Characterizations of Water-Soluble Chitosan/Curdlan Edible Coatings and the Inhibitory Effect on Postharvest Pathogenic Fungi
Abstract
1. Introduction
2. Materials and Methods
2.1. Materials
2.2. Preparation of Coatings
2.3. Structural Characterization
2.3.1. Fourier-Transform Infrared Spectroscopy (FTIR)
2.3.2. X-ray Diffraction (XRD)
2.3.3. Scanning Electron Microscopy (SEM)
2.3.4. Differential Scanning Calorimetry (DSC)
2.3.5. Thermogravimetric Analysis (TGA)
2.4. Physical Property Determination
2.4.1. Moisture Content (MC)
2.4.2. Water Solubility (WS)
2.5. Determination of Mechanical Properties
2.5.1. Film Thickness
2.5.2. Tensile Strength (TS) and Elongation at Break (EAB)
2.6. Determination of Barrier Performance
2.6.1. Light-Blocking Performance and Transparency
2.6.2. Water Vapor Transmission Rate (WVTR)
2.6.3. Carbon Dioxide Permeability Measurement (CDP)
2.6.4. Oxygen Barrier Property
2.7. Antifungal Activity Determination
2.8. Preservation Experiment of Cherry Tomatoes
2.9. Statistical Analysis
3. Results
3.1. Structural Characterization
3.1.1. FTIR
3.1.2. XRD
3.1.3. SEM
3.1.4. DSC
3.1.5. TGA
3.2. Structural Characterization
3.3. Determination of Mechanical Properties
3.4. Barrier Performance
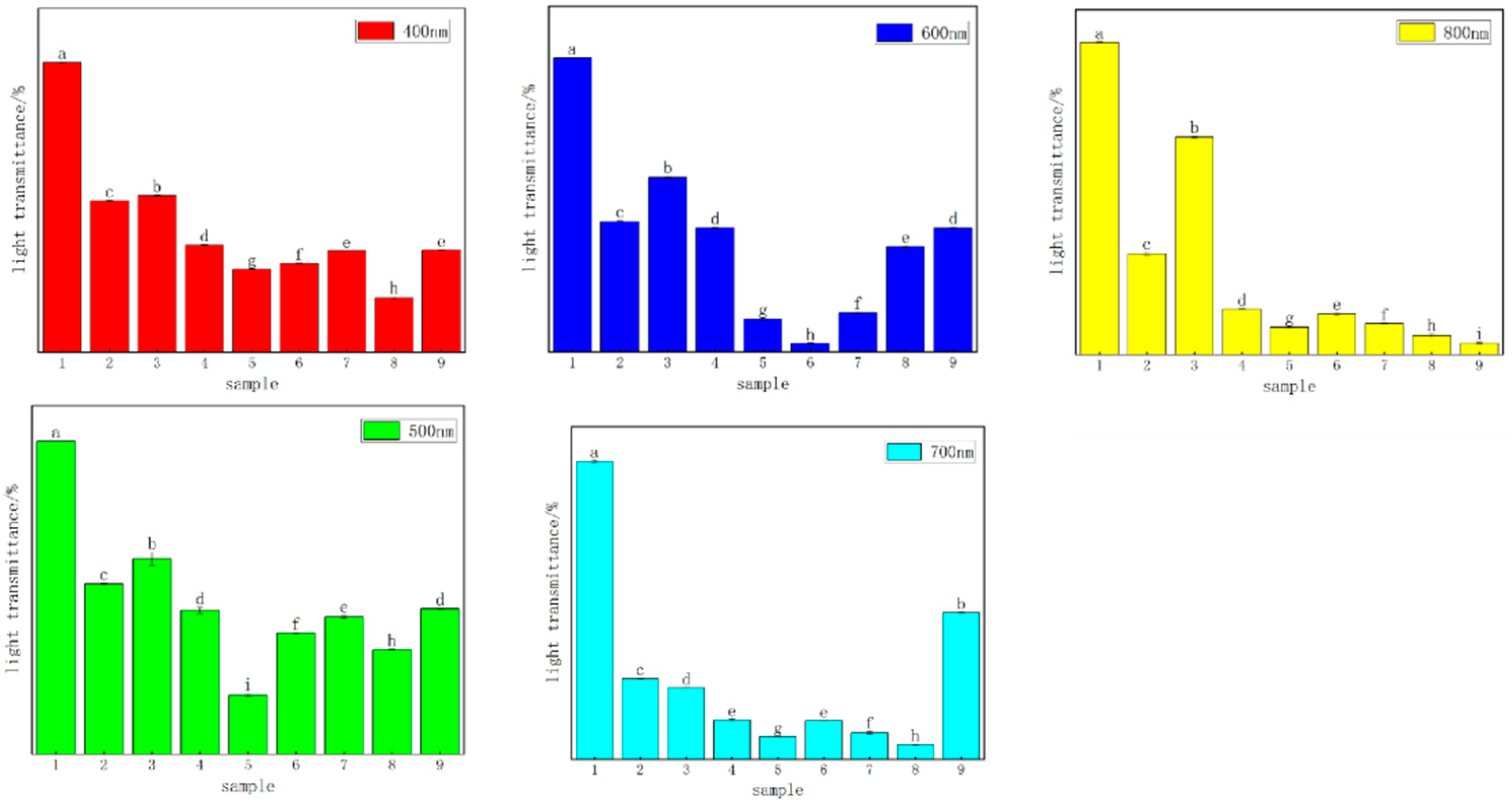
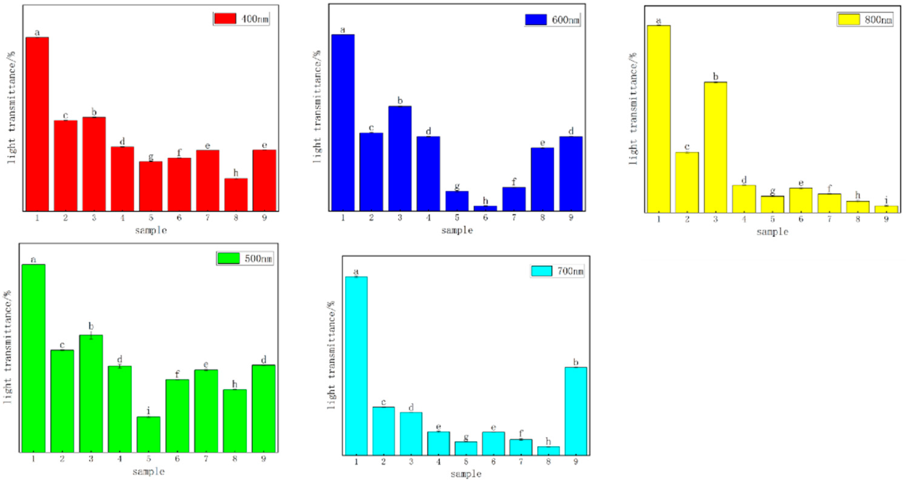
3.4.1. Analysis of Light-Blocking Performance
3.4.2. Analysis of Gas Barrier Performance
3.5. Antifungal Activity
3.6. Preservation Experiment of Cherry Tomatoes
4. Discussion
5. Conclusions
Author Contributions
Funding
Data Availability Statement
Conflicts of Interest
References
- Tangwongchai, R.; Ledward, D.A.; Ames, J.M. Effect of high-pressure treatment on the texture of cherry tomato. J. Agric. Food Chem. 2000, 48, 1434–1441. [Google Scholar] [CrossRef]
- Ali, A.; Maqbool, M.; Ramachandran, S.; Alderson, P.G. Gum arabic as a novel edible coating for enhancing shelf-life and improving postharvest quality of tomato (Solanum lycopersicum L.) fruit. Postharvest Biol. Technol. 2010, 58, 42–47. [Google Scholar] [CrossRef]
- Ye, X.; Kennedy, J.; Li, B.; Xie, B. Condensed state structure and biocompatibility of the konjac glucomannan/chitosan blend films. Carbohydr. Polym. 2006, 64, 532–538. [Google Scholar] [CrossRef]
- Garcin, M.; Vachard, D. Découverte d’Hermelles fossiles dans le Messiniende San Miguel de Salinas (Annélides du Miocène supérieur du Sud-Est de l’Espagne). Geobios 1987, 20, 407–414. [Google Scholar] [CrossRef]
- Laroche, C.; Michaud, P. New developments and prospective applications for beta (1,3) glucans. Recent Pat. Biotechnol. 2007, 1, 59–73. [Google Scholar] [CrossRef]
