Zn Biofortification of Dutch Cucumbers with Chemically Modified Spent Coffee Grounds: Zn Enrichment and Nutritional Implications
Abstract
1. Introduction
2. Materials and Methods
2.1. SCGs Bio-Products
2.2. Greenhouse Experiment
2.3. Crop Maintenance
2.4. Plant Sampling and Processing
2.5. Zn Determination
2.6. In Vitro Digestion and Fermentation
2.7. Antioxidant Tests
2.7.1. Trolox Equivalent Antioxidant Capacity Referred to Reducing Capacity (TEACFRAP Assay)
2.7.2. Trolox Equivalent Antioxidant Capacity against DPPH Radicals (TEACDPPH Assay)
2.7.3. Trolox Equivalent Antioxidant Capacity against ABTS+ Radicals (TEACABTS Assay)
2.7.4. Total Phenolic Content: Folin–Ciocalteu (FC) Assay
2.8. Short-Chain Fatty Acids Analysis
2.9. Calculations of Daily Antioxidant and Zn Intakes
2.10. Statistical Analysis
3. Results
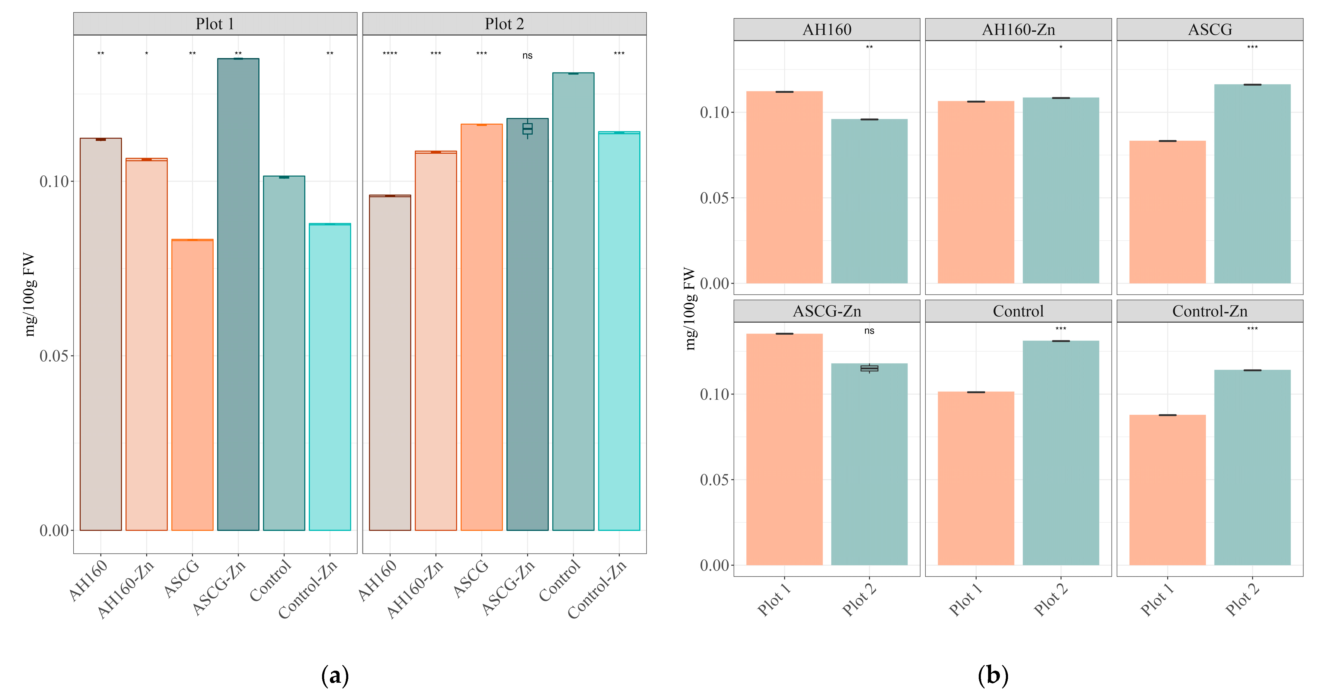
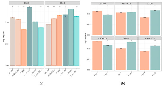
3.1. Zn Content
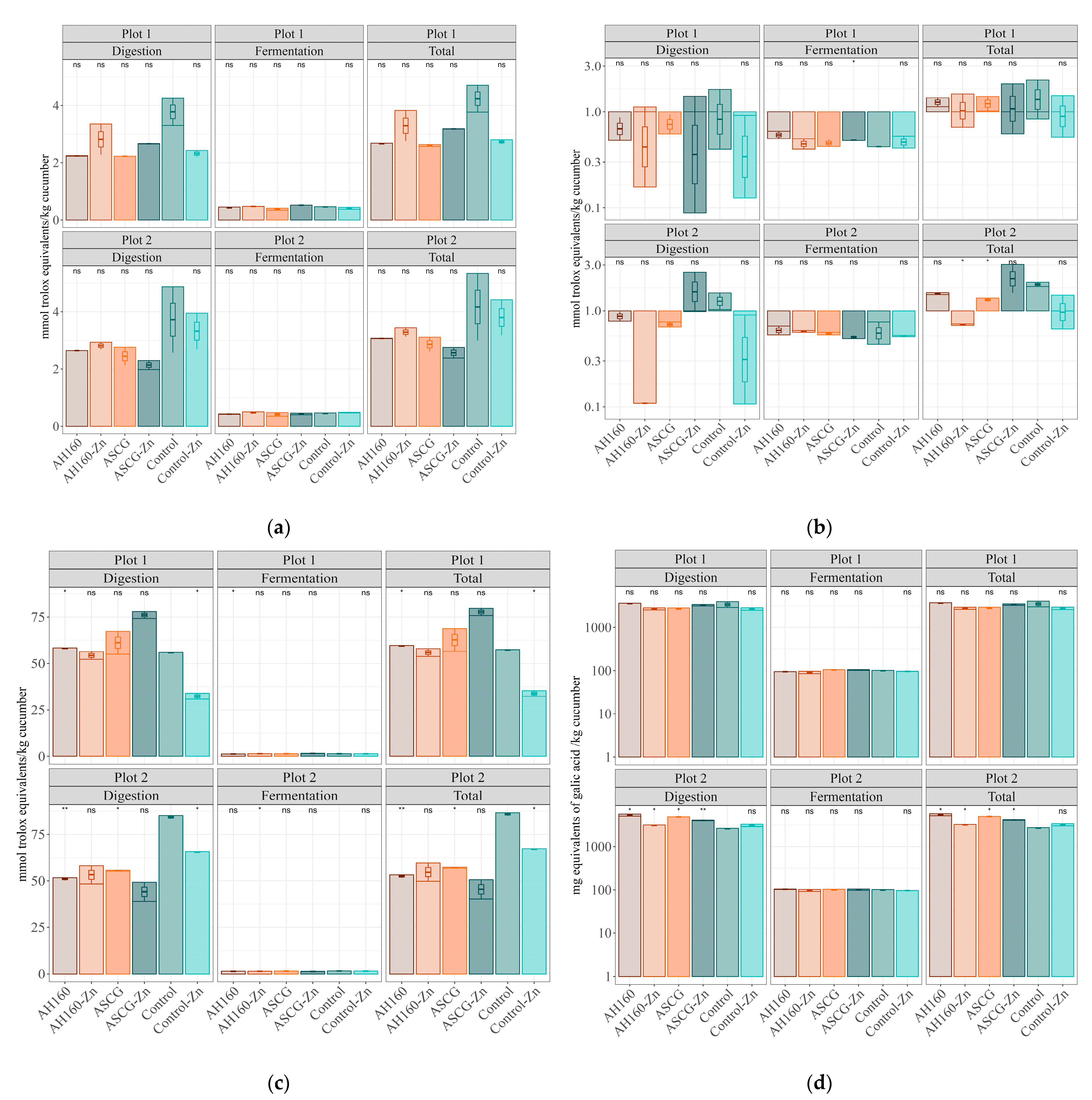
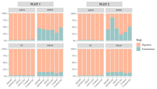
3.2. Antioxidant Capacity
Differences in Antioxidant Capacity in the In Vitro Digestion–Fermentation Fractions
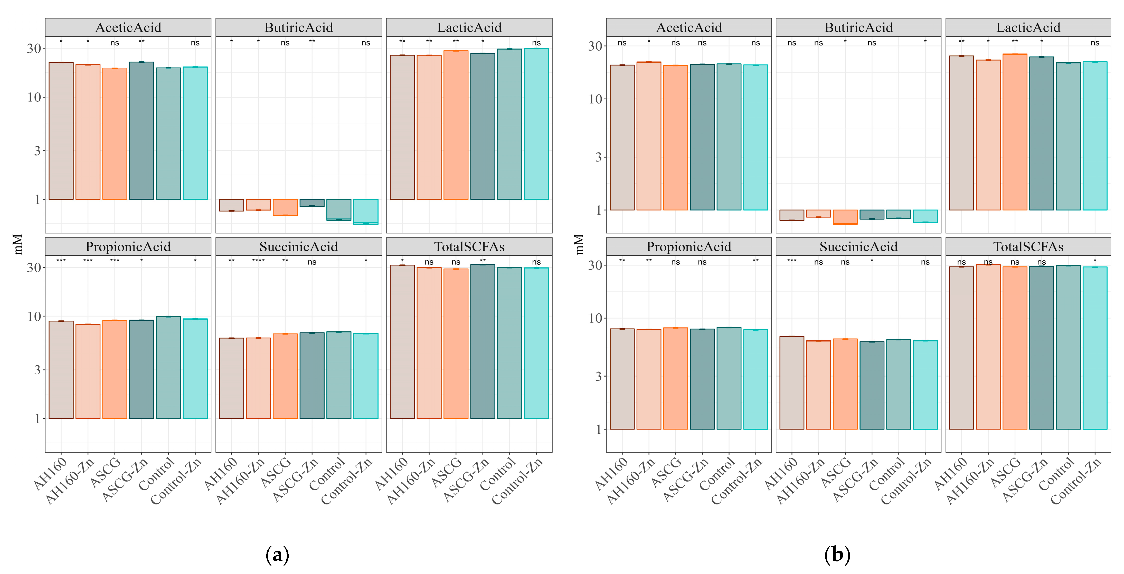
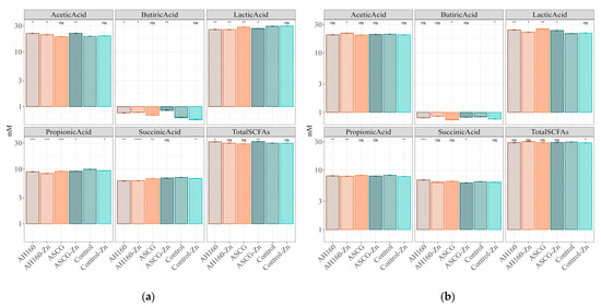
3.3. Short-Chain Fatty Acids Produced after In Vitro Fermentation
3.4. Influence of the Different Study Variables in Both Plots
4. Discussion
5. Conclusions
Author Contributions
Funding
Institutional Review Board Statement
Informed Consent Statement
Data Availability Statement
Acknowledgments
Conflicts of Interest
Abbreviations
References
