Effect of Mannoprotein-Producing Yeast on Viscosity and Mouthfeel of Red Wine
Abstract
1. Introduction
2. Materials and Methods
2.1. Red Wines and Yeast Samples
2.2. Winemaking
Red Wine Characterization
2.3. Mannose Determination
2.4. Rheology
2.5. Sensory Analysis
2.6. Statistical Analysis
3. Results
3.1. Chemical Characterization
3.2. Mannose Content
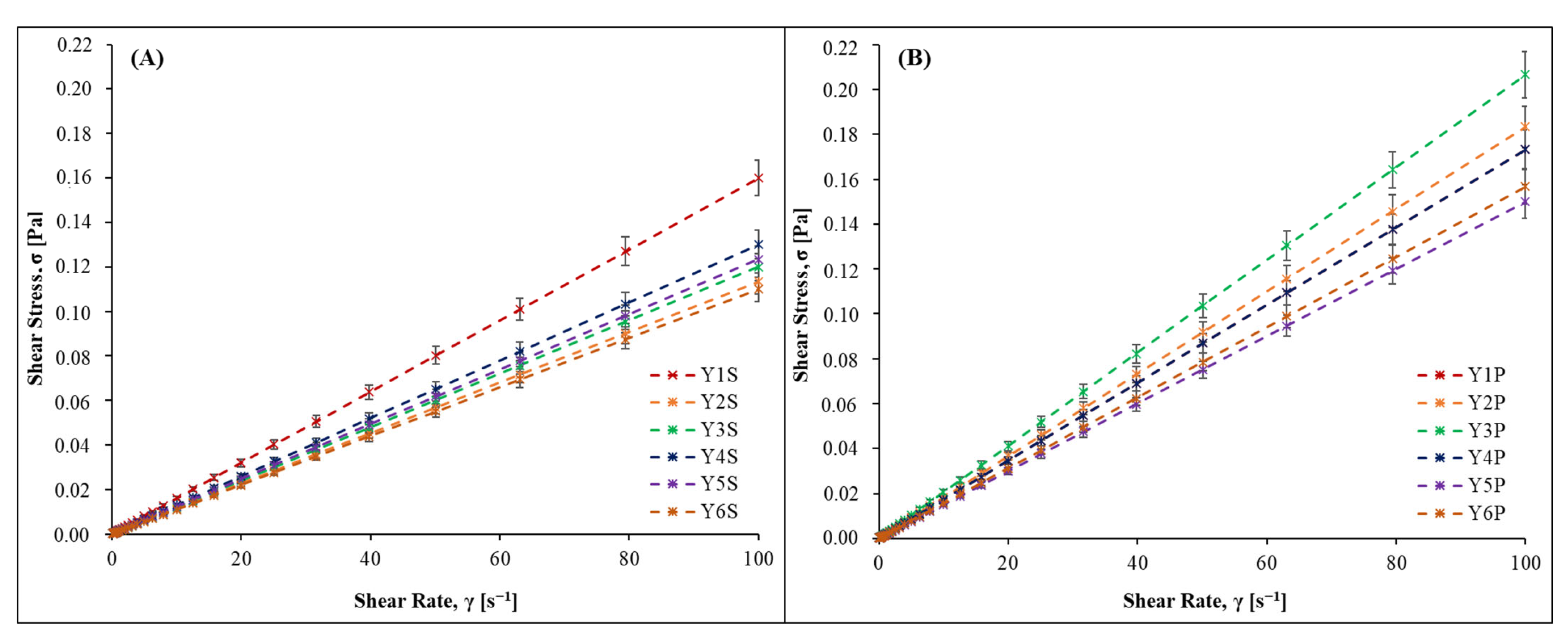
3.3. Rheological Behavior
3.4. Sensorial Attributes
4. Discussion
4.1. Chemical Characterization
4.2. Mannose Concentration
4.3. Rheological Behavior
4.4. Sensorial Attributes
5. Conclusions
Author Contributions
Funding
Institutional Review Board Statement
Informed Consent Statement
Data Availability Statement
Acknowledgments
Conflicts of Interest
References
- Romano, P.; Braschi, G.; Siesto, G.; Patrignani, F.; Lanciotti, R. Role of yeasts on the sensory component of wines. Foods 2022, 11, 1921. [Google Scholar] [CrossRef]
- Li, S.; Zhai, H.; Ma, W.; Duan, C.; Yi, L. Yeast mannoproteins: Organoleptic modulating functions, mechanisms, and product development trends in winemaking. Food Front. 2023, 4, 1091–1126. [Google Scholar] [CrossRef]
- Vidal, S.; Francis, L.; Williams, P.; Kwiatkowski, M.; Gawel, R.; Cheynier, V.; Waters, E. The mouth-feel properties of polysaccharides and anthocyanins in a wine like medium. Food Chem. 2004, 85, 519–525. [Google Scholar] [CrossRef]
- Bicca, S.A.; Poncet-Legrand, C.; Roi, S.; Mekoue, J.; Doco, T.; Vernhet, A. Exploring the influence of S. cerevisiae mannoproteins on wine astringency and color: Impact of their polysaccharide part. Food Chem. 2023, 422, 136160. [Google Scholar] [CrossRef] [PubMed]
- Paup, V.D.; Barton, T.L.; Edwards, C.G.; Lange, I.; Lange, B.M.; Lee, J.; Ross, C.F. Improving the chemical and sensory characteristics of red and white wines with pectinase-producing non-Saccharomyces yeasts. J. Food Sci. 2022, 87, 5402–5417. [Google Scholar] [CrossRef] [PubMed]
- Wang, S.; Mantilla SM, O.; Smith, P.A.; Stokes, J.R.; Smyth, H.E. Relationship between salivary lubrication and temporal sensory profiles of wine mouthfeel and astringency sub-qualities. Food Hydrocoll. 2023, 135, 108106. [Google Scholar] [CrossRef]
- Costa, G.P.; Nicolli, K.P.; Welke, J.E.; Manfroi, V.; Zini, C.A. Volatile profile of sparkling wines produced with the addition of mannoproteins or lees before second fermentation performed with free and immobilized yeasts. J. Braz. Chem. Soc. 2018, 29, 1866–1875. [Google Scholar] [CrossRef]
- Pérez-Magariño, S.; Cano-Mozo, E.; Bueno-Herrera, M.; Canalejo, D.; Doco, T.; Ayestarán, B.; Guadalupe, Z. The effects of grape polysaccharides extracted from grape by-products on the chemical composition and sensory characteristics of white wines. Molecules 2022, 27, 4815. [Google Scholar] [CrossRef]