- Xiang, F.; Xia, Y.; Wang, Y.; Wang, Y.; Wu, K.; Ni, X. Preparation of konjac glucomannan based films reinforced with nanoparticles and its effect on cherry tomatoes preservation. Food Packag. Shelf Life 2021, 29, 100701. [Google Scholar] [CrossRef]
- Wu, C.; Peng, S.; Wen, C.; Wang, X.; Fan, L.; Deng, R.; Pang, J. Structural characterization and properties of konjac glucomannan/curdlan blend films. Carbohydr. Polym. 2012, 89, 497–503. [Google Scholar] [CrossRef]
- Wei, Y.; Guo, Y.; Li, R.; Ma, A.; Zhang, H. Rheological characterization of polysaccharide thickeners oriented for dysphagia management: Carboxymethylated curdlan, konjac glucomannan and their mixtures compared to xanthan gum. Food Hydrocoll. 2021, 110, 106198. [Google Scholar] [CrossRef]
- Amalraj, A.; Haponiuk, J.T.; Thomas, S.; Gopi, S. Preparation, characterization and antimicrobial activity of polyvinyl alcohol/gum arabic/chitosan composite films incorporated with black pepper essential oil and ginger essential oil. Int. J. Biol. Macromol. 2020, 151, 366–375. [Google Scholar] [CrossRef]
- Gasti, T.; Dixit, S.; Hiremani, V.D.; Chougale, R.B.; Masti, S.P.; Vootla, S.K.; Mudigoudra, B.S. Chitosan/pullulan based films incorporated with clove essential oil loaded chitosan-ZnO hybrid nanoparticles for active food packaging. Carbohydr. Polym. 2022, 277, 118866. [Google Scholar] [CrossRef]
- Siripatrawan, U.; Harte, B.R. Physical properties and antioxidant activity of an active film from chitosan incorporated with green tea extract. Food Hydrocoll. 2010, 24, 770–775. [Google Scholar] [CrossRef]
- Chakravartula, S.S.N.; Soccio, M.; Lotti, N.; Balestra, F.; Rosa, M.D.; Siracusa, V. The effects of edible coatings on postharvest quality of the “Bravo de Esmolfe” apple. Eur. Food Res. Technol. 2003, 217, 325–328. [Google Scholar] [CrossRef]
- You, Z.; Hong, F.; Ting, L.; Qingyun, L.; Gang, L.; Wenping, D.; Kun, Z.; Xi, C. Preparation and physicochemical properties of β-glucan/pectin composite films. Mod. Food Sci. Technol. 2022, 38, 228–235. [Google Scholar] [CrossRef]
- Liu, Y.; Lei, X.; Deng, B.; Chen, O.; Deng, L.; Zeng, K. Methionine enhances disease resistance of jujube fruit against postharvest black spot rot by activating lignin biosynthesis. Postharvest Biol. Technol. 2022, 190, 111935. [Google Scholar] [CrossRef]
- Tofiño-Rivera, A.; Ortega-Cuadros, M.; Galvis-Pareja, D.; Jiménez-Rios, H.; Merini, L.; Martínez-Pabón, M. Effect of Lippia alba and Cymbopogon citratus essential oils on biofilms of Streptococcus mutans and cytotoxicity in CHO cells. J. Ethnopharmacol. 2016, 194, 749–754. [Google Scholar] [CrossRef]
