Comparison of the Nutritional Composition of Meat Products Derived from Croatian Indigenous Pig Breeds
Abstract
1. Introduction
2. Materials and Methods
2.1. Animals and Meat Products
2.2. Production of Bacon, Dry-Cured Ham, and Dry-Fermented Sausages
2.3. Reagents and Standards
2.4. The Proximate Analysis
2.5. Fatty Acid Methyl Esters (FAMEs) Analysis
2.6. Fat Quality Indices
2.7. Mineral Analysis
2.8. Statistical Analysis
3. Results and Discussion
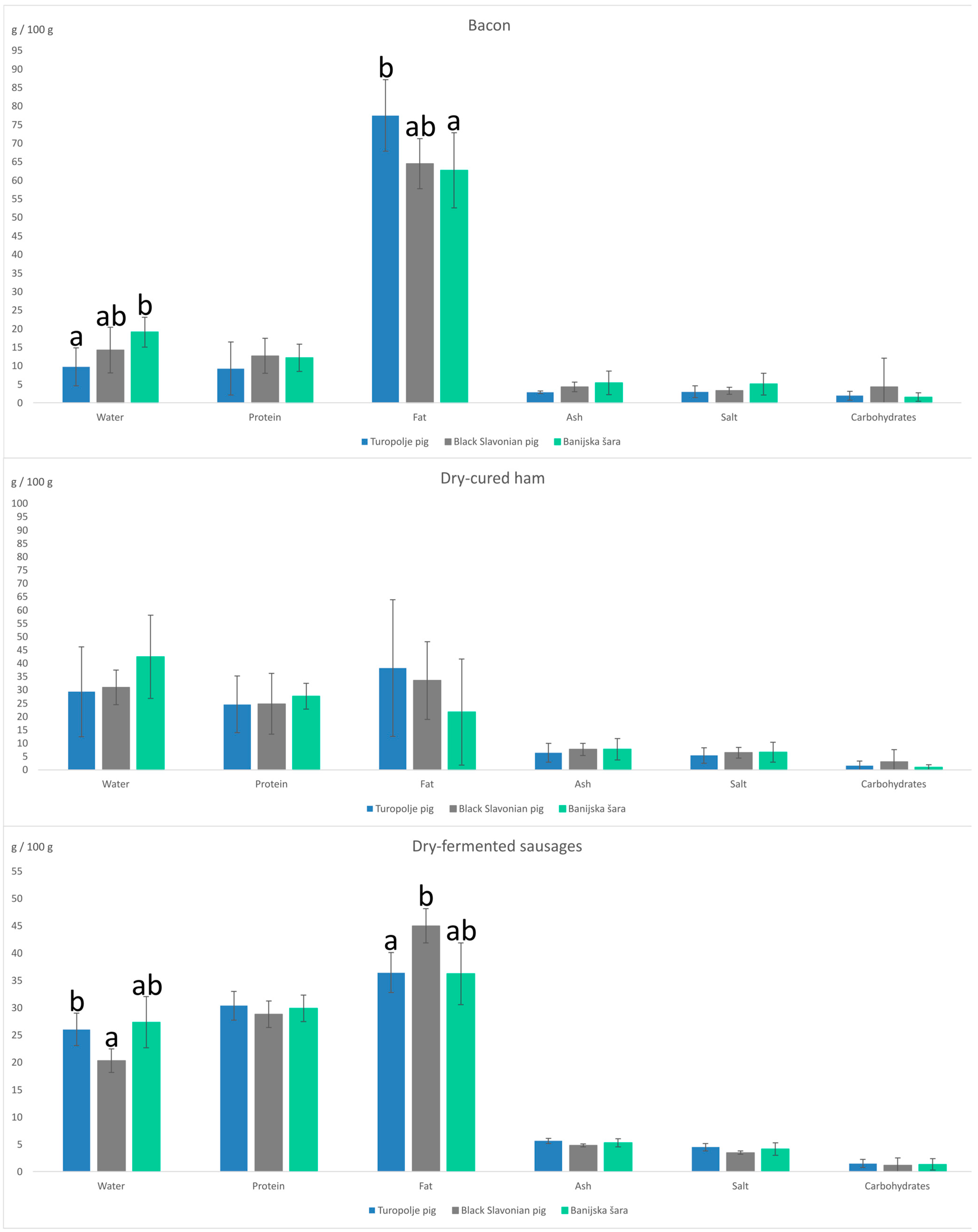
3.1. Nutritive Characteristics
3.2. Minerals
3.3. Fatty Acid Profile
3.4. Lipid Quality Indices
3.5. Principal Component Analysis (PCA)
4. Conclusions
Author Contributions
Funding
Institutional Review Board Statement
Informed Consent Statement
Data Availability Statement
Conflicts of Interest
References
- Lukić, B.; Ferenčakovć, M.; Šalamon, D.; Čačić, M.; Orehovački, V.; Iacolina, L.; Curik, I.; Cubric-Curik, V. Conservation Genomic Analysis of the Croatian Indigenous Black Slavonian and Turopolje Pig Breeds. Front. Genet. 2020, 11, 261. [Google Scholar] [CrossRef] [PubMed]
- Pugliese, C.; Sirtori, F. Quality of meat and meat products produced from southern European pig breeds. Meat Sci. 2012, 90, 511–518. [Google Scholar] [CrossRef] [PubMed]
- Croatian Agency for Agriculture and Food. Available online: https://www.hapih.hr/wp-content/uploads/2024/06/Svinjogojstvo-Godisnje-izvjesce-2023.pdf (accessed on 23 July 2024).
