In Vitro Assessment of Gut Microbiota Modulation Through Functional Biscuits Enriched with Almond By-Products
Abstract
1. Introduction
2. Materials and Methods
2.1. Raw Materials
2.2. Nutritional and Bioactive Characterization of Raw Materials
2.3. Total Phenol Content and Antioxidant Activity
2.4. Effect of Almond Skin on Strains’ Cultivability
2.4.1. Microorganisms
2.4.2. In Vitro Evaluation of Prebiotic Compounds
2.5. Preparation and Characterization of Three-Dimensional-Printed Biscuits
2.5.1. Preparation of Three-Dimensional-Printed Biscuits
2.5.2. Nutritional and Physical Characteristics of 3D-Printed Biscuits
2.6. Effect of Almond Skin on the Human Gut Microbiota Model
2.6.1. Bacterial Strains, Cultivation Medium, Growth Conditions
2.6.2. Construction of the Human Gut Microbiota Model (HGMM)
2.6.3. In Vitro Gastrointestinal Digestion (INFOGEST Protocol)
2.6.4. In Vitro Colonic Fermentation
2.6.5. Statistical Analysis
3. Results
3.1. Nutritional Composition of Dehydrated Almond Skin
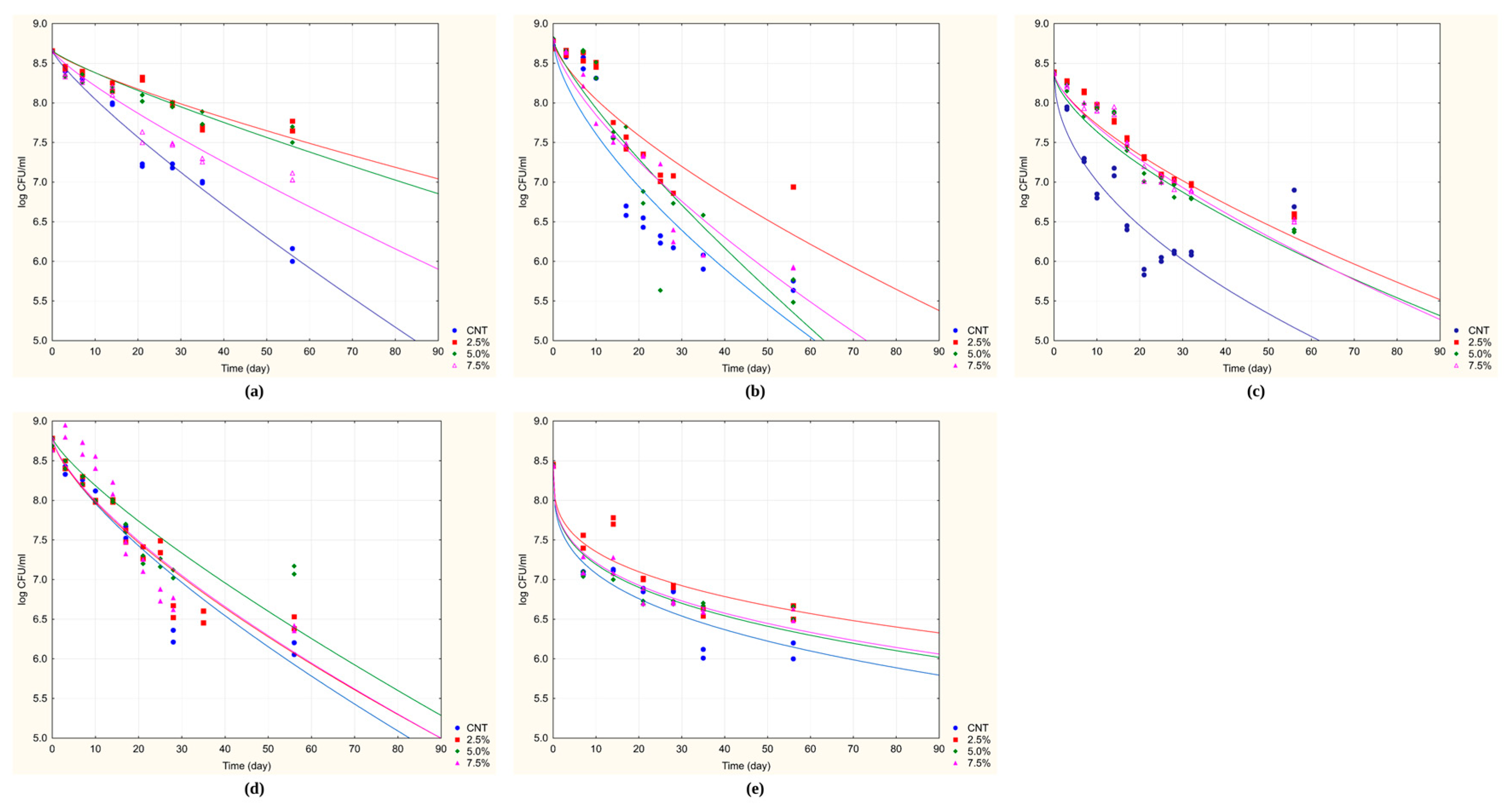
3.2. Effect of Almond Skin on Strains Cultivability
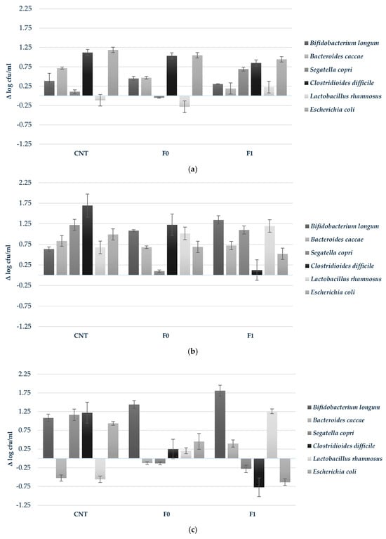
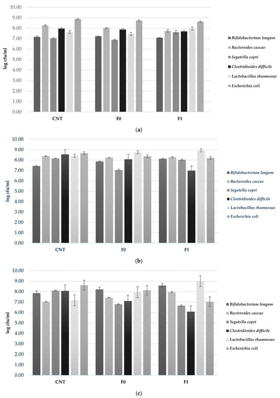
3.3. Effect of Almond Skin on Human Gut Microbiota Model
3.3.1. Chemical and Bioactive Characterization of 3D-Printed Biscuits
3.3.2. In Vitro Colonic Fermentation
4. Discussion
5. Conclusions
Author Contributions
Funding
Institutional Review Board Statement
Informed Consent Statement
Data Availability Statement
Conflicts of Interest
References
- Fekete, M.; Lehoczki, A.; Kryczyk-Poprawa, A.; Zábó, V.; Varga, J.T.; Bálint, M.; Fazekas-Pongor, V.; Csípő, T.; Rząsa-Duran, E.; Varga, P. Functional Foods in Modern Nutrition Science: Mechanisms, Evidence, and Public Health Implications. Nutrients 2025, 17, 2153. [Google Scholar] [CrossRef] [PubMed]