- Boukhatem, M.N.; Ferhat, M.A.; Kameli, A.; Saidi, F.; Kebir, H.T. Lemon grass (Cymbopogon citratus) essential oil as a potent anti-inflammatory and antifungal drugs. Libyan J. Med. 2014, 9, 25431. [Google Scholar] [CrossRef] [PubMed]
- Zhang, Y.; Zhou, L.; Zhang, C.; Show, P.L.; Du, A.; Fu, J.; Ashokkumar, V. Preparation and characterization of curdlan/polyvinyl alcohol/ thyme essential oil blending film and its application to chilled meat preservation. Carbohydr. Polym. 2020, 247, 116670. [Google Scholar] [CrossRef]
- Nordin, N.; Othman, S.H.; Rashid, S.A.; Basha, R.K. Effects of glycerol and thymol on physical, mechanical, and thermal properties of corn starch films. Food Hydrocoll. 2020, 106, 105884. [Google Scholar] [CrossRef]
- Abdorreza, M.N.; Cheng, L.; Karim, A. Effects of plasticizers on thermal properties and heat sealability of sago starch films. Food Hydrocoll. 2011, 25, 56–60. [Google Scholar] [CrossRef]
- Alizadeh-Sani, M.; Rhim, J.-W.; Azizi-Lalabadi, M.; Hemmati-Dinarvand, M.; Ehsani, A. Preparation and characterization of functional sodium caseinate/guar gum/TiO2/cumin essential oil composite film. Int. J. Biol. Macromol. 2020, 145, 835–844. [Google Scholar] [CrossRef] [PubMed]
- Pereira, R.; Tojeira, A.; Vaz, D.C.; Mendes, A.; Bártolo, P. Preparation and Characterization of Films Based on Alginate and Aloe Vera. Int. J. Polym. Anal. Charact. 2011, 16, 449–464. [Google Scholar] [CrossRef]
- Zhao, R.; Guan, W.; Zhou, X.; Lao, M.; Cai, L. The physiochemical and preservation properties of anthocyanidin/chitosan nanocomposite-based edible films containing cinnamon-perilla essential oil pickering nanoemulsions. LWT 2022, 153, 112506. [Google Scholar] [CrossRef]
- Nagar, M.; Sharanagat, V.S.; Kumar, Y.; Singh, L. Development and characterization of elephant foot yam starch–hydrocolloids based edible packaging film: Physical, optical, thermal and barrier properties. J. Food Sci. Technol. 2019, 57, 1331–1341. [Google Scholar] [CrossRef] [PubMed]
- De Clerck, C.; Maso, S.D.; Parisi, O.; Dresen, F.; Zhiri, A.; Jijakli, M.H. Screening of Antifungal and Antibacterial Activity of 90 Commercial Essential Oils against 10 Pathogens of Agronomical Importance. Foods 2020, 9, 1418. [Google Scholar] [CrossRef] [PubMed]
