Comparative Analysis of Umami Substances and Potential Regulatory Genes in Six Economic Bivalves
Abstract
1. Introduction
2. Materials and Methods
2.1. Materials and Regents
2.2. Measurement of Umami Substances
2.2.1. Determination of Free Amino Acids Content
2.2.2. Determination of Free Nucleotides
2.2.3. Taste Intensity Value and MSG Equivalent
2.3. Identification and Validation of Candidate Genes
2.3.1. Candidate Gene Selection and Bioinformatic Analysis
2.3.2. Determination of Umami-Related Gene Expression
2.4. Statistical Analysis
3. Results
3.1. Flavor Characteristics and Taste Contribution of Amino Acids
3.1.1. Free Amino Acid
3.1.2. Taste Evaluation of Amino Acids
3.2. Umami Intensity and Synergistic Effect of Nucleotides
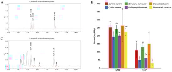
3.2.1. Flavor Nucleotide
3.2.2. Nucleotide Taste Evaluation and Monosodium Glutamate Equivalent
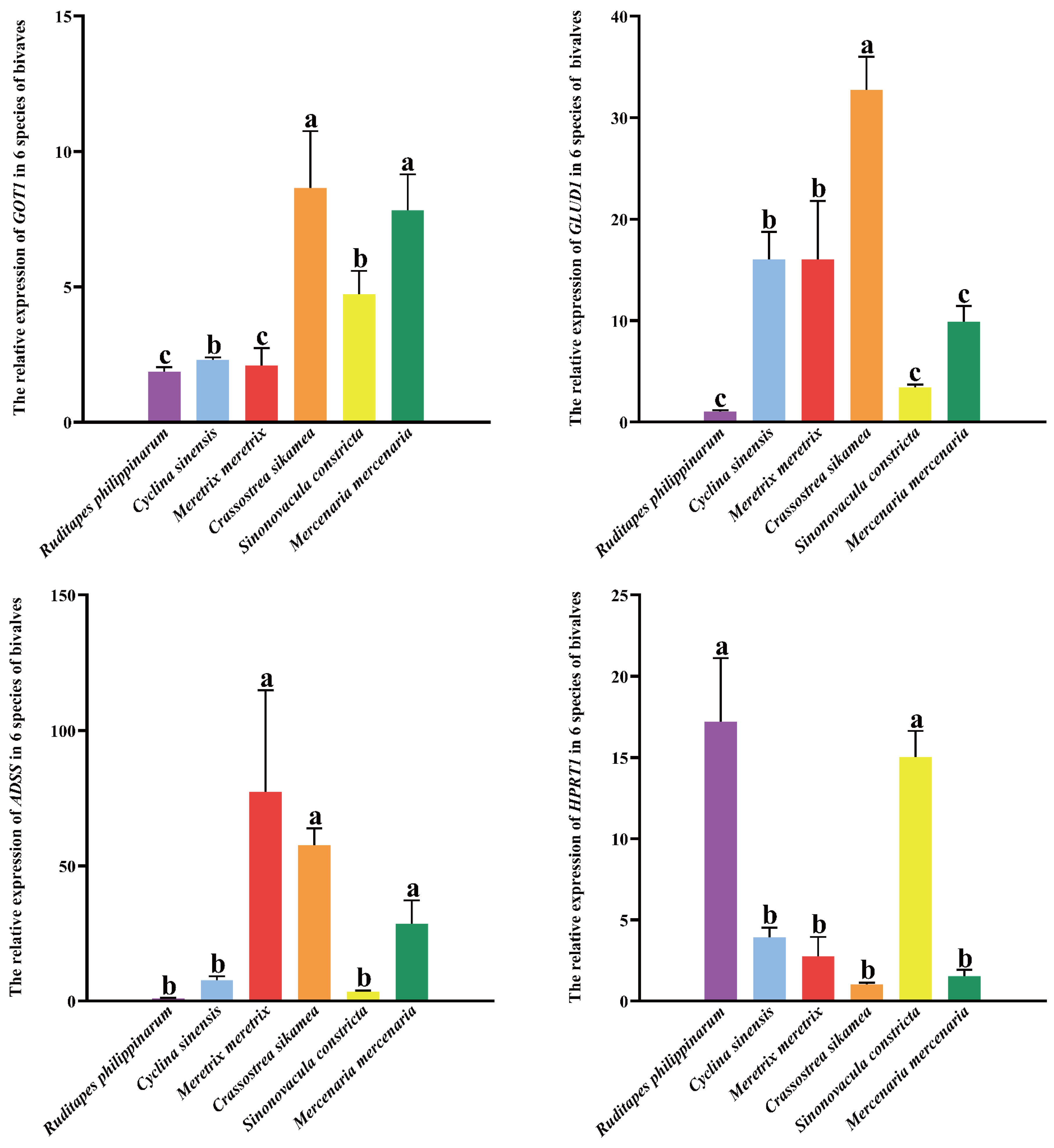
3.3. Evolutionary, Expression and Correlation Analyses of Umami Gene
3.3.1. Multiple Sequence Alignment Analysis
3.3.2. Analysis of Umami-Related Gene Expression
3.3.3. Pearson Correlation Analysis
4. Discussion
4.1. Analysis of Amino Acid Content Characteristics of Six Bivalves
4.2. Comparative Analysis of Nucleotide Composition of Six Bivalves
4.3. Potential Regulation Mechanism of Six Bivalvesumami Genes
5. Conclusions
Author Contributions
Funding
Institutional Review Board Statement
Informed Consent Statement
Data Availability Statement
Conflicts of Interest
Appendix A
| Species | Live Weight/g | Soft Weight/g | Shell Length/mm | Shell Meat Ratio |
|---|---|---|---|---|
| M. meretrix | 24.38 ± 2.97 | 10.30 ± 1.42 | 43.83 ± 2.15 | 1.37 ± 0.12 |
| C. sinensis | 13.59 ± 1.09 | 7.36 ± 0.75 | 33.13 ± 1.16 | 0.85 ± 0.11 |
| M. mercenaria | 26.91 ± 2.00 | 11.00 ± 1.01 | 44.00 ± 1.05 | 1.45 ± 0.15 |
| R. philippinarum | 10.21 ± 2.68 | 5.26 ± 1.47 | 37.02 ± 2.85 | 0.97 ± 0.28 |
| C. sikamea | 14.90 ± 4.13 | 3.91 ± 0.78 | 44.42 ± 5.47 | 2.87 ± 1.10 |
| S. constricta | 12.27 ± 1.02 | 9.22 ± 0.75 | 55.93 ± 1.91 | 0.33 ± 0.037 |

References
- Vandepitte, L.; Dekeyzer, S.; Decock, W.; Delgat, L.; Boydens, B.; Tyberghein, L.; Vanhoorne, B.; Hernandez, F.; Mees, J.; Horton, T.; et al. The World Register of Marine Species (WoRMS) through the looking glass: Insights from the data management team in light of the crystal anniversary of WoRMS. Hydrobiologia 2024, 852, 1–22. [Google Scholar] [CrossRef]
