Preservative Potential of Anethum graveolens Essential Oil on Fish Fillet Quality and Shelf Life During Refrigerated Storage
Abstract
1. Introduction
2. Material and Methods
2.1. Ethical Approval
2.2. Dill Essential Oil Preparation
2.3. Determination of the Chemical Compounds of Dill Essential Oil
Gas Chromatography–Mass Spectrometry (GC-MS) Analysis
2.4. Dill Oil Antioxidant Activity
2.5. In Vitro Antibacterial Activity
2.6. Fish Sample Collection and Preparation
2.7. Physicochemical Analysis of Fish Fillets
2.7.1. pH Measurement
2.7.2. WHC Estimation
2.7.3. Purge Loss (PL) and Cooking Loss (CL) Estimation
2.7.4. Warner–Bratzler Shear Force (WBSF)
2.7.5. Instrumental Color Analysis
2.8. Fish Fillet Microbial Analysis
2.8.1. Determination of Aerobic Plate Count
2.8.2. Lactic Acid Bacteria Count (LAB)
2.8.3. Determination of Coliform Count
2.8.4. Determination of Staphylococcus Count
2.9. Sensory Evaluation
2.10. Statistical Analysis
3. Results
3.1. Dill Essential Oil Chemical Composition
3.2. Dill Oil Antioxidant Activity
3.3. In Vitro Antimicrobial Assay
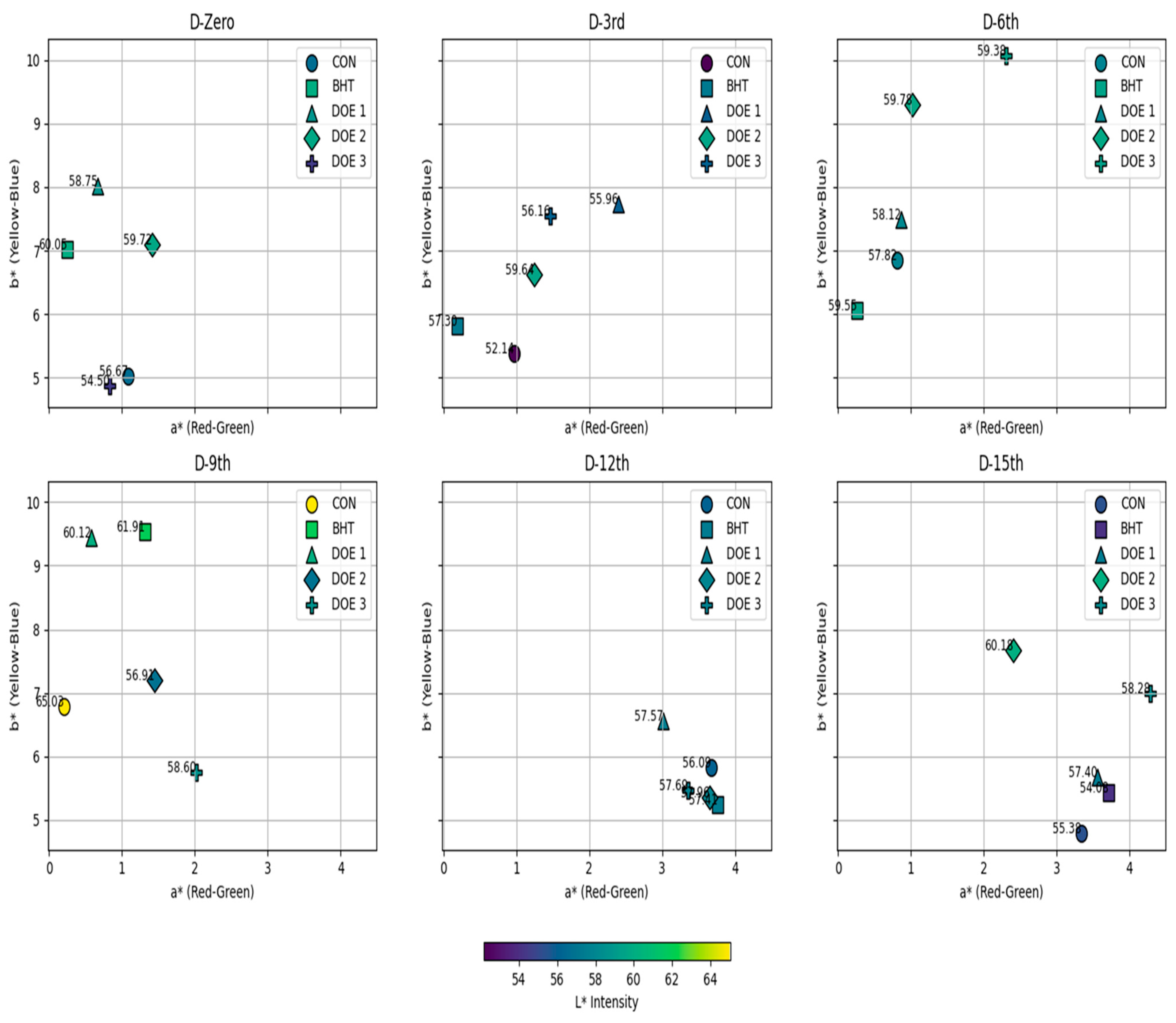
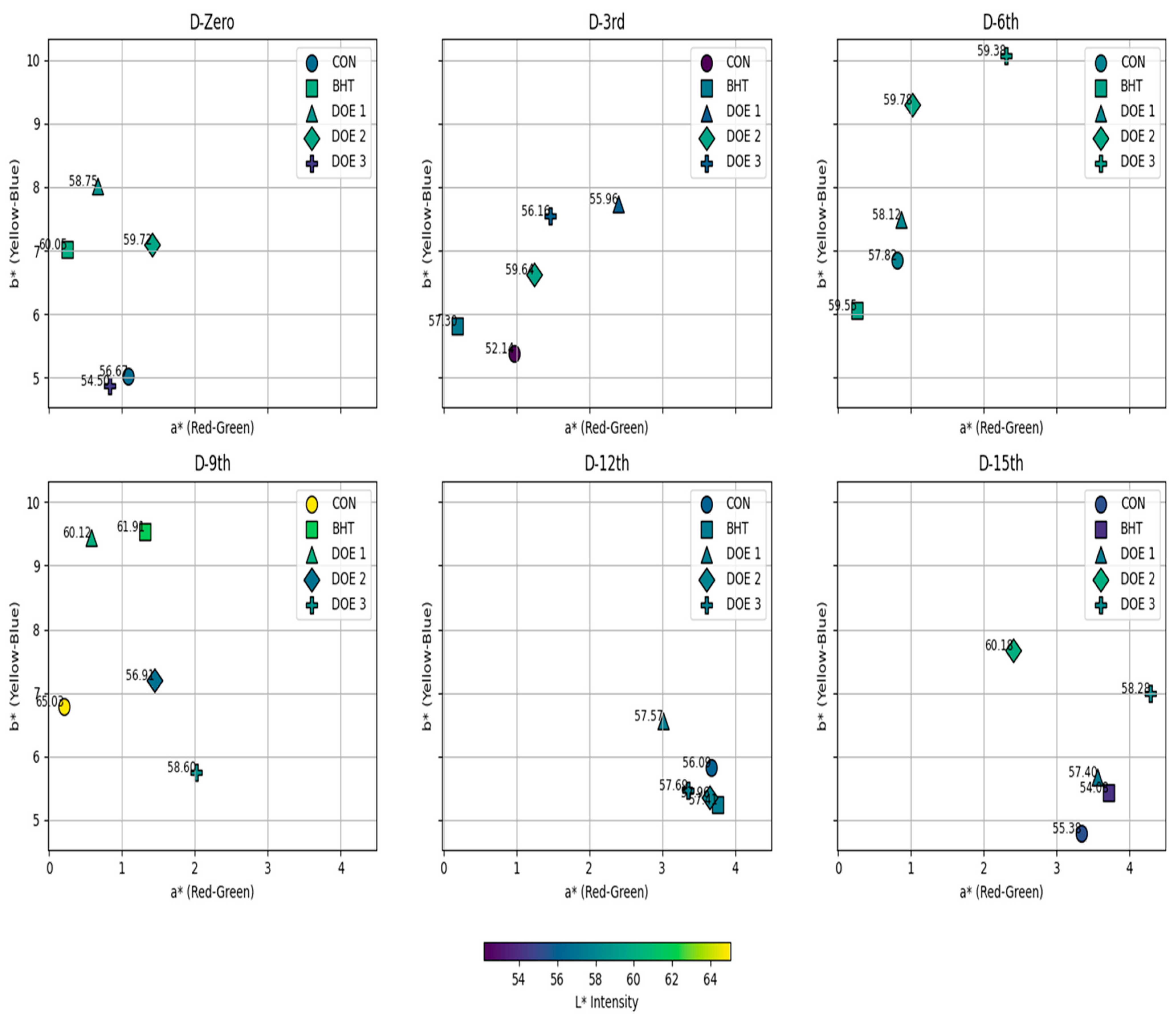
3.4. Physicochemical Analysis of Fish Fillets
3.5. Fish Fillet Microbial Analysis
3.6. Sensory Evaluation
3.7. Correlations Between Physicochemical Parameters
3.8. PCA Analysis
4. Discussion
5. Conclusions
Author Contributions
Funding
Institutional Review Board Statement
Informed Consent Statement
Data Availability Statement
Conflicts of Interest
References
- Mohanty, B.P.; Mahanty, A.; Ganguly, S.; Mitra, T.; Karunakaran, D.; Anandan, R. Nutritional Composition of Food Fishes and Their Importance in Providing Food and Nutritional Security. Food Chem. 2019, 293, 561–570. [Google Scholar] [CrossRef] [PubMed]
- Kawarazuka, N.; Béné, C. The Potential Role of Small Fish Species in Improving Micronutrient Deficiencies in Developing Countries: Building Evidence. Public Health Nutr. 2011, 14, 1927–1938. [Google Scholar] [PubMed]
- Lorenzo, J.M.; Batlle, R.; Gómez, M. Extension of the Shelf-Life of Foal Meat with Two Antioxidant Active Packaging Systems. LWT 2014, 59, 181–188. [Google Scholar] [CrossRef]
- de Alencar, M.G.; de Quadros, C.P.; Luna, A.L.L.P.; Neto, A.F.; da Costa, M.M.; Queiroz, M.A.Á.; de Carvalho, F.A.L.; da Silva Araújo, D.H.; Gois, G.C.; dos Anjos Santos, V.L.; et al. Grape Skin Flour Obtained from Wine Processing as an Antioxidant in Beef Burgers. Meat Sci. 2022, 194, 108963. [Google Scholar] [CrossRef]
- Chauhan, O.P. Advances in Food Chemistry: Food Components, Processing and Preservation; Springer Nature: Berlin/Heidelberg, Germany, 2022; ISBN 9789811947964. [Google Scholar]
- Brackett, R.E. Microbiological Safety of Chilled Foods: Current Issues. Trends Food Sci. Technol. 1992, 3, 81–85. [Google Scholar]
- Tavares, J.; Martins, A.; Fidalgo, L.G.; Lima, V.; Amaral, R.A.; Pinto, C.A.; Silva, A.M.; Saraiva, J.A. Fresh Fish Degradation and Advances in Preservation Using Physical Emerging Technologies. Foods 2021, 10, 780. [Google Scholar] [CrossRef]
