Potential of Homopolysaccharide-Producing Starter Cultures in the Fermentation of Coconut Yoghurt Alternatives Enriched with Pea Protein Isolate
Abstract
1. Introduction
2. Materials and Methods
2.1. Raw Material and Chemicals
2.2. Starter Culture Reactivation
2.3. Starter Culture Characterization
2.4. Yoghurt Analogue Production
2.4.1. Preparation of Starter Cultures
2.4.2. Preparation of Yoghurt Analogues
2.4.3. pH Changes During Fermentation and Cold Storage
2.4.4. (An)aerobic Viable Cell Counts
2.5. Influence of In Situ EPS Production on the Degree of Syneresis and Texture Development
2.5.1. EPS Isolation and Quantification
2.5.2. Determining Degree of Syneresis
2.5.3. Texture Analysis
2.6. (Descriptive) Sensory Evaluation
2.7. Statistical Analysis
3. Results and Discussion
3.1. Initial Strain Characterization
3.2. Yoghurt Analogues
3.2.1. pH and Viable Cell Count During Storage Time
3.2.2. EPS Quantification
3.2.3. Syneresis
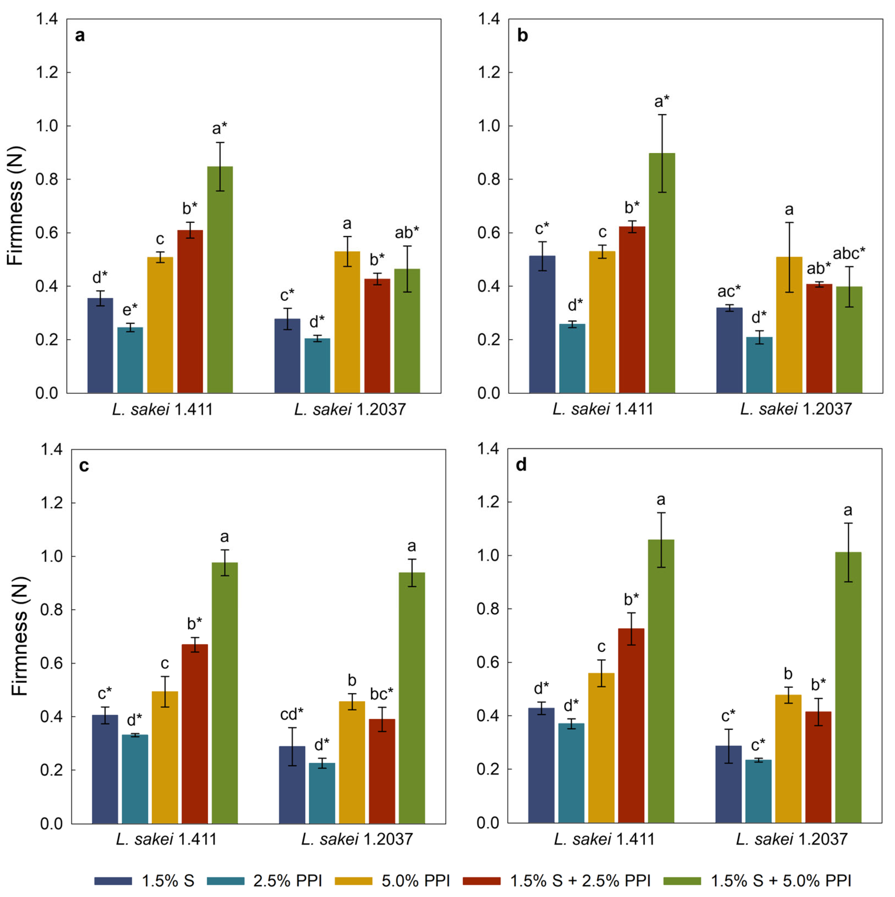
3.2.4. Texture Analysis

3.2.5. (Descriptive) Sensory Evaluation
4. Conclusions
Author Contributions
Funding
Institutional Review Board Statement
Informed Consent Statement
Data Availability Statement
Conflicts of Interest
Abbreviations
| EPS | Exopolysaccharides |
| HoPS | Homopolysaccharides |
| LAB | Lactic acid bacteria |
Appendix A

References
- Bryant, C.J. Plant-based animal product alternatives are healthier and more environmentally sustainable than animal products. Future Foods 2022, 6, 100174. [Google Scholar] [CrossRef]
- Pulidindi, K.; Ahuja, K. Dairy Alternatives Market Size; Growth Report, 2032; Global Market Insights Inc.: Selbyville, DE, USA, 2023; Available online: https://www.gminsights.com/industry-analysis/dairy-alternatives-market (accessed on 2 August 2025).