- Erceg, T.; Šovljanski, O.; Stupar, A.; Ugarković, J.; Aćimović, M.; Pezo, L.; Tomić, A.; Todosijević, M. A comprehensive approach to chitosan-gelatine edible coating with β-cyclodextrin/lemongrass essential oil inclusion complex—Characterization and food application. Int. J. Biol. Macromol. 2023, 228, 400–410. [Google Scholar] [CrossRef]
- Das, S.; Chaudhari, A.K.; Singh, V.K.; Dwivedy, A.K.; Dubey, N.K. Chitosan based encapsulation of Valeriana officinalis essential oil as edible coating for inhibition of fungi and aflatoxin B1 contamination, nutritional quality improvement, and shelf life extension of Citrus sinensis fruits. Int. J. Biol. Macromol. 2023, 233, 123565. [Google Scholar] [CrossRef]
- Mujtaba, M.; Ali, Q.; Yilmaz, B.A.; Kurubas, M.S.; Ustun, H.; Erkan, M.; Kaya, M.; Cicek, M.; Oner, E.T. Understanding the effects of chitosan, chia mucilage, levan based composite coatings on the shelf life of sweet cherry. Food Chem. 2023, 416, 135816. [Google Scholar] [CrossRef]
- Brodnjak, U.V. Experimental investigation of novel curdlan/chitosan coatings on packaging paper. Prog. Org. Coat. 2017, 112, 86–92. [Google Scholar] [CrossRef]










| Sample | T10% Degradation Temperature/°C | T25% Degradation Temperature/°C | T50% Degradation Temperature/°C | Mass Residue at 700 °C/% |
|---|---|---|---|---|
| 1 | 138.708 | 200.972 | 290.487 | 12.937 |
| 2 | 261.611 | 361.418 | \ | 58.961 |
| 3 | 151.598 | 203.406 | 315.679 | 17.150 |
| 4 | 133.71 | 236.638 | 399.585 | 39.333 |
| 5 | 84.4059 | 199.106 | 350.6 | 29.401 |
| 6 | 168.731 | 255.016 | 535.3 | 44.004 |
| 7 | 193.035 | 275.467 | 560.155 | 44.491 |
| 8 | 182.891 | 261.935 | 461.711 | 43.8033 |
| 9 | 147.193 | 215.677 | 322.162 | 23.474 |
| Sample | MC/% | WS/% | Opacity/% |
|---|---|---|---|
| 1 | 13.68 ± 0.06 a | 18.01 ± 0.01 b | 43.07 ± 0.03 a |
| 2 | 13.39 ± 0.13 a | 12.29 ± 0.01 d | 3.05 ± 0.02 d |
| 3 | 10.15 ± 0.03 d | 16.31 ± 0.07 c | 3.26 ± 0.05 d |
| 4 | 9.65 ± 0.13 e | 15.67 ± 0.06 b | 2.22 ± 0.03 e |
| 5 | 7.41 ± 0.10 f | 14.83 ± 0.04 c | 1.09 ± 0.04 f |
| 6 | 6.37 ± 0.13 g | 11.52 ± 1.28 d | 0.58 ± 0.06 f |
| 7 | 7.630 ± 0.23 f | 20.75 ± 0.04 a | 1.13 ± 0.03 g |
| 8 | 10.58 ± 0.22 c | 11.61 ± 0.02 d | 4.93 ± 0.02 c |
| 9 | 11.28 ± 0.06 b | 10.57 ± 0.02 d | 5.94 ± 0.10 b |
| Sample | Thickness/mm | TS | EAB/% |
|---|---|---|---|
| 1 | 0.338 ± 0.04 e | 2.96596 ± 0.01 e | 2.64 ± 0.07 i |
| 2 | 0.738 ± 0.01 a | 6.27588 ± 0.007 b | 20.90 ± 0.363 e |
| 3 | 0.23 ± 0.03 f | 7.91589 ± 0.03 a | 4.95 ± 0.08 h |
| 4 | 0.432 ± 0.02 d | 5.17245 ± 0.02 c | 7.40 ± 0.07 g |
| 5 | 0.542 ± 0.01 c | 4.44372 ± 0.07 d | 13.19 ± 0.07 f |
| 6 | 0.544 ± 0.01 c | 1.53531 ± 0.07 g | 25.58 ± 0.07 c |