- Oglend, A. Challenges and opportunities with aquaculture growth. Aquac. Econ. Manag. 2020, 24, 123–127. [Google Scholar] [CrossRef]
- Fuke, S. Taste-active components of seafoods with special reference to umami substances. In Seafoods: Chemistry, Processing Technology and Quality; Springer: Berlin/Heidelberg, Germany, 1994; pp. 115–139. [Google Scholar]
- Wang, O.; Somogyi, S. Motives for luxury seafood consumption in first-tier cities in China. Food Qual. Prefer. 2020, 79, 103780. [Google Scholar] [CrossRef]
- Yamaguchi, S.; Ninomiya, K. Umami and food palatability. J. Nutr. 2000, 130, 921S–926S. [Google Scholar] [CrossRef]
- Venugopal, V.; Gopakumar, K. Shellfish: Nutritive value, health benefits, and consumer safety. Compr. Rev. Food Sci. Food Saf. 2017, 16, 1219–1242. [Google Scholar] [CrossRef]
- Wang, Y.; Li, C.; Zhao, Y.; Li, L.; Yang, X.; Wu, Y.; Chen, S.; Cen, J.; Yang, S.; Yang, D. Novel insight into the formation mechanism of volatile flavor in Chinese fish sauce (Yu-lu) based on molecular sensory and metagenomics analyses. Food Chem. 2020, 323, 126839. [Google Scholar] [CrossRef]
- Mei, J.; Liang, X.; Yu, Y.; Lang, Y.; Li, X. The comparison and analysis of nutritional qualities of Chinese mitten crabs (Eriocheir sinensis) in rice field and pond culture modes. Food Chem. X 2023, 20, 100937. [Google Scholar] [CrossRef]
- Tian, H.H.; Huang, X.H.; Qin, L. Insights into application progress of seafood processing technologies and their implications on flavor: A review. Crit. Rev. Food Sci. Nutr. 2024, 64, 13259–13274. [Google Scholar] [CrossRef]
- Bi, Y.; Song, A.; Pan, L.; Miao, J.; Zhou, Y.; Li, Z. Interference mechanism of benzo[a]pyrene exposure on the taste substance metabolisms in Ruditapes philippinarum. Environ. Sci. Pollut. Res. 2024, 31, 12019–12035. [Google Scholar] [CrossRef]
- Liu, C.; Gu, Z.; Lin, X.; Wang, Y.; Wang, A.; Sun, Y.; Shi, Y. Effects of high hydrostatic pressure (HHP) and storage temperature on bacterial counts, color change, fatty acids and non-volatile taste active compounds of oysters (Crassostrea ariakensis). Food Chem. 2022, 372, 131247. [Google Scholar] [CrossRef]
- Liu, Y.X.; Zhang, Y.Y.; Zheng, J.; Chen, J.-N.; Huang, X.-H.; Dong, X.-P.; Zhu, B.-W.; Qin, L. Seasonal variations in free amino acid, 5′-nucleotide, and lipid profiles of scallop (Patinopecten yessoensis) revealed by targeted and untargeted metabolomic approaches. LWT 2022, 154, 112881. [Google Scholar] [CrossRef]