- Kamil, M.; Ramadan, K.M.; Awad, O.I.; Ibrahim, T.K.; Inayat, A.; Ma, X. Environmental impacts of biodiesel production from waste spent coffee grounds and its implementation in a compression ignition engine. Sci. Total Environ. 2019, 675, 13–30. [Google Scholar] [CrossRef] [PubMed]
- Pérez-Burillo, S.; Cervera-Mata, A.; Fernández-Arteaga, A.; Pastoriza, S.; Rufián-Henares, J.Á.; Delgado, G. Why should we be concerned with the use of spent coffee grounds as an organic amendment of soils? A Narrative Review. Agronomy 2022, 12, 2771. [Google Scholar] [CrossRef]
- Lara-Ramos, L.; Cervera-Mata, A.; Fernández-Bayo, J.; Navarro-Alarcón, M.; Delgado, G.; Fernández-Arteaga, A. hydrochars derived from spent coffee grounds as Zn bio-chelates for agronomic biofortification. Sustainability 2023, 15, 10700. [Google Scholar] [CrossRef]
- Palansooriya, K.N.; Ok, Y.S.; Awad, Y.M.; Lee, S.S.; Sung, J.-K.; Koutsospyros, A.; Moon, D.H. Impacts of biochar application on upland agriculture: A review. J. Environ. Manag. 2019, 234, 52–64. [Google Scholar] [CrossRef] [PubMed]
- Garbowski, T.; Bar-Michalczyk, D.; Charazińska, S.; Grabowska-Polanowska, B.; Kowalczyk, A.; Lochyński, P. An overview of natural soil amendments in agriculture. Soil Till. Res. 2023, 225, 105462. [Google Scholar] [CrossRef]
- Larney, F.J.; Angers, D.A. The role of organic amendments in soil reclamation: A review. Can. J. Soil Sci. 2012, 92, 19–38. [Google Scholar] [CrossRef]
- Szerement, J.; Szatanik-Kloc, A.; Mokrzycki, J.; Mierzwa-Hersztek, M. Agronomic biofortification with Se, Zn, and Fe: An effective strategy to enhance crop nutritional quality and stress defense—A review. J. Soil Sci. Plant Nutr. 2022, 22, 1129–1159. [Google Scholar] [CrossRef]
