.; Dzuira, J.; Roehmholdt, B.; Cline, G.W.; Naik, S.; Sinha, R.; Constable, R.T. Effects of fructose vs glucose on regional cerebral blood flow in brain regions involved with appetite and reward pathways. JAMA 2013, 309, 63–70. [Google Scholar] [CrossRef] [PubMed]
- Szilagyi, A. Lactose—A potential prebiotic. Aliment. Pharmacol. Ther. 2002, 16, 1591–1602. [Google Scholar] [CrossRef] [PubMed]
- Venema, K. Intestinal fermentation of lactose and prebiotic lactose derivatives, including human milk oligosaccharides. Int. Dairy J. 2012, 22, 123–140. [Google Scholar] [CrossRef]
- Ohtake, S.; Wang, Y.J. Trehalose: Current use and future applications. J. Pharm. Sci. 2011, 100, 2020–2053. [Google Scholar] [CrossRef]
- Liang, J.; Wang, S.; Ludescher, R.D. Effect of additives on physicochemical properties in amorphous starch matrices. Food Chem. 2015, 171, 298–305. [Google Scholar] [CrossRef]
- Yu, H.; Yang, S.; Yuan, C.; Hu, Q.; Li, Y.; Chen, S.; Hu, Y. Application of biopolymers for improving the glass transition temperature of hairtail fish meat. J. Sci. Food Agric. 2018, 98, 1437–1443. [Google Scholar] [CrossRef]
- Cai, X.; Seitl, I.; Mu, W.; Zhang, T.; Stressler, T.; Fischer, L.; Jiang, B. Biotechnical production of trehalose through the trehalose synthase pathway: Current status and future prospects. Appl. Microbiol. Biotechnol. 2018, 102, 2965–2976. [Google Scholar] [CrossRef]
- Grembecka, M. Sugar alcohols—Their role in the modern world of sweeteners: A review. Eur. Food Res. Technol. 2015, 241, 1–14. [Google Scholar] [CrossRef]
- McCain, H.R.; Kaliappan, S.; Drake, M.A. Invited review: Sugar reduction in dairy products. J. Dairy Sci. 2018, 101, 8619–8640. [Google Scholar] [CrossRef]
- Son, Y.-J.; Choi, S.-Y.; Yoo, K.-M.; Lee, K.-W.; Lee, S.-M.; Hwang, I.-K.; Kim, S. Anti-blooming effect of maltitol and tagatose as sugar substitutes for chocolate making. LWT Food Sci. Technol. 2018, 88, 87–94. [Google Scholar] [CrossRef]
- Patra, F.; Tomar, S.K.; Arora, S. Technological and functional applications of low-calorie sweeteners from lactic acid bacteria. J. Food Sci. 2009, 74, CR16–CR23. [Google Scholar] [CrossRef] [PubMed]
- Saha, B.C.; Racine, F.M. Biotechnological production of mannitol and its applications. Appl. Microbiol. Biotechnol. 2011, 89, 879–891. [Google Scholar] [CrossRef] [PubMed]
- Soetaert, W.; Vanhooren, P.T.; Vandamme, E.J. The production of mannitol by fermentation. In Carbohydrate Biotechnology Protocols; Humana Press: Totowa, NJ, USA, 1999; pp. 261–275. [Google Scholar] [CrossRef]
- Dai, Y.; Meng, Q.; Mu, W.; Zhang, T. Recent advances in the applications and biotechnological production of mannitol. J. Funct. Foods. 2017, 36, 404–409. [Google Scholar] [CrossRef]
- Calvino, A.; Garrido, D.; García, M. Potency of sweetness of aspartame, d-tryptophan and thaumatin evaluated by single value and time-intensity measurements. J. Sens. Stud. 2000, 15, 47–64. [Google Scholar] [CrossRef]
- Oliveira, D.; Antúnez, L.; Giménez, A.; Castura, J.C.; Deliza, R.; Ares, G. Sugar reduction in probiotic chocolate-flavored milk: Impact on dynamic sensory profile and liking. Food Res. Int. 2015, 75, 148–156. [Google Scholar] [CrossRef]
- Ly, A.; Drewnowski, A. PROP (6-n-propylthiouracil) tasting and sensory responses to caffeine, sucrose, neohesperidin dihydrochalcone and chocolate. Chem. Senses. 2001, 26, 41–47. [Google Scholar] [CrossRef]
- Montijano, H.; Borrego, F.; Canales, I.; Tomas-Barberan, F.A. Validated high-performance liquid chromatographic method for quantitation of neohesperidine dihydrochalcone in foodstuffs. J. Chromatogr. A 1997, 758, 163–166. [Google Scholar] [CrossRef]
- Li, X.E.; Lopetcharat, K.; Drake, M.A. Parents’ and children’s acceptance of skim chocolate milks sweetened by monk fruit and stevia leaf extracts. J. Food Sci. 2015, 80, CS1083–CS1092. [Google Scholar] [CrossRef]
- Pawar, R.S.; Krynitsky, A.J.; Rader, J.I. Sweeteners from plants—With emphasis on Stevia rebaudiana (Bertoni) and Siraitia grosvenorii (Swingle). Anal. Bioanal. Chem. 2013, 405, 4397–4407. [Google Scholar] [CrossRef]
- Furlán, L.T.R.; Campderrós, M.E. The combined effects of Stevia and sucralose as sugar substitute and inulin as fat mimetic on the physicochemical properties of sugar-free reduced-fat dairy dessert. Int. J. Gastron. Food Sci. 2017, 10, 16–23. [Google Scholar] [CrossRef]
- Morais, E.C.; Morais, A.R.; Cruz, A.G.; Bolini, H.M.A. Development of chocolate dairy dessert with addition of prebiotics and replacement of sucrose with different high-intensity sweeteners. J. Dairy Sci. 2014, 97, 2600–2609. [Google Scholar] [CrossRef] [PubMed]
- Kim, M.-J.; Yoo, S.-H.; Jung, S.; Park, M.-K.; Hong, J.-H. Relative sweetness, sweetness quality, and temporal profile of xylooligosaccharides and luo han guo (Siraitia grosvenorii) extract. Food Sci. Biotechnol. 2015, 24, 965–973. [Google Scholar] [CrossRef]
- Kobayashi, M.; Terada, H.; Nakajima, M. Determination method of ultra-high-intensity sweetener, advantame, in processed foods by HPLC and LC-MS/MS. J. Food Hyg. Soc. Jpn. 2015, 56, 14–18. [Google Scholar] [CrossRef] [PubMed][Green Version]
- Reis, R.C.; Minim, V.P.R.; Bolini, H.M.A.; Dias, B.R.P.; Minim, L.A.; Ceresino, E.B. Sweetness equivalence of different sweeteners in strawberry-flavored yogurt. J. Food Qual. 2011, 34, 163–170. [Google Scholar] [CrossRef]
- Meena, M.K.; Arora, S.; Shendurse, A.M.; Sharma, V.; Wadhwa, B.K.; Singh, A.K. Formulation optimisation of a whey lemon beverage using a blend of the sweeteners aspartame and saccharin. Int. J. Dairy Technol. 2012, 65, 146–151. [Google Scholar] [CrossRef]
- George, V.; Arora, S.; Wadhwa, B.K.; Singh, A.K.; Sharma, G.S. Optimization of sweetener blends for the preparation of lassi. Int. J. Dairy Technol. 2010, 63, 256–261. [Google Scholar] [CrossRef]
- Clemens, R.A.; Jones, J.M.; Kern, M.; Lee, S.Y.; Mayhew, E.J.; Slavin, J.L.; Zivanovic, S. Functionality of sugars in foods and health. Compr. Rev. Food Sci. Food Saf. 2016, 15, 433–470. [Google Scholar] [CrossRef]
- Kent, J.A. Handbook of Industrial Chemistry and Biotechnology; Springer Science & Business Media: Berlin, Germany, 2013. [Google Scholar]
- Hartley, I.E.; Liem, D.G.; Keast, R. Umami as an ‘Alimentary’ Taste. A New Perspective on Taste Classification. Nutrients 2019, 11, 182. [Google Scholar] [CrossRef]
- Rössler, P.; Kroner, C.; Freitag, J.; Noè, J.; Breer, H. Identification of a phospholipase C β subtype in rat taste cells. Eur. J. Cell Biol. 1998, 77, 253–261. [Google Scholar] [CrossRef]
- Wong, G.T.; Gannon, K.S.; Margolskee, R.F. Transduction of bitter and sweet taste by gustducin. Nature 1996, 381, 796–800. [Google Scholar] [CrossRef]
- Sclafani, A. Sweet taste signaling in the gut. Proc. Natl. Acad. Sci. USA 2007, 104, 14887–14888. [Google Scholar] [CrossRef] [PubMed]
- Gerspach, A.C.; Steinert, R.E.; Schönenberger, L.; Graber-Maier, A.; Beglinger, C. The role of the gut sweet taste receptor in regulating GLP-1, PYY, and CCK release in humans. Am. J. Physiol. Endocrinol. Metab. 2011, 301, CE317–CE325. [Google Scholar] [CrossRef] [PubMed]
- Horio, N.; Jyotaki, M.; Yoshida, R.; Sanematsu, K.; Shigemura, N.; Ninomiya, Y. New frontiers in gut nutrient sensor research: Nutrient sensors in the gastrointestinal tract: Modulation of sweet taste sensitivity by leptin. J. Pharmacol. Sci. 2010, 112, 8–12. [Google Scholar] [CrossRef] [PubMed]
- Sclafani, A.; Glass, D.S.; Margolskee, R.F.; Glendinning, J.I. Gut T1R3 sweet taste receptors do not mediate sucrose-conditioned flavor preferences in mice. Am. J. Physiol. Regul. Integr. Comp. Physiol. 2010, 299, CR1643–CR1650. [Google Scholar] [CrossRef]
