Prebiotic Structural Diversity Shapes Gut Microbial Diversity, Community Composition, and Metabolic Activity In Vitro
Abstract
1. Introduction
2. Materials and Methods
2.1. Prebiotics and Chemicals
2.2. Gut Microbiota Preparation
2.3. In Vitro Gut Microbiota Culture
2.4. DNA Extraction and 16S rRNA Gene Sequencing
2.5. Sequencing Data Analysis
2.6. Short-Chain Fatty Acids Determination
2.7. Statistical Analysis
3. Results
3.1. Impacts of Prebiotics on Microbial Diversity
3.2. Microbiota Compositional Changes During In Vitro Culture with Five Prebiotics
3.3. Functional Prediction of Microbial Communities
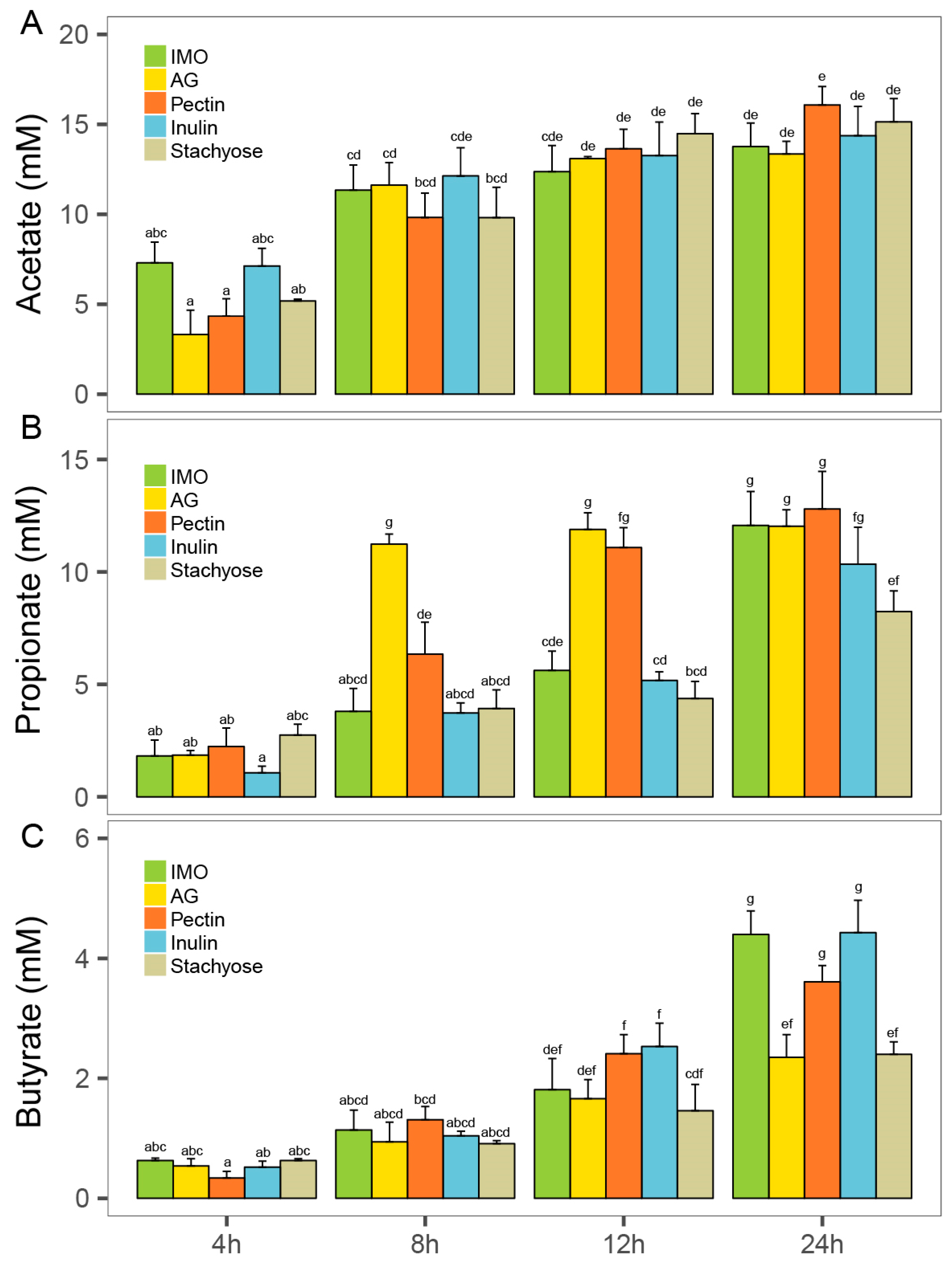
3.4. Effects of Five Prebiotics on SCFA Production
4. Discussion
5. Conclusions
Supplementary Materials
Author Contributions
Funding
Institutional Review Board Statement
Informed Consent Statement
Data Availability Statement
Conflicts of Interest
Abbreviations
| SCFAs | Short-chain fatty acids |
| IMO | Isomaltooligosaccharides |
| AG | Arabinogalactans |
References
- Ma, Z.; Zuo, T.; Frey, N.; Rangrez, A.Y. A Systematic Framework for Understanding the Microbiome in Human Health and Disease: From Basic Principles to Clinical Translation. Signal Transduct. Target. Ther. 2024, 9, 237. [Google Scholar] [CrossRef] [PubMed]
- Kadyan, S.; Park, G.; Singh, T.P.; Patoine, C.; Singar, S.; Heise, T.; Domeier, C.; Ray, C.; Kumar, M.; Behare, P.V.; et al. Microbiome-Based Therapeutics towards Healthier Aging and Longevity. Genome Med. 2025, 17, 75. [Google Scholar] [CrossRef] [PubMed]
- Fu, Y.; Guzior, D.V.; Okros, M.; Bridges, C.; Rosset, S.L.; González, C.T.; Martin, C.; Karunarathne, H.; Watson, V.E.; Quinn, R.A. Balance Between Bile Acid Conjugation and Hydrolysis Activity Can Alter Outcomes of Gut Inflammation. Nat. Commun. 2025, 16, 3434. [Google Scholar] [CrossRef]
- Morton, J.T.; Jin, D.-M.; Mills, R.H.; Shao, Y.; Rahman, G.; McDonald, D.; Zhu, Q.; Balaban, M.; Jiang, Y.; Cantrell, K.; et al. Multi-Level Analysis of the Gut–Brain Axis Shows Autism Spectrum Disorder-Associated Molecular and Microbial Profiles. Nat. Neurosci. 2023, 26, 1208–1217. [Google Scholar] [CrossRef]
- Cai, J.; Sun, L.; Gonzalez, F.J. Gut Microbiota-Derived Bile Acids in Intestinal Immunity, Inflammation, and Tumorigenesis. Cell Host Microbe 2022, 30, 289–300. [Google Scholar] [CrossRef]
- Li, J.; Chen, Z.; Wang, Q.; Du, L.; Yang, Y.; Guo, F.; Li, X.; Chao, Y.; Ma, Y. Microbial and Metabolic Profiles Unveil Mutualistic Microbe-Microbe Interaction in Obesity-Related Colorectal Cancer. Cell Rep. Med. 2024, 5, 101429. [Google Scholar] [CrossRef]