- Karolyi, D.; Luković, Z.; Salajpal, K.; Škorput, D.; Vnučec, I.; Mahne, Ž.; Klišanić, V.; Batorek-Lukač, N. Turopolje Pig (Turopoljska Svinja). In European Local Pig Breeds—Diversity and Performance. A Study of Project TREASURE; Candek-Potokar, M., Nieto Linan, R.M., Eds.; IntechOpen: London, UK, 2019; pp. 1–11. [Google Scholar] [CrossRef][Green Version]
- Margeta, V.; Gvozdanović, K.; Kušec, G.; Djurkin Kušec, I.; Batorek-Lukač, N. Black Slavonian (Crna Slavonska) Pig. In European Local Pig Breeds—Diversity and Performance. A Study of Project TREASURE; Candek-Potokar, M., Nieto Linan, R.M., Eds.; IntechOpen: London, UK, 2019; pp. 1–14. [Google Scholar] [CrossRef]
- Škorput, D.; Klišanić, V.; Menčik, S.; Mahnet, Ž.; Karolyi, D.; Luković, Z.; Salajpal, K. Analiza porijekla banijske šare svinje. Stočarstvo 2018, 72, 12–17. [Google Scholar] [CrossRef]
- Vicente, F.; Pereira, P.C. Pork Meat Composition and Health: A Review of the Evidence. Foods 2024, 13, 1905. [Google Scholar] [CrossRef] [PubMed]
- Fraqueza, M.J.; Alfaia, C.M.; Rodrigues, S.S.; Teixeira, A. Strategies to Reduce Salt Content: PDO and PGI Meat Products Case. Foods 2024, 13, 2681. [Google Scholar] [CrossRef] [PubMed]
- Kudumija, N.; Kos, I.; Lešić, T.; Vahčić, N.; Vulić, A.; Polak, T.; Krešić, G.; Vnučec, I.; Bendelja Ljoljić, D.; Škrivanko, M.; et al. Sensory and Nutritional Characterization of Six Different Types of Croatian Traditional Meat Product Characterization of Croatian Traditional Meat Products. J. Food Qual. 2024, 2024, 7897786. [Google Scholar] [CrossRef]
- Perši, N.; Pleadin, J.; Kovačević, D.; Scortichini, G.; Milone, S. Ochratoxin A in raw materials and cooked meat products made from OTA-treated pigs. Meat Sci. 2014, 96, 203–210. [Google Scholar] [CrossRef]
- Kovačević, D.; Mastanjević, K.; Frece, J.; Pleadin, J.; Šakić, I. Effect of addition of various sugars on fermentation process of Croatian indigenous dry sausage Kulenova seka. Meso 2014, 4, 351–355. [Google Scholar]
- Kovačević, D. Technology of Kulen and Other Fermented Sausages; Faculty of Food Technology, University of J.J. Strossmayer: Osijek, Croatia, 2014. [Google Scholar]
- HRN ISO 6496:2001; Hrana za Životinje—Određivanje Vode i Udjela Drugih Hlapljivih Tvari (ISO 6496:1999). Hrvatski Zavod za Norme: Zagreb, Hrvatska, 2001.
- HRN ISO 5984:2004; Hrana za Životinje—Određivanje Pepela (ISO 5984:2002). Hrvatski Zavod za Norme: Zagreb, Hrvatska, 2004.
- HRN ISO 5983-1:2005; Stočna Hrana—Određivanje Količine Dušika i Izračunavanje Količine Sirovih Proteina—1. dio: Kjeldahlova Metoda (ISO 5983-1:2005). Hrvatski Zavod za Norme: Zagreb, Hrvatska, 2005.
