New Route to the Production of Almond Beverages Using Hydrodynamic Cavitation
Abstract
1. Introduction
2. Technological Overview
- Roasting (optional, to increase the emulsion stability and the solubility of proteins): 95–100 °C, 30 min;
- Soaking in water: 4 °C, 6 h;
- Blanching with peeling: in water, 90 °C, 3 min; in steam bath, 85 °C, 5–30 min.
- Wet milling: 1:9 almond to water mass ratio, 18,000 rpm, 2 min;
- Filtration from solid residuals;
- Possible addition of stabilizers such as gums, sweeteners, salt, hydrocolloids, emulsifier, or fortified with micronutrients such calcium or some vitamins;
- Homogenization and sterilization (deactivation or extermination of spoilage or pathogenic microorganisms): ultrahigh temperature (UHT), 140 °C, few seconds; ultrahigh-pressure homogenization (UHPH), 350 MPa, 85 °C (with many variants).
3. Materials and Methods
3.1. Production of Aqueous Almond Extracts
3.2. Sampling and Microbiological, Nutritional, Total Polyphenols, and Antiradical Activity Analyses
3.2.1. Sampling
3.2.2. Microbiological, Nutritional, and Vitamin Analyses
- Energy level: EU Regulation No. 1169/2011 of the European Parliament and of the Council of 25 October 2011 on the provision of food information to consumers (https://eur-lex.europa.eu/legal-content/EN/ALL/?uri=CELEX%3A32011R1169, accessed on 2 January 2023);
- Total and unsaturated fat: Istisan report No. 1996/34 “Methods of analysis for the chemical control of foods”, pages 39 and 47, respectively (https://www.iss.it/en/rapporti-istisan, accessed on 6 January 2023);
- Total carbohydrates and sugar: Italian Ministerial Decree 03 February 1989 (https://www.gazzettaufficiale.it/eli/id/1989/07/20/089A3049/sg, text in Italian, accessed on 6 January 2023);
- Protein: Istisan report No. 1996/34 “Methods of analysis for the chemical control of foods”, page 17 (https://www.iss.it/en/rapporti-istisan, accessed on 6 January 2023);
- Fiber: Istisan report No. 1996/34 “Methods of analysis for the chemical control of foods”, page 73 (https://www.iss.it/en/rapporti-istisan, accessed on 6 January 2023);
- Vitamin B2 and vitamin PP: AOAC 2015.14-2015 (http://www.aoacofficialmethod.org/index.php?main_page=product_info&cPath=1&products_id=2990, accessed on 6 January 2023);
- Vitamin E: UNI EN 12822:2000 (https://store.uni.com/en/uni-en-12822-2000, accessed on 6 January 2023).
3.2.3. Total Polyphenols and Antiradical Activity
3.2.4. Potential Contents
3.3. Mass Balance
4. Results
4.1. Processes and Energy Consumption
4.2. Microbiological Stability
4.3. Nutritional Contents
4.3.1. Tests MFP1 and MGP1
4.3.2. Test MGP3
4.4. Total Polyphenol Content and Antiradical Activity
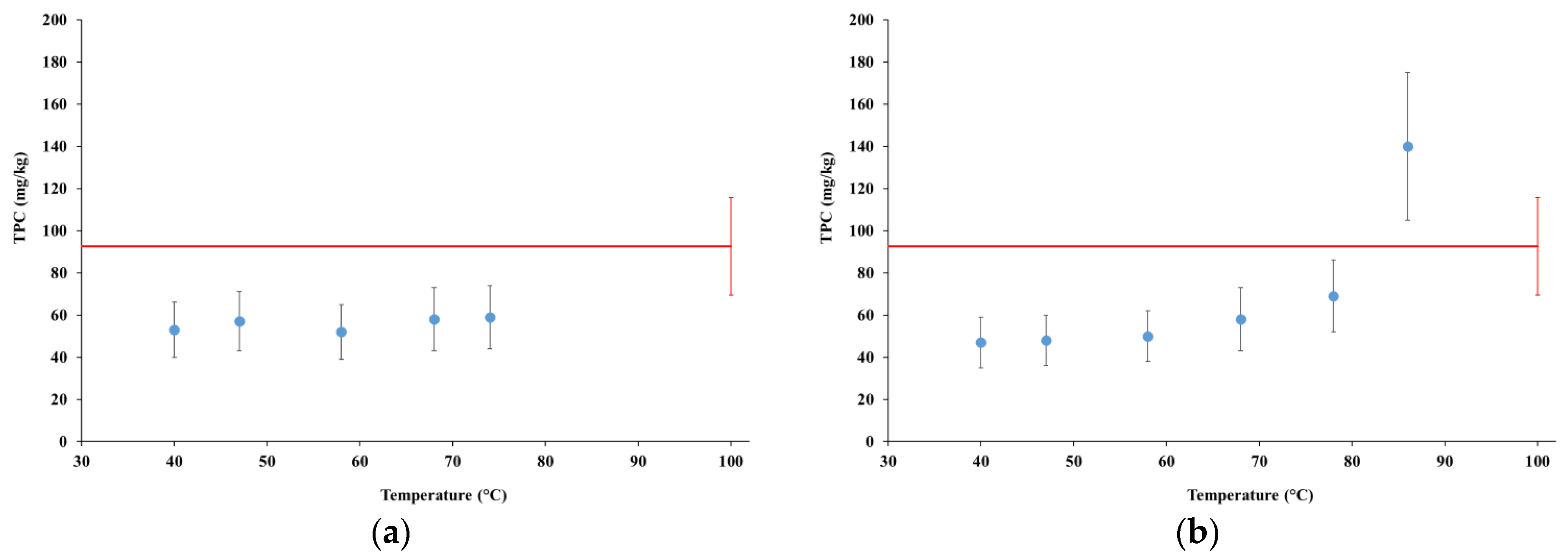
4.4.1. TPC in Tests MFP1 and MGP1
4.4.2. TPC and Antiradical Activity in Tests MGP2 and MGP3
4.5. Vitamins
4.6. Mass Balance for Test MGP3
5. Discussion
6. Conclusions
Author Contributions
Funding
Data Availability Statement
Acknowledgments
Conflicts of Interest
References