- Mujović, M.; Šojić, B.; Peulić, T.; Kocić-Tanackov, S.; Ikonić, P.; Božović, D.; Teslić, N.; Županjac, M.; Novaković, S.; Jokanović, M.; et al. Effects of Dill (Anethum graveolens) Essential Oil and Lipid Extracts as Novel Antioxidants and Antimicrobial Agents on the Quality of Beef Burger. Foods 2024, 13, 896. [Google Scholar] [CrossRef]
- Blundell, R.; Shah, M.A.; Azzopardi, J.I.; Iqbal, S.; Rasul, A.; Shah, G.M. Butylated Hydroxytoluene. In Antioxidants Effects in Health: The Bright and the Dark Side; Elsevier: Amsterdam, The Netherlands, 2022; pp. 195–200. ISBN 9780128190968. [Google Scholar]
- Najaran, Z.T.; Hassanzadeh, M.K.; Nasery, M.; Emami, S.A. Dill (Anethum graveolens L.) Oils. In Essential Oils in Food Preservation, Flavor and Safety; Elsevier: Amsterdam, The Netherlands, 2015; pp. 405–412. ISBN 9780124166417. [Google Scholar]
- Šojić, B.; Milošević, S.; Savanović, D.; Zeković, Z.; Tomović, V.; Pavlić, B. Isolation, Bioactive Potential, and Application of Essential Oils and Terpenoid-Rich Extracts as Effective Antioxidant and Antimicrobial Agents in Meat and Meat Products. Molecules 2023, 28, 2293. [Google Scholar] [CrossRef]
- Eshaghi, R.; Mohsenzadeh, M.; Ayala-Zavala, J.F. Bio-Nanocomposite Active Packaging Films Based on Carboxymethyl Cellulose, Myrrh Gum, TiO2 Nanoparticles and Dill Essential Oil for Preserving Fresh-Fish (Cyprinus carpio) Meat Quality. Int. J. Biol. Macromol. 2024, 263, 129991. [Google Scholar] [CrossRef]
- Amiri, A.; Dugas, R.; Pichot, A.L.; Bompeix, G. In Vitro and in Vitro Activity of Eugenol Oil (Eugenia caryophylata) against Four Important Postharvest Apple Pathogens. Int. J. Food Microbiol. 2008, 126, 13–19. [Google Scholar] [CrossRef]
- Carlucci, D.; Nocella, G.; De Devitiis, B.; Viscecchia, R.; Bimbo, F.; Nardone, G. Consumer Purchasing Behaviour towards Fish and Seafood Products. Patterns and Insights from a Sample of International Studies. Appetite 2015, 84, 212–227. [Google Scholar] [CrossRef] [PubMed]
- Baptista, R.C.; Horita, C.N.; Sant’Ana, A.S. Natural Products with Preservative Properties for Enhancing the Microbiological Safety and Extending the Shelf-Life of Seafood: A Review. Food Res. Int. 2020, 127, 108762. [Google Scholar] [CrossRef] [PubMed]
- Gramza, A.; Khokhar, S.; Yoko, S.; Gliszczynska-Swiglo, A.; Hes, M.; Korczak, J. Antioxidant Activity of Tea Extracts in Lipids and Correlation with Polyphenol Content. Eur. J. Lipid Sci. Technol. 2006, 108, 351–362. [Google Scholar] [CrossRef]
- Cardile, V.; Russo, A.; Formisano, C.; Rigano, D.; Senatore, F.; Arnold, N.A.; Piozzi, F. Essential Oils of Salvia Bracteata and Salvia Rubifolia from Lebanon: Chemical Composition, Antimicrobial Activity and Inhibitory Effect on Human Melanoma Cells. J. Ethnopharmacol. 2009, 126, 265–272. [Google Scholar] [CrossRef]