- HRN EN ISO 5983-2:2010; Hrana za Životinje—Određivanje Količine Dušika i Izračunavanje Količine Sirovih Proteina—2. dio: Razaranje u Bloku i Metoda Destilacije Parom (ISO 5983-2:2009; EN ISO 5983-2:2009). Hrvatski Zavod za Norme: Zagreb, Hrvatska, 2010.
- HRN ISO 1443:1999; Meso i Mesni Proizvodi—Određivanje Ukupne Količine Masti (ISO 1443:1973). Hrvatski Zavod za Norme: Zagreb, Hrvatska, 1999.
- HRN EN ISO 5509:2004; Životinjske i Biljne Masti i Ulja—Priprava Metilnih Estera Masnih Kiselina (ISO 5509:2000; EN ISO 5509:2000). Hrvatski Zavod za Norme: Zagreb, Hrvatska, 2004.
- Ulbritcth, T.L.V.; Southgate, D.A.T. Coronary heart disease: Seven dietary factors. Lancet 1991, 338, 985–992. [Google Scholar]
- Pleadin, J.; Kvrgić, K.; Zrnčić, S.; Lešić, T.; Koprivnjak, O.; Vulić, A.; Džafić, N.; Oraić, D.; Krešić, G. Variations in nutritive composition of three shellfish species. Ital. J. Food Sci. 2019, 31, 716–730. [Google Scholar] [CrossRef]
- Nurmilah, S.; Cahyana, Y.; Utama, G.L.; Aït-Kaddour, A. Strategies to Reduce Salt Content and Its Effect on Food Characteristics and Acceptance: A Review. Foods 2022, 11, 3120. [Google Scholar] [CrossRef] [PubMed]
- Ramiro, J.L.; Pérez-Palacios, T.; Marcos, C.F.; Neo, A.G.; Pajuelo, A.; Antequera, T. Classification of raw cuts from Iberian and Celta pigs based on lipid analysis and chemometrics. J. Food Compos. Anal. 2024, 130, 106173. [Google Scholar] [CrossRef]
- Sarmiento-García, A.; Vieira-Aller, C. Improving Fatty Acid Profile in Native Breed Pigs Using Dietary Strategies: A Review. Animals 2023, 13, 1696. [Google Scholar] [CrossRef] [PubMed]
- Węsierska, E.; Sobolewska-Zielińska, J.; Pasternak, M.; Niemczyńska-Wróbel, K.; Gąsior, R.; Wojtycza, K.; Pustkowiak, H.; Duda, I.; Migdał, W. Biochemical Properties Affecting the Nutritional Quality, Safety, and Aroma of Dry-Cured Products Manufactured from Meat of Rare Native Pig Breeds. Foods 2021, 10, 1597. [Google Scholar] [CrossRef] [PubMed]
- Vulić, A.; Kudumija, N.; Lešić, T.; Pleadin, J. Nutritional quality of selected Croatian traditional dry-fermented sausages. Meat Technol. 2023, 64, 52–57. [Google Scholar] [CrossRef]
- Lešić, T.; Zadravec, M.; Zdolec, N.; Vulić, A.; Perković, I.; Škrivanko, M.; Kudumija, N.; Jakopović, Ž.; Pleadin, J. Mycobiota and Mycotoxin Contamination of Traditional and Industrial Dry-Fermented Sausage Kulen. Toxins 2021, 13, 798. [Google Scholar] [CrossRef]
- Pleadin, J.; Lešić, T.; Krešić, G.; Bogdanović, T.; Malenica, M.; Kos, I.; Pulić, B.; Petričević, S.; Kušec, G.; Vahčić, N. Quality of Istrian and Slavonian dry-fermented sausages. Ital. J. Food Sci. 2020, 32, 605–621. [Google Scholar] [CrossRef]
- Prado, N.; Sampayo, M.; González, P.; Lombó, F.; Díaz, J. Physicochemical, sensory and microbiological characterization of Asturian Chorizo, a traditional fermented sausage manufactured in Northern Spain. Meat Sci. 2019, 156, 118–124. [Google Scholar] [CrossRef]