- Buturi, C.V.; Mauro, R.P.; Fogliano, V.; Leonardi, C.; Giuffrida, F. Mineral biofortification of vegetables as a tool to improve human diet. Foods 2021, 10, 223. [Google Scholar] [CrossRef] [PubMed]
- Di Gioia, F.; Petropoulos, S.A.; Ozores-Hampton, M.; Morgan, K.; Rosskopf, E.N. Zn and iron agronomic biofortification of brassicaceae microgreens. Agronomy 2019, 9, 667. [Google Scholar] [CrossRef]
- Sharma, V.; Sharma, L.; Sandhu, K.S. Cucumber (Cucumis sativus L.). In Antioxidants in Vegetables and Nuts—Properties and Health Benefits; Nayik, G.A., Gull, A., Eds.; Springer: Singapore, 2020; pp. 333–340. [Google Scholar]
- Thomson, C.; Garcia, A.L.; Edwards, C.A. Interactions between Dietary Fibre and the Gut Microbiota. Proc. Nutr. Soc. 2021, 80, 398–408. [Google Scholar] [CrossRef]
- Campos-Perez, W.; Martinez-Lopez, E. Effects of Short Chain Fatty Acids on Metabolic and Inflammatory Processes in Human Health. Biochim. Biophys. Acta Mol. Cell Biol. Lipids 2021, 1866, 158900. [Google Scholar] [CrossRef] [PubMed]
- Navajas-Porras, B.; Pérez-Burillo, S.; Valverde-Moya, Á.J.; Hinojosa-Nogueira, D.; Pastoriza, S.; Rufián-Henares, J.A. Effect of Cooking Methods on the Antioxidant Capacity of Plant Foods Submitted to In Vitro Digestion–Fermentation. Antioxidants 2021, 9, 1312. [Google Scholar] [CrossRef] [PubMed]
- Ofori, K.F.; Antoniello, S.; English, M.M.; Aryee, A.N.A. Improving nutrition through biofortification-A systematic review. Front. Nutr. 2022, 9, 1043655. [Google Scholar] [CrossRef] [PubMed]