- Rinaldi, A.; Coppola, M.; Moio, L. Aging of Aglianico and Sangiovese wine on mannoproteins: Effect on astringency and colour. LWT 2019, 105, 233–241. [Google Scholar] [CrossRef]
- Rinaldi, A.; Gonzalez, A.; Moio, L.; Gambuti, A. Commercial mannoproteins improve the mouthfeel and colour of wines obtained by excessive tannin extraction. Molecules 2021, 26, 4133. [Google Scholar] [CrossRef]
- Ribeiro, T.; Fernandes, C.; Nunes, F.M.; Filipe-Ribeiro, L.; Cosme, F. Influence of the structural features of commercial mannoproteins in white wine protein stabilization and chemical and sensory properties. Food Chem. 2014, 159, 47–54. [Google Scholar] [CrossRef] [PubMed]
- Gawel, R.; Oberholster, A.; Francis, I.L. A ‘Mouth-feel Wheel’: Terminology for communicating the mouth-feel characteristics of red wine. Aust. J. Grape Wine Res. 2000, 6, 203–207. [Google Scholar] [CrossRef]
- Jackson, R.S. Wine Tasting: A Professional Handbook, 4th ed.; Elsevier: London, UK, 2022; pp. 143–146. [Google Scholar]
- Laguna, L.; Bartolomé, B.; Moreno-Arribas, M.V. Mouthfeel perception of wine: Oral physiology, components and instrumental characterization. Trends Food Sci. Technol. 2017, 59, 49–59. [Google Scholar] [CrossRef]
- Brossard, N.; Bordeu, E.; Ibáñez, R.A.; Chen, J.; Osorio, F. Rheological study of tannin and protein interactions based on model systems. J. Texture Stud. 2020, 51, 585–592. [Google Scholar] [CrossRef]
- Wang, X.; Fan, G.; Peng, Y.; Xu, N.; Xie, Y.; Zhou, H.; Liang, H.; Zhan, J.; Huang, W.; You, Y. Mechanisms and effects of non-Saccharomyces yeast fermentation on the aromatic profile of wine. J. Food Compos. Anal. 2023, 124, 105660. [Google Scholar] [CrossRef]
- Rosenkranz, A.; Marian, M.; Shah, R.; Gashi, B.; Zhang, S.; Bordeu, E.; Brossard, N. Correlating wine astringency with physical measures–Current knowledge and future directions. Adv. Colloid Interface Sci. 2021, 296, 102520. [Google Scholar] [CrossRef]
- Guadalupe, Z.; Martínez, L.; Ayestarán, B. Yeast mannoproteins in red winemaking: Effect on polysaccharide, polyphenolic, and color composition. Am. J. Enol. Vitic. 2010, 61, 191–200. [Google Scholar] [CrossRef]
- Quirós, M.; Morales, P.; Pérez-Través, L.; Barcenilla, J.M.; Gonzalez, R. A new methodology to determine cell wall mannoprotein content and release in wine yeasts. Food Chem. 2011, 125, 760–766. [Google Scholar] [CrossRef]
- Chen, J.; Engelen, L. Food Oral Processing: Fundamentals of Eating and Sensory Perception, 1st ed.; John Wiley & Sons: Chichester, UK, 2012; p. 172. [Google Scholar]
- ISO 8686-1; Sensory Analysis ISO 8586:2023. General Guide for the Selection, Training and Control of Judges. Part 1 Tasters. International Organization for Standardization: Geneva, Switzerland, 2023.