| 7 | 0.438 ± 0.02 d | 1.47896 ± 0.07 g | 32.93 ± 0.07 a |
| 8 | 0.66 ± 0.01 b | 2.01635 ± 0.07 f | 28.14 ± 0.07 b |
| 9 | 0.628 ± 0.01 b | 2.95441 ± 0.07 e | 25.09 ± 0.07 d |
| Sample | Water Vapor Permeability g/(h·m2) | CDP cm2/(d·kPa) | PV (g/100 g) |
|---|---|---|---|
| 1 | 0.090856481 ± 0.0007 a | 0.05875 ± 0.0004 a | 1.99 ± 0.2 c |
| 2 | 0.064252097 ± 0.0004 e | 0.00877 ± 0.0015 f | 0.45 ± 0.04 f |
| 3 | 0.059267648 ± 0.0007 f | 0.05374 ± 0.0006 a | 1.46 ± 0.10 d |
| 4 | 0.066328686 ± 0.0007 d | 0.02858 ± 0.0018 d | 1.68 ± 0.09 d |
| 5 | 0.066497247 ± 0.0007 d | 0.01273 ± 0.0008 e | 2.16 ± 0.12 c |
| 6 | 0.090074584 ± 0.0007 a | 0.01133 ± 0.001 e | 3.04 ± 0.09 a |
| 7 | 0.060466012 ± 0.0007 f | 0.02353 ± 0.0006 d | 2.73 ± 0.09 b |
| 8 | 0.079594423 ± 0.0007 b | 0.03875 ± 0.002 c | 1.47 ± 0.11 de |
| 9 | 0.076399027 ± 0.0007 c | 0.04042 ± 0.002 b | 1.26 ± 0.07 e |
Disclaimer/Publisher’s Note: The statements, opinions and data contained in all publications are solely those of the individual author(s) and contributor(s) and not of MDPI and/or the editor(s). MDPI and/or the editor(s) disclaim responsibility for any injury to people or property resulting from any ideas, methods, instructions or products referred to in the content. |
© 2024 by the authors. Licensee MDPI, Basel, Switzerland. This article is an open access article distributed under the terms and conditions of the Creative Commons Attribution (CC BY) license (https://creativecommons.org/licenses/by/4.0/).
Share and Cite
Yu, Y.; Liu, K.; Zhang, S.; Zhang, L.; Chang, J.; Jing, Z. Characterizations of Water-Soluble Chitosan/Curdlan Edible Coatings and the Inhibitory Effect on Postharvest Pathogenic Fungi. Foods 2024, 13, 441. https://doi.org/10.3390/foods13030441
Yu Y, Liu K, Zhang S, Zhang L, Chang J, Jing Z. Characterizations of Water-Soluble Chitosan/Curdlan Edible Coatings and the Inhibitory Effect on Postharvest Pathogenic Fungi. Foods. 2024; 13(3):441. https://doi.org/10.3390/foods13030441
Chicago/Turabian StyleYu, Youwei, Kunyu Liu, Shaoying Zhang, Liangliang Zhang, Jiaqi Chang, and Ziyu Jing. 2024. "Characterizations of Water-Soluble Chitosan/Curdlan Edible Coatings and the Inhibitory Effect on Postharvest Pathogenic Fungi" Foods 13, no. 3: 441. https://doi.org/10.3390/foods13030441
APA StyleYu, Y., Liu, K., Zhang, S., Zhang, L., Chang, J., & Jing, Z. (2024). Characterizations of Water-Soluble Chitosan/Curdlan Edible Coatings and the Inhibitory Effect on Postharvest Pathogenic Fungi. Foods, 13(3), 441. https://doi.org/10.3390/foods13030441