- Schirmer, M.; Garner, A.; Vlamakis, H.; Xavier, R.J. Microbial Genes and Pathways in Inflammatory Bowel Disease. Nat. Rev. Microbiol. 2019, 17, 497–511. [Google Scholar] [CrossRef]
- Chanda, D.; De, D. Meta-Analysis Reveals Obesity Associated Gut Microbial Alteration Patterns and Reproducible Contributors of Functional Shift. Gut Microbes 2024, 16, 2304900. [Google Scholar] [CrossRef]
- Dalile, B.; Van Oudenhove, L.; Vervliet, B.; Verbeke, K. The Role of Short-Chain Fatty Acids in Microbiota–Gut–Brain Communication. Nat. Rev. Gastroenterol. Hepatol. 2019, 16, 461–478. [Google Scholar] [CrossRef]
- Zheng, B.; Wen, H.; Zhong, Y.; Zheng, B.; Xiang, X.; Chen, L. Key Structural Domains of Resistant Starch and Their Role in Modulating Gut Microbiota and Short-Chain Fatty Acids Production. Food Hydrocoll. 2025, 172, 112014. [Google Scholar] [CrossRef]
- Morrison, D.J.; Preston, T. Formation of Short Chain Fatty Acids by the Gut Microbiota and Their Impact on Human Metabolism. Gut Microbes 2016, 7, 189–200. [Google Scholar] [CrossRef]
- Mann, E.R.; Lam, Y.K.; Uhlig, H.H. Short-Chain Fatty Acids: Linking Diet, the Microbiome and Immunity. Nat. Rev. Immunol. 2024, 24, 577–595. [Google Scholar] [CrossRef]
- Rooks, M.G.; Garrett, W.S. Gut Microbiota, Metabolites and Host Immunity. Nat. Rev. Immunol. 2016, 16, 341–352. [Google Scholar] [CrossRef] [PubMed]
- Gaudier, E.; Jarry, A.; Blottière, H.M.; de Coppet, P.; Buisine, M.P.; Aubert, J.P.; Laboisse, C.; Cherbut, C.; Hoebler, C. Butyrate Specifically Modulates MUC Gene Expression in Intestinal Epithelial Goblet Cells Deprived of Glucose. Am. J. Physiol. Gastrointest. Liver Physiol. 2004, 287, G1168–G1174. [Google Scholar] [CrossRef] [PubMed]
- Hao, F.; Tian, M.; Zhang, X.; Jin, X.; Jiang, Y.; Sun, X.; Wang, Y.; Peng, P.; Liu, J.; Xia, C.; et al. Butyrate Enhances CPT1A Activity to Promote Fatty Acid Oxidation and iTreg Differentiation. Proc. Natl. Acad. Sci. USA 2021, 118, e2014681118. [Google Scholar] [CrossRef]
- Lloyd-Price, J.; Arze, C.; Ananthakrishnan, A.N.; Schirmer, M.; Avila-Pacheco, J.; Poon, T.W.; Andrews, E.; Ajami, N.J.; Bonham, K.S.; Brislawn, C.J.; et al. Multi-Omics of the Gut Microbial Ecosystem in Inflammatory Bowel Diseases. Nature 2019, 569, 655–662. [Google Scholar] [CrossRef]
- Gibson, G.R.; Hutkins, R.; Sanders, M.E.; Prescott, S.L.; Reimer, R.A.; Salminen, S.J.; Scott, K.; Stanton, C.; Swanson, K.S.; Cani, P.D.; et al. Expert Consensus Document: The International Scientific Association for Probiotics and Prebiotics (ISAPP) Consensus Statement on the Definition and Scope of Prebiotics. Nat. Rev. Gastroenterol. Hepatol. 2017, 14, 491–502. [Google Scholar] [CrossRef]