- Rai, N.; Pavankumar, T.L.; Ghotra, B.; Dhillon, S.; Juneja, V.; Amaly, N.; Pandey, P. Essential recycling and repurposing of food waste for environment and sustainability. Front. Sustain. Food Syst. 2025, 9, 1575113. [Google Scholar] [CrossRef]
- Silva, V.; Oliveira, I.; Pereira, J.A.; Gonçalves, B. Almond By-Products: A Comprehensive Review of Composition, Bioactivities, and Influencing Factors. Foods 2025, 14, 1042. [Google Scholar] [CrossRef]
- Lacivita, V.; Derossi, A.; Caporizzi, R.; Lamacchia, C.; Speranza, B.; Guerrieri, A.; Racioppo, A.; Corbo, M.R.; Sinigaglia, M.; Severini, C. Discover hidden value of almond by-products: Nutritional, sensory, technological and microbiological aspects. Future Foods 2024, 10, 100398. [Google Scholar] [CrossRef]
- Bisht, D.; Pal, D.; Shrestha, R. Introduction to Probiotics, Prebiotics, and Synbiotics: A Holistic Approach, Probiotics; CRC Press: Boca Raton, FL, USA, 2024; pp. 1–28. [Google Scholar]
- He, Z.; Dong, H. The roles of short-chain fatty acids derived from colonic bacteria fermentation of nondigestible carbohydrates and exogenous forms in ameliorating intestinal mucosal immunity of young ruminants. Front. Immunol. 2023, 14, 1291846. [Google Scholar] [CrossRef] [PubMed]
- Singar, S.; Kadyan, S.; Patoine, C.; Park, G.; Arjmandi, B.; Nagpal, R. The Effects of Almond Consumption on Cardiovascular Health and Gut Microbiome: A Comprehensive Review. Nutrients 2024, 16, 1964. [Google Scholar] [CrossRef]
- de Oliveira Filho, J.G.; Duarte, L.G.R.; Bonfim, D.O.; Salgaço, M.K.; Mattoso, L.H.C.; Egea, M.B. Shaping the Future of Functional Foods: Using 3D Printing for the Encapsulation and Development of New Probiotic Foods. Probiotics Antimicro Proteins 2025, 17, 1295–1307. [Google Scholar] [CrossRef]
- EN 13805:2014; Foodstuffs—Determination of Trace Elements—Pressure Digestion. CEN (European Committee for Standardization): Brussels, Belgium, 2014.