- Zhao, A.; Yang, S.; Wang, B.; Tian, X. Effects of ZnSO4 and Zn-EDTA applied by broadcasting or by banding on soil Zn fractions and Zn uptake by wheat (Triticum aestivum L.) under greenhouse conditions. J. Plant Nutr. Soil Sci. 2019, 182, 307–317. [Google Scholar] [CrossRef]
- Pérez-Burillo, S.; Molino, S.; Navajas-Porras, B.; Valverde-Moya, A.J.; Hinojosa-Nogueira, D.; López-Maldonado, A.; Pastoriza, S.; Rufián-Henares, J.A. An in vitro batch fermentation protocol for studying the contribution of food to gut microbiota composition and functionality. Nat. Prot. 2021, 16, 3186–3209. [Google Scholar] [CrossRef] [PubMed]
- Dello Russo, M.; Russo, P.; Rufián-Henares, J.Á.; Hinojosa-Nogueira, D.; Pérez-Burillo, S.; de la Cueva, S.P.; Rohn, S.; Fatouros, A.; Douros, K.; González-Vigil, V.; et al. The Stance4Health Project: Evaluating a Smart Personalised Nutrition Service for Gut Microbiota Modulation in Normal- and Overweight Adults and Children with Obesity, Gluten-Related Disorders or Allergy/Intolerance to Cow’s Milk. Foods 2022, 11, 1480. [Google Scholar] [CrossRef] [PubMed]
- Pastoriza, S.; Delgado-Andrade, C.; Haro, A.; Rufián-Henares, J.A. A physiologic approach to test the global antioxidant response of foods. The GAR method. Food Chem. 2011, 129, 1926–1932. [Google Scholar] [CrossRef]
- Benzie, I.F.; Strain, J.J. The ferric reducing ability of plasma (FRAP) as a measure of «antioxidant power»: The FRAP assay. Anal. Biochem. 1996, 239, 70–76. [Google Scholar] [CrossRef] [PubMed]
- Yen, G.-C.; Chen, H.-Y. Antioxidant Activity of Various Tea Extracts in Relation to Their Antimutagenicity. J. Agric. Food Chem. 1995, 43, 27–32. [Google Scholar] [CrossRef]