- Simon, W.J.; Hijbeek, R.; Frehner, A.; Cardinaals, R.; Talsma, E.F.; van Zanten, H.H.E. Circular food system approaches can support current European protein intake levels while reducing land use and greenhouse gas emissions. Nat. Food 2024, 5, 402–412. [Google Scholar] [CrossRef] [PubMed]
- Hasegawa, Y.; Bolling, B.W. Yogurt consumption for improving immune health. Curr. Opin. Food Sci. 2023, 51, 101017. [Google Scholar] [CrossRef]
- Adamczyk, D.; Jaworska, D.; Affeltowicz, D.; Maison, D. Plant-Based Dairy Alternatives: Consumers’ Perceptions, Motivations, and Barriers-Results from a Qualitative Study in Poland, Germany, and France. Nutrients 2022, 14, 2171. [Google Scholar] [CrossRef] [PubMed]
- Asioli, D.; Aschemann-Witzel, J.; Caputo, V.; Vecchio, R.; Annunziata, A.; Næs, T.; Varela, P. Making sense of the “clean label” trends: A review of consumer food choice behavior and discussion of industry implications. Food Res. Int. 2017, 99, 58–71. [Google Scholar] [CrossRef]
- Fan, X.; Li, X.; Du, L.; Li, J.; Xu, J.; Shi, Z.; Li, C.; Tu, M.; Zeng, X.; Wu, Z.; et al. The effect of natural plant-based homogenates as additives on the quality of yogurt: A review. Food Biosci. 2022, 49, 101953. [Google Scholar] [CrossRef]
- Zhao, Z.; Wang, X. Acid-Induced Gelation of Milk: Formation Mechanism, Gel Characterization, and Influence of Different Techniques. In Current Issues and Advances in the Dairy Industry; Ibrahim, S.A., Ed.; IntechOpen: London, UK, 2022. [Google Scholar]
- Corredig, M.; Nair, P.K.; Li, Y.; Eshpari, H.; Zhao, Z. Invited review: Understanding the behavior of caseins in milk concentrates. J. Dairy Sci. 2019, 102, 4772–4782. [Google Scholar] [CrossRef]
- Fan, X.; Zhang, A.; Zhang, T.; Tu, M.; Du, Q.; Ling, N.; Wu, J.; Zeng, X.; Wu, Z.; Pan, D. Effects of Semen Ziziphi Spinosae extract and binary probiotics co-fermentation on the quality of yogurt and their underlying molecular mechanisms. Food Chem. X 2024, 21, 101191. [Google Scholar] [CrossRef]
- Fan, X.; Shi, Z.; Xu, J.; Li, C.; Li, X.; Jiang, X.; Du, L.; Tu, M.; Zeng, X.; Wu, Z.; et al. Characterization of the effects of binary probiotics and wolfberry dietary fiber on the quality of yogurt. Food Chem. 2023, 406, 135020. [Google Scholar] [CrossRef]
- Klost, M.; Giménez-Ribes, G.; Drusch, S. Enzymatic hydrolysis of pea protein: Interactions and protein fractions involved in fermentation induced gels and their influence on rheological properties. Food Hydrocoll. 2020, 105, 105793. [Google Scholar] [CrossRef]
- Klost, M.; Drusch, S. Structure formation and rheological properties of pea protein-based gels. Food Hydrocoll. 2019, 94, 622–630. [Google Scholar] [CrossRef]
- Khalesi, M.; Glenn-Davi, K.; Mohammadi, N.; FitzGerald, R.J. Key Factors Influencing Gelation in Plant vs. Animal Proteins: A Comparative Mini-Review. Gels 2024, 10, 575. [Google Scholar] [CrossRef]
- Tang, Q.; Roos, Y.H.; Miao, S. Structure, gelation mechanism of plant proteins versus dairy proteins and evolving modification strategies. Trends Food Sci. Technol. 2024, 147, 104464. [Google Scholar] [CrossRef]
- Usman, M.; Xu, M. Plant-Based Proteins: Plant Source, Extraction, Food Applications, and Challenges. In Flavor-Associated Applications in Health and Wellness Food Products; Du, X., Yang, J., Eds.; Springer International Publishing: Cham, Switzerland, 2024; pp. 253–294. [Google Scholar]