- La Gatta, B.; Liberatore, M.; Dilucia, F.; Rutigliano, M.; Viscecchia, R.; Spano, G.; Capozzi, V.; Bimbo, F.; Di Luccia, A. Polyphenolic characterization, nutritional and microbiological assessment of newly formulated semolina fresh pasta fortified with grape pomace. Food Chem. 2023, 463, 141531. [Google Scholar]
- Difonzo, G.; Caponio, G.R.; Miolla, R.; Vacca, M.; De Angelis, M. Wine lees as functional ingredient to produce biscuits fortified with 55 polyphenols and dietary fibre. LWT-Food Sci. Technol. 2024, 198, 115943. [Google Scholar]
- Mafart, P.; Couvert, O.; Gaillard, S.; Leguerinel, I. On calculating sterility in thermal preservation methods: Application of the Weibull frequency distribution model. Int. J. Food Microbiol. 2002, 72, 107–113. [Google Scholar] [CrossRef]
- Bevilacqua, A.; Cibelli, F.; Cardillo, D.; Altieri, C.; Sinigaglia, M. Metabiotic effects of Fusarium spp. on Escherichia coli O157:H7 and Listeria monocytogenes on raw portioned tomatoes. J. Food Prot. 2008, 71, 1366–1371. [Google Scholar] [CrossRef] [PubMed]
- Ukkunda, N.S.; Santhoshkumar, P.; Moses, J.A. Impact of different natural sweeteners on 3D printability and post-printing quality of marzipan. Future Foods 2025, 11, 100557. [Google Scholar] [CrossRef]
- Maier, L.; Pruteanu, M.; Kuhn, M.; Zeller, G.; Telzerow, A.; Anderson, E.E.; Brochado, A.R.; Fernandez, K.C.; Dose, H.; Mori, H.; et al. Extensive impact of non-antibiotic drugs on human gut bacteria. Nature 2018, 555, 623–628. [Google Scholar] [CrossRef]
- Johnson, J.S.; Spakowicz, D.J.; Hong, B.Y.; Petersen, L.M.; Demkowicz, P.; Chen, L.; Leopold, S.R.; Hanson, B.M.; Agresta, H.O.; Gerstein, M.; et al. Evaluation of 16S rRNA gene sequencing for species and strain level microbiome analysis. Nat. Commun. 2019, 10, 5029. [Google Scholar] [CrossRef] [PubMed]
- Zimmermann, M.; Zimmermann-Kogadeeva, M.; Wegmann, R.; Goodman, A.L. Mapping human microbiome drug metabolism by gut bacteria and their genes. Nature 2019, 570, 462–467. [Google Scholar] [CrossRef]
- El Houari, A.; Ecale, F.; Mercier, A.; Crapart, S.; Laparre, J.; Soulard, B.; Ramnath, M.; Berjeaud, J.M.; Rodier, M.H.; Crépin, A. Development of an in vitro Model of Human Gut Microbiota for Screening the Reciprocal Interactions With Antibiotics, Drugs, and Xenobiotics. Front. Microb 2022, 13, 828359. [Google Scholar] [CrossRef] [PubMed]
- Fallingborg, J. Intraluminal pH of the human gastrointestinal tract. Dan. Med. Bull. 1999, 46, 183–196. [Google Scholar]
- Koziolek, M.; Schneider, F.; Grimm, M.; Modeβ, C.; Seekamp, A.; Roustom, T.; Siegmund, W.; Weitschies, W. Intragastric pH and pressure profiles after intake of the high-caloric, high-fat meal as used for food effect studies. J. Control. Release 2015, 220, 71–78. [Google Scholar] [CrossRef]
- Minekus, M.; Alminger, M.; Alvito, P.; Balance, S.; Bohn, T.; Bourlieu, C.; Carrière, F.; Boutrou, R.; Corredig, M.; Dupont, D.; et al. A standardised static in vitro digestion method suitable for food- An international consensus. Food Funct. 2014, 5, 1113–1124. [Google Scholar] [CrossRef]