- Schmidt, C.V.; Olsen, K.; Møller, P.; Mouritsen, O.G. Umami synergy as the scientific principle behind taste-pairing champagne and oysters. Sci. Rep. 2020, 10, 20071. [Google Scholar] [CrossRef] [PubMed]
- Zhang, X.; Ren, P.; Guan, J.; Gu, Z.; Yang, Y.; Wang, A.; Liu, C. Seasonal variation of biochemical composition and non-volatile taste active compounds in pearl oyster Pinctada fucata martensii from two selective strains. Fishes 2022, 7, 348. [Google Scholar] [CrossRef]
- Sun, Q.; Wang, Y.; Cai, Q.; Pang, T.; Lan, W.; Li, L. Comparative analysis of lipid components in fresh Crassostrea Hongkongensis (raw) and its dried products by using high-performance liquid chromatography/quadrupole time-of-flight mass spectrometry (HPLC/Q-TOF-MS). Front. Nutr. 2023, 10, 1123636. [Google Scholar] [CrossRef]
- Guan, L.; Yang, J.; Yuan, C.; Xie, X.; Huang, M.; Chen, X.; Hu, X.; Li, S.; Jing, G.; Chen, Z.; et al. Multi-omics analysis revealing the taste characteristics and formation mechanism of Ocimum. J. Pharm. Biomed. Anal. 2025, 267, 117130. [Google Scholar] [CrossRef]
- Jansonius, J.N. Structure, evolution and action of vitamin B6-dependent enzymes. Curr. Opin. Struct. Biol. 1998, 8, 759–769. [Google Scholar] [CrossRef]
- Keough, D.T.; Brereton, I.M.; De Jersey, J.; Emmerson, B.T. The crystal structure of free human hypoxanthine-guanine phosphoribosyltransferase reveals extensive conformational plasticity throughout the catalytic cycle. J. Mol. Biol. 2005, 351, 170–181. [Google Scholar] [CrossRef]
- Xu, Z.; Xiao, Q.; Zhang, M.; He, Y.; Zheng, Q.; Zhao, J.; Zuo, A.; Tang, J.; Zhou, Y.; Cao, S.; et al. Functional characterization of ampd1 and its SNPs in the muscle IMP synthesis of hybrid bream (Megalobrama amblycephala♀ × Culter alburnus♂). Aquaculture 2025, 609, 742772. [Google Scholar] [CrossRef]
- Chen, L.; Yu, F.; Sun, S.; Liu, X.; Sun, Z.; Cao, W.; Liu, S.; Li, Z.; Xue, C. Evaluation indicators of Ruditapes philippinarum nutritional quality. J. Food Sci. Technol. 2021, 58, 2943–2951. [Google Scholar] [CrossRef]
- Wen, X.; Chen, A.; Wu, Y.; Yang, Y.; Xu, Y.; Xia, W.; Zhang, Y.; Cao, Y.; Chen, S. Comparative evaluation of proximate compositions and taste attributes of three Asian hard clams (Meretrix meretrix) with different shell colors. Int. J. Food Prop. 2020, 23, 400–411. [Google Scholar] [CrossRef]
- Wang, S.; Zhang, M.; Liu, M.; Ge, H.; Li, X.; Lu, G.; Dong, Z. Unveiling Gender-Specific Annual Developmental, Nutritional, and Hormonal Variations in Cyclina sinensis: Insights for Aquaculture Optimization. Aquac. Rep. 2025, 45, 103177. [Google Scholar] [CrossRef]