- Ozgen, M.; Reese, R.N.; Tulio, A.Z.; Scheerens, J.C.; Miller, A.R. Modified 2,2-Azino-bis-3-ethylbenzothiazoline-6-sulfonic Acid (ABTS) Method to Measure Antioxidant Capacity of Selected Small Fruits and Comparison to Ferric Reducing Antioxidant Power (FRAP) and 2,2‘-Diphenyl-1-picrylhydrazyl (DPPH) Methods. J. Agric. Food Chem. 2006, 54, 1151–1157. [Google Scholar] [CrossRef]
- Singleton, V.L.; Rossi, J.A. Colorimetry of total phenolics with phosphomolybdic-phosphotungstic acid reagents. Am. J. Enol. Vitic. 1965, 16, 144–158. [Google Scholar] [CrossRef]
- Panzella, L.; Pérez-Burillo, S.; Pastoriza, S.; Martín, M.A.; Cerruti, P.; Goya, L.; Ramos, S.; Rufián-Henares, J.A.; Napolitano, A.; d’Ischia, M. High antioxidant action and prebiotic activity of hydrolyzed spent coffee grounds (hscg) in a simulated digestion–fermentation model: Toward the development of a novel food supplement. J. Agric. Food Chem. 2017, 65, 6452–6459. [Google Scholar] [CrossRef] [PubMed]
- Alimentación en España. Consulted on November 16th, 2023. Available online: https://www.mercasa.es/publicaciones/alimentacion-en-espana/ (accessed on 15 December 2023).
- Salas-Salvadó, J.; Sanjaume, A.B.; Casañas, R.T.; Solà, M.E.S.; Peláez, R.B. (Eds.) Nutrición y Dietética Clínica, 4th ed.; Elsevier Health Sciences: Barcelona, España, 2019. [Google Scholar]
- Saura-Calixto, F.; Goñi, I. Antioxidant capacity of the Spanish Mediterranean diet. Food Chem. 2006, 94, 442–447. [Google Scholar] [CrossRef]
- Dietary Reference Values. EFSA. Consulted on November 16th, 2023. Available online: https://multimedia.efsa.europa.eu/drvs/index.htm (accessed on 15 December 2023).