- Pérez-Burillo, S.; Molino, S.; Navajas-Porras, B.; Valverde-Moya, Á.J.; Hinojosa-Nogueira, D.; López-Maldonado, A.; Pastoriza, S.; Rufián-Henares, J.Á. An in vitro batch fermentation protocol for studying the contribution of food to gut microbiota composition and functionality. Nat. Protoc. 2021, 16, 3186–3209. [Google Scholar] [CrossRef]
- Barreira, J.C.M.; Nunes, M.A.; da Silva, B.V.; Pimentel, F.B.; Costa, A.S.G.; Alvarez-Ortí, M.; Pardo, J.E.; Oliveira, M.B.P.P. Almond cold-pressed oil by-product as ingredient for cookies with potential health benefits: Chemical and sensory evaluation. Food Sci. Hum. Wellness 2019, 8, 292–298. [Google Scholar] [CrossRef]
- Opperman, C.; Majzoobi, M.; Farahnaky, A.; Shah, R.; Van, T.T.H.; Ratanpaul, V.; Blanch, E.W.; Brennan, C.; Eri, R. Beyond soluble and insoluble: A comprehensive framework for classifying dietary fibre’s health effects. Food Res. Int. 2025, 206, 115843. [Google Scholar] [CrossRef]
- Fu, J.; Zheng, Y.; Gao, Y.; Xu, W. Dietary Fiber Intake and Gut Microbiota in Human Health. Microorganisms 2022, 10, 2507. [Google Scholar] [CrossRef]
- Koh, A.; De Vadder, F.; Kovatcheva-Datchary, P.; Backhed, F. From dietary fiber to host physiology: Short-chain fatty acids as key bacterial metabolites. Cell 2016, 165, 1332–1345. [Google Scholar] [CrossRef]
- Ercik, K.; Comlekcioglu, S.; Kafkas, N.E.; Ercisli, S.; Sagbas, H.I. Evaluation of Pomological Traits and Fatty Acid Profile of Almond (Prunus dulcis L. [Mill.] D.A. Webb) Genotypes Grown in Yozgat Province. Eur. Food Res. Technol. 2025. [Google Scholar]
- Ramashia, S.E.; Ntsanwisi, M.D.; Onipe, O.O.; Mashau, M.E.; Olamiti, G. Nutritional, Functional, and Microbial Quality of Wheat Biscuits Enriched with Malted Pearl Millet and Orange Peel Flours. Food Sci. Nutr. 2024, 12, 10477–10493. [Google Scholar] [CrossRef]
- Tahiri, M.; Gilbert, J.A. Examining the potential prebiotic effect of almonds. J. Appl. Microbiol. 2025, 136, lxaf078. [Google Scholar] [CrossRef] [PubMed]
- Barreca, D.; Nabavi, S.M.; Sureda, A.; Rasekhian, M.; Raciti, R.; Silva, A.S.; Annunziata, G.; Arnone, A.; Tenore, G.C.; Süntar, İ.; et al. Almonds (Prunus Dulcis Mill. D. A. Webb): A Source of Nutrients and Health-Promoting Compounds. Nutrients 2020, 12, 672. [Google Scholar] [CrossRef] [PubMed]
- Plamada, D.; Vodnar, D.C. Polyphenols—Gut microbiota interrelationship: A transition to a new generation of prebiotics. Nutrients 2022, 14, 137. [Google Scholar] [CrossRef]
- Hill, C.; Guarner, F.; Reid, G.; Gibson, G.R.; Merenstein, D.J.; Pot, B.; Morelli, L.; Canani, R.B.; Flint, H.J.; Salminen, S.; et al. The International Scientific Association for Probiotics and Prebiotics consensus statement on the scope and appropriate use of the term probiotic. Nat. Rev. Gastroenterol. Hepatol. 2014, 11, 506–514. [Google Scholar] [CrossRef] [PubMed]
- Palanivelu, J.; Thanigaivel, S.; Vickram, S.; Dey, N.; Mihaylova, D.; Desseva, I. Probiotics in Functional Foods: Survival Assessment and Approaches for Improved Viability. Appl. Sci. 2022, 12, 455. [Google Scholar] [CrossRef]