- Zhang, Z.; Chen, S.; Chen, A.; Xu, Y.; Zhang, Y.; Yu, W.; Cao, Y.; Jia, C.; Wu, Y. Comparison of the flavor qualities between two varieties of Mercenaria mercenaria. Sci. Rep. 2023, 13, 13047. [Google Scholar] [CrossRef] [PubMed]
- Liu, S.; Xu, H.; Jian, S.; Xue, Q.; Lin, Z. Molecular basis of taste and micronutrient content in Kumamoto oysters (Crassostrea sikamea) and Portuguese oysters (Crassostrea angulata) from Xiangshan bay. Front. Physiol. 2021, 12, 713736. [Google Scholar] [CrossRef] [PubMed]
- Hu, Y.; Zhou, C.; Zhu, J.; Ke, A.; Xu, H.; Zheng, Y.; Xu, J. Influence of seasonality and gonad development on the nutritional quality and safety of the razor clam Sinonovacula constricta (Lamarck 1818). Food Sci. Technol. 2023, 43, e128022. [Google Scholar] [CrossRef]
- Chen, C.; Chen, H.; Zhang, Y.; Thomas, H.R.; Frank, M.H.; He, Y.H.; Xia, R. TBtools: An integrative toolkit developed for interactive analyses of big biological data. Mol. Plant 2020, 13, 1194–1202. [Google Scholar] [CrossRef]
- Ninomiya, K. Umami: A universal taste. Food Rev. Int. 2002, 18, 23–38. [Google Scholar] [CrossRef]
- Ghirri, A.; Bignetti, E. Occurrence and role of umami molecules in foods. Int. J. Food Sci. Nutr. 2012, 63, 871–881. [Google Scholar] [CrossRef]
- Dhamodharan, G.; Makame, J.; Nolden, A.A. Texture-Taste Interactions: Exploring the Effect of Thickener Concentration on the Sensory Perception of Sweet, Sour, and Salty Tastes. J. Texture Stud. 2025, 56, e70042. [Google Scholar] [CrossRef]
- Spaggiari, G.; Di Pizio, A.; Cozzini, P. Sweet, umami and bitter taste receptors: State of the art of in silico molecular modeling approaches. Trends Food Sci. Technol. 2020, 96, 21–29. [Google Scholar] [CrossRef]
- Melis, M.; Tomassini Barbarossa, I. Taste perception of sweet, sour, salty, bitter, and umami and changes due to l-arginine supplementation, as a function of genetic ability to taste 6-n-propylthiouracil. Nutrients 2017, 9, 541. [Google Scholar] [CrossRef]
- Rambhadran, A.; Gonzalez, J.; Jayaraman, V. Conformational changes at the agonist binding domain of the N-methyl-D-aspartic acid receptor. J. Biol. Chem. 2011, 286, 16953–16957. [Google Scholar] [CrossRef] [PubMed]
- Peng, H.; Dou, H.; He, S.; Xie, Y.A.; Zhang, Q.; Zheng, J. The role of GOT1 in cancer metabolism. Front. Oncol. 2024, 14, 1519046. [Google Scholar] [CrossRef] [PubMed]