- Peerakam, N.; Wattanathorn, J.; Punjaisee, S.; Buamongkol, S.; Sirisa-Ard, P.; Chansakaow, S. Chemical Profiling of Essential Oil Composition and Biological Evaluation of Anethum graveolens L. (Seed) Grown in Thailand. J. Nat. Sci. Res. 2014, 4, 34–41. [Google Scholar]
- Zolfaghari, A.; Bazargani-Gilani, B.; Aghajani, N. Edible Film Based on Corn Zein Containing Dill Extract and Essential Oil/β-Cyclodextrin Inclusion Complex: Shelf Life Enhancement of Common Carp Fillet. Food Sci. Nutr. 2023, 11, 4275–4288. [Google Scholar] [CrossRef]
- Altan, C.O.; Köstekli, B.; Çorapcı, B.; İpar, M.S.; Kocatepe, D.; Turan, H. The Sensory Characteristics, Nutritional Profile and Physical Changes of the Atlantic Bonito (Sarda Sarda Bloch, 1793) Gravlax: Effect of Dill (Anethum graveolens) and Garden Cress (Lepidium sativum). Int. J. Gastron. Food Sci. 2022, 28, 100490. [Google Scholar] [CrossRef]
- Anvar, N.; Nateghi, L.; Shariatifar, N.; Mousavi, S.A. The Effect of Essential Oil of Anethum graveolens L. Seed and Gallic Acid (Free and Nano Forms) on Microbial, Chemical and Sensory Characteristics in Minced Meat during Storage at 4 °C. Food Chem. X 2023, 19, 100842. [Google Scholar] [CrossRef]
- Behbahani, B.A.; Shahidi, F.; Yazdi, F.T.; Mortazavi, S.A.; Mohebbi, M. Use of Plantago Major Seed Mucilage as a Novel Edible Coating Incorporated with Anethum graveolens Essential Oil on Shelf Life Extension of Beef in Refrigerated Storage. Int. J. Biol. Macromol. 2017, 94, 515–526. [Google Scholar] [CrossRef]
- Tian, J.; Ban, X.; Zeng, H.; Huang, B.; He, J.; Wang, Y. In Vitro and in Vivo Activity of Essential Oil from Dill (Anethum graveolens L.) against Fungal Spoilage of Cherry Tomatoes. Food Control 2011, 22, 1992–1999. [Google Scholar] [CrossRef]
- Zandi-Sohani, N.; Hojjati, M.; Carbonell-Barrachina, Á.A. Insecticidal and Repellent Activities of the Essential Oil of Callistemon citrinus (Myrtaceae) Against Callosobruchus maculatus (F.) (Coleoptera: Bruchidae). Neotrop. Entomol. 2013, 42, 89–94. [Google Scholar] [CrossRef] [PubMed]
- El-Kareem, M.S.M.A.; Rabbih, M.A.E.F.; Selim, E.T.M.; Elsherbiny, E.A.E.; El-Khateeb, A.Y. Application of GC/EIMS in Combination with Semi-Empirical Calculations for Identification and Investigation of Some Volatile Components in Basil Essential Oil. Int. J. Anal. Mass Spectrom. Chromatogr. 2016, 4, 14–25. [Google Scholar] [CrossRef]
- Ang, L.Z.P.; Hashim, R.; Sulaiman, S.F.; Coulibaly, A.Y.; Sulaiman, O.; Kawamura, F.; Salleh, K.M. In Vitro Antioxidant and Antidiabetic Activites of Gluta Torquata. Ind. Crops Prod. 2015, 76, 755–760. [Google Scholar] [CrossRef]
- Elsheikh, M.; Osman, A.; Edris, S.; Dawam, W.; Sitohy, M.; Sabeq, I. Soybean Glycinin’s Antibacterial Properties Provide a Feasible Natural Alternative for Improving the Overall Quality and Shelf-Life of Beef Steaks and Combating Foodborne Pathogens. Food Bioprocess Technol. 2024, 18, 1777–1792. [Google Scholar] [CrossRef]