- Rason, J.; Laguet, A.; Berge, P.; Dufour, E.; Lebecque, A. Investigation of the physicochemical and sensory homogeneity of traditional French dry sausages. Meat Sci. 2007, 75, 359–370. [Google Scholar] [CrossRef]
- Marcos, C.; Viegas, C.; de Almeida, A.M.; Guerra, M.M. Portuguese traditional sausages: Different types, nutritional composition, and novel trends. J. Ethn. Foods 2016, 3, 51–60. [Google Scholar] [CrossRef]
- Ambrosiadis, J.; Soultos, N.; Abrahim, A.; Bloukas, J.G. Physicochemical, microbiological and sensory attributes for the characterization of Greek traditional sausages. Meat Sci. 2004, 66, 279–287. [Google Scholar] [CrossRef] [PubMed]
- Petričević, S.; Marušić Radovčić, N.; Lukić, K.; Listeš, E.; Medić, H. Differentiation of dry-cured hams from different processing methods by means of volatile compounds, physico-chemical and sensory analysis. Meat Sci. 2018, 137, 217–227. [Google Scholar] [CrossRef] [PubMed]
- Falowo, A.B. A comprehensive review of nutritional benefits of minerals in meat and meat products. Sci. Lett. 2021, 9, 55–64. [Google Scholar] [CrossRef]
- Gharibzahedi, S.M.T.; Jafari, S.M. The importance of minerals in human nutrition: Bioavailability, food fortification, processing effects and nanoencapsulation. Trends Food Sci. Technol. 2017, 62, 119–132. [Google Scholar] [CrossRef]
- Beto, J.A. The role of calcium in human aging. Clin. Nutr. Res. 2015, 4, 1–8. [Google Scholar] [CrossRef]
- Djinovic-Stojanovic, J.M.; Nikolic, D.M.; Vranic, D.V.; Babic, J.A.; Milijasevic, M.P.; Pezo, L.L.; Jankovic, S.D. Zinc and magnesium in different types of meat and meat products from the Serbian market. J. Food Compos. Anal. 2017, 59, 50–54. [Google Scholar] [CrossRef]
- Geissler, C.; Singh, M. Iron, Meat and Health. Nutrients 2011, 3, 283–316. [Google Scholar] [CrossRef]
- Lešić, T.; Vahčić, N.; Kos, I.; Zadravec, M.; Sinčić Pulić, B.; Bogdanović, T.; Petričević, S.; Listeš, E.; Škrivanko, M.; Pleadin, J. Characterization of Traditional Croatian Household-Produced Dry-Fermented Sausages. Foods 2020, 9, 990. [Google Scholar] [CrossRef]
- Omachi, D.O.; Aryee, A.N.A.; Onuh, J.O. Functional Lipids and Cardiovascular Disease Reduction: A Concise Review. Nutrients 2024, 16, 2453. [Google Scholar] [CrossRef]
- Fernández, M.; Ordóñez, J.A.; Cambero, I.; Santos, C.; Pin, C.; de la Hoz, L. Fatty acid compositions of selected varieties of Spanish dry ham related to their nutritional implications. Food Chem. 2007, 101, 107–112. [Google Scholar] [CrossRef]
- Campo, M.; Sierra, I. Fatty acid composition of selected varieties of Spanish dry-cured ham. Surveys from 1995 and 2007. Span. J. Agric. Res. 2011, 9, 66–73. [Google Scholar] [CrossRef]
- Lucarini, M.; Saccani, G.; D’Evoli, L.; Aguzzi, A.; Gabrielli, P.; Tufi, S.; Lombardi-Boccia, G. Traditional Italian ham: Recent trends in fat content and fatty acids profile. In Proceedings of the 58th International Congress of Meat Science and Technology, Montreal, QC, Canada, 12–17 August 2012. [Google Scholar]