- Choi, Y.; Wong, R.R.; Cha, Y.K.; Park, T.H.; Kim, Y.; Chung, S.J. Sweet–bitter taste interactions in binary mixtures of sweeteners: Relationship between taste receptor activities and sensory perception. Food Chem. 2024, 459, 140343. [Google Scholar] [CrossRef] [PubMed]
- Chu, X.; Zhu, W.; Li, X.; Su, E.; Wang, J. Bitter flavors and bitter compounds in foods: Identification, perception, and reduction techniques. Food Res. Int. 2024, 183, 114234. [Google Scholar] [CrossRef]
- Wang, X.; Wu, H.; Li, N.; Cheng, Y.; Wen, H.-M.; Liu, R.; Chai, C. Rapid determination of free amino acids, nucleosides, and nucleobases in commercial clam species harvested at different seasons in Jiangsu, China, using UFLC-MS/MS. Food Anal. Methods 2016, 9, 1520–1531. [Google Scholar] [CrossRef]
- Gibbons, T.C.; Rudman, S.M.; Schulte, P.M. Low temperature and low salinity drive putatively adaptive growth differences in populations of threespine stickleback. Sci. Rep. 2017, 7, 16766. [Google Scholar] [CrossRef]
- Hong, H.; Regenstein, J.M.; Luo, Y. The importance of ATP-related compounds for the freshness and flavor of post-mortem fish and shellfish muscle: A review. Crit. Rev. Food Sci. Nutr. 2017, 57, 1787–1798. [Google Scholar] [CrossRef]
- Chen, D.; Su, J.; Liu, X.; Yan, D.; Lin, Y. Taste Evaluation of Non-volatile Compounds in Bivalve Mollusks from Beibu Gulf, Guangxi. Food Sci. 2012, 33, 165–168. [Google Scholar]
- Wang, S.; He, Y.; Zhang, J.; Chen, S.; He, B. Comparison of taste and odour characteristics of three mass-produced aquaculture clams in China. Aquac. Res. 2020, 51, 664–673. [Google Scholar] [CrossRef]
- Wang, D.; Qiu, W.; Chen, S.; Song, X. Changes of ATP-related compounds and degradation pathways in Sinonovacula constricta and Meretrix meretrix during chilled storage. Food Ferment. Ind. 2016, 42, 228–233. [Google Scholar]
- Li, L.; Fu, Z.; Liu, Y.; Song, Z.; Yang, X.; Yu, D.; Wang, Q.; Chi, H.; Zheng, J. A Comprehensive and Comparative Study on the Biochemical Composition and Non-Volatile Taste Compounds of Thirteen Shellfish Species. Foods 2025, 14, 1595. [Google Scholar] [CrossRef]
- Dvoretsky, A.G.; Obluchinskaya, E.D.; Gorshenina, E.V.; Dvoretsky, V.G. Amino acid composition in different tissues of Iceland scallop from the Barents Sea. Animals 2024, 14, 230. [Google Scholar] [CrossRef] [PubMed]