- Day, L.; Cakebread, J.A.; Loveday, S.M. Food proteins from animals and plants: Differences in the nutritional and functional properties. Trends Food Sci. Technol. 2022, 119, 428–442. [Google Scholar] [CrossRef]
- Tan, M.; Nawaz, M.A.; Buckow, R. Functional and food application of plant proteins—A review. Food Rev. Int. 2023, 39, 2428–2456. [Google Scholar] [CrossRef]
- McClements, D.J.; Grossmann, L. Dairy Alternatives—Cheese, Yogurt, Butter, and Ice Cream. In Next-Generation Plant-Based Foods: Design, Production, and Properties; McClements, D.J., Grossmann, L., Eds.; Springer International Publishing: Cham, Switzerland, 2022; pp. 443–521. [Google Scholar]
- Korcz, E.; Varga, L. Exopolysaccharides from lactic acid bacteria: Techno-functional application in the food industry. Trends Food Sci. Technol. 2021, 110, 375–384. [Google Scholar] [CrossRef]
- Yilmaz, M.T.; Dertli, E.; Toker, O.S.; Tatlisu, N.B.; Sagdic, O.; Arici, M. Effect of in situ exopolysaccharide production on physicochemical, rheological, sensory, and microstructural properties of the yogurt drink ayran: An optimization study based on fermentation kinetics. J. Dairy Sci. 2015, 98, 1604–1624. [Google Scholar] [CrossRef]
- Mende, S.; Rohm, H.; Jaros, D. Influence of exopolysaccharides on the structure, texture, stability and sensory properties of yoghurt and related products. Int. Dairy J. 2016, 52, 57–71. [Google Scholar] [CrossRef]
- Jurášková, D.; Ribeiro, S.C.; Silva, C.C.G. Exopolysaccharides Produced by Lactic Acid Bacteria: From Biosynthesis to Health-Promoting Properties. Foods 2022, 11, 156. [Google Scholar] [CrossRef]
- Şanlıbaba, P.; Çakmak, G. Exopolysaccharides Production by Lactic Acid Bacteria. Appl. Microbiol. Open Access 2016, 2, 1000115. [Google Scholar] [CrossRef]
- Loeffler, M.; Hilbig, J.; Velasco, L.; Weiss, J. Usage of in situ exopolysaccharide-forming lactic acid bacteria in food production: Meat products-A new field of application? Compr. Rev. Food Sci. Food Saf. 2020, 19, 2932–2954. [Google Scholar] [CrossRef]
- Harper, A.R.; Dobson, R.C.J.; Morris, V.K.; Moggré, G.J. Fermentation of plant-based dairy alternatives by lactic acid bacteria. Microb. Biotechnol. 2022, 15, 1404–1421. [Google Scholar] [CrossRef] [PubMed]
- Kandasamy, S.; Kavitake, D.; Shetty, P.H. Lactic Acid Bacteria and Yeasts as Starter Cultures for Fermented Foods and Their Role in Commercialization of Fermented Foods. In Innovations in Technologies for Fermented Food and Beverage Industries; Panda, S.K., Shetty, P.H., Eds.; Springer International Publishing: Cham, Switzerland, 2018; pp. 25–52. [Google Scholar]
- Qadir, R.; Wan Mohamad Nasir, W.N.A.; Azmi, A.B.; Fatima, S.; Mehmood, N.; Meor Hussin, A.S. An insight into plant-based yogurts: Physicochemical, organoleptic properties and functional food aspects. J. Food Compos. Anal. 2025, 143, 107578. [Google Scholar] [CrossRef]
- Prechtl, R.M.; Wefers, D.; Jakob, F.; Vogel, R.F. Cold and salt stress modulate amount, molecular and macromolecular structure of a Lactobacillus sakei dextran. Food Hydrocoll. 2018, 82, 73–81. [Google Scholar] [CrossRef]
- Hilbig, J.; Gisder, J.; Prechtl, R.M.; Herrmann, K.; Weiss, J.; Loeffler, M. Influence of exopolysaccharide-producing lactic acid bacteria on the spreadability of fat-reduced raw fermented sausages (Teewurst). Food Hydrocoll. 2019, 93, 422–431. [Google Scholar] [CrossRef]
- Hilbig, J.; Hildebrandt, L.; Herrmann, K.; Weiss, J.; Loeffler, M. Influence of homopolysaccharide-producing lactic acid bacteria on the spreadability of raw fermented sausages (onion mettwurst). J. Food Sci. 2020, 85, 289–297. [Google Scholar] [CrossRef]