- Steinert, R.; Gerspach, A.; Gutmann, H.; Asarian, L.; Drewe, J.; Beglinger, C. The functional involvement of gut-expressed sweet taste receptors in glucose-stimulated secretion of glucagon-like peptide-1 (GLP-1) and peptide YY (PYY). Clin. Nutr. 2011, 30, 524–532. [Google Scholar] [CrossRef]
- Stewart, J.E.; Feinle-Bisset, C.; Keast, R.S.J. Fatty acid detection during food consumption and digestion: Associations with ingestive behavior and obesity. Prog. Lipid Res. 2011, 50, 225–233. [Google Scholar] [CrossRef]
- Hutchings, S.C.; Low, J.Y.Q.; Keast, R.S.J. Sugar reduction without compromising sensory perception. An impossible dream? Crit. Rev. Food Sci. Nutr. 2018, 59, 2287–2307. [Google Scholar] [CrossRef]
- Boakes, R.A.; Hemberger, H. Odour-modulation of taste ratings by chefs. Food Qual. Prefer. 2012, 25, 81–86. [Google Scholar] [CrossRef]
- Labbe, D.; Martin, N. Impact of novel olfactory stimuli at supra and subthreshold concentrations on the perceived sweetness of sucrose after associative learning. Chem. Senses 2009, 34, 645–651. [Google Scholar] [CrossRef]
- Labbe, D.; Rytz, A.; Morgenegg, C.; Ali, S.; Martin, N. Subthreshold olfactory stimulation can enhance sweetness. Chem. Senses 2006, 32, 205–214. [Google Scholar] [CrossRef]
- Hwang, I.G.; Kim, H.Y.; Woo, K.S.; Lee, J.; Jeong, H.S. Biological activities of Maillard reaction products (MRPs) in a sugar-amino acid model system. Food Chem. 2011, 126, 221–227. [Google Scholar] [CrossRef]
- Bastos, D.M.; Monaro, É.; Siguemoto, É.; Séfora, M. Maillard reaction products in processed food: Pros and cons. In Food Industrial Processes—Methods and Equipment; IntechOpen: London, UK, 2012. [Google Scholar]
- Calvo, M.M.; De la Hoz, L. Flavour of heated milks. A review. Int. Dairy J. 1992, 2, 69–81. [Google Scholar] [CrossRef]
- Van Boekel, M.A.J.S. Effect of heating on Maillard reactions in milk. Food Chem. 1998, 62, 403–414. [Google Scholar] [CrossRef]
- Vaclavik, V.A.; Christian, E.W. Sugars, Sweeteners, and Confections. In Essentials of Food Science; Springer: New York, NY, USA, 2008; pp. 331–348. [Google Scholar]
- Gwinn, R. Technology and Ingredients to Assist with the Reduction of Sugar in Food and Drink; FHIS Campden BRI: Chipping Campden, UK, 2013. [Google Scholar]
- Crittenden, R.G.; Playne, M.J. Production, properties and applications of food-grade oligosaccharides. Trends Food Sci. Technol. 1996, 7, 353–361. [Google Scholar] [CrossRef]
- Mussatto, S.I.; Mancilha, I.M. Non-digestible oligosaccharides: A review. Carbohydr. Polym. 2007, 68, 587–597. [Google Scholar] [CrossRef]
- LeBail, A.; Boillereaux, L.; Davenel, A.; Hayert, M.; Lucas, T.; Monteau, J. Phase transition in foods: Effect of pressure and methods to assess or control phase transition. Innov. Food Sci. Emerg. Technol. 2003, 4, 15–24. [Google Scholar] [CrossRef]
- Sperling, L.H. Introduction to Physical Polymer Science; John Wiley & Sons: Hoboken, NJ, USA, 2005. [Google Scholar]
- Azeredo, D.R.; Alvarenga, V.; Sant’Ana, A.S.; Srur, A.U.S. An overview of microorganisms and factors contributing for the microbial stability of carbonated soft drinks. Food Res. Int. 2016, 82, 136–144. [Google Scholar] [CrossRef]
- Gram, L.; Ravn, L.; Rasch, M.; Bruhn, J.B.; Christensen, A.B.; Givskov, M. Food spoilage—Interactions between food spoilage bacteria. Int. J. Food Microbiol. 2002, 78, 79–97. [Google Scholar] [CrossRef]
- Caspers, M.P.; Schuren, F.H.; van Zuijlen, A.C.; Brul, S.; Montijn, R.C.; Abee, T.; Kort, R. A mixed-species microarray for identification of food spoilage bacilli. Food Microbiol. 2011, 28, 245–251. [Google Scholar] [CrossRef]
- Huis in’t Veld, J.H. Microbial and biochemical spoilage of foods: An overview. Int. J. Food Microbiol. 1996, 33, 1–18. [Google Scholar] [CrossRef]
- Ziyaina, M.; Govindan, B.N.; Rasco, B.; Coffey, T.; Sablani, S.S. Monitoring Shelf Life of Pasteurized Whole Milk Under Refrigerated Storage Conditions: Predictive Models for Quality Loss. J. Food Sci. 2018, 83, 409–418. [Google Scholar] [CrossRef] [PubMed]
- Ranieri, M.; Boor, K. Tracking and eliminating sporeformers in dairy systems. Aust. J. Dairy Technol. 2010, 65, 74. [Google Scholar]
- Christiansen, P.; Nielsen, E.W.; Vogensen, F.K.; Brogren, C.-H.; Ardö, Y. Heat resistance of Lactobacillus paracasei isolated from semi-hard cheese made of pasteurised milk. Int. Dairy J. 2006, 16, 1196–1204. [Google Scholar] [CrossRef]
- Novak, J.S.; Call, J.; Tomasula, P.; Luchansky, J.B. An assessment of pasteurization treatment of water, media, and milk with respect to Bacillus spores. J. Food Prot. 2005, 68, 751–757. [Google Scholar] [CrossRef] [PubMed]
- Burdova, O.; Baranova, M.; Laukova, A.; Rozanska, H.; Rola, J.G. Hygiene of pasteurized milk depending on psychrotrophic microorganisms. Bull. Vet. Inst. Pulawy. 2002, 46, 325–330. [Google Scholar]
- Hayes, W.; White, C.; Drake, M. Sensory aroma characteristics of milk spoilage by Pseudomonas species. J. Food Sci. 2002, 67, 448–454. [Google Scholar] [CrossRef]
- Al-Qadiri, H.; Lin, M.; Al-Holy, M.; Cavinato, A.; Rasco, B.A. Monitoring quality loss of pasteurized skim milk using visible and short wavelength near-infrared spectroscopy and multivariate analysis. J. Dairy Sci. 2008, 91, 950–958. [Google Scholar] [CrossRef]
- Shoshan-Galeczki, Y.B.; Niv, M.Y. Structure-based screening for discovery of sweet compounds. Food Chem. 2020, 315, 126286. [Google Scholar] [CrossRef]
- Bouysset, C.; Belloir, C.; Antonczak, S.; Briand, L.; Fiorucci, S. Novel scaffold of natural compound eliciting sweet taste revealed by machine learning. Food Chem. 2020, 324, 126864. [Google Scholar] [CrossRef]
- Li, X.; Staszewski, L.; Xu, H.; Durick, K.; Zoller, M.; Adler, E. Human receptors for sweet and umami taste. Proc. Natl. Acad. Sci. USA 2002, 99, 4692–4696. [Google Scholar] [CrossRef]
- Nelson, G.; Hoon, M.A.; Chandrashekar, J.; Zhang, Y.; Ryba, N.J.P.; Zuker, C.S. Mammalian sweet taste receptors. Cell 2001, 106, 381–390. [Google Scholar] [CrossRef]
- Damak, S.; Rong, M.; Yasumatsu, K.; Kokrashvili, Z.; Varadarajan, V.; Zou, S.; Jiang, P.; Ninomiya, Y.; Margolskee, R.F. Detection of sweet and umami taste in the absence of taste receptor T1R3. Science 2003, 301, 850–853. [Google Scholar] [CrossRef] [PubMed]
- Yee, K.K.; Sukumaran, S.K.; Kotha, R.; Gilbertson, T.A.; Margolskee, R.F. Glucose transporters and ATP-gated K+ (KATP) metabolic sensors are present in type 1 taste receptor 3 (T1r3)-expressing taste cells. Proc. Natl. Acad. Sci. USA 2011, 108, 5431–5436. [Google Scholar] [CrossRef] [PubMed]
- Di Pizio, A.; Shoshan-Galeczki, Y.B.; Hayes, J.E.; Niv, M.Y. Bitter and sweet tasting molecules: It’s complicated. Neurosci. Lett. 2019, 700, 56–63. [Google Scholar] [CrossRef] [PubMed]
- Congreve, M.; Oswald, C.; Marshall, F.H. Applying structure-based drug design approaches to allosteric modulators of GPCRs. Trends Pharmacol. Sci. 2017, 38, 837–847. [Google Scholar] [CrossRef] [PubMed]
- Wodak, S.J.; Paci, E.; Dokholyan, N.V.; Berezovsky, I.N.; Horovitz, A.; Li, J.; Hilser, V.J.; Bahar, I.; Karanicolas, J.; Stock, G. Allostery in its many disguises: From theory to applications. Structure 2019, 27, 566–578. [Google Scholar] [CrossRef]
- DuBois, G.E. Molecular mechanism of sweetness sensation. Physiol. Behav. 2016, 164, 453–463. [Google Scholar] [CrossRef]
- Servant, G.; Tachdjian, C.; Li, X.; Karanewsky, D.S. The sweet taste of true synergy: Positive allosteric modulation of the human sweet taste receptor. Trends Pharmacol. Sci. 2011, 32, 631–636. [Google Scholar] [CrossRef]
- Nakagita, T.; Ishida, A.; Matsuya, T.; Kobayashi, T.; Narukawa, M.; Hirokawa, T.; Hashimoto, M.; Misaka, T. Structural insights into the differences among lactisole derivatives in inhibitory mechanisms against the human sweet taste receptor. PLoS ONE 2019, 14, e0213552. [Google Scholar] [CrossRef]