- Sabeq, I.; Awad, D.; Hamad, A.; Nabil, M.; Aboubakr, M.; Abaza, M.; Fouad, M.; Hussein, A.; Shama, S.; Ramadan, H.; et al. Prevalence and Molecular Characterization of Foodborne and Human-derived Salmonella Strains for Resistance to Critically Important Antibiotics. Transbound. Emerg. Dis. 2022, 69, e2153–e2163. [Google Scholar] [CrossRef]
- Gamil, B.; Salem, A.M.; Arab, W.S.; Sabeq, I.I. The Microbiological Quality, Shelf-Life, and Multidrug-Resistant Salmonella Contamination Rates Assessment in Chicken Giblets Purchased from Live Poultry Shops. Microbe 2024, 3, 100057. [Google Scholar] [CrossRef]
- Dawam, W.; Elsheikh, M.; Edris, S.; Osman, A.; Sitohy, M.; Sabike, I.I. Soybean 11S Globulin Spray Boosts Chilled Shrimp Shelf-Life, Physicochemical, and Sensory Attributes beyond Twelve Days. Benha Vet. Med. J. 2024, 46, 69–73. [Google Scholar] [CrossRef]
- Elsheikh, M.; Dawam, W.; Edris, shimaa; Osman, A.; Sitohy, M.; Sabike, I.I. Cowpea 11S Globulin Spray Quadruples Shrimp Shelf-Life and Maintains Freshness. Benha Vet. Med. J. 2024, 46, 74–79. [Google Scholar] [CrossRef]
- Honikel, K.O. Reference Methods for the Assessment of Physical Characteristics of Meat. Meat Sci. 1998, 49, 447–457. [Google Scholar] [CrossRef]
- Wheeler, T.L.; Shackelford, S.D.; Koohmaraie, M. Warner-Bratzler Shear Force Protocol; USDA-ARS US Meat Animal Research Center: Clay Center, NE, USA, 2009; pp. 1–16. [Google Scholar]
- Youssuf, H.; Soror, E.I.; Shehab, A.; El-daim, A.M.; Abo-Gamil, Z.H.; Ahmed-Farid, O.; Hamad, A.; Edris, S.; Matter, A.F. Amelioration of Hypoxia and Cold Stress in Nile Tilapia: Comparative Effect of Chlorella Vulgaris and Its Nanoparticle Dietary Supplementation on Performance, Antioxidant, Hepatic Functions, and Meat Quality. Aquac. Int. 2025, 33, 66. [Google Scholar] [CrossRef]
- Saricoban, C.; Yilmaz, M.T. Modelling the Effects of Processing Factors on the Changes in Colour Parameters of Cooked Meatballs Using Response Surface Methodology. World Appl. Sci. J. 2010, 9, 14–22. [Google Scholar]
- Rhim, J.W.; Wu, Y.; Weller, C.L.; Schnepf, M. Physical Characteristics of a Composite Film of Soy Protein Isolate and Propyleneglycol Alginate. J. Food Sci. 1999, 64, 149–152. [Google Scholar] [CrossRef]
- Qian, Y.F.; Xie, J.; Yang, S.P.; Wu, W.H. Study of the Quality Changes and Myofibrillar Proteins of White Shrimp (Litopenaeus vannamei) under Modified Atmosphere Packaging with Varying CO2 Levels. Eur. Food Res. Technol. 2013, 236, 629–635. [Google Scholar] [CrossRef]
- Heires, M. The International Organization for Standardization (ISO). New Political Econ. 2008, 13, 357–367. [Google Scholar] [CrossRef]
- Sabike, I.I.; Fujikawa, H.; Edris, A.M. The Growth Kinetics of Salmonella Enteritidis in Raw Ground Beef. Biocontrol Sci. 2015, 20, 185–192. [Google Scholar] [CrossRef]
- ISO 4833-1:2013; Microbiology of the Food Chain- Horizontal Method for the Enumeration of Microorganisms—Part 1: Colony Count at 30 °C by the Pour Plate Technique. International Organization for Standardization: Geneva, Switzerland, 2013; pp. 1–8.