- Meyners, M.; Jaeger, S.R.; Ares, G. On the analysis of rate-all-that-apply (RATA) data. Food Qual. Prefer. 2016, 49, 1–10. [Google Scholar] [CrossRef]
- Rios-Mera, J.D.; Saldaña, E.; Contreras-Castillo, C.J. Using rate-all-that-apply (RATA) methodology to include the consumer insights in the development of healthier beef burgers. In Sensory Analysis for the Development of Meat Products; Woodhead Publishing: Sawston, UK, 2022; pp. 137–150. [Google Scholar]
- Paissoni, M.A.; Motta, G.; Giacosa, S.; Rolle, L.; Gerbi, V.; Río Segade, S. Mouthfeel subqualities in wines: A current insight on sensory descriptors and physical–chemical markers. Compr. Rev. Food Sci. Food Saf. 2023, 22, 3328–3365. [Google Scholar] [CrossRef]
- Zhang, R.; Jia, W.; Shu, J.; Zou, L.; Shi, L. Flavor Experiences Augmentation Strategy for Fermented Dairy Products: Perspective of Multimodal Perception, Starter and Enhancer, and Processing. Food Rev. Int. 2023, 40, 2227–2255. [Google Scholar] [CrossRef]
- Murmann, A.N.; Bevilacqua, M.; Danielsen, B.P.; Jansson, T.; Engholm-Keller, K.; Poojary, M.M.; Arneborg, N.; Lund, M.N. The impact of lager brewing yeasts on flavor stability of pilot-scale beer during storage. Eur. Food Res. Technol. 2024, 250, 715–725. [Google Scholar] [CrossRef]
- Avîrvarei, A.C.; Pop, C.R.; Mudura, E.; Ranga, F.; Hegheș, S.C.; Gal, E.; Zhao, H.; Fărcaș, A.C.; Chiș, M.S.; Coldea, T.E. Contribution of Saccharomyces and Non-saccharomyces yeasts on the volatile and phenolic profiles of Rosehip Mead. Antioxidants 2023, 12, 1457. [Google Scholar] [CrossRef] [PubMed]
- Jones-Moore, H.R.; Jelley, R.E.; Marangon, M.; Fedrizzi, B. The polysaccharides of winemaking: From grape to wine. Trends Food Sci. Technol. 2021, 111, 731–740. [Google Scholar] [CrossRef]
- Borren, E.; Tian, B. The important contribution of non-Saccharomyces yeasts to the aroma complexity of wine: A review. Foods 2020, 10, 13. [Google Scholar] [CrossRef]
- Basalekou, M.; Tataridis, P.; Georgakis, K.; Tsintonis, C. Measuring wine quality and typicity. Beverages 2023, 9, 41. [Google Scholar] [CrossRef]
- Parihar, V. Exploring the Impact of Different Yeast Strains on the Sensory Profiles of Grape and Sweet Orange Wines: A Comparative Analysis. J. Bus. Soc. Sci. 2023, 2023, 38. [Google Scholar]
- Oyón-Ardoiz, M.; Manjon, E.; Escribano-Bailón, M.T.; García-Estévez, I. Effect of mannoproteins from different oenological yeast on pigment composition and color stability of red wine. LWT 2022, 172, 114219. [Google Scholar] [CrossRef]
- Martínez-Lapuente, L.; Guadalupe, Z.; Ayestarán, B. Properties of wine polysaccharides. In Pectins—Extraction, Purification, Characterization and Applications; IntechOpen: London, UK, 2020; pp. 1–21. [Google Scholar]
- Toraño, P.; Gombau, J.; Mejías, I.; Bordons, A.; Rozès, N.; Reguant, C. Evaluation of the Addition of Yeast Mannoprotein to Oenococcus oeni Starter Cultures to Improve Wine Malolactic Fermentation. Fermentation 2024, 10, 52. [Google Scholar] [CrossRef]