- Sanematsu, K.; Kusakabe, Y.; Shigemura, N.; Hirokawa, T.; Nakamura, S.; Imoto, T.; Ninomiya, Y. Molecular mechanisms for sweet-suppressing effect of gymnemic acids. J. Biol. Chem. 2014, 289, 25711–25720. [Google Scholar] [CrossRef]
- Spaggiari, G.; Di Pizio, A.; Cozzini, P. Sweet, umami and bitter taste receptors: State of the art of in silico molecular modeling approaches. Trends Food Sci. Technol. 2020, 96, 21–29. [Google Scholar] [CrossRef]
- Chéron, J.B.; Golebiowski, J.; Antonczak, S.; Fiorucci, S. The anatomy of mammalian sweet taste receptors. Proteins Struct. Funct. Bioinf. 2017, 85, 332–341. [Google Scholar] [CrossRef] [PubMed]
- Chéron, J.-B.; Casciuc, I.; Golebiowski, J.; Antonczak, S.; Fiorucci, S. Sweetness prediction of natural compounds. Food Chem. 2017, 221, 1421–1425. [Google Scholar] [CrossRef] [PubMed]
- Zheng, S.; Chang, W.; Xu, W.; Xu, Y.; Lin, F. e-Sweet: A machine-learning based platform for the prediction of sweetener and its relative sweetness. Front. Chem. 2019, 7, 35. [Google Scholar] [CrossRef]
- Bezençon, C.; Le Coutre, J.; Damak, S. Taste-signaling proteins are coexpressed in solitary intestinal epithelial cells. Chem. Senses 2007, 32, 41–49. [Google Scholar] [CrossRef]
- Dyer, J.; Salmon, K.S.H.; Zibrik, L.; Shirazi-Beechey, S.P. Expression of Sweet Taste Receptors of the T1R Family in the Intestinal Tract and Enteroendocrine Cells; Portland Press Ltd.: London, UK, 2005. [Google Scholar]
- Kojima, I.; Nakagawa, Y. The role of the sweet taste receptor in enteroendocrine cells and pancreatic β-cells. Diabetes Metab. J. 2011, 35, 451–457. [Google Scholar] [CrossRef]
- Raybould, H.E. Gut chemosensing: Interactions between gut endocrine cells and visceral afferents. Auton. Neurosci. 2010, 153, 41–46. [Google Scholar] [CrossRef]
- Rozengurt, E.; Sternini, C. Taste receptor signaling in the mammalian gut. Curr. Opin. Pharmacol. 2007, 7, 557–562. [Google Scholar] [CrossRef]
- Evans, C.E.L. Sugars and health: A review of current evidence and future policy. Proc. Nutr. Soc. 2017, 76, 400–407. [Google Scholar] [CrossRef]
- MacGregor, G.A.; Hashem, K.M. Action on sugar—Lessons from UK salt reduction programme. Lancet 2014, 383, 929–931. [Google Scholar] [CrossRef]
- Di Monaco, R.; Miele, N.A.; Cabisidan, E.K.; Cavella, S. Strategies to reduce sugars in food. Curr. Opin. Food Sci. 2018, 19, 92–97. [Google Scholar] [CrossRef]
- Civille, G.V.; Oftedal, K.N. Sensory evaluation techniques—Make “good for you” taste “good”. Physiol. Behav. 2012, 107, 598–605. [Google Scholar] [CrossRef] [PubMed]
- McSweeney, P.L.H.; Fox, P.F. Advanced Dairy Chemistry; Springer: Boston, MA, USA, 2003; Volume 1. [Google Scholar]
- Harju, M.; Kallioinen, H.; Tossavainen, O. Lactose hydrolysis and other conversions in dairy products: Technological aspects. Int. Dairy J. 2012, 22, 104–109. [Google Scholar] [CrossRef]
- Zadow, J.G. Lactose hydrolysed dairy products. Food Technol. Aust. 1986, 38, 460–462. [Google Scholar]
- Mahoney, R.R. Galactosyl-oligosaccharide formation during lactose hydrolysis: A review. Food Chem. 1998, 63, 147–154. [Google Scholar] [CrossRef]
- Adhikari, K.; Dooley, L.M.; Chambers, E., IV; Bhumiratana, N. Sensory characteristics of commercial lactose-free milks manufactured in the United States. LWT Food Sci. Technol. 2010, 43, 113–118. [Google Scholar] [CrossRef]
- Skryplonek, K.; Gomes, D.; Viegas, J.; Pereira, C.; Henriques, M. Lactose-free frozen yogurt: Production and characteristics. Acta Sci. Pol. Technol. Aliment. 2017, 16, 171–179. [Google Scholar] [CrossRef]
- Li, X.E.; Lopetcharat, K.; Qiu, Y.; Drake, M.A. Sugar reduction of skim chocolate milk and viability of alternative sweetening through lactose hydrolysis. J. Dairy Sci. 2015, 98, 1455–1466. [Google Scholar] [CrossRef]
- Engel, W.G. The use of lactase to sweeten yogurt without increasing calories. Cult. Dairy Prod. J. 1973, 8, 6. [Google Scholar]
- Tamime, A.Y.; Deeth, H.C. Yogurt: Technology and biochemistry. J. Food Prot. 1980, 43, 939–977. [Google Scholar] [CrossRef]
- Whalen, C.A.; Gilmore, T.M.; Spurgeon, K.R.; Parsons, J.G. Yogurt manufactured from whey-caseinate blends and hydrolyzed lactose. J. Dairy Sci. 1988, 71, 299–305. [Google Scholar] [CrossRef]
- Abbasi, S.; Saeedabadian, A. Influences of lactose hydrolysis of milk and sugar reduction on some physical properties of ice cream. J. Food Sci. Technol. 2015, 52, 367–374. [Google Scholar] [CrossRef]
- Kosikowski, F.V. Low lactose yogurts and milk beverages by ultrafiltration. J. Dairy Sci. 1979, 62, 41–46. [Google Scholar] [CrossRef]
- Özer, B.H.; Robinson, R.K. The Behaviour of starter cultures in concentrated yogurt (Labneh) produced by different techniques. LWT Food Sci. Technol. 1999, 32, 391–395. [Google Scholar] [CrossRef]
- Magenis, R.B.; Prudêncio, E.S.; Amboni, R.D.M.C.; Cerqueira Júnior, N.G.; Oliveira, R.V.B.; Soldi, V.; Benedet, H.D. Compositional and physical properties of yogurts manufactured from milk and whey cheese concentrated by ultrafiltration. Int. J. Food Sci. Technol. 2006, 41, 560–568. [Google Scholar] [CrossRef]
- Karam, M.C.; Gaiani, C.; Hosri, C.; Burgain, J.; Scher, J. Effect of dairy powders fortification on yogurt textural and sensorial properties: A review. J. Dairy Res. 2013, 80, 400–409. [Google Scholar] [CrossRef]
- Markey, O.; Lovegrove, J.A.; Methven, L. Sensory profiles and consumer acceptability of a range of sugar-reduced products on the UK market. Food Res. Int. 2015, 72, 133–139. [Google Scholar] [CrossRef]
- Oliveira, D.; Reis, F.; Deliza, R.; Rosenthal, A.; Gimenez, A.; Ares, G. Difference thresholds for added sugar in chocolate-flavoured milk: Recommendations for gradual sugar reduction. Food Res. Int. 2016, 89, 448–453. [Google Scholar] [CrossRef]
- Pombo-Rodrigues, S.; Hashem, K.M.; He, F.J.; MacGregor, G.A. Salt and sugars content of breakfast cereals in the UK from 1992 to 2015. Public Health Nutr. 2017, 20, 1500–1512. [Google Scholar] [CrossRef]
- Syarifuddin, A.; Septier, C.; Salles, C.; Thomas-Danguin, T. Reducing salt and fat while maintaining taste: An approach on a model food system. Food Qual. Prefer. 2016, 48, 59–69. [Google Scholar] [CrossRef]
- Alcaire, F.; Antunez, L.; Vidal, L.; Gimenez, A.; Ares, G. Aroma-related cross-modal interactions for sugar reduction in milk desserts: Influence on consumer perception. Food Res. Int. 2017, 97, 45–50. [Google Scholar] [CrossRef]
- Alcaire, F.; Antúnez, L.; Vidal, L.; Zorn, S.; Giménez, A.; Castura, J.C.; Ares, G. Comparison of static and dynamic sensory product characterizations based on check-all-that-apply questions with consumers. Food Res. Int. 2017, 97, 215–222. [Google Scholar] [CrossRef] [PubMed]
- Mosca, A.C.; Van de Velde, F.; Bult, J.H.; van Boekel, M.A.; Stieger, M. Taste enhancement in food gels: Effect of fracture properties on oral breakdown, bolus formation and sweetness intensity. Food Hydrocoll. 2015, 43, 794–802. [Google Scholar] [CrossRef]
- Arancibia, C.; Costell, E.; Bayarri, S. Impact of structural differences on perceived sweetness in semisolid dairy matrices. J. Texture Stud. 2013, 44, 346–356. [Google Scholar] [CrossRef]
- Hollowood, T.; Linforth, R.; Taylor, A. The effect of viscosity on the perception of flavour. Chem. Senses 2002, 27, 583–591. [Google Scholar] [CrossRef] [PubMed]
- Mosca, A.C.; van de Velde, F.; Bult, J.H.; van Boekel, M.A.; Stieger, M. Enhancement of sweetness intensity in gels by inhomogeneous distribution of sucrose. Food Qual. Prefer. 2010, 21, 837–842. [Google Scholar] [CrossRef]
- Sala, G.; Stieger, M. Time to first fracture affects sweetness of gels. Food Hydrocoll. 2013, 30, 73–81. [Google Scholar] [CrossRef]