- Bocker, R.; Silva, E.K. Innovative technologies for manufacturing plant-based non-dairy alternative milk and their impact on nutritional, sensory and safety aspects. Futur. Foods 2022, 5, 100098. [Google Scholar] [CrossRef]
- Sethi, S.; Tyagi, S.K.; Anurag, R.K. Plant-based milk alternatives an emerging segment of functional beverages: A review. J. Food Sci. Technol. 2016, 53, 3408–3423. [Google Scholar] [CrossRef]
- Jeske, S.; Zannini, E.; Arendt, E.K. Past, present and future: The strength of plant-based dairy substitutes based on gluten-free raw materials. Food Res. Int. 2018, 110, 42–51. [Google Scholar] [CrossRef]
- Barral-Martinez, M.; Fraga-Corral, M.; Garcia-Perez, P.; Simal-Gandara, J.; Prieto, M. Almond By-Products: Valorization for Sustainability and Competitiveness of the Industry. Foods 2021, 10, 1793. [Google Scholar] [CrossRef]
- Valencia-Flores, D.C.; Hernandez, M.; Guamis, B.; Ferragut, V. Comparing the Effects of Ultra-High-Pressure Homogenization and Conventional Thermal Treatments on the Microbiological, Physical, and Chemical Quality of Almond Beverages. J. Food Sci. 2013, 78, E199–E205. [Google Scholar] [CrossRef]
- Maghsoudlou, Y.; Alami, M.; Mashkour, M.; Shahraki, M.H. Optimization of Ultrasound-Assisted Stabilization and Formulation of Almond Milk. J. Food Process. Preserv. 2015, 40, 828–839. [Google Scholar] [CrossRef]
- Beltrán Sanahuja, A.; Maestre Pérez, S.E.; Grané Teruel, N.; Valdés García, A.; Prats Moya, M.S. Variability of Chemical Profile in Almonds (Prunus dulcis) of Different Cultivars and Origins. Foods 2021, 10, 153. [Google Scholar] [CrossRef]
- Chalupa-Krebzdak, S.; Long, C.J.; Bohrer, B.M. Nutrient density and nutritional value of milk and plant-based milk alternatives. Int. Dairy J. 2018, 87, 84–92. [Google Scholar] [CrossRef]
- Özcan, M.M. A review on some properties of almond: Impact of processing, fatty acids, polyphenols, nutrients, bioactive properties, and health aspects. J. Food Sci. Technol. 2022, 1–12. [Google Scholar] [CrossRef]
- Barreca, D.; Nabavi, S.M.; Sureda, A.; Rasekhian, M.; Raciti, R.; Silva, A.S.; Annunziata, G.; Arnone, A.; Tenore, G.C.; Süntar, I.; et al. Almonds (Prunus Dulcis Mill. D. A. Webb): A Source of Nutrients and Health-Promoting Compounds. Nutrients 2020, 12, 672. [Google Scholar] [CrossRef]
- Jenkins, D.J.A.; Kendall, C.W.C.; Josse, A.R.; Salvatore, S.; Brighenti, F.; Augustin, L.S.A.; Ellis, P.R.; Vidgen, E.; Rao, A.V. Almonds Decrease Postprandial Glycemia, Insulinemia, and Oxidative Damage in Healthy Individuals. J. Nutr. 2006, 136, 2987–2992. [Google Scholar] [CrossRef]
- Liu, Y.; Hwang, H.-J.; Kim, H.-S.; Park, H. Time and Intervention Effects of Daily Almond Intake on the Changes of Lipid Profile and Body Composition Among Free-Living Healthy Adults. J. Med. Food 2018, 21, 340–347. [Google Scholar] [CrossRef]
- Holscher, H.D.; Taylor, A.M.; Swanson, K.S.; Novotny, J.A.; Baer, D.J. Almond Consumption and Processing Affects the Composition of the Gastrointestinal Microbiota of Healthy Adult Men and Women: A Randomized Controlled Trial. Nutrients 2018, 10, 126. [Google Scholar] [CrossRef]