- Zhang, W.; Qi, S.; Xue, X.; Al Naggar, Y.; Wu, L.; Wang, K. Understanding the Gastrointestinal Protective Effects of Polyphenols using Foodomics-Based Approaches. Front. Immunol. 2021, 12, 671150. [Google Scholar] [CrossRef] [PubMed]
- Wang, Y.; Zhu, S.; Zhang, T.; Gao, M.; Zhan, X. New Horizons in Probiotics: Unraveling the Potential of Edible Microbial Polysaccharides through In Vitro Digestion Models. Foods 2024, 13, 713. [Google Scholar] [CrossRef] [PubMed]
- Li, Z.; Kanwal, R.; Yue, X.; Li, M.; Xie, A. Polyphenols and intestinal microorganisms: A review of their interactions and effects on human health. Food Biosci. 2024, 62, 2024. [Google Scholar] [CrossRef]
- Andrés, C.M.C.; Pérez de la Lastra, J.M.; Juan, C.A.; Plou, F.J.; Pérez-Lebeña, E. Polyphenols as Antioxidant/Pro-Oxidant Compounds and Donors of Reducing Species: Relationship with Human Antioxidant Metabolism. Processes 2023, 11, 2771. [Google Scholar] [CrossRef]
- Makarewicz, M.; Drożdż, I.; Tarko, T.; Duda-Chodak, A. The Interactions between Polyphenols and Microorganisms, Especially Gut Microbiota. Antioxidants 2021, 10, 188. [Google Scholar] [CrossRef]
- Averina, O.V.; Kovtun, A.S.; Mavletova, D.A.; Ziganshin, R.H.; Danilenko, V.N.; Mihaylova, D.; Blazheva, D.; Slavchev, A.; Brazkova, M.; Ibrahim, S.A.; et al. Oxidative Stress Response of Probiotic Strain Bifidobacterium longum subsp. longum GT15. Foods 2023, 12, 3356. [Google Scholar] [CrossRef]
- Escalante-Aburto, A.; Trujillo-de Santiago, G.; Álvarez, M.M.; Chuck-Hernández, C. Advances and prospective applications of 3D food printing for health improvement and personalized nutrition. Compr. Rev. Food Sci. Food Saf. 2021, 20, 5722–5741. [Google Scholar] [CrossRef]
- Bareen, M.A.; Derossi, A.; Corradini, M.G.; Caporizzi, R.; D’Inecco, P.; Sindaco, M.; Severini, C. Enhancing 3D Printing Performance and Product Quality Through the Valorization of Food By-Products and Waste. Compr Rev. Food Sci. Food Saf. 2025, 24, e70267. [Google Scholar] [CrossRef]
- Ranasinghe, M.; Alghaithi, M.; Mugdil, P.; Sundarakani, B.; Stathopoulos, C.; Maqsood, S. Fiber and polyphenol enriched biscuits using date palm byproduct: Physiochemical characteristics, sensory properties, in vitro digestion, and storage stability. J. Food Sci. 2025, 90, e17667. [Google Scholar] [CrossRef]
- Sławińska, N.; Olas, B. Effect of thermal processing on the antioxidant activity of oilseeds used in bakery products: A systematic review. Ind. Crops Prod. 2025, 233, 119316. [Google Scholar] [CrossRef]
- D’hoe, K.; Vet, S.; Faust, K.; Moens, F.; Falony, G.; Gonze, D.; Lloréns-Rico, V.; Gelens, L.; Danckaert, J.; De Vuyst, L.; et al. Integrated culturing, modeling and transcriptomics uncovers complex interactions and emergent behavior in a three-species synthetic gut community. eLife 2018, 7, e37090. [Google Scholar] [CrossRef]
- El Hage, R.; Hernandez-Sanabria, E.; Calatayud Arroyo, M.; Props, R.; Van de Wiele, T. Propionate-producing consortium restores antibiotic-induced dysbiosis in a dynamic in vitro model of the human intestinal microbial ecosystem. Front. Microbiol. 2019, 10, 1206. [Google Scholar] [CrossRef]