- Pastorelli, G.; Panseri, S.; Curone, G.; Zanon, A.; Di Giancamillo, M. Imaging, sensory properties and fatty acid composition of Parma ham and “Nero di Parma ham”. Ital. J Food Sci. 2018, 31, 401–415. [Google Scholar] [CrossRef]
- Latin, K.; Mastanjević, K.; Raguž, N.; Bulaić, M.; Lužaić, R.; Heffer, M.; Lukić, B. Differences in Fatty Acid Profile and Physical-Chemical Composition of Slavonska slanina-Dry Cured Smoked Bacon Produced from Black Slavonian Pig and Modern Pigs. Animals 2022, 12, 924. [Google Scholar] [CrossRef] [PubMed]
- Simopoulos, A.P. The importance of the ratio of omega-6/omega-3 essential fatty acids. Biomed. Pharmacother. 2002, 56, 365–379. [Google Scholar] [CrossRef]
- Bazarsadueva, S.V.; Radnaeva, L.D.; Shiretorova, V.G.; Dylenova, E.P. The Comparison of Fatty Acid Composition and Lipid Quality Indexes of Roach, Perch, and Pike of Lake Gusinoe (Western Transbaikalia). Int. J. Environ. Res. Public Health. 2021, 18, 9032. [Google Scholar] [CrossRef]
- Chen, J.; Liu, H. Nutritional Indices for Assessing Fatty Acids: A Mini-Review. Int. J. Mol. Sci. 2020, 21, 5695. [Google Scholar] [CrossRef]
- Wójciak, K.M.; Halagarda, M.; Rohn, S.; Kęska, P.; Latoch, A.; Stadnik, J. Selected nutrients determining the quality of different cuts of organic and conventional pork. Eur. Food Res. Technol. 2021, 247, 1389–1400. [Google Scholar] [CrossRef]
- Poklukar, K.; Čandek-Potokar, M.; Batorek Lukač, N.; Tomažin, U.; Škrlep, M. Lipid Deposition and Metabolism in Local and Modern Pig Breeds: A Review. Animals 2020, 10, 424. [Google Scholar] [CrossRef]
- Kasprzyk, A.; Walenia, A. Native Pig Breeds as a Source of Biodiversity—Breeding and Economic Aspects. Agriculture 2023, 13, 1528. [Google Scholar] [CrossRef]
- Nevrkla, P.; Kapelański, W.; Václavková, E.; Zdeněk, H.; Cebulska, A.; Horký, P. Meat Quality and Fatty Acid Profile of Pork and Backfat from an Indigenous Breed and A Commercial Hybrid of Pigs. Ann. Anim. Sci. 2017, 17, 1215–1227. [Google Scholar] [CrossRef]
- Reina, R.; Sánchez del Pulgar, J.; López-Buesa, P.; García, C. Amino acid and nucleotide contents and sensory traits of dry-cured products from pigs with different genotypes. Meat Sci. 2014, 96, 230–236. [Google Scholar] [CrossRef] [PubMed]
- García-González, D.L.; Aparicio, R.; Aparicio-Ruiz, R. Volatile and Amino Acid Profiling of Dry Cured Hams from Different Swine Breeds and Processing Methods. Molecules 2013, 18, 3927–3947. [Google Scholar] [CrossRef] [PubMed]
- Ramírez, R.; Cava, R. Volatile Profiles of Dry-Cured Meat Products from Three Different Iberian X Duroc Genotypes. J. Agr. Food Chem. 2007, 55, 1923–1931. [Google Scholar] [CrossRef] [PubMed]
- Salazar, E.; Cayuela, J.M.; Abellán, A.; Poto, A.; Peinado, B.; Tejada, L. A comparison of the quality of dry-cured loins obtained from the native pig breed (Chato murciano) and from a modern crossbreed pig. Anim. Prod. Sci. 2013, 53, 352–359. [Google Scholar] [CrossRef]