- Chen, C.-Y.O.; Holbrook, M.; Duess, M.-A.; Dohadwala, M.M.; Hamburg, N.M.; Asztalos, B.F.; Milbury, P.E.; Blumberg, J.B.; Vita, J.A. Effect of almond consumption on vascular function in patients with coronary artery disease: A randomized, controlled, cross-over trial. Nutr. J. 2015, 14, 61. [Google Scholar] [CrossRef]
- Jenkins, D.J.; Kendall, C.W.; Marchie, A.; Parker, T.L.; Connelly, P.W.; Qian, W.; Haight, J.S.; Faulkner, D.; Vidgen, E.; Lapsley, K.G.; et al. Dose Response of Almonds on Coronary Heart Disease Risk Factors: Blood Lipids, Oxidized Low-Density Lipoproteins, Lipoprotein(a), Homocysteine, and Pulmonary Nitric Oxide. Circulation 2002, 106, 1327–1332. [Google Scholar] [CrossRef]
- Li, S.-C.; Liu, Y.-H.; Liu, J.-F.; Chang, W.-H.; Chen, C.-M. Almond consumption improved glycemic control and lipid profiles in patients with type 2 diabetes mellitus. Metabolism 2011, 60, 474–479. [Google Scholar] [CrossRef]
- Musarra-Pizzo, M.; Ginestra, G.; Smeriglio, A.; Pennisi, R.; Sciortino, M.T.; Mandalari, G. The Antimicrobial and Antiviral Activity of Polyphenols from Almond (Prunus dulcis L.) Skin. Nutrients 2019, 11, 2355. [Google Scholar] [CrossRef]
- Mandalari, G.; Bisignano, C.; D’Arrigo, M.; Ginestra, G.; Arena, A.; Tomaino, A.; Wickham, M. Antimicrobial potential of polyphenols extracted from almond skins. Lett. Appl. Microbiol. 2010, 51, 83–89. [Google Scholar] [CrossRef]
- Chen, C.-Y.O.; Blumberg, J.B. In Vitro Activity of Almond Skin Polyphenols for Scavenging Free Radicals and Inducing Quinone Reductase. J. Agric. Food Chem. 2008, 56, 4427–4434. [Google Scholar] [CrossRef]
- Aydar, E.F.; Tutuncu, S.; Ozcelik, B. Plant-based milk substitutes: Bioactive compounds, conventional and novel processes, bioavailability studies, and health effects. J. Funct. Foods 2020, 70, 103975. [Google Scholar] [CrossRef]
- Meneguzzo, F.; Albanese, L.; Zabini, F. Hydrodynamic Cavitation in Beer and Other Beverage Processing. In Reference Module in Food Science; Elsevier: Amsterdam, The Netherlands, 2020; pp. 369–394. [Google Scholar]
- McClements, D.J.; Newman, E.; McClements, I.F. Plant-Based Milks: A Review of the Science Underpinning Their Design, Fabrication, and Performance. Compr. Rev. Food Sci. Food Saf. 2019, 18, 2047–2067. [Google Scholar] [CrossRef]
- Reyes-Jurado, F.; Soto-Reyes, N.; Dávila-Rodríguez, M.; Lorenzo-Leal, A.; Jiménez-Munguía, M.; Mani-López, E.; López-Malo, A. Plant-Based Milk Alternatives: Types, Processes, Benefits, and Characteristics. Food Rev. Int. 2021, 1–32. [Google Scholar] [CrossRef]
- Bolling, B.W. Almond Polyphenols: Methods of Analysis, Contribution to Food Quality, and Health Promotion. Compr. Rev. Food Sci. Food Saf. 2017, 16, 346–368. [Google Scholar] [CrossRef]
- Tabib, M.; Tao, Y.; Ginies, C.; Bornard, I.; Rakotomanomana, N.; Remmal, A.; Chemat, F. A One-Pot Ultrasound-Assisted Almond Skin Separation/Polyphenols Extraction and its Effects on Structure, Polyphenols, Lipids, and Proteins Quality. Appl. Sci. 2020, 10, 3628. [Google Scholar] [CrossRef]