- Panesar, P.S.; Kumari, S.; Panesar, R. Potential applications of immobilized β-galactosidase in food processing industries. Enzym. Res. 2010, 473137. [Google Scholar] [CrossRef]
- Jelen, P.; Tossavainen, O. Low lactose and lactose-free milk and dairy products—Prospects, technologies and applications. Aust. J. Dairy Technol. 2003, 58, 161–165. [Google Scholar]
- Huerta, L.M.; Vera, C.; Guerrero, C.; Wilson, L.; Illanes, A. Synthesis of galacto-oligosaccharides at very high lactose concentrations with immobilized β-galactosidases from Aspergillus oryzae. Process. Biochem. 2011, 46, 245–252. [Google Scholar] [CrossRef]
- Urrutia, P.; Mateo, C.; Guisán, J.M.; Wilson, L.; Illanes, A. Immobilization of Bacillus circulans β-galactosidase and its application in the synthesis of galacto-oligosaccharides under repeated-batch operation. Biochem. Eng. J. 2013, 77, 41–48. [Google Scholar] [CrossRef]
- Vera, C.; Córdova, A.; Aburto, C.; Guerrero, C.; Suárez, S.; Illanes, A. Synthesis and purification of galacto-oligosaccharides: State of the art. World J. Microbiol. Biotechnol. 2016, 32, 197. [Google Scholar] [CrossRef] [PubMed]
- Goulas, A.K.; Kapasakalidis, P.G.; Sinclair, H.R.; Rastall, R.A.; Grandison, A.S. Purification of oligosaccharides by nanofiltration. J. Membr. Sci. 2002, 209, 321–335. [Google Scholar] [CrossRef]
- Cheng, C.-C.; Yu, M.-C.; Cheng, T.-C.; Sheu, D.-C.; Duan, K.-J.; Tai, W.-L. Production of high-content galacto-oligosaccharide by enzyme catalysis and fermentation with Kluyveromyces marxianus. Biotechnol. Lett. 2006, 28, 793–797. [Google Scholar] [CrossRef]
- Santibáñez, L.; Córdova, A.; Astudillo-Castro, C.; Illanes, A. Effect of the lactose hydrolysis on galacto-oligosaccharides mixtures subjected to nanofiltration: A detailed fractionation analysis. Sep. Purif. Technol. 2019, 222, 342–351. [Google Scholar] [CrossRef]
- Stone, H.; Oliver, S.M. Measurement of the relative sweetness of selected sweeteners and sweetener mixtures. J. Food Sci. 1969, 34, 215–222. [Google Scholar] [CrossRef]
- Cardello, H.M.A.B.; Da Silva, M.A.P.A.; Damasio, M.H. Measurement of the relative sweetness of stevia extract, aspartame and cyclamate/saccharin blend as compared to sucrose at different concentrations. Plant. Foods Hum. Nutr. 1999, 54, 119–129. [Google Scholar] [CrossRef]
- Zorn, S.; Alcaire, F.; Vidal, L.; Giménez, A.; Ares, G. Application of multiple-sip temporal dominance of sensations to the evaluation of sweeteners. Food Qual. Prefer. 2014, 36, 135–143. [Google Scholar] [CrossRef]
- DuBois, G.E.; Prakash, I. Non-caloric sweeteners, sweetness modulators, and sweetener enhancers. Annu. Rev. Food Sci. Technol. 2012, 3, 353–380. [Google Scholar] [CrossRef]
- Cardoso, J.M.P.; Bolini, H.M.A. Descriptive profile of peach nectar sweetened with sucrose and different sweeteners. J. Sens. Stud. 2008, 23, 804–816. [Google Scholar] [CrossRef]
- Schiffman, S.S.; Booth, B.J.; Carr, B.T.; Losee, M.L.; Sattely-Miller, E.A.; Graham, B.G. Investigation of synergism in binary mixtures of sweeteners. Brain Res. Bull. 1995, 38, 105–120. [Google Scholar] [CrossRef]
- Schiffman, S.S.; Graham, B.G.; Sattely-Miller, E.A.; Peterson-Dancy, M. Elevated and sustained desire for sweet taste in African-Americans: A potential factor in the development of obesity. Nutrition 2000, 16, 886–893. [Google Scholar] [CrossRef]
- Boring, E.G. Sensation and Perception in the History of Experimental Psychology, 1st ed.; Appleton Century Crofts: New York, NY, USA, 1942. [Google Scholar]
- Harwood, M.L.; Ziegler, G.R.; Hayes, J.E. Rejection thresholds in chocolate milk: Evidence for segmentation. Food Qual. Prefer. 2012, 26, 128–133. [Google Scholar] [CrossRef] [PubMed]
- Wyness, L.A.; Butriss, J.L.; Stanner, S.A. Reducing the population’s sodium intake: The UK Food Standards Agency’s salt reduction programme. Public Health Nutr. 2012, 15, 254–261. [Google Scholar] [CrossRef]
- Hoppert, K.; Zahn, S.; Puschmann, A.; Ullmann, I.; Rohm, H. Quantification of sensory difference thresholds for fat and sweetness in dairy-based emulsions. Food Qual. Prefer. 2012, 26, 52–57. [Google Scholar] [CrossRef]
- Prescott, J.; Johnstone, V.; Francis, J. Odor–taste interactions: Effects of attentional strategies during exposure. Chem. Senses 2004, 29, 331–340. [Google Scholar] [CrossRef] [PubMed]
- Small, D.M.; Voss, J.; Mak, Y.E.; Simmons, K.B.; Parrish, T.; Gitelman, D. Experience-dependent neural integration of taste and smell in the human brain. J. Neurophysiol. 2004, 92, 1892–1903. [Google Scholar] [CrossRef] [PubMed]
- Spence, C.; Levitan, C.A.; Shankar, M.U.; Zampini, M. Does food color influence taste and flavor perception in humans? Chemosens. Percept. 2010, 3, 68–84. [Google Scholar] [CrossRef]
- Burseg, K.M.M.; Camacho, S.; Knoop, J.; Bult, J.H.F. Sweet taste intensity is enhanced by temporal fluctuation of aroma and taste and depends on phase shift. Physiol. Behav. 2010, 101, 726–730. [Google Scholar] [CrossRef]
- Christoph, I.B.; Peter, G.; Rothe, A.; Salamon, P.; Weber, S.A.; Weible, D. School milk consumption in Germany—What are important product attributes for children and parents? In Proceedings of the EAAE 2011 Congress Change and Uncertainty, Zurich, Switzerland, 30 August–2 September 2011. [Google Scholar]
- Li, X.E.; Lopetcharat, K.; Drake, M.A. Extrinsic attributes that influence parents’ purchase of chocolate milk for their children. J. Food Sci. 2014, 79, S1407–S1415. [Google Scholar] [CrossRef]
- Parasidis, E.; Hooker, N.; Simons, C.T. Addressing consumer confusion surrounding “natural” food claims. Am. J. Law Med. 2015, 41, 357–373. [Google Scholar] [CrossRef] [PubMed]
- Anstine, J. Organic and all natural: Do consumers know the difference? J. Appl. Econ. Policy. 2007, 26, 15–27. [Google Scholar]
- Rozin, P. The meaning of “natural” process more important than content. Psychol. Sci. 2005, 16, 652–658. [Google Scholar] [CrossRef] [PubMed]
- Walters, A.; Long, M. The effect of food label cues on perceptions of quality and purchase intentions among high-involvement consumers with varying levels of nutrition knowledge. J. Nutr. Educ. Behav. 2012, 44, 350–354. [Google Scholar] [CrossRef]
- Oltman, A.E.; Lopetcharat, K.; Bastian, E.; Drake, M.A. Identifying key attributes for protein beverages. J. Food Sci. 2015, 80, S1383–S1390. [Google Scholar] [CrossRef]
- Hossain, M.A.; Siddique, A.; Rahman, S.M.; Hossain, M. Chemical composition of the essential oils of Stevia rebaudiana Bertoni leaves. Asian J. Tradit. Med. 2010, 5, 56–61. [Google Scholar]
- Gardana, C.; Simonetti, P.; Canzi, E.; Zanchi, R.; Pietta, P. Metabolism of stevioside and rebaudioside A from Stevia rebaudiana extracts by human microflora. J. Agric. Food Chem. 2003, 51, 6618–6622. [Google Scholar] [CrossRef]
- Guggisberg, D.; Piccinali, P.; Schreier, K. Effects of sugar substitution with Stevia, Actilight™ and Stevia combinations or Palatinose™ on rheological and sensory characteristics of low-fat and whole milk set yogurt. Int. Dairy J. 2011, 21, 636–644. [Google Scholar] [CrossRef]
- Ozdemir, C.; Arslaner, A.; Ozdemir, S.; Allahyari, M. The production of ice cream using stevia as a sweetener. J. Food Sci. Technol. 2015, 52, 7545–7548. [Google Scholar] [CrossRef]
- Pon, S.; Lee, W.; Chong, G. Textural and rheological properties of stevia ice cream. Int. Food Res. J. 2015, 22, 1544. [Google Scholar]
- Prakash, I.; Markosyan, A.; Bunders, C. Development of next generation stevia sweetener: Rebaudioside M. Foods 2014, 3, 162–175. [Google Scholar] [CrossRef] [PubMed]
- Australia and New Zealand Food Standards Code. Application to Amend the Specifications for Rebaudioside M Under Australia and New Zealand Food Standards Code—Standard 1.3.1—Food Additives. Available online: https://www.legislation.gov.au/Details/F2019C00125 (accessed on 2 February 2019).