- Samtiya, M.; Aluko, R.E.; Dhewa, T. Plant food anti-nutritional factors and their reduction strategies: An overview. Food Prod. Process. Nutr. 2020, 2, 6. [Google Scholar] [CrossRef]
- Ali, A.; Devarajan, S.; Manickavasagan, A.; Ata, A. Antinutritional Factors and Biological Constraints in the Utilization of Plant Protein Foods. In Plant Protein Foods; Manickavasagan, A., Lim, L.-T., Ali, A., Eds.; Springer International Publishing: Cham, Switzerland, 2022; pp. 407–438. [Google Scholar]
- Yang, X.; Hong, J.; Wang, L.; Cai, C.; Mo, H.; Wang, J.; Fang, X.; Liao, Z. Effect of Lactic Acid Bacteria Fermentation on Plant-Based Products. Fermentation 2024, 10, 48. [Google Scholar] [CrossRef]
- Muninathan, C.; Guruchandran, S.; Viswanath Kalyan, A.J.; Ganesan, N.D. Microbial exopolysaccharides: Role in functional food engineering and gut-health management. Int. J. Food Sci. Technol. 2021, 57, 27–34. [Google Scholar] [CrossRef]
- Kaleda, A.; Sharma, N.; Jakobson, K.; Stulova, I.; Rosenvald, S. Fermentation by lactic acid bacteria during pea protein isolation reduces undesirable flavors and changes techno-functional properties. Food Chem. 2025, 492, 145380. [Google Scholar] [CrossRef]
- Jeske, S.; Zannini, E.; Arendt, E.K. Past, present and future: The strength of plant-based dairy substitutes based on gluten-free raw materials. Food Res. Int. 2018, 110, 42–51. [Google Scholar] [CrossRef] [PubMed]
- Boeck, T.; Sahin, A.W.; Zannini, E.; Arendt, E.K. Nutritional properties and health aspects of pulses and their use in plant-based yogurt alternatives. Compr. Rev. Food Sci. Food Saf. 2021, 20, 3858–3880. [Google Scholar] [CrossRef] [PubMed]
- Shanthakumar, P.; Klepacka, J.; Bains, A.; Chawla, P.; Dhull, S.B.; Najda, A. The Current Situation of Pea Protein and Its Application in the Food Industry. Molecules 2022, 27, 5354. [Google Scholar] [CrossRef] [PubMed]
- Montemurro, M.; Pontonio, E.; Coda, R.; Rizzello, C.G. Plant-Based Alternatives to Yogurt: State-of-the-Art and Perspectives of New Biotechnological Challenges. Foods 2021, 10, 316. [Google Scholar] [CrossRef]
- EFSA Panel on Biological Hazards. Risks for public health related to the presence of Bacillus cereus and other Bacillus spp. including Bacillus thuringiensis in foodstuffs. EFSA J. 2016, 14, e04524. [Google Scholar] [CrossRef]
- Kyrylenko, A.; Eijlander, R.T.; Alliney, G.; de Bos, E.L.-v.; Wells-Bennik, M.H.J. Levels and types of microbial contaminants in different plant-based ingredients used in dairy alternatives. Int. J. Food Microbiol. 2023, 407, 110392. [Google Scholar] [CrossRef]
- Wong, H.C.; Chen, Y.L. Effects of Lactic Acid Bacteria and Organic Acids on Growth and Germination of Bacillus cereus. Appl. Environ. Microbiol. 1988, 54, 2179–2184. [Google Scholar] [CrossRef]
- Pujato, S.A.; Mercanti, D.J.; Briggiler Marcó, M.; Capra, M.L.; Quiberoni, A.; Guglielmotti, D.M. Bacteriocins from lactic acid bacteria: Strategies for the bioprotection of dairy foods. Front. Food Sci. Technol. 2024, 4, 1439891. [Google Scholar] [CrossRef]
- Pachekrepapol, U.; Kokhuenkhan, Y.; Ongsawat, J. Formulation of yogurt-like product from coconut milk and evaluation of physicochemical, rheological, and sensory properties. Int. J. Gastron. Food Sci. 2021, 25, 100393. [Google Scholar] [CrossRef]