- ISO 4832:2006; Microbiology of Food and Animal Feeding Stuffs. Horizontal Method for the Enumeration of Coliforms. Colony-Count Technique. International Organization for Standardization: Geneva, Switzerland, 2006; p. 30.
- Sabike, I.I.; Fujikawa, H.; Sakha, M.Z.; Edris, A.M. Production of Staphylococcus Aureus Enterotoxin a in Raw Milk at High Temperatures. J. Food Prot. 2014, 77, 1612–1616. [Google Scholar] [CrossRef]
- Léguillier, V.; Pinamonti, D.; Chang, C.-M.; Gunjan; Mukherjee, R.; Himanshu; Cossetini, A.; Manzano, M.; Anba-Mondoloni, J.; Malet-Villemagne, J.; et al. A Review and Meta-Analysis of Staphylococcus Aureus Prevalence in Foods. Microbe 2024, 4, 100131. [Google Scholar] [CrossRef]
- Fik, M.; Leszczynska-Fik, A. Microbiological and Sensory Changes in Minced Beef Treated with Potassium Lactate and Sodium Diacetate during Refrigerated Storage. Int. J. Food Prop. 2007, 10, 589–598. [Google Scholar] [CrossRef]
- Kostić, I.; Lazarević, J.; Šešlija Jovanović, D.; Kostić, M.; Marković, T.; Milanović, S. Potential of Essential Oils from Anise, Dill and Fennel Seeds for the Gypsy Moth Control. Plants 2021, 10, 2194. [Google Scholar] [CrossRef]
- Benlembarek, K.; Lograda, T.; Ramdani, M.; Figueredo, G.; Chalard, P. Chemical Composition and Biological Activities of Anethum graveolens L. Essential Oil from Algeria. J. Essent. Oil Bear. Plants 2022, 25, 728–740. [Google Scholar] [CrossRef]
- Ma, B.; Ban, X.; Huang, B.; He, J.; Tian, J.; Zeng, H.; Chen, Y.; Wang, Y. Interference and Mechanism of Dill Seed Essential Oil and Contribution of Carvone and Limonene in Preventing Sclerotinia Rot of Rapeseed. PLoS ONE 2015, 10, e0131733. [Google Scholar] [CrossRef] [PubMed]
- El-Sayed, K.K.; El-Sheikh, E.-S.A.; Sherif, R.M.; Gouhar, K.A. Chemical Composition and Bio-Efficacy of Essential Oils Isolated from Seeds of Anethum graveolens L., Leaves of Thymus vulgaris L., and Nuts of Myristica fragrans Houtt. Against Callosobruchus maculatus (Fab.) (Coleoptera: Bruchidae). J. Essent. Oil Bear. Plants 2021, 24, 1402–1414. [Google Scholar] [CrossRef]
- Bhatia, S.; Al-Harrasi, A.; Jawad, M.; Shah, Y.A.; Al-Azri, M.S.; Ullah, S.; Anwer, M.K.; Aldawsari, M.F.; Koca, E.; Aydemir, L.Y. A Comparative Study of the Properties of Gelatin (Porcine and Bovine)-Based Edible Films Loaded with Spearmint Essential Oil. Biomimetics 2023, 8, 172. [Google Scholar] [CrossRef]
- Jianu, C.; Stoin, D.; Cocan, I.; David, I.; Pop, G.; Lukinich-Gruia, A.T.; Mioc, M.; Mioc, A.; Șoica, C.; Muntean, D.; et al. In Silico and In Vitro Evaluation of the Antimicrobial and Antioxidant Potential of Mentha × Smithiana R. GRAHAM Essential Oil from Western Romania. Foods 2021, 10, 815. [Google Scholar] [CrossRef]
- Choi, K.-C.; Son, Y.-O.; Hwang, J.-M.; Kim, B.-T.; Chae, M.; Lee, J.-C. Antioxidant, Anti-Inflammatory and Anti-Septic Potential of Phenolic Acids and Flavonoid Fractions Isolated from Lolium multiflorum. Pharm. Biol. 2016, 55, 611–619. [Google Scholar] [CrossRef]
- Cai, Y.-Z.; Sun, M.; Xing, J.; Luo, Q.; Corke, H. Structure–Radical Scavenging Activity Relationships of Phenolic Compounds from Traditional Chinese Medicinal Plants. Life Sci. 2006, 78, 2872–2888. [Google Scholar] [CrossRef]
- Ben Hsouna, A.; Ben Halima, N.; Smaoui, S.; Hamdi, N. Citrus Lemon Essential Oil: Chemical Composition, Antioxidant and Antimicrobial Activities with Its Preservative Effect against Listeria Monocytogenes Inoculated in Minced Beef Meat. Lipids Health Dis. 2017, 16, 146. [Google Scholar] [CrossRef]
- Yu, L.; Yan, J.; Sun, Z. D-Limonene Exhibits Anti-Inflammatory and Antioxidant Properties in an Ulcerative Colitis Rat Model via Regulation of INOS, COX-2, PGE2 and ERK Signaling Pathways. Mol. Med. Rep. 2017, 15, 2339–2346. [Google Scholar] [CrossRef]
- Sun, J. D-Limonene: Safety and Clinical Applications. Altern. Med. Rev. 2007, 12, 259. [Google Scholar]
- Jannesar, N.; Bassiri, A.; Ghavami, M.; Chenarbon, H.A.; Tarzi, B.G. Investigation of Physicochemical and Antibacterial Properties of Dill (Anethum graveolens L.) Microencapsulated Essential Oil Using Fluidized Bed Method. Food Chem. X 2024, 23, 101708. [Google Scholar] [CrossRef]
- Shahidi, F.; Janitha, P.K.; Wanasundara, P.D. Phenolic Antioxidants. Crit. Rev. Food Sci. Nutr. 1992, 32, 67–103. [Google Scholar] [CrossRef] [PubMed]