- Chan, P.; Tomlinson, B.; Chen, Y.J.; Liu, J.C.; Hsieh, M.H.; Cheng, J.T. A double-blind placebo-controlled study of the effectiveness and tolerability of oral stevioside in human hypertension. Br. J. Clin. Pharmacol. 2000, 50, 215–220. [Google Scholar] [CrossRef] [PubMed]
- Gholizadeh, F.; Dastghaib, S.; Koohpeyma, F.; Bayat, E.; Mokarram, P. The protective effect of Stevia rebaudiana Bertoni on serum hormone levels, key steroidogenesis enzymes, and testicular damage in testes of diabetic rats. Acta Histochem. 2019, 121, 833–840. [Google Scholar] [CrossRef] [PubMed]
- Kurek, J.M.; Krejpcio, Z. The functional and health-promoting properties of Stevia rebaudiana Bertoni and its glycosides with special focus on the antidiabetic potential–A review. J. Funct. Foods. 2019, 61, 103465. [Google Scholar] [CrossRef]
- Margolskee, R.F.; Dyer, J.; Kokrashvili, Z.; Salmon, K.S.H.; Ilegems, E.; Daly, K.; Maillet, E.L.; Ninomiya, Y.; Mosinger, B.; Shirazi-Beechey, S.P. T1R3 and gustducin in gut sense sugars to regulate expression of Na+-glucose cotransporter 1. Proc. Natl. Acad. Sci. USA 2007, 104, 15075–15080. [Google Scholar] [CrossRef]
- Moran, A.W.; Al-Rammahi, M.A.; Arora, D.K.; Batchelor, D.J.; Coulter, E.A.; Daly, K.; Ionescu, C.; Bravo, D.; Shirazi-Beechey, S.P. Expression of Na+/glucose co-transporter 1 (SGLT1) is enhanced by supplementation of the diet of weaning piglets with artificial sweeteners. Br. J. Nutr. 2010, 104, 637–646. [Google Scholar] [CrossRef]
- Stearns, A.T.; Balakrishnan, A.; Rhoads, D.B.; Tavakkolizadeh, A. Rapid upregulation of sodium-glucose transporter SGLT1 in response to intestinal sweet taste stimulation. Ann. Surg. 2010, 251, 865–871. [Google Scholar] [CrossRef]
- Mace, O.J.; Affleck, J.; Patel, N.; Kellett, G.L. Sweet taste receptors in rat small intestine stimulate glucose absorption through apical GLUT2. J. Physiol. 2007, 582, 379–392. [Google Scholar] [CrossRef]
- Ma, J.; Bellon, M.; Wishart, J.M.; Young, R.; Blackshaw, L.A.; Jones, K.L.; Horowitz, M.; Rayner, C.K. Effect of the artificial sweetener, sucralose, on gastric emptying and incretin hormone release in healthy subjects. Am. J. Physiol. Gastrointest. Liver Physiol. 2009, 296, G735–G739. [Google Scholar] [CrossRef]
- Ma, J.; Chang, J.; Checklin, H.L.; Young, R.L.; Jones, K.L.; Horowitz, M.; Rayner, C.K. Effect of the artificial sweetener, sucralose, on small intestinal glucose absorption in healthy human subjects. Br. J. Nutr. 2010, 104, 803–806. [Google Scholar] [CrossRef]
- Ford, H.E.; Peters, V.; Martin, N.M.; Sleeth, M.L.; Ghatei, M.A.; Frost, G.S.; Bloom, S.R. Effects of oral ingestion of sucralose on gut hormone response and appetite in healthy normal-weight subjects. Eur. J. Clin. Nutr. 2011, 65, 508–513. [Google Scholar] [CrossRef] [PubMed]
- Steinert, R.E.; Frey, F.; Töpfer, A.; Drewe, J.; Beglinger, C. Effects of carbohydrate sugars and artificial sweeteners on appetite and the secretion of gastrointestinal satiety peptides. Br. J. Nutr. 2011, 105, 1320–1328. [Google Scholar] [CrossRef] [PubMed]
- Wu, T.; Zhao, B.R.; Bound, M.J.; Checklin, H.L.; Bellon, M.; Little, T.J.; Young, R.L.; Jones, K.L.; Horowitz, M.; Rayner, C.K. Effects of different sweet preloads on incretin hormone secretion, gastric emptying, and postprandial glycemia in healthy humans. Am. J. Clin. Nutr. 2011, 95, 78–83. [Google Scholar] [CrossRef] [PubMed]
- Brown, R.J.; Walter, M.; Rother, K.I. Ingestion of diet soda before a glucose load augments glucagon-like peptide-1 secretion. Diabetes Care 2009, 32, 2184–2186. [Google Scholar] [CrossRef] [PubMed]
- Brown, R.J.; Walter, M.; Rother, K.I. Effects of diet soda on gut hormones in youths with diabetes. Diabetes Care 2012, 35, 959–964. [Google Scholar] [CrossRef] [PubMed]
- Pepino, M.Y.; Tiemann, C.D.; Patterson, B.W.; Wice, B.M.; Klein, S. Sucralose affects glycemic and hormonal responses to an oral glucose load. Diabetes Care 2013, 36, 2530–2535. [Google Scholar] [CrossRef] [PubMed]
- Tarka, S.M.; Roberts, A. Stevia: It’s not just about calories. Open Obes. J. 2011, 3, 85–86. [Google Scholar] [CrossRef]
- Shukla, S.; Mehta, A.; Bajpai, V.K.; Shukla, S. In vitro antioxidant activity and total phenolic content of ethanolic leaf extract of Stevia rebaudiana Bert. Food Chem. Toxicol. 2009, 47, 2338–2343. [Google Scholar] [CrossRef]
- Lemus-Mondaca, R.; Vega-Gálvez, A.; Zura-Bravo, L.; Ah-Hen, K. Stevia rebaudiana Bertoni, source of a high-potency natural sweetener: A comprehensive review on the biochemical, nutritional and functional aspects. Food Chem. 2012, 132, 1121–1132. [Google Scholar] [CrossRef]
- Debnath, M. Clonal propagation and antimicrobial activity of an endemic medicinal plant Stevia rebaudiana. J. Med. Plant. Res. 2007, 2, 45–51. [Google Scholar] [CrossRef]
- Ghosh, S.; Subudhi, E.; Nayak, S. Antimicrobial assay of Stevia rebaudiana Bertoni leaf extracts against 10 pathogens. Int. J. Integr. Biol. 2008, 2, 27–31. [Google Scholar]
- Jayaraman, S.; Manoharan, M.S.; Illanchezian, S. In-vitro antimicrobial and antitumor activities of Stevia rebaudiana (Asteraceae) leaf extracts. Trop. J. Pharm. Res. 2008, 7, 1143–1149. [Google Scholar] [CrossRef]
- Tiwari, S. Stevia rebaudiana: A medicinal and nutraceutical plant and sweet gold for diabetic patients. IJPLS 2010, 1, 451–457. [Google Scholar]
- Tadhani, M.; Subhash, R. Preliminary studies on Stevia rebaudiana leaves: Proximal composition, mineral analysis and phytochemical screening. J. Med. Sci. 2006, 6, 321–326. [Google Scholar] [CrossRef]
- Ruiz-Ojeda, F.J.; Plaza-Díaz, J.; Sáez-Lara, M.J.; Gil, A. Effects of sweeteners on the gut microbiota: A review of experimental studies and clinical trials. Adv. Nutr. 2019, 10, S31–S48. [Google Scholar] [CrossRef]
- EFSA. Scientific opinion on the safety of steviol glycosides for the proposed uses as a food additive. EFSA Panel of Food Additive and Nutrients Sources added to Food (ANS). EFSA J. 2010, 8, 1537. [Google Scholar] [CrossRef]
- EFSA. Scientific opinion on the safety of the proposed amendment of the specifications for steviol glycosides (E 960) as a food additive. EFSA Panel of Food Additive and Nutrient Sources added to Food (ANS). EFSA J. 2015, 13, 4316. [Google Scholar] [CrossRef]
- FAO. Food Additives Food and Agriculture Organization of the United Nations. 82nd JECFA—Chemical and Technical Assessment (CTA), 2016© FAO 2016. 2015. Available online: http://www.fao.org/3/a-az480e.pdf (accessed on 5 October 2019).