- Gao, J.X.; Zhang, Y.Y.; Huang, X.H.; Liu, R.; Dong, X.-P.; Zhu, B.-W.; Qin, L. Comparison of amino acid, 5′-nucleotide and lipid metabolism of oysters (Crassostrea gigas Thunberg) captured in different seasons. Food Res. Int. 2021, 147, 110560. [Google Scholar] [CrossRef] [PubMed]
- Wang, C.; Chen, A.H.; Yao, G.Z.; Cao, Y.; Wu, Y.P.; Zhang, Y.; Cai, Y.X. Comparison and analysis of umami substances of four Meretrix meretrix populations. Mar. Sci. 2016, 40, 45–52. [Google Scholar]
- Kurihara, K. Umami the fifth basic taste: History of studies on receptor mechanisms and role as a food flavor. BioMed Res. Int. 2015, 2015, 189402. [Google Scholar] [CrossRef]
- Shigemura, N.; Shirosaki, S.; Sanematsu, K.; Yoshida, R.; Ninomiya, Y. Genetic and molecular basis of individual differences in human umami taste perception. PLoS ONE 2009, 4, e6717. [Google Scholar] [CrossRef]
- Zhu, Y.; Liu, J.; Liu, Y. Understanding the relationship between umami taste sensitivity and genetics, food-related behavior, and nutrition. Curr. Opin. Food Sci. 2023, 50, 100980. [Google Scholar] [CrossRef]
- Luczkowska, K.; Stekelenburg, C.; Sloan-Béna, F.; Ranza, E.; Gastaldi, G.; Schwitzgebel, V.; Maechler, P. Hyperinsulinism associated with GLUD1 mutation: Allosteric regulation and functional characterization of p.G446V glutamate dehydrogenase. Hum. Genom. 2020, 14, 9. [Google Scholar] [CrossRef]
- Kang, C.; Sun, N.; Poland, B.W.; Gorrell, A.; Honzatko, R.B.; Fromm, H.J. Residues essential for catalysis and stability of the active site of Escherichia coli adenylosuccinate synthetase as revealed by directed mutation and kinetics. J. Biol. Chem. 1997, 272, 11881–11885. [Google Scholar] [CrossRef]







| Species | Peak Peridos | Reference Basis |
|---|---|---|
| Ruditapes philippinarum | November | Glycine ↑ [20] |
| Meretrix meretrix | May | Glutamate ↑ [21] |
| Cyclina sinensis | September | Glutamate ↑ [22] |
| Mercenaria mercenaria | October | Glycine ↑ [23] |
| Crassostrea sikamea | February | Succinic acid ↑ [24] |
| Sinonovacula constricta | April | Glutamate ↑ [25] |
| Gene ID | Gene Name | Primer Information |
|---|---|---|
| XM-060710013.1 | RpGOT1 | F: CGAACGTGTGGGTAACTTGTG R: CCCGTTCAATGCTGGGTTGT |
| Hic-asm_15.687 | CsGOT1 | F: GGCAAGCCATGGGTTTTACC R: CAGCCAACCTGATAGCACCA |
| evm.TU.Chr1.1678 | MmGOT1 | F: AAGCCTTGGGTGTTGCCT R: AATCTGCCGCTAACCTGAGT |
| evm.TU.ptg000007l.378 | CpGOT1 | F: AAGGCAGCACCAGAAAAGAC R: TCCAAGTTACCAGAAGCGAA |
| Sco05g09590.1 | ScGOT1 | F: GTGAAGGCTCGTGTGATGTCTC R: GCAGCGTTGTTTAGGATGGTG |