- Elgayyar, M.; Draughon, F.A.; Golden, D.A.; Mount, J.R. Antimicrobial Activity of Essential Oils from Plants against Selected Pathogenic and Saprophytic Microorganisms. J. Food Prot. 2001, 64, 1019–1024. [Google Scholar] [CrossRef] [PubMed]
- Derakhshan, S.; Navidinia, M.; Ahmadi, A. Antibacterial Activity of Dill (Anethum graveolens) Essential Oil and Antibiofilm Activity of Cumin (Cuminum cyminum) Alcoholic Extract. Infect. Epidemiol. Microbiol. 2017, 3, 122–126. [Google Scholar]
- Pandey, A.K.; Singh, P.; Tripathi, N.N. Chemistry and Bioactivities of Essential Oils of Some Ocimum Species: An Overview. Asian Pac. J. Trop. Biomed. 2014, 4, 682–694. [Google Scholar] [CrossRef]
- Mutlu-Ingok, A.; Karbancioglu-Guler, F. Cardamom, Cumin, and Dill Weed Essential Oils: Chemical Compositions, Antimicrobial Activities, and Mechanisms of Action against Campylobacter spp. Molecules 2017, 22, 1191. [Google Scholar] [CrossRef]
- Huang, L.; Wang, Y.; Li, R.; Wang, Q.; Dong, J.; Wang, J.; Lu, S. Thyme Essential Oil and Sausage Diameter Effects on Biogenic Amine Formation and Microbiological Load in Smoked Horse Meat Sausage. Food Biosci. 2021, 40, 100885. [Google Scholar] [CrossRef]
- Sikkema, J.; de Bont, J.A.; Poolman, B. Mechanisms of Membrane Toxicity of Hydrocarbons. Microbiol. Rev. 1995, 59, 201–222. [Google Scholar] [CrossRef]
- Abbas, K.A.; Mohamed, A.; Jamilah, B.; Ebrahimian, M. A Review on Correlations between Fish Freshness and PH during Cold Storage. Am. J. Biochem. Biotechnol. 2008, 4, 416–421. [Google Scholar] [CrossRef]
- Tian, J.; Ban, X.; Zeng, H.; He, J.; Chen, Y.; Wang, Y. The Mechanism of Antifungal Action of Essential Oil from Dill (Anethum graveolens L.) on Aspergillus Flavus. PLoS ONE 2012, 7, e30147. [Google Scholar] [CrossRef]
- Özalp Özen, B.; Soyer, A. Effect of Plant Extracts on Lipid and Protein Oxidation of Mackerel (Scomber Scombrus) Mince during Frozen Storage. J. Food Sci. Technol. 2017, 55, 120–127. [Google Scholar] [CrossRef]
- Kurek, M.; Pišonić, P.; Ščetar, M.; Janči, T.; Čanak, I.; Vidaček Filipec, S.; Benbettaieb, N.; Debeaufort, F.; Galić, K. Edible Coatings for Fish Preservation: Literature Data on Storage Temperature, Product Requirements, Antioxidant Activity, and Coating Performance—A Review. Antioxidants 2024, 13, 1417. [Google Scholar] [CrossRef] [PubMed]
- Caglak, E.; Karsli, B. Use of Dill Extracts as a Natural Preservative on Shelf-life Extension of Rainbow Trout Croquettes during Refrigerator Storage. Food Sci. Nutr. 2023, 11, 7330–7340. [Google Scholar] [CrossRef] [PubMed]
- Santos, H.M.C.; Méndez, L.; Secci, G.; Parisi, G.; Martelli, R.; Medina, I. Pathway-Oriented Action of Dietary Essential Oils to Prevent Muscle Protein Oxidation and Texture Deterioration of Farmed Rainbow Trout. Animal 2019, 13, 2080–2091. [Google Scholar] [CrossRef] [PubMed]
- Singh, A.; Benjakul, S. Proteolysis and Its Control Using Protease Inhibitors in Fish and Fish Products: A Review. Compr. Rev. Food Sci. Food Saf. 2018, 17, 496–509. [Google Scholar] [CrossRef]
- Li, N.; Xie, J.; Chu, Y.M. Degradation and Evaluation of Myofibril Proteins Induced by Endogenous Protease in Aquatic Products during Storage: A Review. Food Sci. Biotechnol. 2023, 32, 1005–1018. [Google Scholar] [CrossRef]
- Estévez, M.; Luna, C. Dietary Protein Oxidation: A Silent Threat to Human Health? Crit. Rev. Food Sci. Nutr. 2017, 57, 3781–3793. [Google Scholar] [CrossRef]
- Wojtunik-Kulesza, K.A.; Rudkowska, M.; Klimek, K.; Mołdoch, J.; Agacka-Mołdoch, M.; Budzyńska, B.; Oniszczuk, A. S-(+)-Carvone, a Monoterpene with Potential Anti-Neurodegenerative Activity—In Vitro, In Vivo and Ex Vivo Studies. Molecules 2024, 29, 4365. [Google Scholar] [CrossRef]
- Lund, M.N.; Heinonen, M.; Baron, C.P.; Estévez, M. Protein Oxidation in Muscle Foods: A Review. Mol. Nutr. Food Res. 2010, 55, 83–95. [Google Scholar] [CrossRef]
- Bragadóttir, M. Endogenous Antioxidants in Fish. Ph.D. Thesis, University of Iceland, Reykjavík, Iceland, 2001. [Google Scholar]
- Singh, J.; Singh, B. Inhibition of Post-Mortem Fish Muscle Softening and Degradation Using Legume Seed Proteinase Inhibitors. J. Food Sci. Technol. 2019, 57, 1–11. [Google Scholar] [CrossRef]