- Prakash, I.; DuBois, G.E.; Clos, J.F.; Wilkens, K.L.; Fosdick, L.E. Development of rebiana, a natural, non-caloric sweetener. Food Chem. Toxicol. 2008, 46, S75–S82. [Google Scholar] [CrossRef]
- Swingle, W.T. Momordica grosvenori sp. nov. the source of the Chinese Lo han kuo. J. Arnold Arbor. 1941, 22, 197–203. [Google Scholar]
- Itkin, M.; Davidovich-Rikanati, R.; Cohen, S.; Portnoy, V.; Doron-Faigenboim, A.; Oren, E.; Freilich, S.; Tzuri, G.; Baranes, N.; Shen, S. The biosynthetic pathway of the nonsugar, high-intensity sweetener mogroside V from Siraitia grosvenorii. Proc. Natl. Acad. Sci. USA 2016, 113, E7619–E7628. [Google Scholar] [CrossRef]
- Chen, W.; Wang, J.; Qi, X.; Xie, B. The antioxidant activities of natural sweeteners, mogrosides, from fruits of Siraitia grosvenori. Int. J. Food Sci. Nutr. 2007, 58, 548–556. [Google Scholar] [CrossRef] [PubMed]
- Gong, X.; Chen, N.; Ren, K.; Jia, J.; Wei, K.; Zhang, L.; Lv, Y.; Wang, J.; Li, M. The Fruits of Siraitia grosvenorii: A Review of a Chinese Food-Medicine. Front. Pharmacol. 2019, 10, 1400. [Google Scholar] [CrossRef] [PubMed]
- Pandey, A.K.; Chauhan, O.P. Monk fruit (Siraitia grosvenorii)—Health aspects and food applications. Pantnagar J. Res. 2019, 17, 191–198. [Google Scholar]
- Ukiya, M.; Akihisa, T.; Tokuda, H.; Toriumi, M.; Mukainaka, T.; Banno, N.; Kimura, Y.; Hasegawa, J.-i.; Nishino, H. Inhibitory effects of cucurbitane glycosides and other triterpenoids from the fruit of Momordica grosvenori on epstein-barr virus early antigen induced by tumor promoter 12-O-tetradecanoylphorbol-13-acetate. J. Agric. Food Chem. 2002, 50, 6710–6715. [Google Scholar] [CrossRef]
- Xiangyang, Q.; Weijun, C.; Liegang, L.; Ping, Y.; Bijun, X. Effect of a Siraitia grosvenori extract containing mogrosides on the cellular immune system of type 1 diabetes mellitus mice. Mol. Nutr. Food Res. 2006, 50, 732–738. [Google Scholar] [CrossRef]
- Takeo, E.; Yoshida, H.; Tada, N.; Shingu, T.; Matsuura, H.; Murata, Y.; Yoshikawa, S.; Ishikawa, T.; Nakamura, H.; Ohsuzu, F. Sweet elements of Siraitia grosvenori inhibit oxidative modification of low-density lipoprotein. J. Atheroscler. Thromb. 2002, 9, 114–120. [Google Scholar] [CrossRef][Green Version]
- Lim, T.K. Edible Medicinal and Non-Medicinal Plants; Springer: New York, NY, USA, 2012; Volume 1. [Google Scholar]
- Rad, A.H.; Delshadian, Z.; Arefhosseini, S.R.; Alipour, B.; Jafarabadi, M.A. Effect of inulin and stevia on some physical properties of chocolate milk. Health Promot. Perspect. 2012, 2, 42–47. [Google Scholar] [CrossRef][Green Version]
- Zhang, W.; Gruen, I. Determination of ideal sweeteners concentration and sweetness equivalence of selected natural sweeteners in a whey protein beverage application. Inst. Food Technol. 2013, 163-18, (abstr.). [Google Scholar]
- Bordi, P.L., Jr.; Palchak, T.; Verruma-Bernardi, M.R.; Cho, H.C. Adult Acceptance of Chocolate Milk Sweetened with Stevia. J. Culin. Sci. Technol. 2016, 14, 216–221. [Google Scholar] [CrossRef]
- Azami, T.; Niakousari, M.; Hashemi, S.M.B.; Torri, L. A three-step sensory-based approach to maximize consumer acceptability for new low-sugar licorice-chocolate-flavored milk drink. LWT 2018, 91, 375–381. [Google Scholar] [CrossRef]
- Rouhi, M.; Mohammadi, R.; Mortazavian, A.; Sarlak, Z. Combined effects of replacement of sucrose with D-tagatose and addition of different probiotic strains on quality characteristics of chocolate milk. Dairy Sci. Technol. 2015, 95, 115–133. [Google Scholar] [CrossRef]
- Mollet, B.; Rowland, I. Functional foods: At the frontier between food and pharma. Curr. Opin. Biotechnol. 2002, 5, 483–485. [Google Scholar] [CrossRef]
- Fagan, C.C.; O’Donnell, C.P.; Cullen, P.J.; Brennan, C.S. The effect of dietary fibre inclusion on milk coagulation kinetics. J. Food Eng. 2006, 77, 261–268. [Google Scholar] [CrossRef]
- Paixão, J.; Rodrigues, J.; Esmerino, E.; Cruz, A.; Bolini, H. Influence of temperature and fat content on ideal sucrose concentration, sweetening power, and sweetness equivalence of different sweeteners in chocolate milk beverage. J. Dairy Sci. 2014, 97, 7344–7353. [Google Scholar] [CrossRef]
- Li, X.E.; Drake, M.A. Sensory perception, nutritional role, and challenges of flavored milk for children and adults. J. Food Sci. 2015, 80, R665–R670. [Google Scholar] [CrossRef]
- Thorning, T.K.; Bertram, H.C.; Bonjour, J.-P.; De Groot, L.; Dupont, D.; Feeney, E.; Ipsen, R.; Lecerf, J.M.; Mackie, A.; McKinley, M.C.; et al. Whole dairy matrix or single nutrients in assessment of health effects: Current evidence and knowledge gaps. Am. J. Clin. Nutr. 2017, 105, 1033–1045. [Google Scholar] [CrossRef]
- Keast, R.S. Effects of sugar and fat consumption on sweet and fat taste. Curr. Opin. Behav. Sci. 2016, 9, 55–60. [Google Scholar] [CrossRef]
- Cardoso, J.M.P.; Bolini, H.M.A. Different sweeteners in peach nectar: Ideal and equivalent sweetness. Food Res. Int. 2007, 40, 1249–1253. [Google Scholar] [CrossRef]
- Delwiche, J. The impact of perceptual interactions on perceived flavor. Food Qual. Prefer. 2004, 15, 137–146. [Google Scholar] [CrossRef]
- Poinot, P.; Arvisenet, G.; Ledauphin, J.; Gaillard, J.-L.; Prost, C. How can aroma-related cross-modal interactions be analysed? A review of current methodologies. Food Qual. Prefer. 2013, 28, 304–316. [Google Scholar] [CrossRef]
- Fayet-Moore, F. Effect of flavored milk vs plain milk on total milk intake and nutrient provision in children. Nutr. Rev. 2015, 74, 1–17. [Google Scholar] [CrossRef] [PubMed]
- Yanes, M.; Durán, L.; Costell, E. Effect of hydrocolloid type and concentration on flow behaviour and sensory properties of milk beverages model systems. Food Hydrocoll. 2002, 16, 605–611. [Google Scholar] [CrossRef]
- Murphy, M.M.; Douglass, J.S.; Johnson, R.K.; Spence, L.A. Drinking flavored or plain milk is positively associated with nutrient intake and is not associated with adverse effects on weight status in US children and adolescents. J. Am. Diet Assoc. 2008, 108, 631–639. [Google Scholar] [CrossRef] [PubMed]
- Johnson, R.K.; Frary, C.; Wang, M.Q. The nutritional consequences of flavored-mild consumption by school-aged children and adolescents in the United States. J. Am. Diet Assoc. 2002, 102, 853–856. [Google Scholar] [CrossRef]
| Nutritive Sweeteners (NS) | Structure | Type | Advantages | Disadvantages | * Sweetness Potency | Calorie/g | References |
|---|---|---|---|---|---|---|---|
| Sucrose | ![]() | Natural | Provides colour, flavour, bulkness and preservative actions against microbes | Contributes calories to diets | 1.0 | 4.0 | [22] |
| Glucose | ![]() | Natural | Essential energy source for the brain | Contributes calories to diets and affects satiety | 0.75× | 4.0 | [23] |