- Wilkins, M.R. Chapter 14—Factors influencing microbial growth and its kinetics. In Current Developments in Biotechnology and Bioengineering; Sirohi, R., Pandey, A., Taherzadeh, M.J., Larroche, C., Eds.; Elsevier: Amsterdam, The Netherlands, 2022; pp. 373–395. [Google Scholar]
- Hilbig, J.; Loeffler, M.; Herrmann, K.; Weiss, J. The influence of exopolysaccharide-producing lactic acid bacteria on reconstructed ham. Int. J. Food Sci. Technol. 2019, 54, 2763–2769. [Google Scholar] [CrossRef]
- Hu, Y.; Gänzle, M.G. Effect of temperature on production of oligosaccharides and dextran by Weissella cibaria 10 M. Int. J. Food Microbiol. 2018, 280, 27–34. [Google Scholar] [CrossRef]
- Nabot, M.; Guérin, M.; Sivakumar, D.; Remize, F.; Garcia, C. Variability of Bacterial Homopolysaccharide Production and Properties during Food Processing. Biology 2022, 11, 171. [Google Scholar] [CrossRef] [PubMed]
- Velasco, L.; Weiss, J.; Loeffler, M. Influence of microbial in-situ heteropolysaccharide production on textural properties of raw fermented sausages (salami). J. Food Sci. Technol. 2021, 58, 562–570. [Google Scholar] [CrossRef] [PubMed]
- Craig, W.J.; Brothers, C.J. Nutritional Content and Health Profile of Non-Dairy Plant-Based Yogurt Alternatives. Nutrients 2021, 13, 4069. [Google Scholar] [CrossRef] [PubMed]
- Zhang, X.; Wang, Q.; Liu, Z.; Zhi, L.; Jiao, B.; Hu, H.; Ma, X.; Agyei, D.; Shi, A. Plant protein-based emulsifiers: Mechanisms, techniques for emulsification enhancement and applications. Food Hydrocoll. 2023, 144, 109008. [Google Scholar] [CrossRef]
- Aryanti, N.; Adina, A.R.; Nafiunisa, A.; Wardhani, D.H. Pea protein-based pickering emulsions: Mechanistic insights into its modification and innovations for food applications. J. Agric. Food Res. 2025, 19, 101712. [Google Scholar] [CrossRef]
- Zhang, S.; Holmes, M.; Ettelaie, R.; Sarkar, A. Pea protein microgel particles as Pickering stabilisers of oil-in-water emulsions: Responsiveness to pH and ionic strength. Food Hydrocoll. 2020, 102, 105583. [Google Scholar] [CrossRef]
- Hoxha, R.; Evstatieva, Y.; Nikolova, D. Physicochemical, Rheological, and Sensory Characteristics of Yogurt Fermented by Lactic Acid Bacteria with Probiotic Potential and Bioprotective Properties. Foods 2023, 12, 2552. [Google Scholar] [CrossRef]
- Ramos, I.M.; Seseña, S.; Poveda, J.M.; Palop, M.L. Screening of Lactic Acid Bacteria Strains to Improve the Properties of Non-fat Set Yogurt by in situ EPS Production. Food Bioprocess Technol. 2023, 16, 2541–2558. [Google Scholar] [CrossRef]
- Ruikar, S.; Hajare, P.; Patil, S.; Pathade, G.R. Production of Dextran by Leuconostoc mesenteroides Isolated from Home Made Fermented Foods. Ecol. Environ. Conserv. 2024, 30, 27–32. [Google Scholar] [CrossRef]
- Kuntiya, A.; Hanmoungjai, P.; Techapun, C.; Sasaki, K.; Seesuriyachan, P. Influence of pH, sucrose concentration and agitation speed on exopolysaccharide production by Lactobacillus confusus TISTR 1498 using coconut water as a raw material substitute. Maejo Int. J. Sci. Technol. 2010, 4, 318–330. [Google Scholar]
- Satriadi, H.; Hargono, H.; Pranata, A.G.; Salsabila, F. The Influence of Sucrose Addition and Bacterial Strains on the Production of Banana Peel-Based Exopolysaccharides. Int. J. Innov. Sci. Res. Technol. 2023, 8, 2383–2388. [Google Scholar] [CrossRef]
- Prechtl, R.M.; Janßen, D.; Behr, J.; Ludwig, C.; Küster, B.; Vogel, R.F.; Jakob, F. Sucrose-Induced Proteomic Response and Carbohydrate Utilization of Lactobacillus sakei TMW 1.411 During Dextran Formation. Front. Microbiol. 2018, 9, 2796. [Google Scholar] [CrossRef] [PubMed]