- Deehan, E.C.; Al Antwan, S.; Witwer, R.S.; Guerra, P.; John, T.; Monheit, L. Revisiting the Concepts of Prebiotic and Prebiotic Effect in Light of Scientific and Regulatory Progress—A Consensus Paper From the Global Prebiotic Association. Adv. Nutr. 2024, 15, 100329. [Google Scholar] [CrossRef]
- Li, J.; Liu, F.; Luo, Y.; Wijeyesekera, A.; Wang, S.; Chen, X.; Lv, Y.; Jin, J.; Sheng, H.; Wang, G.; et al. Differential Effects of Inulin and Fructooligosaccharides on Gut Microbiota Composition and Glycemic Metabolism in Overweight/Obese and Healthy Individuals: A Randomized, Double-Blind Clinical Trial. BMC Med. 2025, 23, 372. [Google Scholar] [CrossRef]
- Yang, J.; Hou, L.; Wang, A.; Shang, L.; Jia, X.; Xu, R.; Wang, X. Prebiotics Improve Frailty Status in Community-Dwelling Older Individuals in a Double-Blind, Randomized, Controlled Trial. J. Clin. Invest. 2024, 134, e176507. [Google Scholar] [CrossRef] [PubMed]
- Zeng, M.; van Pijkeren, J.-P.; Pan, X. Gluco-Oligosaccharides as Potential Prebiotics: Synthesis, Purification, Structural Characterization, and Evaluation of Prebiotic Effect. Compr. Rev. Food Sci. Food Saf. 2023, 22, 2611–2651. [Google Scholar] [CrossRef]
- Chung, W.S.F.; Walker, A.W.; Louis, P.; Parkhill, J.; Vermeiren, J.; Bosscher, D.; Duncan, S.H.; Flint, H.J. Modulation of the Human Gut Microbiota by Dietary Fibres Occurs at the Species Level. BMC Biol. 2016, 14, 3. [Google Scholar] [CrossRef]
- Hutkins, R.; Walter, J.; Gibson, G.R.; Bedu-Ferrari, C.; Scott, K.; Tancredi, D.J.; Wijeyesekera, A.; Sanders, M.E. Classifying Compounds as Prebiotics—Scientific Perspectives and Recommendations. Nat. Rev. Gastroenterol. Hepatol. 2025, 22, 54–70. [Google Scholar] [CrossRef]
- Ojima, M.N.; Yoshida, K.; Sakanaka, M.; Jiang, L.; Odamaki, T.; Katayama, T. Ecological and Molecular Perspectives on Responders and Non-Responders to Probiotics and Prebiotics. Curr. Opin. Biotechnol. 2022, 73, 108–120. [Google Scholar] [CrossRef]
- Clavel, T.; Faber, F.; Groussin, M.; Haller, D.; Overmann, J.; Pauvert, C.; Poyet, M.; Selkrig, J.; Stecher, B.; Typas, A.; et al. Enabling Next-Generation Anaerobic Cultivation through Biotechnology to Advance Functional Microbiome Research. Nat. Biotechnol. 2025, 43, 878–888. [Google Scholar] [CrossRef]
- Tidjani Alou, M.; Naud, S.; Khelaifia, S.; Bonnet, M.; Lagier, J.-C.; Raoult, D. State of the Art in the Culture of the Human Microbiota: New Interests and Strategies. Clin. Microbiol. Rev. 2020, 34, e00129-19. [Google Scholar] [CrossRef] [PubMed]