| XM-045332602.2 | MeGOT1 | F: TGACTGCGCTTACCAAGGAT R: CACAGGTTTCCAACACGCTC |
| XM-060702916.1 | RpGLUD1 | F: ACCGTGTCATATTTCGAGTGGT R: CAGCAATACGCTCAGCAAAGT |
| Hic-asm12.361 | CsGLUD1 | F: ACTACCGACCAATCAGCAGC R: TCCTCCTCCAGCCCAAAT |
| evm.TU.Chr14.701 | MmGLUD1 | F: AGGGTTTTGGTAATGTGGGT R: CAAGTTGCCTTCATACGGTT |
| evm.TU.ptg000008l.359 | CpGLUD1 | F: GCCTTGGCTGCCCTAAT R: CTCATCTCCCTCTCTCGTGT |
| Sco17g03900.1 | ScGLUD1 | F: GAATGAAGATGAGGTGAACGC R: TACCCATGTCTGGAGCAGG |
| XM-045356148.2 | MeGLUD1 | F: GAATTTTGCTGCAAGCATCGC R: AAAGGTCAGACCAGCGTTGT |
| XM-060699380.1 | RpADSS | F: CAGGTGGATTCCCAACAGA R: GTTTAGTGATTGCCAACGCT |
| Hic-asm-10.1590 | CsADSS | F: AAGACGTGTAGGCTGGTTGG R: TCGCTGGAAAACTGTCCTCG |
| evm.TU.Chr13.1848 | MmADSS | F: CCGACGTCGTGTGTAGATGT R: TCCAACTTCTTCGGCAGCTT |
| evm.TU.ptg000008l.380 | CpADSS | F: TCCCCATAAAAAGCCTAGAACA R: CCCTGACAGCGACAGCAAA |
| Sco14g15190.1 | ScADSS | F: TCACGAGCAACACAACGGC R: CCCAACACGACAGAAACGC |
| Gene-LOC123545001 | MeADSS | F: TATGGTGGAGGGAGCACAGT R: CACCTGACCCAACCCTTGTT |
| XM-060697710.1 | RpHPRT1 | F: AGGGATTAGTGGCTCTGTGTG R: ACCTGACTGCTTGTCATCCAC |
| Hic-asm-3.404 | CsHPRT1 | F: AACCTTGAGAACCTGGCTGG R: TTTGTAGCCGACACTTCGCT |
| evm.TU. Chr8.253 | MmHPRT1 | F: CAACGTCGGGCTATATTGTGC R: AGCACACACAGCGCTACTAA |
| evm.TU.ptg000009l.10 | CpHPRT1 | F: TCCCACCCCCACAAAAG R: GGTCACGAGGACAGCAAAG |
| Sco04g04350.1 | ScHPRT1 | F: GGTCGCCCTATGTGTCTTG R: TCTCCCCTTCTGGCTTGTC |
| XM-045312230.2 | MeHPRT1 | F: TGAGACCTCAACACCACTTGC R: GGTGCGGCCAGTGTCTATAAT |
| Rp-reference gene | RpL3 | F: ACCATCAACCTTCACAAGAGG R: TGTTTCTACTCGGACATCTGG |
| Cs-reference gene | β-actin-1 | F: CACCACAACTGCCGAGAG R: CCGATAGTGATGACCTGACC |
| Mm-reference gene | β-actin-2 | F: TTGTCTGGTGGTTCAACTAT R: TCCACATCTGCTGGAAGGTG |
| Cs-reference gene | EF1α-1 | F: AGTCACCAAGGCTGCACAGAAAG R: TCCGACGTATTTCTTTGCGATGT |
| Sc-reference gene | RS9 | F: TGAAGTCTGGCGTGTCAAGT R: CGTCTCAAAAGGGCATTACC |
| Me-reference gene | EF1α-2 | F: AGTCGGTCGAGTTGAAACTGGTGT R: TCAGGAAGAGACTCGTGGTGCATT |
| Amino Acid | Content (mg/100 g) | |||||
|---|---|---|---|---|---|---|
| M. meretrix | C. sinensis | M. mercenaria | R. philippinarum | C. sikamea | S. constricta | |
| Total free amino acid | 3932.45 ± 230.30 ab | 4400.31 ± 235.00 bc | 4815.79 ± 1036.34 c | 4217.96 ± 637.97 ab | 4851.66 ± 852.28 c | 3783.93 ± 139.18 a |
| Nucleotide | Content (mg/100 g) | |||||
|---|---|---|---|---|---|---|
| M. meretrix | C. sinensis | M. mercenaria | R. philippinarum | C. sikamea | S. constricta | |