- Ansari, A.F.; Reddy, Y.B.S.; Raut, J.; Dixit, N.M. An efficient and scalable top-down method for predicting structures of microbial communities. Nat. Comput. Sci. 2021, 1, 619–628. [Google Scholar] [CrossRef]
- Rodríguez-Daza, M.C.; Pulido-Mateos, E.C.; Lupien-Meilleur, J.; Guyonnet, D.; Desjardins, Y.; Roy, D. Polyphenol-Mediated Gut Microbiota Modulation: Toward Prebiotics and Further. Front. Nutr. 2021, 8, 689456. [Google Scholar] [CrossRef]
- Heldner, A.; Heath, M.D.; Schnautz, B.; Kotz, S.; Chaker, A.; Kramer, M.F.; Jakwerth, C.A.; Zissler, U.M.; Schmidt-Weber, C.B.; Blank, S. Ex Vivo Immunomodulatory Effects of Lactobacillus-, Lacticaseibacillus-, and Bifidobacterium-Containing Synbiotics on Human Peripheral Blood Mononuclear Cells and Monocyte-Derived Dendritic Cells in the Context of Grass Pollen Allergy. Probiotics Antimicrob. Proteins 2023, 15, 868–879. [Google Scholar] [CrossRef]
- Darvishi, M.; Rafsanjani, S.M.R.H.; Nouri, M.; Abbaszadeh, S.; Heidari-Soureshjani, S.; Kasiri, K.; Rahimian, G. Biological Mechanisms of Polyphenols against Clostridium Difficile: A Systematic Review. Infect. Disord. Drug Targets. 2025, 25, e18715265313944. [Google Scholar] [CrossRef]
- De Rossi, L.; Rocchetti, G.; Lucini, L.; Rebecchi, A. Antimicrobial Potential of Polyphenols: Mechanisms of Action and Microbial Responses. A Narrative Review. Antioxidants 2025, 4, 200. [Google Scholar] [CrossRef]
- Fehlner-Peach, H.; Magnabosco, C.; Raghavan, V.; Scher, J.U.; Tett, A.; Cox, L.M.; Gottsegen, C.; Watters, A.; Wiltshire-Gordon, J.D.; Segata, N.; et al. Distinct Polysaccharide Utilization Profiles of Human Intestinal Prevotella copri Isolates. Cell Host Microbe 2019, 26, 680–690.e5. [Google Scholar] [CrossRef]
- Metwaly, A.; Haller, D. Strain-Level Diversity in the Gut: The P. copri Case. Cell Host Microbe 2019, 25, 349–350. [Google Scholar] [CrossRef]
- Park, G.; Johnson, K.; Miller, K.; Kadyan, S.; Singar, S.; Patoine, C.; Hao, F.; Lee, Y.; Patterson, A.D.; Arjmandi, B.; et al. Almond snacking modulates gut microbiome and metabolome in association with improved cardiometabolic and inflammatory markers. NPJ Sci. Food 2025, 9, 35. [Google Scholar] [CrossRef] [PubMed]
- Kolodziejczyk, A.A.; Zheng, D.; Elinav, E. Diet-microbiota interactions and personalized nutrition. Nat. Rev. Microbiol. 2019, 17, 742–753. [Google Scholar] [CrossRef] [PubMed]



| Phylum | Strains | Medium |
|---|---|---|
| Actinobacteria | Bifidobacterium longum DSM 20219 | MRS Agar + 0.5% L-cystein |
| Bacteroidetes | Bacteroides caccae DSM 19024 | Columbia blood medium Agar |
| Segatella copri DSM 18205 | Schaedler Anaerobe Agar | |
| Firmicutes | Clostridiodies difficile DSM 27543 | Anaerobe Basal Agar |
| Lactobacillus rhamnosus DSM 20021 | MRS Agar | |
| Proteobacteria | Escherichia coli DSM 1058 | Violet Red Bile Glucose Agar (VRBGA) |
| Simulated Fluid | Electrolyte | Enzymes | Duration |
|---|---|---|---|
| Simulated salivary fluid (SSF) | KCl, KH2PO4, NaHCO3, MgCl2(H2O)6, (NH4)2CO3, HCl, CaCl2(H2O)2 | Salivary amylase (75 U/mL) | 2 min |
| Simulated gastric fluid (SGF) | KCl, KH2PO4, NaHCO3, MgCl2(H2O)6, NaCl, (NH4)2CO3, HCl, CaCl2(H2O)2 | Pepsin (2000 U/mL) | 120 min |