- Lorenzo, J.M.; Montes, R.; Purriños, L.; Cobas, N.; Franco, D. Fatty acid composition of Celta pig breed as influenced by sex and location of fat in the carcass. J. Sci. Food Agric. 2012, 92, 1311–1317. [Google Scholar] [CrossRef]
- Zomeño, C.; Gispert, M.; Čandek-Potokar, M.; Mörlein, D.; Font-i-Furnols, M. A matter of body weight and sex type: Pig carcass chemical composition and pork quality. Meat Sci. 2023, 197, 109077. [Google Scholar] [CrossRef]
- Teye, G. Effects of age/weight and castration on fatty acids composition in pork fat and the qualities of pork and pork fat in meishn x large white pigs. Afr. J. Food Agric. Nutr. Dev. 2009, 9, 1697–1711. [Google Scholar] [CrossRef]



| Meat Product | Pig Breed | Mineral | |||||||
|---|---|---|---|---|---|---|---|---|---|
| Ca (mg/kg ± SD) | P (g/100 g ± SD) | Na (mg/kg ± SD) | K (mg/kg ± SD) | Mg (mg/kg ± SD) | Fe (mg/kg ± SD) | Cu (mg/kg ± SD) | Zn (mg/kg ± SD) | ||
| Bacon | Turopolje pig | 194.51 ± 93.82 | 0.07 ± 0.06 | 11123.21 ± 3138.49 | 6073.34 ± 5696.30 | 240.14 ± 140.27 | 26.65 ± 15.72 | 1.46 ± 1.01 | 19.42 ± 10.23 |
| Black slavonian pig | 266.85 ± 130.12 | 0.07 ± 0.03 | 10781.88 ± 5499.04 | 2751.08 ± 2186.72 | 286.46 ± 122.09 | 16.48 ± 5.69 | 1.36 ± 0.68 | 24.60 ± 9.53 | |
| Banijska šara | 227.15 ± 52.62 | 0.17 ± 0.08 | 18743.70 ± 11237.54 | 4721.20 ± 3459.01 | 320.09 ± 133.19 | 50.99 ± 46.26 | 1.40 ± 0.58 | 31.03 ± 10.97 | |
| Dry-cured ham | Turopolje pig | 226.69 ± 56.14 | 0.14 ± 0.07 | 20120.79 ± 11033.32 | 6508.25 ± 3928.45 | 283.75 ± 100.36 | 30.25 ± 12.38 | 1.22 ± 0.61 | 32.19 ± 14.00 |
| Black slavonian pig | 260.41 ± 67.75 | 0.13 ± 0.01 | 25755.47 ± 7878.73 | 4149.33 ± 1636.09 | 307.65 ± 70.11 | 14.52 ± 2.10 | 1.23 ± 0.34 | 30.35 ± 8.94 | |
| Banijska šara | 238.30 ± 48.81 | 0.20 ± 0.06 | 26557.78 ± 15049.95 | 5682.53 ± 1379.08 | 307.41 ± 130.94 | 36.71 ± 15.91 | 0.70 ± 0.44 | 28.15 ± 11.35 | |
| Dry-fermented sausages | Turopolje pig | 307.78 ± 72.64 | 0.25 ± 0.11 | 16997.47 ± 2803.34 | 7100.49 ± 1528.53 | 429.42 ± 135.52 | 37.30 ± 12.73 b | 1.69 ± 0.37 | 48.00 ± 10.24 |
| Black slavonian pig | 293.66 ± 48.29 | 0.25 ± 0.02 | 14135.56 ± 1199.76 | 5855.11 ± 851.01 | 331.89 ± 119.10 | 19.48 ± 5.20 a | 1.58 ± 0.22 | 40.03 ± 11.43 | |
| Banijska šara | 283.80 ± 73.82 | 0.26 ± 0.02 | 16371.09 ± 4085.82 | 6771.06 ± 882.38 | 391.52 ± 60.70 | 40.28 ± 15.22 b | 1.08 ± 0.80 | 40.28 ± 12.73 | |
| Fatty Acid (%) | Bacon | Dry-Cured Ham | Dry-Fermented Sausages | ||||||
|---|---|---|---|---|---|---|---|---|---|
| Turopolje Pig | Black Slavonian Pig | Banijska šara | Turopolje Pig | Black Slavonian Pig | Banijska šara | Turopolje Pig | Black Slavonian Pig | Banijska šara | |
| C14:0 | 1.35 ± 0.15 | 1.45 ± 0.1 | 1.33 ± 0.14 | 1.63 ± 0.39 | 1.26 ± 0.07 | 1.28 ± 0.06 | 1.38 ± 0.19 | 1.3 ± 0.06 | 1.26 ± 0.11 |