- Oliveira, I.; Meyer, A.S.; Afonso, S.; Sequeira, A.; Vilela, A.; Goufo, P.; Trindade, H.; Gonçalves, B. Effects of Different Processing Treatments on Almond (Prunus dulcis) Bioactive Compounds, Antioxidant Activities, Fatty Acids, and Sensorial Characteristics. Plants 2020, 9, 1627. [Google Scholar] [CrossRef]
- Panda, D.; Manickam, S. Cavitation Technology—The Future of Greener Extraction Method: A Review on the Extraction of Natural Products and Process Intensification Mechanism and Perspectives. Appl. Sci. 2019, 9, 766. [Google Scholar] [CrossRef]
- Rojas, M.L.; Kubo, M.T.; Miano, A.C.; Augusto, P.E. Ultrasound processing to enhance the functionality of plant-based beverages and proteins. Curr. Opin. Food Sci. 2022, 48, 100939. [Google Scholar] [CrossRef]
- Panda, D.; Saharan, V.K.; Manickam, S. Controlled Hydrodynamic Cavitation: A Review of Recent Advances and Perspectives for Greener Processing. Processes 2020, 8, 220. [Google Scholar] [CrossRef]
- Zheng, H.; Zheng, Y.; Zhu, J. Recent Developments in Hydrodynamic Cavitation Reactors: Cavitation Mechanism, Reactor Design, and Applications. Engineering 2022. [Google Scholar] [CrossRef]
- Salve, A.R.; Pegu, K.; Arya, S.S. Comparative assessment of high-intensity ultrasound and hydrodynamic cavitation processing on physico-chemical properties and microbial inactivation of peanut milk. Ultrason. Sonochemistry 2019, 59, 104728. [Google Scholar] [CrossRef]
- Iorio, M.C.; Bevilacqua, A.; Corbo, M.R.; Campaniello, D.; Sinigaglia, M.; Altieri, C. A case study on the use of ultrasound for the inhibition of Escherichia coli O157:H7 and Listeria monocytogenes in almond milk. Ultrason. Sonochemistry 2018, 52, 477–483. [Google Scholar] [CrossRef]
- Dhakal, S.; Giusti, M.M.; Balasubramaniam, V. Effect of high pressure processing on dispersive and aggregative properties of almond milk. J. Sci. Food Agric. 2016, 96, 3821–3830. [Google Scholar] [CrossRef]
- Briviba, K.; Gräf, V.; Walz, E.; Guamis, B.; Butz, P. Ultra high pressure homogenization of almond milk: Physico-chemical and physiological effects. Food Chem. 2016, 192, 82–89. [Google Scholar] [CrossRef]
- Manzoor, M.F.; Siddique, R.; Hussain, A.; Ahmad, N.; Rehman, A.; Siddeeg, A.; Alfarga, A.; Alshammari, G.M.; Yahya, M.A. Thermosonication effect on bioactive compounds, enzymes activity, particle size, microbial load, and sensory properties of almond (Prunus dulcis) milk. Ultrason. Sonochem. 2021, 78, 105705. [Google Scholar] [CrossRef]
- Ferragut, V.; Hernández-Herrero, M.; Veciana-Nogués, M.T.; Borras-Suarez, M.; González-Linares, J.; Vidal-Carou, M.C.; Guamis, B. Ultra-high-pressure homogenization (UHPH) system for producing high-quality vegetable-based beverages: Physicochemical, microbiological, nutritional and toxicological characteristics. J. Sci. Food Agric. 2014, 95, 953–961. [Google Scholar] [CrossRef]
- Meneguzzo, F.; Zabini, F.; Albanese, L.; Crisci, A. Novel Affordable, Reliable and Efficient Technologies to Help Addressing the Water-Energy-Food Nexus. Eur. J. Sustain. Dev. 2019, 8, 1–17. [Google Scholar] [CrossRef]
- Meneguzzo, F.; Zabini, F. Agri-Food and Forestry Sectors for Sustainable Development; Sustainable Development Goals Series; Springer International Publishing: Cham, Switzerland, 2021; ISBN 978-3-030-66283-7. [Google Scholar]