| GMP | 253.83 ± 27.46 a | 196.48 ± 19.44 c | 243.11 ± 25.96 ab | 203.02 ± 9.93 bc | 265.17 ± 100.1 a | 226.08 ± 22.66 abc |
| AMP | 111.14 ± 46.93 a | 51.08 ± 9.08 b | 131.29 ± 21.75 ac | 64.26 ± 14.1 b | 152.49 ± 66.28 c | 31.34 ± 17.04 b |
| Nucleotide | M. meretrix | C. sinensis | M. mercenaria | R. philippinarum | C. sikamea | S. constricta |
|---|---|---|---|---|---|---|
| GMP | 20.31 ± 2.20 a | 15.72 ± 1.56 c | 19.45 ± 2.08 ab | 16.24 ± 0.79 bc | 21.21 ± 8.01 a | 18.09 ± 1.81 abc |
| AMP | 2.22 ± 0.94 a | 1.02 ± 0.18 b | 2.63 ± 0.44 ac | 1.29 ± 0.28 b | 3.05 ± 1.33 c | 0.63 ± 0.34 b |
| Species | EUC (g MSG/100 g Dry Weight) |
|---|---|
| M. meretrix | 329.56 ± 35.60 ab |
| C. sinensis | 283.23 ± 28.05 bc |
| M. mercenaria | 284.93 ± 30.20 bc |
| R. philippinarum | 174.32 ± 8.54 d |
| C. sikamea | 449.35 ± 169.41 a |
| S. constricta | 214.08 ± 21.40 cd |
Disclaimer/Publisher’s Note: The statements, opinions and data contained in all publications are solely those of the individual author(s) and contributor(s) and not of MDPI and/or the editor(s). MDPI and/or the editor(s) disclaim responsibility for any injury to people or property resulting from any ideas, methods, instructions or products referred to in the content. |
© 2025 by the authors. Licensee MDPI, Basel, Switzerland. This article is an open access article distributed under the terms and conditions of the Creative Commons Attribution (CC BY) license (https://creativecommons.org/licenses/by/4.0/).
Share and Cite
Li, Z.; Shi, H.; Yao, H.; Lin, Z.; Li, J.; Dong, Y. Comparative Analysis of Umami Substances and Potential Regulatory Genes in Six Economic Bivalves. Foods 2025, 14, 4345. https://doi.org/10.3390/foods14244345
Li Z, Shi H, Yao H, Lin Z, Li J, Dong Y. Comparative Analysis of Umami Substances and Potential Regulatory Genes in Six Economic Bivalves. Foods. 2025; 14(24):4345. https://doi.org/10.3390/foods14244345
Chicago/Turabian StyleLi, Zheng, Heming Shi, Hanhan Yao, Zhihua Lin, Jiangwei Li, and Yinghui Dong. 2025. "Comparative Analysis of Umami Substances and Potential Regulatory Genes in Six Economic Bivalves" Foods 14, no. 24: 4345. https://doi.org/10.3390/foods14244345
APA StyleLi, Z., Shi, H., Yao, H., Lin, Z., Li, J., & Dong, Y. (2025). Comparative Analysis of Umami Substances and Potential Regulatory Genes in Six Economic Bivalves. Foods, 14(24), 4345. https://doi.org/10.3390/foods14244345