- Faustino, M.; Durão, J.; Pereira, C.F.; Pintado, M.E.; Carvalho, A.P. Mannans and mannan oligosaccharides (MOS) from Saccharomyces cerevisiae–A sustainable source of functional ingredients. Carbohydr. Polym. 2021, 272, 118467. [Google Scholar] [CrossRef]
- Bastos, R.; Oliveira, P.G.; Gaspar, V.M.; Mano, J.F.; Coimbra, M.A.; Coelho, E. Brewer’s yeast polysaccharides—A review of their exquisite structural features and biomedical applications. Carbohydr. Polym. 2022, 277, 118826. [Google Scholar] [CrossRef] [PubMed]
- Bordet, F.; Joran, A.; Klein, G.; Roullier-Gall, C.; Alexandre, H. Yeast–yeast interactions: Mechanisms, methodologies and impact on composition. Microorganisms 2020, 8, 600. [Google Scholar] [CrossRef]
- Quirós, M.; Gonzalez, R.; Morales, P. A simple method for total quantification of mannoprotein content in real wine samples. Food Chem. 2012, 134, 1205–1210. [Google Scholar] [CrossRef] [PubMed]
- Guaita, M.; Petrozziello, M.; Motta, S.; Panero, L.; Buoso, V.; Bosso, A. Validazione di una metodica enzimatica per la valutazione del contenuto in mannosio di vini affinati su fecce. Infowine 2011, 12, 1–6. [Google Scholar]
- Hidalgo Togores, J. Tratado de Enología. Volumen I y II, 3rd ed.; Ediciones Mundi-Prensa: Madrid, Spain, 2018; p. 1077. [Google Scholar]
- Brandão, E.; Silva, M.S.; García-Estévez, I.; Williams, P.; Mateus, N.; Doco, T.; de Freitas, V.; Soares, S. The role of wine polysaccharides on salivary protein-tannin interaction: A molecular approach. Carbohydr. Polym. 2017, 177, 77–85. [Google Scholar] [CrossRef]
- Wang, S.; Wang, X.; Zhao, P.; Ma, Z.; Zhao, Q.; Cao, X.; Cheng, C.; Liu, H.; Du, G. Mannoproteins interfering wine astringency by modulating the reaction between phenolic fractions and protein in a model wine system. LWT 2021, 152, 112217. [Google Scholar] [CrossRef]
- Canon, F.; Caillé, S.; Sarni-Manchado, P.; Cheynier, V. Wine taste and mouthfeel. In Managing Wine Quality; Woodhead Publishing: Cambridge, UK, 2022; pp. 41–95. [Google Scholar]
- Sam, F.E.; Ma, T.Z.; Salifu, R.; Wang, J.; Jiang, Y.M.; Zhang, B.; Han, S.Y. Techniques for dealcoholization of wines: Their impact on wine phenolic composition, volatile composition, and sensory characteristics. Foods 2021, 10, 2498. [Google Scholar] [CrossRef]
- Postigo, V.; Sánchez, A.; Cabellos, J.M.; Arroyo, T. New approaches for the fermentation of beer: Non-Saccharomyces yeasts from wine. Fermentation 2022, 8, 280. [Google Scholar] [CrossRef]
- Liu, S.; Vega, A.R.; Dizy, M. Assessing ultrapremium red wine quality using PLS-SEM. LWT 2023, 177, 114560. [Google Scholar] [CrossRef]
- De Iseppi, A.; Marangon, M.; Vincenzi, S.; Lomolino, G.; Curioni, A.; Divol, B. A novel approach for the valorization of wine lees as a source of compounds able to modify wine properties. LWT 2021, 136, 110274. [Google Scholar] [CrossRef]
- Canalejo, D.; Martínez-Lapuente, L.; Ayestarán, B.; Pérez-Magariño, S.; Doco, T.; Guadalupe, Z. Grape-Derived Polysaccharide Extracts Rich in Rhamnogalacturonans-II as Potential Modulators of White Wine Flavor Compounds. Molecules 2023, 28, 6477. [Google Scholar] [CrossRef] [PubMed]