- Gallina, L.; Cravotto, C.; Capaldi, G.; Grillo, G.; Cravotto, G. Plant Extraction in Water: Towards Highly Efficient Industrial Applications. Processes 2022, 10, 2233. [Google Scholar] [CrossRef]
- Albanese, L.; Ciriminna, R.; Meneguzzo, F.; Pagliaro, M. Beer-brewing powered by controlled hydrodynamic cavitation: Theory and real-scale experiments. J. Clean. Prod. 2017, 142, 1457–1470. [Google Scholar] [CrossRef]
- Albanese, L.; Bonetti, A.; D’Acqui, L.; Meneguzzo, F.; Zabini, F. Affordable Production of Antioxidant Aqueous Solutions by Hydrodynamic Cavitation Processing of Silver Fir (Abies alba Mill.) Needles. Foods 2019, 8, 65. [Google Scholar] [CrossRef]
- Meneguzzo, F.; Brunetti, C.; Fidalgo, A.; Ciriminna, R.; DeLisi, R.; Albanese, L.; Zabini, F.; Gori, A.; dos Santos Nascimento, L.B.; De Carlo, A.; et al. Real-Scale Integral Valorization of Waste Orange Peel via Hydrodynamic Cavitation. Processes 2019, 7, 581. [Google Scholar] [CrossRef]
- Preece, K.E.; Hooshyar, N.; Krijgsman, A.J.; Fryer, P.J.; Zuidam, N.J. Intensification of protein extraction from soybean processing materials using hydrodynamic cavitation. Innov. Food Sci. Emerg. Technol. 2017, 41, 47–55. [Google Scholar] [CrossRef]
- Pica, A.L.; Silvestri, C.; Cristofori, V. Cultivar-Specific Assessments of Almond Nutritional Status through Foliar Analysis. Horticulturae 2022, 8, 822. [Google Scholar] [CrossRef]
- Piscopo, A.; Romeo, F.; Petrovicova, B.; Poiana, M. Effect of the harvest time on kernel quality of several almond varieties (Prunus dulcis (Mill.) D.A. Webb). Sci. Hortic. 2010, 125, 41–46. [Google Scholar] [CrossRef]
- Montalbano, L.M.; Solano, M.; Vaccaro, P. Vegetable Beverage Based on Almonds Cream Ready to Use. Italian Patent 102006901400709, 29 March 2006. [Google Scholar]
- Folin, O.; Ciocalteu, V. On Tyrosine and Tryptophane Determinations in Proteins. J. Biol. Chem. 1927, 73, 627–650. [Google Scholar] [CrossRef]
- Romani, A.; Vignolini, P.; Isolani, L.; Ieri, F.; Heimler, D. HPLC-DAD/MS Characterization of Flavonoids and Hydroxycinnamic Derivatives in Turnip Tops (Brassica rapa L. Subsp. sylvestris L.). J. Agric. Food Chem. 2006, 54, 1342–1346. [Google Scholar] [CrossRef]
- Martynenko, A.; Chen, Y. Degradation kinetics of total anthocyanins and formation of polymeric color in blueberry hydrothermodynamic (HTD) processing. J. Food Eng. 2016, 171, 44–51. [Google Scholar] [CrossRef]
- Bhukya, J.; Mohapatra, D.; Naik, R. Hydrodynamic cavitation processing of ascorbic acid treated precooled sugarcane juice for physiochemical, bioactive, enzyme stability, and microbial safety. J. Food Process. Eng. 2022, e14209. [Google Scholar] [CrossRef]
- Devnani, B.; Ong, L.; Kentish, S.; Gras, S. Heat induced denaturation, aggregation and gelation of almond proteins in skim and full fat almond milk. Food Chem. 2020, 325, 126901. [Google Scholar] [CrossRef]
- Kamal, H.; Ali, A.; Manickam, S.; Le, C.F. Impact of cavitation on the structure and functional quality of extracted protein from food sources—An overview. Food Chem. 2023, 407, 135071. [Google Scholar] [CrossRef]