- Jian, C.; Yang, X.; Tuccillo, F.; Hashim, M.; Cera, S.; Yan, J.-K.; Coda, R.; Maina, N.H.; Katina, K.; Wang, Y. Impact of fermentation conditions and dextran structure on the rheological and textural properties of a novel high-protein, high-fiber and low-fat plant-based cheese. Food Hydrocoll. 2025, 164, 111209. [Google Scholar] [CrossRef]
- Lucey, J.A.; Munro, P.A.; Singh, H. Whey separation in acid skim milk gels made with glucono-δ-lactone: Effects of heat treatment and gelation temperature. J. Texture Stud. 1998, 29, 413–426. [Google Scholar] [CrossRef]
- Dönmez, Ö.; Mogol, B.A.; Gökmen, V. Syneresis and rheological behaviors of set yogurt containing green tea and green coffee powders. J. Dairy Sci. 2017, 100, 901–907. [Google Scholar] [CrossRef]
- Zeng, J.; Wang, Q.; Yi, H.; Chen, C.; Du, C.; Xiong, G.; Wang, B.; Zhao, J.; Zhang, L.; Gong, P. Recent insights in cow’s milk protein allergy: Clinical relevance, allergen features, and influences of food processing. Trends Food Sci. Technol. 2025, 156, 104830. [Google Scholar] [CrossRef]
- Wong, S.-S.; Wicklund, R.; Bridges, J.; Whaley, J.; Koh, Y.B. Starch swelling behavior and texture development in stirred yogurt. Food Hydrocoll. 2020, 98, 105274. [Google Scholar] [CrossRef]
- Lobato-Calleros, C.; Ramírez-Santiago, C.; Vernon-Carter, E.J.; Alvarez-Ramirez, J. Impact of native and chemically modified starches addition as fat replacers in the viscoelasticity of reduced-fat stirred yogurt. J. Food Eng. 2014, 131, 110–115. [Google Scholar] [CrossRef]
- Komaru, S.; Matsuo, S.; Iwamatsu, T.; Taneda, A.; Negishi, H. Monitoring the Yogurt Fermentation Process and Analysis of Flavor Compounds using a Novel Ion Mobility Spectrometer. Nippon Shokuhin Kagaku Kogaku Kaishi 2021, 68, 421–429. [Google Scholar] [CrossRef]
- Ratnayake, W.S.; Jackson, D.S. Chapter 5 Starch Gelatinization. In Advances in Food and Nutrition Research; Academic Press: Cambridge, MA, USA, 2008; Volume 55, pp. 221–268. [Google Scholar]
- Bahrami, M.; Ahmadi, D.; Alizadeh, M.; Hosseini, F. Physicochemical and Sensorial Properties of Probiotic Yogurt as Affected by Additions of Different Types of Hydrocolloid. Korean J. Food Sci. Anim. Resour. 2013, 33, 363–368. [Google Scholar] [CrossRef]
- Tiwari, S.; Kavitake, D.; Devi, P.B.; Halady Shetty, P. Bacterial exopolysaccharides for improvement of technological, functional and rheological properties of yoghurt. Int. J. Biol. Macromol. 2021, 183, 1585–1595. [Google Scholar] [CrossRef] [PubMed]
- Zang, J.; Lin, T.; Shi, Y.; Lin, Y.; Xu, C.; Ma, K.; Zhang, C.; Rui, X.; Gan, D.; Li, W. Recent Advances in Exopolysaccharide-Protein Interactions in Fermented Dairy- and Plant-Based Yogurts: Mechanisms, Influencing Factors, Health Benefits, Analytical Techniques, and Future Directions. Compr. Rev. Food Sci. Food Saf. 2025, 24, e70219. [Google Scholar] [CrossRef]
- Gentès, M.-C.; Turgeon, S.L.; St-Gelais, D. Impact of starch and exopolysaccharide-producing lactic acid bacteria on the properties of set and stirred yoghurts. Int. Dairy J. 2016, 55, 79–86. [Google Scholar] [CrossRef]
- Abarquero, D.; Renes, E.; Fresno, J.M.; Tornadijo, M.E. Study of exopolysaccharides from lactic acid bacteria and their industrial applications: A review. Int. J. Food Sci. Technol. 2021, 57, 16–26. [Google Scholar] [CrossRef]