- Wang, S.; Mantilla SM, O.; Smith, P.A.; Stokes, J.R.; Smyth, H.E. Tribology and QCM-D approaches provide mechanistic insights into red wine mouthfeel, astringency sub-qualities and the role of saliva. Food Hydrocoll. 2021, 120, 106918. [Google Scholar] [CrossRef]
- Wang, S.; Smyth, H.E.; Olarte Mantilla, S.M.; Stokes, J.R.; Smith, P.A. Astringency and its sub-qualities: A review of astringency mechanisms and methods for measuring saliva lubrication. Chem. Senses 2024, 49, bjae016. [Google Scholar] [CrossRef] [PubMed]
- Alfonzo, A.; Prestianni, R.; Gaglio, R.; Matraxia, M.; Maggio, A.; Naselli, V.; Craparo, V.; Badalamenti, N.; Bruno, M.; Vagnoli, P.; et al. Effects of different yeast strains, nutrients and glutathione-rich inactivated yeast addition on the aroma characteristics of Catarratto wines. Int. J. Food Microbiol. 2021, 360, 109325. [Google Scholar] [CrossRef]
- Niimi, J.; Tomic, O.; Næs, T.; Bastian, S.E.; Jeffery, D.W.; Nicholson, E.L.; Maffei, S.M.; Boss, P.K. Objective measures of grape quality: From Cabernet Sauvignon grape composition to wine sensory characteristics. LWT 2020, 123, 109105. [Google Scholar] [CrossRef]
- Araujo, L.D.; Parr, W.V.; Grose, C.; Hedderley, D.; Masters, O.; Kilmartin, P.A.; Valentin, D. In-mouth attributes driving perceived quality of Pinot noir wines: Sensory and chemical characterisation. Food Res. Int. 2021, 149, 110665. [Google Scholar] [CrossRef]
- Lu, H.C.; Tian, M.B.; Han, X.; Shi, N.; Li, H.Q.; Cheng, C.F.; Chen, W.; Li, S.-D.; He, F.; Duan, C.-Q.; et al. Vineyard soil heterogeneity and harvest date affect volatolomics and sensory attributes of Cabernet Sauvignon wines on a meso-terroir scale. Food Res. Int. 2023, 174, 113508. [Google Scholar] [CrossRef]
- Marques, C.; Dinis, L.T.; Santos, M.J.; Mota, J.; Vilela, A. Beyond the bottle: Exploring health-promoting compounds in wine and wine-related products—Extraction, detection, quantification, aroma properties, and terroir effects. Foods 2023, 12, 4277. [Google Scholar] [CrossRef]
- Brossard, N.; Gonzalez-Muñoz, B.; Pavez, C.; Ricci, A.; Wang, X.; Osorio, F.; Bordeu, E.; Parpinello, G.P.; Chen, J. Astringency sub-qualities of red wines and the influence of wine–saliva aggregates. Int. J. Food Sci. Technol. 2021, 56, 5382–5394. [Google Scholar] [CrossRef]
- Huang, R.; Xu, C. An overview of the perception and mitigation of astringency associated with phenolic compounds. Compr. Rev. Food Sci. Food Saf. 2021, 20, 1036–1074. [Google Scholar] [CrossRef]
- Armstrong, C.E.J.; Ristic, R.; Boss, P.K.; Pagay, V.; Jeffery, D.W. Effect of grape heterogeneity on wine chemical composition and sensory attributes for Vitis vinifera cv. Cabernet Sauvignon. Aust. J. Grape Wine Res. 2021, 27, 206–218. [Google Scholar] [CrossRef]
- Apolinar-Valiente, R.; Williams, P.; Doco, T. Recent advances in the knowledge of wine oligosaccharides. Food Chem. 2021, 342, 128330. [Google Scholar] [CrossRef] [PubMed]