- Fu, Y.; Wang, Y.; Wang, X.; Sun, Y.; Ren, J.; Fang, B. Responses of Human Gut Microbiota Abundance and Amino Acid Metabolism In Vitro to Berberine. Food Funct. 2022, 13, 6329–6337. [Google Scholar] [CrossRef] [PubMed]
- Fu, Y.; Chen, K.; Zhang, J.; Xiao, C.; Fan, L.; Zhang, B.; Ren, J.; Fang, B. Evaluation of the Effects of Four Media on Human Intestinal Microbiota Culture In Vitro. AMB Express 2019, 9, 69. [Google Scholar] [CrossRef] [PubMed]
- Fu, Y.; Zhang, J.; Chen, K.; Xiao, C.; Fan, L.; Zhang, B.; Ren, J.; Fang, B. An In Vitro Fermentation Study on the Effects of Dendrobium Officinale Polysaccharides on Human Intestinal Microbiota from Fecal Microbiota Transplantation Donors. J. Funct. Foods 2019, 53, 44–53. [Google Scholar] [CrossRef]
- Caporaso, J.G.; Kuczynski, J.; Stombaugh, J.; Bittinger, K.; Bushman, F.D.; Costello, E.K.; Fierer, N.; Peña, A.G.; Goodrich, J.K.; Gordon, J.I.; et al. QIIME Allows Analysis of High-Throughput Community Sequencing Data. Nat. Methods 2010, 7, 335–336. [Google Scholar] [CrossRef]
- Shade, A. Diversity Is the Question, not the Answer. ISME J. 2017, 11, 1–6. [Google Scholar] [CrossRef]
- Kalita, P.; Rahman, M.T.; Haloi, P.; Bora, N.S.; Pachuau, L. Pectin in Gut Health and beyond: A Review. Int. J. Biol. Macromol. 2025, 322, 146954. [Google Scholar] [CrossRef]
- Cummings, J.H.; Macfarlane, G.T. Gastrointestinal Effects of Prebiotics. Br. J. Nutr. 2002, 87 (Suppl. 2), S145–S151. [Google Scholar] [CrossRef] [PubMed]
- Zhang, Z.; Wu, J.; Zhang, Z.; Liu, S.; Yang, Z.; Wang, J.; Liu, Y.; Li, S.; He, N.; Li, N. Application of Prebiotic Stachyose on Metabolic Diseases and Other Human Diseases through Regulation of Gut Microbiota. J. Funct. Foods 2025, 127, 106778. [Google Scholar] [CrossRef]
- Nie, Q.; Sun, Y.; Li, M.; Zuo, S.; Chen, C.; Lin, Q.; Nie, S. Targeted Modification of Gut Microbiota and Related Metabolites via Dietary Fiber. Carbohydr. Polym. 2023, 316, 120986. [Google Scholar] [CrossRef] [PubMed]
- Dicks, L.M.T. How Important Are Fatty Acids in Human Health and Can They Be Used in Treating Diseases? Gut Microbes 2024, 16, 2420765. [Google Scholar] [CrossRef]
- Yang, Y.-C.; Chang, S.-C.; Hung, C.-S.; Shen, M.-H.; Lai, C.-L.; Huang, C.-J. Gut-Microbiota-Derived Metabolites and Probiotic Strategies in Colorectal Cancer: Implications for Disease Modulation and Precision Therapy. Nutrients 2025, 17, 2501. [Google Scholar] [CrossRef]
- Schwartz, L.A.; Norman, J.O.; Hasan, S.; Adamek, O.E.; Dzuong, E.; Lowenstein, J.C.; Yost, O.G.; Sankaran, B.; McLaughlin, K.J. Carbohydrate Deacetylase Unique to Gut Microbe Bacteroides Reveals Atypical Structure. Biochemistry 2025, 64, 180–191. [Google Scholar] [CrossRef]