| Simulated intestinal fluid (SIF) | KCl, KH2PO4, NaHCO3, MgCl2(H2O)6, NaCl, HCl, CaCl2(H2O)2 | Bile salt (10 mM), pancreatin (100 U/mL) | 120 min |
| Parameters | Dehydrated Almond Skin |
|---|---|
| Total Dietary Fiber (%) | 62.60 ± 12.10 |
| Total Fat (%) | 16.10 ± 0.60 |
| Protein (%) | 11.75 ± 1.40 |
| Manganese (mg/kg) | 53.19 ± 9.36 |
| Selenium (mg/kg) | 0.05 ± 0.02 |
| Zinc (mg/kg) | 83.70 ± 13.80 |
| Iron (mg/kg) | 62.00 ± 11 |
| Copper (mg/kg) | 8.19 ± 1.91 |
| TPC (mg GAE/g) | 38.32 ± 0.04 |
| DPPH (µmol TE/g) | 5.08 ± 0.02 |
| Fatty Acid Composition (%) | |
|---|---|
| Butyric acid (C4:0) | <0.05 |
| Caproic acid (C6:0) | <0.05 |
| Caprylic acid (C8:0) | <0.05 |
| Capric acid (C10:0) | <0.05 |
| Undecanoic acid (C11:0) | <0.05 |
| Lauric acid (C12:0) | <0.05 |
| Tridecanoic acid (C13:0) | <0.05 |
| Myristic acid (C14:0) | <0.05 ± 0.01 |
| Myristoleic acid (C14:1) | <0.05 |
| Pentadecanoic acid (C15:0) | 0.11 ± 0.02 |
| Palmitic acid (C16:0) | 10.05 ± 1.42 |
| Palmitoleic acid (16:1) | 0.69 ± 0.11 |
| Heptadecanoic acid (C17:0) | 0.14 ± 0.03 |
| Heptadecenoic acid (C17:1) | 0.07 ± 0.03 |
| Stearic acid (C18:0) | 2.55 ± 0.35 |
| Elaidic acid (C18:1) | <0.05 |
| Oleic acid (C18:1) | 47.14 ± 6.36 |
| Trans-9-trans-12 Octadecadienoic acid (Trans-linoleic acid) (C18:2) | <0.05 |
| Linoleic acid (omega-6) (C18:2) | 38.34 ± 5.18 |
| Gamma-linolenic acid (omega-6) (C18:3) | <0.05 |
| Alpha-linolenic acid (omega-3) (C18:3) | 0.64 ± 0.11 |
| Arachidic acid (C20:0) | 0.20 ± 0.04 |
| Eicosenoic acid (C20:1) | <0.05 |
| Eicosadienoic acid (omega-6) (C20:3) | <0.05 |
| Heneicosanoic acid (C21:0) | <0.05 |
| Cis-8-eicosatrienoic acid (omega-6) (C20:3) | <0.05 |
| Arachidonic acid (omega-6) (C20:4) | <0.05 |
| Cis-11-eicosatrienoic acid (omega-3) (C20:3) | <0.05 |
| Behenic acid (C22:0) | <0.05 |
| Eicosapentaenoic acid (omega-3) (C20:5) | <0.05 |
| Erucic acid (C22:1) | <0.05 |
| Docosadienoic acid (C22:2) | <0.05 |
| Tricosanoic acid (C23:0) | <0.05 |
| Lignoceric acid (C24:0) | <0.05 |
| Nervonic acid (C24:1) | <0.05 |
| Docosahexaenoic acid (omega-3) (C22:6) | <0.05 |
| Sum of saturated fatty acids | 13.10 ± 1.46 |
| Sum of monounsaturated fatty acids | 47.92 ± 6.36 |
| Sum of polyunsaturated fatty acids | 38.98 ± 5.18 |
| Sl-7 | Sl-6 | d.t | ||
|---|---|---|---|---|
| Strain | Sample | (Day) | (Day) | (Day) |
| Bifidobacterium longum DSM 20219 | CNT | 29.16 ± 4.30 a | 54.01 ± 3.69 a | 283.21 ± 21.37 a |
| 2.5% | 30.78 ± 8.84 a | 58.03 ± 3.96 a | 319.17 ± 19.69 a | |
| 5.0% | 38.86 ± 2.48 a | 67.68 ± 4.30 a | 305.23 ± 27.17 a | |
| 7.5% | 31.27 ± 4.71 a | 58.42 ± 8.40 a | 314.77 ± 34.68 a | |
| Lactobacillus acidophilus DSM 20079 | CNT | 10.15 ± 4.02 a | 30.38 ± 7.43 a | 380.74 ± 25.62 a |
| 2.5% | 30.60 ± 9.61 b | 68.51 ± 4.46 b | 438.25 ± 25.35 a | |
| 5.0% | 26.20 ± 4.75 b | 60.88 ± 6.63 b | 424.17 ± 27.94 a | |
| 7.5% | 27.97 ± 1.17 b | 61.20 ± 7.48 b | 371.32 ± 20.87 a | |
| Lactiplantibacillus plantarum DSM 1055 | CNT | 17.74 ± 5.19 a | 33.43 ± 4.49 a | 193.08 ± 15.82 a |
| 2.5% | 35.67 ± 2.22 b | 67.86 ± 2.30 b | 357.10 ± 38.51 b | |
| 5.0% | 27.80 ± 7.39 b | 52.40 ± 3.80 c | 232.40 ± 24.71 c | |