- Qiao, Y.; Xia, C.; Liu, L.; Tang, L.; Wang, J.; Xu, C.; Wang, J.; Zhang, L.; Ye, X.; Huang, Y.; et al. Structural characterization and emulsifier property of yeast mannoprotein enzymatically prepared with a β-1, 6-glucanase. LWT 2022, 168, 113898. [Google Scholar] [CrossRef]



| Yeast | Alcohol (v/v) | Titratable Acid (g L−1) † | Acetic Acid (g L−1) | pH | Glucose + Fructose (g L−1) | Color Intensity | Hue |
|---|---|---|---|---|---|---|---|
| Y1 | 12.25 ± 0.07 a | 3.70 ± 0.02 c | 0.34 ± 0.01 a | 3.50 ± 0.01 a | 1.63 ± 0.02 ab | 4.20 ± 0.99 a | 0.65 ± 0.01 a |
| Y2 | 12.05 ± 0.07 a | 3.99 ± 0.03 a | 0.29 ± 0.01 b | 3.49 ± 0.01 ab | 1.63 ± 0.01 ab | 4.05 ± 0.92 a | 0.61 ± 0.02 a |
| Y3 | 12.05 ± 0.07 a | 3.69 ± 0.06 c | 0.34 ± 0.01 a | 3.47 ± 0.01 b | 1.61 ± 0.01 ab | 4.30 ± 1.13 a | 0.61 ± 0.01 a |
| Y4 | 12.15 ± 0.07 a | 3.84 ± 0.04 b | 0.33 ± 0.01 a | 3.51 ± 0.01 a | 1.65 ± 0.01 a | 6.20 ± 2.26 a | 0.63 ± 0.04 a |
| Y5 | 12.30 ± 0.14 a | 3.74 ± 0.02 bc | 0.29 ± 0.01 b | 3.50 ± 0.01 a | 1.65 ± 0.01 a | 5.05 ± 0.78 a | 0.57 ± 0.01 a |
| Y6 | 12.15 ± 0.21 a | 3.77 ± 0.01 bc | 0.26 ± 0.01 b | 3.50 ± 0.01 a | 1.58 ± 0.01 b | 4.60 ± 0.01 a | 0.59 ± 0.01 a |
| p-value * | 0.3235 | 0.0007 | 0.0003 | 0.0142 | 0.0133 | 0.5501 | 0.0554 |
| Yeast | Alcohol (v/v) | Titratable Acid (g L−1) † | Acetic Acid (g L−1) | pH | Glucose + Fructose (g L−1) | Color Intensity | Hue |
|---|---|---|---|---|---|---|---|
| Y1 | 14.10 ± 0.01 a | 3.95 ± 0.08 a | 0.36 ± 0.01 a | 3.51 ± 0.02 a | 1.67 ± 0.01 a | 10.85 ± 0.78 ab | 0.61 ± 0.01 a |
| Y2 | 14.00 ± 0.14 a | 3.89 ± 0.12 ab | 0.22 ± 0.01 d | 3.51 ± 0.01 a | 1.67 ± 0.01 a | 11.85 ± 1.63 a | 0.60 ± 0.02 a |
| Y3 | 14.05 ± 0.49 a | 3.61 ± 0.10 b | 0.36 ± 0.01 ab | 3.49 ± 0.01 a | 1.69 ± 0.03 a | 9.00 ± 1.13 ab | 0.58 ± 0.02 a |
| Y4 | 13.95 ± 0.07 a | 3.70 ± 0.07 ab | 0.29 ± 0.02 bcd | 3.49 ± 0.02 a | 1.68 ± 0.01 a | 8.00 ± 0.42 b | 0.63 ± 0.07 a |
| Y5 | 14.20 ± 0.28 a | 3.67 ± 0.05 ab | 0.29 ± 0.03 abc | 3.52 ± 0.02 a | 1.68 ± 0.01 a | 9.80 ± 0.57 ab | 0.62 ± 0.02 a |
| Y6 | 13.85 ± 0.35 a | 3.69 ± 0.02 ab | 0.26 ± 0.02 cd | 3.49 ± 0.01 a | 1.68 ± 0.01 a | 8.50 ± 0.42 ab | 0.60 ± 0.03 a |
| p-value * | 0.8509 | 0.0292 | 0.0013 | 0.5128 | 0.8214 | 0.0383 | 0.7476 |
| Yeast (Y) | Mannose Concentration (mg L−1) | p-Value * | |
|---|---|---|---|
| Standard | Premium | ||
| Y1 | 206 ± 12 aA | 180 ± 5 aA | 0.1077 |
| Y2 | 166 ± 10 abA | 159 ± 1 aA | 0.4738 |
| Y3 | 197 ± 8 abA | 167 ± 1 aB | 0.0331 |
| Y4 | 170 ± 21 abA | 167 ± 11 aA | 0.8830 |
| Y5 | 167 ± 15 abA | 169 ± 2 aA | 0.9027 |
| Y6 | 145 ± 12 bA | 154 ± 12 aA | 0.5360 |
| p-value * | 0.0341 | 0.0803 | |
| Yeast | Wine Quality | p-Value * | |||
|---|---|---|---|---|---|
| Standard | Premium | ||||
| Viscosity (Pa·s) (×103) | R2 ** | Viscosity (Pa·s) (×103) | R2 ** | ||
| Y1 | 1.60 ± 0.01 aA | 0.970 | 1.95 ± 0.01 abA | 0.964 | 0.0887 |
| Y2 | 1.15 ± 0.01 bB | 0.995 | 1.85 ± 0.01 bcA | 0.949 | 0.0101 |
| Y3 | 1.20 ± 0.01 bB | 0.980 | 2.15 ± 0.01 aA | 0.954 | 0.0028 |
| Y4 | 1.25± 0.01 bB | 0.976 | 1.70 ± 0.01 cdA | 0.954 | 0.0121 |