- Passioura, J.B. Soil structure and plant growth. Soil Res. 1991, 29, 717–728. [Google Scholar] [CrossRef]
- Maqueda, C.; Morillo, E.; Lopez, R.; Undabeytia, T.; Cabrera, F. Influence of organic amendments on Fe, Cu, Mn, and Zn availability and clay minerals of different soils. Arch. Agron. Soil Sci. 2015, 61, 599–613. [Google Scholar] [CrossRef]
- Weil, R.R.; Brady, N.C. Calcium, magnesium, silicon and trace microelements. In The Nature and Properties of Soils, 15th ed.; Weil, R.R., Brady, N.C., Eds.; Pearson: New York, NY, USA, 2017; pp. 696–744. [Google Scholar]
- Dave, L.A.; Hodgkinson, S.M.; Roy, N.C.; Smith, N.W.; McNabb, W.C. The role of holistic nutritional properties of diets in the assessment of food system and dietary sustainability. Crit. Rev. Food Sci. Nutr. 2023, 63, 5117–5137. [Google Scholar] [CrossRef] [PubMed]
- Gong, Z.; Han, X. The Determination of Grape Wine Quality in China. J. Food Sci. 2007, 72, 429–434. [Google Scholar]
- Wojtunik-Kulesza, K.; Oniszczuk, A.; Oniszczuk, T.; Combrzyński, M.; Nowakowska, D.; Matwijczuk, A. Influence of In Vitro Digestion on Composition, Bioaccessibility and Antioxidant Activity of Food Polyphenols—A Non-Systematic Review. Nutrients 2020, 12, 1401. [Google Scholar] [CrossRef]
- Ketnawa, S.; Reginio, F.C., Jr.; Thuengtung, S.; Ogawa, Y. Changes in bioactive compounds and antioxidant activity of plant-based foods by gastrointestinal digestion: A review. Crit. Rev. Food Sci. Nutr. 2022, 62, 4684–4705. [Google Scholar] [CrossRef]
- Kolodziejczyk, A.A.; Zheng, D.; Elinav, E. Diet-microbiota interactions and personalized nutrition. Nat. Rev. Microbiol. 2019, 17, 742–753. [Google Scholar] [CrossRef]
- van Leeuwen, C.; Friant, P.; Choné, X.; Tregoat, O.; Koundouras, S.; Dubourdieu, D. Influence of climate, soil, and cultivar on terroir. Am. J. Enol. Vitic. 2004, 55, 207–217. [Google Scholar] [CrossRef]





| N° | Treatment | Description |
|---|---|---|
| 1 | Control | No bio-product |
| 2 | Control-Zn | Commercial chelate (EDTA-Zn, 14%) |
| 3 | ASCGs | Activated spent coffee grounds (SCGs) |
| 4 | AH160 | Activated hydrochar obtained from SCGs at 160 °C |
| 5 | ASCG-Zn | Activated SCGs functionalized with Zn |
| 6 | AH160-Zn | Activated hydrochar obtained from SCGs at 160 °C functionalized with Zn |
| Zn Content | FRAP Assay | DPPH Assay | ABTS Assay | FC Assay | |
|---|---|---|---|---|---|
| Plot 1 | |||||
| AH160-Zn/AH160 | * | ns | ns | ns | ns |
| ASCGs/AH160 | * | ns | ns | ns | ns |
| ASCG-Zn/AH160 | * | ns | ns | * | ns |
| Control-Zn/AH160 | * | ns | ns | * | ns |
| ASCGs/AH160-Zn | * | ns | ns | ns | ns |
| ASCG-Zn/AH160-Zn | * | ns | ns | * | ns |
| Control-Zn/AH160-Zn | * | ns | ns | * | ns |
| ASCG-Zn/ASCGs | * | ns | ns | * | ns |
| Control-Zn/ASCGs | * | ns | ns | * | ns |