- Lu, Y.; Jia, C.; Niu, M.; Xu, Y.; Zhao, S. The in-situ dextran produced in rice protein yogurt: Effect on viscosity and structural characteristics. Carbohydr. Polym. 2023, 311, 120767. [Google Scholar] [CrossRef]
- Tang, H.; Li, X.; Chen, J.; Liu, B.; Tang, R.; Chen, Y.; Li, H.; Zou, L.; Shi, Q. Effects of Dextran on the Gel Properties of Faba Bean Protein Isolates Prepared Using Different Processes. Gels 2023, 9, 972. [Google Scholar] [CrossRef]
- Díaz-Montes, E. Dextran: Sources, Structures, and Properties. Polysaccharides 2021, 2, 554–565. [Google Scholar] [CrossRef]
- Li, C. Unraveling the Complexities of Starch Retrogradation: Insights from Kinetics, Molecular Interactions, and Influences of Food Ingredients. Food Rev. Int. 2024, 40, 3159–3182. [Google Scholar] [CrossRef]
- Brüls, M.; Foroutanparsa, S.; Maljaars, C.E.P.; Olsthoorn, M.; Tas, R.P.; Voets, I.K. Investigating the impact of exopolysaccharides on yogurt network mechanics and syneresis through quantitative microstructural analysis. Food Hydrocoll. 2024, 150, 109629. [Google Scholar] [CrossRef]
- Scott, G.; Awika, J.M. Effect of protein-starch interactions on starch retrogradation and implications for food product quality. Compr. Rev. Food Sci. Food Saf. 2023, 22, 2081–2111. [Google Scholar] [CrossRef]
- Karshenas, M.; Goli, M.; Zamindar, N. Substitution of sesame and peanut defatted-meal milk with egg yolk and evaluation of the rheological and microstructural properties of low-cholesterol mayonnaise. Food Sci. Technol. Int. 2019, 25, 633–641. [Google Scholar] [CrossRef]
- Jolly, L.; Vincent, S.J.F.; Duboc, P.; Neeser, J.-R. Exploiting exopolysaccharides from lactic acid bacteria. Antonie Van Leeuwenhoek 2002, 82, 367–374. [Google Scholar] [CrossRef]
- Rodriguez, Y.; Beyrer, M. Impact of native pea proteins on the gelation properties of pea protein isolates. Food Struct. 2023, 37, 100340. [Google Scholar] [CrossRef]
- van de Velde, F.; de Hoog, E.H.; Oosterveld, A.; Tromp, R.H. Protein-polysaccharide interactions to alter texture. Annu. Rev. Food Sci. Technol. 2015, 6, 371–388. [Google Scholar] [CrossRef]
- Folkenberg, D.M.; Dejmek, P.; Skriver, A.; Ipsen, R. Relation between sensory texture properties and exopolysaccharide distribution in set and in stirred yoghurts produced with different starter cultures. J. Texture Stud. 2005, 36, 174–189. [Google Scholar] [CrossRef]



| 0 h | 18 h | 24 h | ||
|---|---|---|---|---|
| L. sakei 1.411 | pH (-) | 5.85 ± 0.08 | 5.29 ± 0.04 | 4.46 ± 0.08 |
| L. sakei 1.2037 | pH (-) | 5.84 ± 0.06 | 5.14 ± 0.05 | 4.33 ± 0.03 |
| Temperature (°C) | Growth | EPS Formation | |
|---|---|---|---|
| L. sakei 1.411 | 12.3 | − | − |
| 20.0 | + | + | |
| 25.0 | ++ | ++ | |
| 30.0 | +++ | +++ | |
| L. sakei 1.2037 | 12.3 | − | − |
| 20.0 | + | − | |
| 25.0 | ++ | − | |
| 30.0 | +++ | − |
| pH (-) | ||||||
|---|---|---|---|---|---|---|
| Added Sugar | Recipe | Start of Incubation | 18 h of Incubation | Day 1 | Day 5 | |
| L. sakei 1.411 | 2.5% w/w | No added S/PPI | 6.03 ± 0.02 | 4.57 ± 0.02 | 4.46 ± 0.03 * | 4.36 ± 0.01 * |
| 1.5% w/w S | 6.10 ± 0.02 | 4.51 ± 0.01 | 4.56 ± 0.02 * | 4.44 ± 0.01 * | ||
| 2.5% w/w PPI | 6.35 ± 0.02 | 4.16 ± 0.03 | 4.50 ± 0.15 | 4.46 ± 0.11 | ||
| 5.0% w/w PPI | 6.45 ± 0.03 | 4.40 ± 0.03 | 4.63 ± 0.14 | 4.58 ± 0.04 | ||
| 1.5% w/w S + 2.5% w/w PPI | 6.48 ± 0.03 | 4.29 ± 0.02 | 4.63 ± 0.09 | 4.57 ± 0.07 | ||
| 1.5% w/w S + 5.0% w/w PPI | 6.40 ± 0.03 | 4.37 ± 0.01 | 4.60 ± 0.10 | 4.56 ± 0.10 | ||
| 5.0% w/w | No added S/PPI | 6.13 ± 0.03 | 4.36 ± 0.03 | 4.24 ± 0.12 | 4.15 ± 0.11 | |