- Lee, S.; Kim, M.-G.; Hur, S.-W.; Katya, K.; Kim, K.-W.; Lee, B.-J. Assessment of Safety, Effects, and Muscle-Specific Accumulation of Dietary Butylated Hydroxytoluene (BHT) in Paralichthys olivaceus. Aquac. Nutr. 2023, 2023, 1381923. [Google Scholar] [CrossRef]
- Wu, H.; Richards, M.P.; Undeland, I. Lipid Oxidation and Antioxidant Delivery Systems in Muscle Food. Compr. Rev. Food Sci. Food Saf. 2022, 21, 1275–1299. [Google Scholar] [CrossRef] [PubMed]
- Saleh-e-In, M.M.; Sultana, N.; Rahim, M.M.; Ahsan, M.A.; Bhuiyan, M.N.H.; Hossain, M.N.; Rahman, M.M.; Kumar Roy, S.; Islam, M.R. Chemical Composition and Pharmacological Significance of Anethum sowa L. Root. BMC Complement. Altern. Med. 2017, 17, 127. [Google Scholar] [CrossRef]
- Qian, R.; Sun, C.; Bai, T.; Yan, J.; Cheng, J.; Zhang, J. Recent Advances and Challenges in the Interaction between Myofibrillar Proteins and Flavor Substances. Front. Nutr. 2024, 11, 1378884. [Google Scholar] [CrossRef]
- Zengin, H.; Baysal, A. Antibacterial and Antioxidant Activity of Essential Oil Terpenes against Pathogenic and Spoilage-Forming Bacteria and Cell Structure-Activity Relationships Evaluated by SEM Microscopy. Molecules 2014, 19, 17773–17798. [Google Scholar] [CrossRef]
- Guo, A.; Jiang, J.; True, A.D.; Xiong, Y.L. Myofibrillar Protein Cross-Linking and Gelling Behavior Modified by Structurally Relevant Phenolic Compounds. J. Agric. Food Chem. 2021, 69, 1308–1317. [Google Scholar] [CrossRef]
- Prodpran, T.; Benjakul, S.; Phatcharat, S. Effect of Phenolic Compounds on Protein Cross-Linking and Properties of Film from Fish Myofibrillar Protein. Int. J. Biol. Macromol. 2012, 51, 774–782. [Google Scholar] [CrossRef]
- Burt, S. Essential Oils: Their Antibacterial Properties and Potential Applications in Foods—A Review. Int. J. Food Microbiol. 2004, 94, 223–253. [Google Scholar] [CrossRef]
- Domínguez, R.; Pateiro, M.; Munekata, P.E.S.; McClements, D.J.; Lorenzo, J.M. Encapsulation of Bioactive Phytochemicals in Plant-Based Matrices and Application as Additives in Meat and Meat Products. Molecules 2021, 26, 3984. [Google Scholar] [CrossRef]
- Torres-Arreola, W.; Soto-Valdez, H.; Peralta, E.; Cárdenas-López, J.L.; Ezquerra-Brauer, J.M. Effect of a Low-Density Polyethylene Film Containing Butylated Hydroxytoluene on Lipid Oxidation and Protein Quality of Sierra Fish (Scomberomorus sierra) Muscle during Frozen Storage. J. Agric. Food Chem. 2007, 55, 6140–6146. [Google Scholar] [CrossRef]
- Sohn, J.; Taki, Y.; Ushio, H.; Kohata, T.; Shioya, I.; Ohshima, T. Lipid Oxidations in Ordinary and Dark Muscles of Fish: Influences on Rancid Off-odor Development and Color Darkening of Yellowtail Flesh During Ice Storage. J. Food Sci. 2005, 70, s490–s496. [Google Scholar] [CrossRef]
- Zhu, W.; Han, M.; Bu, Y.; Li, X.; Yi, S.; Xu, Y.; Li, J. Plant Polyphenols Regulating Myoglobin Oxidation and Color Stability in Red Meat and Certain Fish: A Review. Crit. Rev. Food Sci. Nutr. 2022, 64, 2276–2288. [Google Scholar] [CrossRef] [PubMed]
- Faustman, C. Meat Quality Myoglobin Chemistry and Modifications That Influence (Color and) Color Stability. In Proceedings of the American Meat Science Association, 67th Annual Reciprocal Meat Conference, Madison, WI, USA, 15–18 June 2014. [Google Scholar]
- Khoo, H.-E.; Prasad, K.N.; Kong, K.-W.; Jiang, Y.; Ismail, A. Carotenoids and Their Isomers: Color Pigments in Fruits and Vegetables. Molecules 2011, 16, 1710–1738. [Google Scholar] [CrossRef] [PubMed]
- Lancaster, J.E.; Lister, C.E.; Reay, P.F.; Triggs, C.M. Influence of Pigment Composition on Skin Color in a Wide Range of Fruit and Vegetables. J. Am. Soc. Hortic. Sci. 1997, 122, 594–598. [Google Scholar]
- Tongnuanchan, P.; Benjakul, S.; Prodpran, T. Effects of Oxygen and Antioxidants on the Lipid Oxidation and Yellow Discolouration of Film from Red Tilapia Mince. J. Sci. Food Agric. 2012, 92, 2507–2517. [Google Scholar] [CrossRef]
- Noumi, E.; Ahmad, I.; Adnan, M.; Merghni, A.; Patel, H.; Haddaji, N.; Bouali, N.; Alabbosh, K.F.; Ghannay, S.; Aouadi, K.; et al. GC/MS Profiling, Antibacterial, Anti-Quorum Sensing, and Antibiofilm Properties of Anethum graveolens L. Essential Oil: Molecular Docking Study and In-Silico ADME Profiling. Plants 2023, 12, 1997. [Google Scholar] [CrossRef]