| Fructose | ![]() | Natural | Sweetest carbohydrate in nature | Contributes calories to diets but does not affect satiety like glucose | 1.5–1.8× | 4.0 | [24] |
| Lactose | ![]() | Natural | Raw material and prebiotics for probiotics | Less contribution to sweetness | 0.11–0.13× | 3.9 | [25,26] |
| Trehalose | ![]() | Artificial | Antioxidant activity, food flavour enhancer; prevents starch aging; odor reduction and extension of the shelf life | Contributes calories | 0.5–0.7× | 3.6 | [27,28,29,30] |
| Erythritol | ![]() | Artificial | Highly stable, low calorie contribution, tooth-friendly sweetener providing volume, texture, and microbiological stability | Can cause gastrointestinal symptoms | 0.7× | 0.2 | [31] |
| Isomalt (Isomaltitol) | ![]() | Artificial | Heat resistant and tooth-friendly | Laxative effect along with gastrointestinal symptoms (abdominal discomfort, bloating and flatulence if consumed in excess i.e., >50 g) | 0.45–0.6× | 2.0 | [31,32] |
| Lactitol | ![]() | Artificial | Low calories suitable for sugar-free foods | Similar to Isomalt | 0.35–0.4× | 1.9 | [31] |
| Maltitol | ![]() | Artificial | Heat resistance, strong flavour consistency, and tooth-friendly as it is not fermented by tooth plaque forming microorganisms | Similar to Isomalt | 0.5–0.9× | 3.0 | [31,33] |
| Sorbitol | ![]() | Artificial | Bulking agent, humectant, sequestrant and acts as stabilizer | Similar to Isomalt | 0.6× | 2.6 | [31,34] |
| Mannitol | ![]() | Artificial | Crystallization in the form of a colourless/white needle/rhombus with extremely low hygroscopicity | Only 18% (w/v) soluble in water at 25 °C | 0.5–0.72× | 1.6 | [35,36,37] |
| Xylitol | ![]() | Artificial | Sweetness intensity similar to sucrose | Similar to Isomalt | 1.0× | 3.0 | [32] |
| Non-nutritive Sweetener (NNS) | Structure | ADI (mg/kg Body Weight/day) | Onset | Lingering | Off-taste | Food and Beverages | Amount of Sugar Reduction | Reference |
|---|---|---|---|---|---|---|---|---|
| Natural | ||||||||
| Thaumatin | ![]() | 50 | Delay | Long | Nil | Probiotic chocolate-flavoured milk | 20% | [15,38,39] |
| Neohesperidine dihydrochalcone | ![]() | 35 | Delay | Long | Like licorice | Chocolate, skimmed plain yoghurt | - | [15,40,41] |
| Steviol glucosides | ![]() | 4 | Delay | Moderate | Bitter | Chocolate milk, chocolate dairy desserts | 50% | [15,42,43,44,45] |
| Monk fruit (Mogrosides V) | ![]() | 25 | Delay | Long | Nil | Chocolate milk | 50% | [42,43,46] |
| Artificial | ||||||||
| Advantame | ![]() | 5 | Delay | Moderate | Nil | Strawberry-flavoured yoghurt | 100% | [15,47,48] |
| Neotame | ![]() | 2 | Delay | Strong | Nil | Prebiotic chocolate dairy dessert | 100% | [15,45] |
| Sucralose | ![]() | 5 | Slight delay | Moderate | Slight bitter | Strawberry flavoured yoghurt, dairy desserts, lassi | 100% | [15,44,48] |
| Saccharin | ![]() | 5 | Rapid | Non-significant | Bitter and metallic | Strawberry flavoured yoghurt, lemon whey beverages | 39%-100% | [15,48,49] |
| Aspartame | ![]() | 40 | Slight delay | Moderate | Non-significant | Strawberry flavoured yoghurt, lemon whey beverages, lassi | 39–100% | [15,49,50] |
| Acesulfame K | ![]() | 9 | Quick | Low | Bitter and metallic | Strawberry flavoured yoghurt, lassi | 100% | [15,50] |
| Cyclamates | ![]() | 11 | Rapid | Non-significant | Bitter and salty | Strawberry flavoured yoghurt | 100% | [15] |
| Method | Advantage | Disadvantage | Use of Sweeteners | Application | Example | Reference |
|---|---|---|---|---|---|---|
| Lactose hydrolysis | Natural and easily achievable process | Quite expensive and desired sweetness might not be achieved | Yes/No | Lactose hydrolysis applicable in milk only, though the hydrolysed milk can be used to make milk-based products | Flavoured milk, yoghurt, and ice-cream | [119,120,121,122,123] |
| Ultra-/nanofiltration | Relatively easy, quick, and cost-effective process | Works better in conjunction with lactose hydrolysis process | Yes/No | Applicable in lactose hydrolysed milk which then can be used to make milk-based products | Cheese and yoghurt | [124,125,126,127] |
| Product reformulation (partial and total replacement) | Substantial amount of sugar can be reduced | Sensory profile and satiety value of sucrose cannot be replaced totally | Yes | The most common approach in both solid and liquid foods | Probiotic/chocolate flavoured milk, jam, chocolate, juice | [39,42,128] |
| Gradual reduction | Relatively easy process | Consumers should accept the changed sensory profile | No | Both in solid and liquid foods | Chocolate flavoured milk, salt | [129,130] |
| Multisensory interactions | Formulation easy and achievable without sweeteners | High level of sugar reduction cannot be achieved | No | Both in solid and liquid foods (aroma); liquid foods (colour) | Milk desserts, cheese, orange juice, strawberry yoghurt, vanilla milk desserts | [128,131,132,133] |
| Heterogenous distribution | The composition of the product is minimally affected | Achievable only on small scale | No | Solid foods (stimulation of taste receptors, serum release, reducing particle-size) and liquid foods (reduced viscosity) | Semi-solid food gels, beverages, dairy desserts | [134,135,136,137,138] |
| Compound | R1 | R2 | Chemical Formula | Structure | * Sweetness Potency |
|---|---|---|---|---|---|
| Rubusoside | Glucose β1 (Glcβ1-) | Glcβ1- | C32H50O13 | ![]() | 114 |
| Steviolbioside | H | Glcβ(1-2)Glcβ1- | C32H50O13 | ![]() | 90 |
| Stevioside | Glcβ1- | Glcβ(1-2)Glcβ1- | C38H60O18 | ![]() | 210 |
| Rebaudioside B (Reb B) | H | Glcβ(1-2)[Glcβ(1-3)]4.2.4Glcβ1- | C38H60O18 | ![]() | 150 |
| Reb E | Glcβ(1-2)Glcβ1- | Glcβ(1-2)Glcβ1- | C44H70O23 | ![]() | 174 |
| Reb A | Glcβ1- | Glcβ(1-2)[Glcβ(1-3)]Glcβ1- | C44H70O23 | ![]() | 200 |
| Reb D | Glcβ(1-2)Glcβ1- | Glcβ(1-2)[Glcβ(1-3)]Glcβ1- | C50H80O28 | ![]() | 221 |
| Reb M | Glcβ(1-2)[Glcβ(1-3)]Glcβ1- | Glcβ(1-2)[Glcβ(1-3)]Glcβ1- | C56H90O33 | ![]() | 250 |
| Dulcoside A | Glcβ1- | Rhamnose (Rha) Rhaα(1-2)Glcβ1 | C38H60O17 | ![]() | 30 |
| Reb C | Glcβ1- | Rhaα(1-2)[Glcβ(1-3)]Glcβ1- | C44H70O22 | ![]() | 30 |
| Reb N | Rhaα(1-2)[Glcβ(1-3)]Glcβ1- | Glcβ(1-2)[Glcβ(1-3)]Glcβ1- | C56H90O32 | ![]() | - |
| Reb O | Glcβ(1-3)Rhaα(1-2)[Glcβ(1-3)]Glcβ1- | Glcβ(1-2)[Glcβ(1-3)]Glcβ1- | C62H100O37 | ![]() | - |
| Reb F | Glcβ1- | Xylose (Xyl) Xylβ(1-2)[Glcβ(1-3)]Glcβ1 | C43H68O22 | ![]() | 200 |
| Method | Sweetener/Others | Consumer Acceptance Study | Physicochemical Study | Microbial Study | Outcomes | Reference |
|---|---|---|---|---|---|---|
| Partial (50%)/total (100%) substitution | Stevia/inulin (thickening agent) | No | Sedimentation and viscosity | No | 100% stevia increased precipitation, decreased viscosity while 50% stevia with inulin had better physical property | [213] |