- Zafar, H.; Saier, M.H. Gut Bacteroides Species in Health and Disease. Gut Microbes 2021, 13, 1–20. [Google Scholar] [CrossRef]
- da Rocha, I.M.G.; Torrinhas, R.; Fonseca, D.; Lyra, C.d.O.; de Sousa Alves Neri, J.L.; Balmant, B.D.; Callado, L.; Charlton, K.; Queiroz, N.; Waitzberg, D.L. Pro-Inflammatory Diet Is Correlated with High Veillonella Rogosae, Gut Inflammation and Clinical Relapse of Inflammatory Bowel Disease. Nutrients 2023, 15, 4148. [Google Scholar] [CrossRef]
- Singh, V.; Lee, G.; Son, H.; Koh, H.; Kim, E.S.; Unno, T.; Shin, J.-H. Butyrate Producers, “The Sentinel of Gut”: Their Intestinal Significance with and beyond Butyrate, and Prospective Use as Microbial Therapeutics. Front. Microbiol. 2023, 13, 1103836. [Google Scholar] [CrossRef] [PubMed]
- Shi, Z.; Jiang, W.; Li, H.; Zhang, Y.; Xue, W.; Wang, Y.; Zhang, M.; Li, Z. Faecalibacterium Prausnitzii Promotes Anti-PD-L1 Efficacy in Natural Killer/T-Cell Lymphoma by Enhancing Antitumor Immunity. BMC Med. 2025, 23, 387. [Google Scholar] [CrossRef] [PubMed]





Disclaimer/Publisher’s Note: The statements, opinions and data contained in all publications are solely those of the individual author(s) and contributor(s) and not of MDPI and/or the editor(s). MDPI and/or the editor(s) disclaim responsibility for any injury to people or property resulting from any ideas, methods, instructions or products referred to in the content. |
© 2025 by the authors. Licensee MDPI, Basel, Switzerland. This article is an open access article distributed under the terms and conditions of the Creative Commons Attribution (CC BY) license (https://creativecommons.org/licenses/by/4.0/).
Share and Cite
Fu, Y.; Wang, Y.; Zhang, J.; Ren, J.; Fang, B. Prebiotic Structural Diversity Shapes Gut Microbial Diversity, Community Composition, and Metabolic Activity In Vitro. Foods 2025, 14, 3774. https://doi.org/10.3390/foods14213774
Fu Y, Wang Y, Zhang J, Ren J, Fang B. Prebiotic Structural Diversity Shapes Gut Microbial Diversity, Community Composition, and Metabolic Activity In Vitro. Foods. 2025; 14(21):3774. https://doi.org/10.3390/foods14213774
Chicago/Turabian StyleFu, Yousi, Yali Wang, Junnan Zhang, Jianlin Ren, and Baishan Fang. 2025. "Prebiotic Structural Diversity Shapes Gut Microbial Diversity, Community Composition, and Metabolic Activity In Vitro" Foods 14, no. 21: 3774. https://doi.org/10.3390/foods14213774
APA StyleFu, Y., Wang, Y., Zhang, J., Ren, J., & Fang, B. (2025). Prebiotic Structural Diversity Shapes Gut Microbial Diversity, Community Composition, and Metabolic Activity In Vitro. Foods, 14(21), 3774. https://doi.org/10.3390/foods14213774