- Jirovetz, L.; Buchbauer, G.; Stoyanova, A.S.; Georgiev, E.V.; Damianova, S.T. Composition, Quality Control, and Antimicrobial Activity of the Essential Oil of Long-Time Stored Dill (Anethum graveolens L.) Seeds from Bulgaria. J. Agric. Food Chem. 2003, 51, 3854–3857. [Google Scholar] [CrossRef]
- Ruangamnart, A.; Buranaphalin, S.; Temsiririrkkul, R.; Chuakul, W.; Pratuangdejkul, J. Chemical Compositions and Antibacterial Activity of Essential Oil from Dill Fruits (Anethum graveolens L.) Cultivated in Thailand. Mahidol Univ. J. Pharm. Sci. 2015, 42, 135–143. [Google Scholar]
- Popa, M.; Măruțescu, L.; Oprea, E.; Bleotu, C.; Kamerzan, C.; Chifiriuc, M.C.; Grădișteanu Pircalabioru, G. In Vitro Evaluation of the Antimicrobial and Immunomodulatory Activity of Culinary Herb Essential Oils as Potential Perioceutics. Antibiotics 2020, 9, 428. [Google Scholar] [CrossRef]
- Snuossi, M.; Trabelsi, N.; Ben Taleb, S.; Dehmeni, A.; Flamini, G.; De Feo, V. Laurus Nobilis, Zingiber Officinale and Anethum graveolens Essential Oils: Composition, Antioxidant and Antibacterial Activities against Bacteria Isolated from Fish and Shellfish. Molecules 2016, 21, 1414. [Google Scholar] [CrossRef]
- Kannaiyan, S.; Gunasekaran, J.; Kannuchamy, N.; Thachil, M.T.; Gudipati, V. Antioxidant and Antibacterial Activities of Dill Extracts and Their Preservative Effect on Mackerel Fillets during Refrigerated Storage. Indian. J. Nat. Prod. Resour. 2015, 6, 106–113. [Google Scholar]










| No. | Compound | Chemical Family | RT | RI | Area, % |
|---|---|---|---|---|---|
| 1 | 2-thujene | Monoterpene | 4.71 | 915 | 0.32 |
| 2 | β-ocimene | Monoterpene | 4.84 | 944 | 1.84 |
| 3 | Sabinene | Monoterpene | 5.60 | 820 | 0.17 |
| 4 | α-pinene | Monoterpene | 6.04 | 886 | 0.36 |
| 5 | β-pinene | Monoterpene | 6.04 | 878 | 0.36 |
| 6 | α-phellandrene | Monoterpene | 6.33 | 938 | 21.81 |
| 7 | p-cymene | Monoterpene | 6.71 | 936 | 8.89 |
| 8 | d-limonene | Monoterpene | 6.93 | 941 | 18.54 |
| 9 | Dill ether | Monoterpene | 10.83 | 947 | 14.82 |
| 10 | Camphor | Monoterpene | 11.10 | 911 | 0.93 |
| 11 | Camphene | Monoterpene | 11.33 | 883 | 0.61 |
| 12 | Carvone | Monoterpene | 12.21 | 933 | 17.42 |
| 13 | Terpineol | Monoterpene | 12.48 | 868 | 1.21 |
| 14 | Carvyl acetate | Monoterpene | 14.69 | 779 | 1.73 |
| 15 | Isodillapiole | phenylpropanoid | 16.38 | 700 | 0.58 |
| 16 | α-sinensal | Sesquiterpenoid | 26.77 | 810 | 0.23 |
| 17 | Apiol | Phenylpropene | 21.72 | 879 | 10.30 |
Disclaimer/Publisher’s Note: The statements, opinions and data contained in all publications are solely those of the individual author(s) and contributor(s) and not of MDPI and/or the editor(s). MDPI and/or the editor(s) disclaim responsibility for any injury to people or property resulting from any ideas, methods, instructions or products referred to in the content. |
© 2025 by the authors. Licensee MDPI, Basel, Switzerland. This article is an open access article distributed under the terms and conditions of the Creative Commons Attribution (CC BY) license (https://creativecommons.org/licenses/by/4.0/).
Share and Cite
Tayel, A.; Hassanin, F.S.; Edris, S.N.; Hamad, A.; Sabeq, I.I. Preservative Potential of Anethum graveolens Essential Oil on Fish Fillet Quality and Shelf Life During Refrigerated Storage. Foods 2025, 14, 1591. https://doi.org/10.3390/foods14091591
Tayel A, Hassanin FS, Edris SN, Hamad A, Sabeq II. Preservative Potential of Anethum graveolens Essential Oil on Fish Fillet Quality and Shelf Life During Refrigerated Storage. Foods. 2025; 14(9):1591. https://doi.org/10.3390/foods14091591
Chicago/Turabian StyleTayel, Aya, Faten S. Hassanin, Shimaa N. Edris, Ahmed Hamad, and Islam I. Sabeq. 2025. "Preservative Potential of Anethum graveolens Essential Oil on Fish Fillet Quality and Shelf Life During Refrigerated Storage" Foods 14, no. 9: 1591. https://doi.org/10.3390/foods14091591
APA StyleTayel, A., Hassanin, F. S., Edris, S. N., Hamad, A., & Sabeq, I. I. (2025). Preservative Potential of Anethum graveolens Essential Oil on Fish Fillet Quality and Shelf Life During Refrigerated Storage. Foods, 14(9), 1591. https://doi.org/10.3390/foods14091591