| Partial substitution | Monk fruit extract/stevia leaf extract | 9-Point hedonic, just about right (JAR) | No | No | Sucrose (39.7 g/L) with monk fruit extract (46 mg/L) or stevia leaf extract (30 mg/L) had sensory profile comparable to control milk (51.4 g/L sucrose) | [42] |
| Partial substitution | Thaumatin/vanilla (probiotic culture) | 9-Point hedonic, temporal check-all-that-apply (TCATA) | No | No | 20% sugar reduction as compared with a control (9% sugar) affected sweetness perception but not overall liking; vanilla increased sweetness perception only with 40–60% sugar reduction; 10 ppm of thaumatin showed increased sweetness perception only when sugar reduction was 60% | [39] |
| Partial (50%)/total (100%) substitution | D-tagatose/probiotic strains | 5-Point hedonic scale | pH, redox potential, acidity | No (probiotic strains evaluated) | Probiotic strains and D-tagatose significantly affected probiotic viability, physical and chemical properties of chocolate milk. Therefore, proper selection of sugar ratio is recommended | [217] |
| Partial substitution | Reb A stevia | Preference test (7-point hedonic) | No | No | 150 ppm of stevia was optimum for 35% sugar reduction without difference in overall liking | [215] |
| Gradual reduction | - | 9-Point hedonic, CATA | No | No | 12.9% of sugar can be reduced by a fraction of 6.66% added sugar in two sequent reductions to maintain consumer liking | [129] |
| Partial substitution | Liquorice extract powder (LEP)/cocoa powder (CP) | 5-Point hedonic scale, preference ranking test | Sedimentation, pH, acidity, colour | Total bacterial and yeast count | 0.35:0.65; LEP/CP (based on 1/100 g CP) and 5 g per 100 g sucrose was optimum for consumer acceptance with no significant variations in acidity, pH, and microbial growth but significantly higher colour and sedimentation stability than the control | [216] |
| S.N. | Chocolate Flavoured Milk | Manufacturer | Energy (KJ) | Fat (%) | Sugar (%) | Protein (%) | Salt (Na, %) |
|---|---|---|---|---|---|---|---|
| 1 | Big M original | Part of LD&D Australia PTY LTD | 284 | 1.80 | 9.50 | 3.20 | 0.04 |
| 2 | Norco fm | North Coast Fresh Food & Cold Storage Co-operative Company Ltd. | 327 | 1.90 | 11.00 | 4.00 | 0.05 |
| 3 | Norco NATURAL Malt, Honey and Chocolate | North Coast Fresh Food & Cold Storage Co-operative Company Ltd. | 423 | 3.70 | 10.60 | 4.20 | 0.08 |
| 4 | Norco REAL Iced Chocolate | North Coast Fresh Food & Cold Storage Co-operative Company Ltd. | 411 | 3.90 | 10.80 | 4.20 | 0.05 |
| 5 | Norco REAL FUEL | North Coast Fresh Food & Cold Storage Co-operative Company Ltd. | 422 | 3.60 | 9.30 | 6.00 | 0.05 |
| 6 | RAM | Farmdale | 360 | 3.50 | 8.30 | 3.70 | 0.05 |
| 7 | Coach House Dairy | NuLac Foods P/L, Australia | 551 | 8.00 | 11.00 | 4.00 | 0.04 |
| 8 | OAK Chocolate | Parmalat Food Products PTY LTD | 376 | 3.40 | 10.60 | 3.50 | 0.05 |
| 9 | UP & GO Liquid Breakfast | Sanitarium (Australia Health & Nutrition Assoc. Limited) | 327 | 1.50 | 7.70 | 3.30 | 0.06 |
| 10 | Barista Bros Butterscotch Brownie | Coca-cola Amitil (Australia) PTY LTD | 226 | 1.40 | 7.10 | 2.70 | 0.06 |
| 11 | EMMA & TOMS | EMMA & TOMS Foods PTY LTD | 188 | 1.30 | 4.80 | 3.50 | 0.04 |
| 12 | Pauls ZYMIL | Parmalat Australia PTY LTD | 317 | 3.10 | 8.30 | 3.30 | 0.04 |
| 13 | Pauls Farmhouse Gold | Parmalat Australia PTY LTD | 419 | 5.00 | 9.80 | 3.60 | 0.04 |
| 14 | Pauls Farmhouse Gold chocolate custard | Parmalat Australia PTY LTD | 515 | 5.00 | 13.00 | 3.20 | 0.04 |
| 15 | Big M Double Choc | Big M (Part of LD&D Australia PTY LTD) | 302 | 2.50 | 8.90 | 3.30 | 0.04 |
| 16 | OAK Chocolate | Parmalat Food Products PTY LTD | 376 | 3.40 | 10.60 | 3.50 | 0.05 |
| 17 | OAK THE MAX COOL CHOC MINT | Parmalat Food Products PTY LTD | 373 | 3.40 | 10.30 | 3.70 | 0.05 |
| 18 | OAK PLUS PROTEIN | Parmalat Food Products PTY LTD | 299 | 1.40 | 7.80 | 6.00 | 0.06 |
| 19 | OAK THICK CHOC MINT | Parmalat Food Products PTY LTD | 383 | 3.50 | 10.90 | 3.60 | 0.05 |
| 20 | OAK THICK DEATH BY CHOCOLATE | Parmalat Food Products PTY LTD | 381 | 3.50 | 10.90 | 3.60 | 0.05 |
| 21 | Norco Mighty Cool | NORCO (North Coast Fresh Food & Cold Storage Co-operative Company Ltd.) | 263 | 1.40 | 8.20 | 3.90 | 0.06 |
| 22 | RAM BERT | Farmdale | 269 | 1.30 | 8.40 | 3.80 | 0.05 |
| 23 | Woolworths Chocolate milk | Woolworths | 235 | 1.40 | 5.80 | 3.90 | 0.04 |
| 24 | Pauls MILKY MAX | Parmalat Australia PTY LTD | 298 | 1.80 | 10.30 | 3.20 | 0.05 |
| 25 | Dairy Farmers Fresh milk | Dairy Farmers | 248 | 1.80 | 7.10 | 3.20 | 0.05 |
| 26 | EDGE BIG M CHOCOLATE | Big M (part of LD&D Australia PTY LTD) | 283 | 1.80 | 8.80 | 3.30 | 0.04 |
| 27 | Nippy’s ICEDCHOCOLATE | KNISPEL BROS PTY LTD | 267 | 1.70 | 7.90 | 3.00 | 0.04 |
| 28 | Moo Chocolate | Devondale | 334 | 3.40 | 9.10 | 3.00 | 0.05 |
| 29 | Breaka Chocolate | Parmalat Australia PTY LTD | 316 | 2.00 | 10.20 | 3.70 | 0.05 |
| 30 | Since 1967 OAK Chocolate | Parmalat Food Products PTY LTD | 360 | 2.00 | 12.20 | 3.60 | 0.06 |
| 31 | Nestle Ready to Drink Chocolate | Nestle | 300 | 1.40 | 8.40 | 4.00 | 0.05 |
| 32 | M2GO | Alfred Foods | 281 | 1.80 | 9.40 | 3.10 | 0.04 |
| 33 | LIDDELLS Lactose free Chocolate Milk | LIDDELLS | 313 | 3.30 | 7.90 | 3.00 | 0.03 |
| 34 | LIDDELLS Lactose free, 99% Fat Free Chocolate Milk | LIDDELLS | 263 | 1.00 | 9.80 | 3.20 | 0.07 |
© 2020 by the authors. Licensee MDPI, Basel, Switzerland. This article is an open access article distributed under the terms and conditions of the Creative Commons Attribution (CC BY) license (http://creativecommons.org/licenses/by/4.0/).
Share and Cite
Mahato, D.K.; Keast, R.; Liem, D.G.; Russell, C.G.; Cicerale, S.; Gamlath, S. Sugar Reduction in Dairy Food: An Overview with Flavoured Milk as an Example. Foods 2020, 9, 1400. https://doi.org/10.3390/foods9101400
Mahato DK, Keast R, Liem DG, Russell CG, Cicerale S, Gamlath S. Sugar Reduction in Dairy Food: An Overview with Flavoured Milk as an Example. Foods. 2020; 9(10):1400. https://doi.org/10.3390/foods9101400
Chicago/Turabian StyleMahato, Dipendra Kumar, Russell Keast, Djin Gie Liem, Catherine Georgina Russell, Sara Cicerale, and Shirani Gamlath. 2020. "Sugar Reduction in Dairy Food: An Overview with Flavoured Milk as an Example" Foods 9, no. 10: 1400. https://doi.org/10.3390/foods9101400
APA StyleMahato, D. K., Keast, R., Liem, D. G., Russell, C. G., Cicerale, S., & Gamlath, S. (2020). Sugar Reduction in Dairy Food: An Overview with Flavoured Milk as an Example. Foods, 9(10), 1400. https://doi.org/10.3390/foods9101400





