| PALMITIC ACID (C16:0) | 24.9 ± 1.26 | 23.78 ± 1.79 | 24.01 ± 1.72 | 28.15 ± 7.27 | 23.72 ± 1.36 | 24.27 ± 1.21 | 25.39 ± 0.51 b | 24.51 ± 1.09 ab | 23.95 ± 1.08 a |
| C16:1n7t | 0.39 ± 0.08 | 0.41 ± 0.13 | 0.45 ± 0.1 | 0.45 ± 0.11 | 0.43 ± 0.02 | 0.42 ± 0.12 | 0.42 ± 0.07 | 0.43 ± 0.1 | 0.44 ± 0.08 |
| C16:1n7c | 3.20 ± 0.27 | 3.24 ± 0.4 | 3.41 ± 0.83 | 3.82 ± 0.53 | 2.67 ± 0.53 | 3.52 ± 0.66 | 3.63 ± 0.50 b | 2.65 ± 0.39 a | 2.99 ± 0.43 ab |
| C17:0 | 0.42 ± 0.12 | 0.44 ± 0.05 | 0.4 ± 0.13 | 0.50 ± 0.26 | 0.85 ± 0.46 | 0.32 ± 0.03 | 0.43 ± 0.14 | 0.46 ± 0.13 | 0.4 ± 0.04 |
| C17:1 | 0.29 ± 0.10 | 0.3 ± 0.16 | 0.29 ± 0.09 | 0.37 ± 0.21 | 0.48 ± 0.25 | 0.23 ± 0.02 | 0.26 ± 0.07 | 0.27 ± 0.06 | 0.25 ± 0.03 |
| C18:0 | 11.3 ± 1.28 | 10.39 ± 1.77 | 11.02 ± 1.11 | 12.81 ± 3.85 | 12.49 ± 1.11 | 11.37 ± 1.28 | 11.48 ± 0.78 | 12.83 ± 1.07 | 12.26 ± 0.86 |
| C18:1n9t | 0.17 ± 0.07 | 0.09 ± 0.08 | 0.13 ± 0.06 | 0.09 ± 0.10 | 0.32 ± 0.07 | 0.23 ± 0.02 | 0.16 ± 0.11 | 0.11 ± 0.1 | 0.22 ± 0.04 |
| C18:1n9c | 44.06 ± 2.62 | 35.57 ± 1.80 | 35.74 ± 1.61 | 36.61 ± 1.63 | 43.33 ± 2.45 | 35.14 ± 1.76 | 42.92 ± 1.35 | 36.91 ± 1.41 | 34.77 ± 1.56 |
| C18:1n7 | 3.34 ± 0.27 | 12.67 ± 18.03 | 10.62 ± 15.47 | 4.22 ± 0.81 | 3.23 ± 0.55 | 13.23 ± 18.75 | 3.68 ± 0.35 | 8.55 ± 14.21 | 10.57 ± 16.21 |
| C18:2n6t | 0.16 ± 0.04 | 0.17 ± 0.05 | 0.17 ± 0.04 | 0.20 ± 0.03 | 0.15 ± 0.02 | 0.16 ± 0.02 | 0.16 ± 0.03 | 0.12 ± 0.05 | 0.14 ± 0.02 |
| C18:2n6c | 8.12 ± 1.21 | 8.55 ± 1.78 | 9.27 ± 2.34 | 8.22 ± 2.62 | 8.23 ± 2.78 | 7.13 ± 2.13 | 7.31 ± 0.73 a | 9.04 ± 1.55 ab | 9.58 ± 1.88 b |
| C18:3n6 | 0.02 ± 0.03 | n.d. | 0.04 ± 0.03 | 0.02 ± 0.02 | 0.02 ± 0.03 | 0.04 ± 0.02 | 0.03 ± 0.03 | n.d. | 0.04 ± 0.04 |
| C18:3n3 | 0.34 ± 0.15 | 0.32 ± 0.1 | 0.51 ± 0.19 | 0.32 ± 0.09 | 0.28 ± 0.15 | 0.34 ± 0.13 | 0.39 ± 0.11 | 0.4 ± 0.13 | 0.52 ± 0.15 |
| C18:4n3 | 0.08 ± 0.03 | 0.07 ± 0.07 | 0.08 ± 0.05 | 0.03 ± 0.02 | 0.12 ± 0.08 | 0.05 ± 0.02 | 0.07 ± 0.03 | 0.08 ± 0.05 | 0.07 ± 0.01 |
| C20:0 | 0.23 ± 0.05 | 0.22 ± 0.03 | 0.24 ± 0.03 | 0.22 ± 0.07 | 0.25 ± 0.07 | 0.2 ± 0.02 | 0.21 ± 0.03 | 0.22 ± 0.02 | 0.2 ± 0.03 |
| C20:1n9 | 1.08 ± 0.16 | 1.28 ± 0.37 | 1.05 ± 0.21 | 1.24 ± 0.39 | 1.05 ± 0.17 | 0.96 ± 0.17 | 0.97 ± 0.10 | 1.02 ± 0.12 | 0.96 ± 0.14 |
| C20:2n6 | 0.43 ± 0.07 | 0.49 ± 0.09 | 0.47 ± 0.14 | 0.45 ± 0.18 | 0.41 ± 0.13 | 0.34 ± 0.09 | 0.34 ± 0.03 a | 0.45 ± 0.07 b | 0.47 ± 0.11 b |
| C20:3n6 | 0.05 ± 0.04 | 0.09 ± 0.02 | 0.04 ± 0.04 | 0.03 ± 0.04 a | 0.07 ± 0.04 b | 0.03 ± 0.04 a | 0.05 ± 0.04 | 0.08 ± 0.03 | 0.05 ± 0.05 |
| C20:4n6 | 0.17 ± 0.06 | 0.18 ± 0.05 | 0.16 ± 0.03 | 0.16 ± 0.05 | 0.17 ± 0.1 | 0.15 ± 0.06 | 0.21 ± 0.04 | 0.24 ± 0.07 | 0.24 ± 0.1 |
| C20:3n3 | 0.08 ± 0.04 ab | 0.04 ± 0.05 a | 0.13 ± 0.04 b | 0.05 ± 0.04 ab | 0.03 ± 0.04 a | 0.09 ± 0.03 b | 0.08 ± 0.03 ab | 0.07 ± 0.05 a | 0.13 ± 0.04 b |
| C20:5 n3 | 0.01 ± 0.01 | 0.01 ± 0.02 | 0.04 ± 0.02 | n.d. | n.d. | n.d. | n.d. | n.d. | n.d. |