| Y5 | 1.20 ± 0.01 bB | 0.956 | 1.45 ± 0.01 eA | 0.967 | 0.0377 |
| Y6 | 1.10 ± 0.01 bB | 0.985 | 1.60 ± 0.01 deA | 0.983 | 0.0194 |
| p-value * | 0.0037 | - | 0.0002 | - | |
| Yeast | Attribute | ||||||||
|---|---|---|---|---|---|---|---|---|---|
| Volume | Fat | Velvety Astringency | Drying Astringency | Bitter | Smoothness | Structured | Round | Quality in Mouth | |
| Y1 | 1.83 a | 1.63 a | 0.65 a | 2.19 a | 1.46 a | 1.75 a | 1.08 a | 0.92 a | 4.02 ab |
| Y2 | 1.38 a | 1.35 a | 0.58 a | 1.25 b | 0.81 ab | 1.71 a | 0.52 b | 0.50 a | 3.60 b |
| Y3 | 1.60 a | 1.79 a | 0.31 a | 1.13 b | 0.94 ab | 1.58 a | 1.08 a | 1.02 a | 4.02 ab |
| Y4 | 1.79 a | 1.63 a | 0.63 a | 2.54 a | 0.85 ab | 0.71 b | 0.94 a | 0.79 a | 4.31 ab |
| Y5 | 1.63 a | 1.54 a | 0.81 a | 1.83 ab | 0.63 b | 1.50 a | 0.96 a | 0.65 a | 4.85 a |
| Y6 | 1.67 a | 0.83 a | 0.48 a | 2.29 a | 0.90 ab | 1.25 ab | 0.54 b | 0.63 a | 3.98 ab |
| p-value * | 0.0800 | 0.0790 | 0.1394 | 0.0370 | 0.0389 | 0.0066 | 0.0271 | 0.0948 | 0.0490 |
| Yeast | Attribute | ||||||||
|---|---|---|---|---|---|---|---|---|---|
| Volume | Fat | Velvety Astringency | Drying Astringency | Bitter | Smoothness | Structured | Round | Quality in Mouth | |
| Y1P | 1.33 ab | 1.33 bcd | 0.48 c | 1.55 a | 0.75 a | 1.60 ab | 0.83 a | 0.65 b | 4.55 a |
| Y2P | 1.58 ab | 1.75 ab | 0.38 cd | 1.80 a | 0.48 a | 1.45 b | 1.10 a | 0.75 b | 4.98 a |
| Y3P | 1.93 a | 1.30 cd | 0.73 b | 1.53 a | 0.48 a | 1.70 ab | 0.95 a | 0.83 b | 4.75 a |
| Y4P | 1.20 ab | 1.08 d | 0.38 cd | 1.88 a | 0.98 a | 1.73 ab | 1.20 a | 0.83 b | 4.63 a |
| Y5P | 1.38 ab | 1.98 a | 0.98 a | 1.93 a | 0.78 a | 2.08 a | 1.30 a | 1.33 a | 5.50 a |
| Y6P | 1.05 b | 1.58 abc | 0.28 d | 1.68 a | 0.95 a | 1.50 ab | 0.95 a | 0.73 b | 4.55 a |
| p-value * | 0.0331 | 0.0013 | 0.0001 | 0.4497 | 0.0940 | 0.0467 | 0.3364 | 0.0038 | 0.1437 |
| Standard Quality | Premium Quality | |||||||||
|---|---|---|---|---|---|---|---|---|---|---|
| F1 | F2 | F3 | F4 | F5 | F1 | F2 | F3 | F4 | F5 | |
| Eigenvalue | 4.8 | 2.8 | 1.7 | 1.3 | 0.4 | 5.4 | 3.0 | 1.6 | 0.7 | 0.4 |
| Variability (%) | 43.3 | 25.3 | 15.7 | 12.1 | 3.5 | 48.7 | 27.4 | 14.1 | 6.4 | 3.4 |
| Cumulative % | 43.3 | 68.7 | 84.4 | 96.5 | 100.0 | 48.7 | 76.1 | 90.2 | 96.6 | 100.0 |
| Correlations | ||||||||||
| Mannose (mg L−1) | 0.921 | −0.365 | −0.084 | 0.074 | 0.078 | −0.058 | 0.432 | −0.795 | 0.110 | 0.408 |
| Viscosity (Pa s) | 0.857 | 0.070 | 0.282 | 0.415 | 0.090 | −0.736 | 0.650 | −0.018 | −0.189 | 0.008 |
| Volume | 0.679 | 0.645 | 0.293 | −0.147 | −0.127 | −0.099 | 0.933 | 0.215 | −0.254 | −0.098 |
| Fat | 0.738 | −0.164 | −0.556 | −0.068 | 0.338 | 0.672 | 0.097 | 0.525 | 0.497 | 0.129 |
| Velvety Astringency | −0.021 | 0.598 | −0.282 | 0.737 | 0.138 | 0.689 | 0.644 | −0.256 | 0.130 | −0.169 |
| Drying Astringency | 0.118 | 0.889 | 0.442 | −0.006 | 0.037 | 0.799 | −0.412 | 0.124 | −0.347 | 0.239 |
| Bitter | 0.721 | −0.164 | 0.647 | 0.184 | −0.017 | 0.140 | −0.851 | −0.475 | 0.062 | −0.165 |
| Smoothness | 0.162 | −0.733 | −0.037 | 0.574 | −0.326 | 0.824 | 0.240 | −0.484 | −0.020 | −0.169 |