| Control-Zn/ASCG-Zn | * | ns | ns | * | ns |
| Zn Content | FRAP Assay | DPPH Assay | ABTS Assay | FC Assay | |
| Plot 2 | |||||
| AH160-Zn/AH160 | * | ns | ns | ns | * |
| ASCGs/AH160 | * | ns | ns | ns | ns |
| ASCG-Zn/AH160 | * | ns | ns | ns | * |
| Control-Zn/AH160 | * | ns | ns | ns | * |
| ASCGs/AH160-Zn | * | ns | ns | ns | * |
| ASCG-Zn/AH160-Zn | * | ns | ns | * | * |
| Control-Zn/AH160-Zn | ns | ns | ns | ns | ns |
| ASCG-Zn/ASCGs | ns | ns | ns | ns | ns |
| Control-Zn/ASCGs | ns | ns | ns | ns | * |
| Control-Zn/ASCG-Zn | ns | ns | ns | * | * |
| Plot 1 | Acetic Acid | Butyric Acid | Lactic Acid | Propionic Acid | Succinic Acid | Total SCFAs |
|---|---|---|---|---|---|---|
| AH160-Zn/AH160 | * | ns | ns | * | ns | * |
| ASCGs/AH160 | * | * | * | * | * | * |
| ASCG-Zn/AH160 | ns | * | * | * | * | * |
| Control-Zn/AH160 | * | * | * | * | * | * |
| ASCGs/AH160-Zn | * | * | * | * | ns | * |
| ASCG-Zn/AH160-Zn | * | * | * | * | * | * |
| Control-Zn/AH160-Zn | * | * | * | * | * | ns |
| ASCG-Zn/ASCGs | * | * | * | ns | * | * |
| Control-Zn/ASCGs | * | * | * | * | ns | * |
| Control-Zn/ASCG-Zn | * | * | * | * | * | * |
| Plot 2 | Acetic Acid | Butyric Acid | Lactic Acid | Propionic Acid | Succinic Acid | Total SCFAs |
| AH160-Zn/AH160 | * | * | * | ns | * | * |
| ASCGs/AH160 | ns | * | * | * | * | ns |
| ASCG-Zn/AH160 | ns | ns | * | ns | * | ns |
| Control-Zn/AH160 | ns | * | * | * | * | ns |
| ASCGs/AH160-Zn | * | * | * | * | * | * |
| ASCG-Zn/AH160-Zn | * | * | * | ns | ns | * |
| Control-Zn/AH160-Zn | * | * | * | ns | ns | * |
| ASCG-Zn/ASCGs | * | * | * | * | * | ns |
| Control-Zn/ASCGs | ns | ns | * | * | * | ns |
| Control-Zn/ASCG-Zn | ns | * | * | ns | * | * |
| Group | Analytical Assay | Zn/Daily Intake * (mg Zn/day) | Zn/Serving Intake † (mg Zn/Serving) | Mean Contribution to Daily Zn Intake Compared with Previous Data # (%) | Mean Contribution to Daily Zn per Serving Intake # (%) | ||||
|---|---|---|---|---|---|---|---|---|---|
| Plot 1 | Plot 2 | Plot 1 | Plot 2 | Plot 1 | Plot 2 | Plot 1 | Plot 2 | ||
| Control | Zn content | 0.01 | 0.01 | 0.17 | 0.14 | 0.07 | 0.06 | 1.87 | 1.60 |
| Control-Zn | Zn content | 0.01 | 0.01 | 0.16 | 0.16 | 0.07 | 0.07 | 1.77 | 1.81 |
| ASCGs | Zn content | 0.00 | 0.01 | 0.12 | 0.17 | 0.06 | 0.08 | 1.39 | 1.94 |
| AH160 | Zn content | 0.01 | 0.01 | 0.20 | 0.17 | 0.09 | 0.08 | 2.25 | 1.92 |
| ASCG-Zn | Zn content | 0.01 | 0.01 | 0.15 | 0.20 | 0.07 | 0.09 | 1.68 | 2.18 |
| AH160-Zn | Zn content | 0.01 | 0.01 | 0.13 | 0.17 | 0.06 | 0.08 | 1.46 | 1.90 |
| Group | Analytical assay | Polyphenols/daily intake * (mg gallic acid/day) | Polyphenols/serving intake † (mg gallic acid/serving) | Mean contribution to daily polyphenols intake compared with previous data ★ (%) | Mean contribution to daily polyphenols intake per serving ★ (%) | ||||