| C23:0 | 0.02 ± 0.03 | 0.01 ± 0.02 | 0.04 ± 0.02 | 0.08 ± 0.06 | 0.15 ± 0.14 | 0.09 ± 0.07 | 0.05 ± 0.03 | 0.02 ± 0.04 | 0.04 ± 0.06 |
| Bacon | Dry-Cured Ham | Dry-Fermented Sausages | |||||||
|---|---|---|---|---|---|---|---|---|---|
| Turopolje Pig | Black Slavonian Pig | Banijska Šara | Turopolje Pig | Black Slavonian Pig | Banijska Šara | Turopolje Pig | Black Slavonian Pig | Banijska Šara | |
| IA | 0.51 ± 0.05 | 0.46 ± 0.06 | 0.47 ± 0.06 | 0.72 ± 0.53 | 0.46 ± 0.05 | 0.48 ± 0.04 | 0.51 ± 0.02 | 0.49 ± 0.03 | 0.47 ± 0.04 |
| IT | 1.22 ± 0.13 | 1.08 ± 0.18 | 1.11 ± 0.13 | 1.69 ± 1.23 | 1.13 ± 0.16 | 1.16 ± 0.12 | 1.22 ± 0.05 | 1.23 ± 0.09 | 1.17 ± 0.09 |
| HH | 1.95 ± 0.22 | 1.90 ± 0.92 | 1.78 ± 0.72 | 1.68 ± 0.67 | 2.17 ± 0.26 | 1.67 ± 0.80 | 1.89 ± 0.07 | 1.82 ± 0.62 | 1.79 ± 0.68 |
| PUFAs/SFAs | 0.24 ± 0.05 | 0.29 ± 0.07 | 0.31 ± 0.09 | 0.22 ± 0.02 | 0.25 ± 0.09 | 0.22 ± 0.07 | 0.22 ± 0.02 a | 0.27 ± 0.05 ab | 0.29 ± 0.07 b |
| TFAs (% of total FAs) | 0.68 ± 0.15 | 0.66 ± 0.25 | 0.18 ± 0.17 | 0.74 ± 0.12 | 0.85 ± 0.15 | 0.81 ± 0.17 | 0.75 ± 0.17 | 0.65 ± 0.10 | 0.80 ± 0.10 |
Disclaimer/Publisher’s Note: The statements, opinions and data contained in all publications are solely those of the individual author(s) and contributor(s) and not of MDPI and/or the editor(s). MDPI and/or the editor(s) disclaim responsibility for any injury to people or property resulting from any ideas, methods, instructions or products referred to in the content. |
© 2024 by the authors. Licensee MDPI, Basel, Switzerland. This article is an open access article distributed under the terms and conditions of the Creative Commons Attribution (CC BY) license (https://creativecommons.org/licenses/by/4.0/).
Share and Cite
Vulić, A.; Cvetnić, Ž.; Kos, I.; Vnučec, I.; Vahčić, N.; Lešić, T.; Simonović, D.; Kudumija, N.; Pleadin, J. Comparison of the Nutritional Composition of Meat Products Derived from Croatian Indigenous Pig Breeds. Foods 2024, 13, 4175. https://doi.org/10.3390/foods13244175
Vulić A, Cvetnić Ž, Kos I, Vnučec I, Vahčić N, Lešić T, Simonović D, Kudumija N, Pleadin J. Comparison of the Nutritional Composition of Meat Products Derived from Croatian Indigenous Pig Breeds. Foods. 2024; 13(24):4175. https://doi.org/10.3390/foods13244175
Chicago/Turabian StyleVulić, Ana, Željko Cvetnić, Ivica Kos, Ivan Vnučec, Nada Vahčić, Tina Lešić, Dimitrije Simonović, Nina Kudumija, and Jelka Pleadin. 2024. "Comparison of the Nutritional Composition of Meat Products Derived from Croatian Indigenous Pig Breeds" Foods 13, no. 24: 4175. https://doi.org/10.3390/foods13244175
APA StyleVulić, A., Cvetnić, Ž., Kos, I., Vnučec, I., Vahčić, N., Lešić, T., Simonović, D., Kudumija, N., & Pleadin, J. (2024). Comparison of the Nutritional Composition of Meat Products Derived from Croatian Indigenous Pig Breeds. Foods, 13(24), 4175. https://doi.org/10.3390/foods13244175