| Structured | 0.908 | 0.113 | −0.376 | −0.118 | −0.083 | 0.877 | −0.152 | 0.085 | −0.443 | 0.058 |
| Round | 0.874 | −0.129 | −0.026 | −0.446 | −0.140 | 0.966 | 0.180 | −0.106 | 0.028 | −0.148 |
| Quality in Mouth | 0.169 | 0.684 | −0.638 | 0.076 | −0.302 | 0.914 | 0.325 | 0.197 | 0.072 | 0.124 |
| Factor Scores | ||||||||||
| Y1 | 3.577 | −0.072 | 1.355 | 1.282 | −0.075 | −2.258 | 0.475 | −1.511 | 0.904 | 0.708 |
| Y2 | −2.541 | −2.080 | 0.079 | 0.968 | 0.735 | −0.257 | 0.396 | 2.218 | −0.362 | 0.769 |
| Y3 | 1.567 | −2.211 | −0.928 | −1.624 | −0.312 | −1.409 | 2.838 | −0.002 | −0.409 | −0.803 |
| Y4 | 0.467 | 2.264 | −0.059 | −1.106 | 0.924 | 0.095 | −1.815 | −1.139 | −1.466 | 0.056 |
| Y5 | −0.544 | 1.354 | −2.167 | 1.084 | −0.513 | 4.885 | 0.563 | −0.383 | 0.492 | −0.019 |
| Y6 | −2.526 | 0.745 | 1.719 | −0.603 | −0.758 | −1.056 | −2.457 | 0.817 | 0.841 | −0.712 |
| Contributions (%) | ||||||||||
| Y1 | 44.7 | 0.0 | 17.7 | 20.6 | 0.2 | 15.9 | 1.2 | 24.5 | 19.4 | 22.3 |
| Y2 | 22.6 | 25.8 | 0.1 | 11.7 | 23.1 | 0.2 | 0.9 | 52.8 | 3.1 | 26.3 |
| Y3 | 8.6 | 29.2 | 8.3 | 33.1 | 4.2 | 6.2 | 44.5 | 0.0 | 4.0 | 28.7 |
| Y4 | 0.8 | 30.6 | 0.0 | 15.3 | 36.6 | 0.0 | 18.2 | 13.9 | 51.0 | 0.1 |
| Y5 | 1.0 | 11.0 | 45.3 | 14.7 | 11.3 | 74.3 | 1.8 | 1.6 | 5.7 | 0.0 |
| Y6 | 22.3 | 3.3 | 28.5 | 4.6 | 24.6 | 3.5 | 33.4 | 7.2 | 16.8 | 22.5 |
Disclaimer/Publisher’s Note: The statements, opinions and data contained in all publications are solely those of the individual author(s) and contributor(s) and not of MDPI and/or the editor(s). MDPI and/or the editor(s) disclaim responsibility for any injury to people or property resulting from any ideas, methods, instructions or products referred to in the content. |
© 2025 by the authors. Licensee MDPI, Basel, Switzerland. This article is an open access article distributed under the terms and conditions of the Creative Commons Attribution (CC BY) license (https://creativecommons.org/licenses/by/4.0/).
Share and Cite
Núñez, E.; Vidal, J.; Chávez, M.; Bordeu, E.; Osorio, F.; Vargas, S.; Hormazábal, E.; Brossard, N. Effect of Mannoprotein-Producing Yeast on Viscosity and Mouthfeel of Red Wine. Foods 2025, 14, 462. https://doi.org/10.3390/foods14030462
Núñez E, Vidal J, Chávez M, Bordeu E, Osorio F, Vargas S, Hormazábal E, Brossard N. Effect of Mannoprotein-Producing Yeast on Viscosity and Mouthfeel of Red Wine. Foods. 2025; 14(3):462. https://doi.org/10.3390/foods14030462
Chicago/Turabian StyleNúñez, Emerson, Josefina Vidal, Matías Chávez, Edmundo Bordeu, Fernando Osorio, Sebastián Vargas, Elba Hormazábal, and Natalia Brossard. 2025. "Effect of Mannoprotein-Producing Yeast on Viscosity and Mouthfeel of Red Wine" Foods 14, no. 3: 462. https://doi.org/10.3390/foods14030462
APA StyleNúñez, E., Vidal, J., Chávez, M., Bordeu, E., Osorio, F., Vargas, S., Hormazábal, E., & Brossard, N. (2025). Effect of Mannoprotein-Producing Yeast on Viscosity and Mouthfeel of Red Wine. Foods, 14(3), 462. https://doi.org/10.3390/foods14030462