| Plot 1 | Plot 2 | Plot 1 | Plot 2 | Plot 1 | Plot 2 | Plot 1 | Plot 2 | ||
| Control | FC assay | 21.1 | 16.3 | 529 | 407 | 1.81 | 1.39 | 45.1 | 34.7 |
| Control-Zn | FC assay | 16.7 | 19.3 | 417 | 484 | 1.42 | 1.65 | 35.6 | 41.3 |
| ASCGs | FC assay | 16.8 | 29.9 | 421 | 748 | 1.44 | 2.56 | 35.9 | 63.9 |
| AH160 | FC assay | 21.8 | 32.9 | 546 | 822 | 1.87 | 2.81 | 46.6 | 70.2 |
| ASCG-Zn | FC assay | 20.3 | 24.9 | 506 | 622 | 1.73 | 2.13 | 43.2 | 53.2 |
| AH160-Zn | FC assay | 16.7 | 19.3 | 418 | 482 | 1.43 | 1.65 | 35.7 | 41.1 |
Disclaimer/Publisher’s Note: The statements, opinions and data contained in all publications are solely those of the individual author(s) and contributor(s) and not of MDPI and/or the editor(s). MDPI and/or the editor(s) disclaim responsibility for any injury to people or property resulting from any ideas, methods, instructions or products referred to in the content. |
© 2024 by the authors. Licensee MDPI, Basel, Switzerland. This article is an open access article distributed under the terms and conditions of the Creative Commons Attribution (CC BY) license (https://creativecommons.org/licenses/by/4.0/).
Share and Cite
Navajas-Porras, B.; Cervera-Mata, A.; Fernández-Arteaga, A.; Delgado-Osorio, A.; Navarro-Moreno, M.; Hinojosa-Nogueira, D.; Pastoriza, S.; Delgado, G.; Navarro-Alarcón, M.; Rufián-Henares, J.Á. Zn Biofortification of Dutch Cucumbers with Chemically Modified Spent Coffee Grounds: Zn Enrichment and Nutritional Implications. Foods 2024, 13, 1146. https://doi.org/10.3390/foods13081146
Navajas-Porras B, Cervera-Mata A, Fernández-Arteaga A, Delgado-Osorio A, Navarro-Moreno M, Hinojosa-Nogueira D, Pastoriza S, Delgado G, Navarro-Alarcón M, Rufián-Henares JÁ. Zn Biofortification of Dutch Cucumbers with Chemically Modified Spent Coffee Grounds: Zn Enrichment and Nutritional Implications. Foods. 2024; 13(8):1146. https://doi.org/10.3390/foods13081146
Chicago/Turabian StyleNavajas-Porras, Beatriz, Ana Cervera-Mata, Alejandro Fernández-Arteaga, Adriana Delgado-Osorio, Miguel Navarro-Moreno, Daniel Hinojosa-Nogueira, Silvia Pastoriza, Gabriel Delgado, Miguel Navarro-Alarcón, and José Ángel Rufián-Henares. 2024. "Zn Biofortification of Dutch Cucumbers with Chemically Modified Spent Coffee Grounds: Zn Enrichment and Nutritional Implications" Foods 13, no. 8: 1146. https://doi.org/10.3390/foods13081146
APA StyleNavajas-Porras, B., Cervera-Mata, A., Fernández-Arteaga, A., Delgado-Osorio, A., Navarro-Moreno, M., Hinojosa-Nogueira, D., Pastoriza, S., Delgado, G., Navarro-Alarcón, M., & Rufián-Henares, J. Á. (2024). Zn Biofortification of Dutch Cucumbers with Chemically Modified Spent Coffee Grounds: Zn Enrichment and Nutritional Implications. Foods, 13(8), 1146. https://doi.org/10.3390/foods13081146