| 7.5% | 25.02 ± 6.49 b | 47.16 ± 3.42 c | 243.06 ± 14.39 c | |
| Lactobacillus delbruekii subsp. bulgaricus DSM 20081 | CNT | 32.80 ± 6.43 a | 57.50 ± 5.07 a | 235.21 ± 8.09 a |
| 2.5% | 92.89 ± 7.95 b | 167.47 ± 4.61 b | >500 | |
| 5.0% | 81.49 ± 2.46 b | 141.91 ± 1.36 c | >500 | |
| 7.5% | 48.80 ±1.86 c | 86.13 ± 4.08 d | 357.05 ± 20.53 b | |
| Streptococcus thermophilus DSM 20479 | CNT | 11.97 ± 3.55 a | 68.79 ± 3.87 a | >500 |
| 2.5% | 25.29 ± 2.82 b | 145.31± 9.62 b | >500 | |
| 5.0% | 16.08 ± 7.49 b | 92.39 ± 7.20 c | >500 | |
| 7.5% | 17.01 ± 4.08 b | 97.74 ± 8.45 c | >500 |
| Parameter | F0 | F1 | F0 Dough | F1 Dough |
|---|---|---|---|---|
| Energy (kcal/100 g) | 576.74 ± 1.30 | 564.31 ± 1.18 | - | |
| Proteins (g/100 g) | 17.65 ± 1.40 | 17.24 ± 1.35 | - | |
| Lipids (g/100 g) | 44.36 ± 0.70 | 42.80 ± 0.65 | - | |
| Carbohydrates (g/100 g) | 21.93 ± 0.80 | 21.74 ± 0.70 | - | |
| of which sugars (g/100 g) | 20.66 ± 0.22 | 20.51 ± 0.30 | - | |
| Dietary fiber (g/100 g) | 10.19 ± 0.50 | 12.18 ± 0.40 | - | |
| TPC (GAE/g) | 2.38 ± 0.03 | 2.67 ± 0.04 | 2.07 ± 0.01 | 2.15 ± 0.04 |
| DPPH (µmol TE/g) | 1.65 ± 0.01 | 1.92 ± 0.03 | 1.62 ± 0.02 | 2.07 ± 0.05 |
| Water activity (aw) | 0.359 ± 0.03 | 0.363 ± 0.02 | - | - |
| Moisture content (g/100 g) | 3.61 ± 0.14 | 4.48 ± 0.17 | - | - |
Disclaimer/Publisher’s Note: The statements, opinions and data contained in all publications are solely those of the individual author(s) and contributor(s) and not of MDPI and/or the editor(s). MDPI and/or the editor(s) disclaim responsibility for any injury to people or property resulting from any ideas, methods, instructions or products referred to in the content. |
© 2026 by the authors. Licensee MDPI, Basel, Switzerland. This article is an open access article distributed under the terms and conditions of the Creative Commons Attribution (CC BY) license.
Share and Cite
Racioppo, A.; Corbo, M.R.; Guerrieri, A.; Sinigaglia, M.; Bevilacqua, A.; Caporizzi, R.; Derossi, A.; Speranza, B. In Vitro Assessment of Gut Microbiota Modulation Through Functional Biscuits Enriched with Almond By-Products. Foods 2026, 15, 313. https://doi.org/10.3390/foods15020313
Racioppo A, Corbo MR, Guerrieri A, Sinigaglia M, Bevilacqua A, Caporizzi R, Derossi A, Speranza B. In Vitro Assessment of Gut Microbiota Modulation Through Functional Biscuits Enriched with Almond By-Products. Foods. 2026; 15(2):313. https://doi.org/10.3390/foods15020313
Chicago/Turabian StyleRacioppo, Angela, Maria Rosaria Corbo, Angela Guerrieri, Milena Sinigaglia, Antonio Bevilacqua, Rossella Caporizzi, Antonio Derossi, and Barbara Speranza. 2026. "In Vitro Assessment of Gut Microbiota Modulation Through Functional Biscuits Enriched with Almond By-Products" Foods 15, no. 2: 313. https://doi.org/10.3390/foods15020313
APA StyleRacioppo, A., Corbo, M. R., Guerrieri, A., Sinigaglia, M., Bevilacqua, A., Caporizzi, R., Derossi, A., & Speranza, B. (2026). In Vitro Assessment of Gut Microbiota Modulation Through Functional Biscuits Enriched with Almond By-Products. Foods, 15(2), 313. https://doi.org/10.3390/foods15020313