| 1.5% w/w S | 6.14 ± 0.06 | 4.52 ± 0.12 | 4.29 ± 0.10 * | 4.18 ± 0.06 * | ||
| 2.5% w/w PPI | 6.31 ± 0.01 | 4.03 ± 0.03 | 3.87 ± 0.08 | 4.03 ± 0.13 | ||
| 5.0% w/w PPI | 6.46 ± 0.02 | 4.25 ± 0.03 | 4.12 ± 0.07 | 4.13 ± 0.10 | ||
| 1.5% w/w S + 2.5% w/w PPI | 6.33 ± 0.08 | 4.20 ± 0.03 | 4.19 ± 0.09 * | 4.03 ± 0.06 * | ||
| 1.5% w/w S + 5.0% w/w PPI | 6.44 ± 0.07 | 4.24 ± 0.06 | 4.11 ± 0.11 | 4.07 ± 0.05 | ||
| L. sakei 1.2037 | 2.5% w/w | No added S / PPI | 6.04 ± 0.03 | 4.61 ± 0.01 | 4.45 ± 0.03 * | 4.32 ± 0.03 * |
| 1.5% w/w S | 6.10 ± 0.03 | 4.50 ± 0.02 | 4.44 ± 0.03 * | 4.30 ± 0.03 * | ||
| 2.5% w/w PPI | 6.28 ± 0.03 | 4.24 ± 0.03 | 4.46 ± 0.01 * | 4.40 ± 0.03 * | ||
| 5.0% w/w PPI | 6.44 ± 0.02 | 4.39 ± 0.04 | 4.42 ± 0.07 | 4.35 ± 0.06 | ||
| 1.5% w/w S + 2.5% w/w PPI | 6.38 ± 0.06 | 4.24 ± 0.02 | 4.46 ± 0.03 * | 4.40 ± 0.02 * | ||
| 1.5% w/w S + 5.0% w/w PPI | 6.39 ± 0.04 | 4.34 ± 0.02 | 4.43 ± 0.04 | 4.39 ± 0.03 | ||
| 5.0% w/w | No added S/PPI | 6.13 ± 0.03 | 4.47 ± 0.10 | 4.38 ± 0.06 | 4.19 ± 0.16 | |
| 1.5% w/w S | 6.16 ± 0.04 | 4.51 ± 0.04 | 4.39 ± 0.06 | 4.35 ± 0.06 | ||
| 2.5% w/w PPI | 6.27 ± 0.04 | 4.28 ± 0.09 | 4.18 ± 0.05 * | 4.20 ± 0.07 * | ||
| 5.0% w/w PPI | 6.49 ± 0.04 | 4.28 ± 0.05 | 4.15 ± 0.07 | 4.23 ± 0.12 | ||
| 1.5% w/w S + 2.5% w/w PPI | 6.32 ± 0.04 | 4.23 ± 0.08 | 4.18 ± 0.09 | 4.17 ± 0.12 | ||
| 1.5% w/w S + 5.0% w/w PPI | 6.45 ± 0.02 | 4.25 ± 0.04 | 4.16 ± 0.04 | 4.15 ± 0.08 | ||
| Added Sugar Concentration | Recipe | EPS Concentration (g/100 g Yoghurt Analogue) |
|---|---|---|
| 2.5% w/w | 2.5% w/w PPI | 0.427 ± 0.134 Aa |
| 5.0% w/w PPI | 0.426 ± 0.228 Aa | |
| 5.0% w/w | No added S/PPI | 0.690 ± 0.054 A |
| 2.5% w/w PPI | 0.799 ± 0.156 Ab | |
| 5.0% w/w PPI | 0.869 ± 0.002 Ab |
Disclaimer/Publisher’s Note: The statements, opinions and data contained in all publications are solely those of the individual author(s) and contributor(s) and not of MDPI and/or the editor(s). MDPI and/or the editor(s) disclaim responsibility for any injury to people or property resulting from any ideas, methods, instructions or products referred to in the content. |
© 2025 by the authors. Licensee MDPI, Basel, Switzerland. This article is an open access article distributed under the terms and conditions of the Creative Commons Attribution (CC BY) license.
Share and Cite
Libberecht, S.; Ristevska, M.; Gibis, M.; Loeffler, M. Potential of Homopolysaccharide-Producing Starter Cultures in the Fermentation of Coconut Yoghurt Alternatives Enriched with Pea Protein Isolate. Foods 2026, 15, 48. https://doi.org/10.3390/foods15010048
Libberecht S, Ristevska M, Gibis M, Loeffler M. Potential of Homopolysaccharide-Producing Starter Cultures in the Fermentation of Coconut Yoghurt Alternatives Enriched with Pea Protein Isolate. Foods. 2026; 15(1):48. https://doi.org/10.3390/foods15010048
Chicago/Turabian StyleLibberecht, Sophie, Mia Ristevska, Monika Gibis, and Myriam Loeffler. 2026. "Potential of Homopolysaccharide-Producing Starter Cultures in the Fermentation of Coconut Yoghurt Alternatives Enriched with Pea Protein Isolate" Foods 15, no. 1: 48. https://doi.org/10.3390/foods15010048
APA StyleLibberecht, S., Ristevska, M., Gibis, M., & Loeffler, M. (2026). Potential of Homopolysaccharide-Producing Starter Cultures in the Fermentation of Coconut Yoghurt Alternatives Enriched with Pea Protein Isolate. Foods, 15(1), 48. https://doi.org/10.3390/foods15010048