- Domínguez Avila, J.A.; Wall Medrano, A.; Ruiz Pardo, C.A.; Montalvo González, E.; González Aguilar, G.A. Use of nonthermal technologies in the production of functional beverages from vegetable ingredients to preserve heat-labile phytochemicals. J. Food Process. Preserv. 2018, 42, e13506. [Google Scholar] [CrossRef]
- Monagas, M.; Garrido, I.; Lebrón-Aguilar, R.; Bartolome, B.; Gómez-Cordovés, C. Almond (Prunus dulcis (Mill.) D.A. Webb) Skins as a Potential Source of Bioactive Polyphenols. J. Agric. Food Chem. 2007, 55, 8498–8507. [Google Scholar] [CrossRef]
- More, P.R.; Jambrak, A.R.; Arya, S.S. Green, environment-friendly and sustainable techniques for extraction of food bioactive compounds and waste valorization. Trends Food Sci. Technol. 2022, 128, 296–315. [Google Scholar] [CrossRef]
- Dhakal, S.; Liu, C.; Zhang, Y.; Roux, K.H.; Sathe, S.K.; Balasubramaniam, V. Effect of high pressure processing on the immunoreactivity of almond milk. Food Res. Int. 2014, 62, 215–222. [Google Scholar] [CrossRef]












| Technology | Application | Process | Main Results | Reference |
|---|---|---|---|---|
| US | Almond beverage: disinfection | 130 W/80%/20 kHz 8 min/6 s of pulse | Escherichia coli (O157:H7): 5.12 to 3.81 log CFU/mL. Listeria monocytogenes: reduction by 1 log CFU/mL. | [32] |
| US | Almond beverage: physicochemical | 300 W/20 kHz/100% 0 to 5 min | Higher Brix degree and physical stability. Decreased viscosity and suspended particles size. | [6] |
| HHP | Almond beverage: physicochemical | HHP (450 and 600 MPa for 0, 30, 60, 180, 300, and 600 s at 30 °C) Control: Traditional thermal process (0, 30, 180, and 300 s at 72, 85, and 99 °C). | Aggregation and coagulation of almond proteins. Improved sensorial properties. | [33] |
| HPP | Almond beverage: physicochemical | 350 MPa and 85 °C for 15 s. | Microbiological stability. Increase of particle size. No change of cytotoxic, genotoxic, and antigenotoxic activity. | [34] |
| TS | Almond beverage: disinfection, physicochemical, micronutrients | TS: 600 W/40 kHz/30, 45, and 60 °C for 10, 20, 30, and 40 min Control: pasteurization (60 s at 90 °C) | Particle size reduction due to acoustic cavitation. Improvement of rheological properties. Increased bioavailability of phenolics. | [35] |
| UHPH | Almond beverage: disinfection, chemical–physical improvement | 200 and 300 MPa at 55, 65, and 75 °C, with emulsifying agent (lecithin) | 200 MPa with 55 °C inlet temperature improves over conventional pasteurization. | [5] |
| UHPH | Almond and soy beverages: physicochemical, microbiological, nutritional, and toxicological | 200 MPa, 55 °C; 300 MPa, 75 °C. Control: UHT. | 300 MPa, 75 °C led to a complete inactivation of microorganisms, improved colloidal stability | [36] |
| Test ID | Almond Material | Mass of Almonds (kg) | Water Volume (L) | Concentration (%) | Process Time (min) | Process Temperatures (°C) |
|---|---|---|---|---|---|---|
| MFP1 | Peeled, flour | 15 | 187.5 | 7.4 | 107 | 30–74 |
| MGP1 | Peeled, fine grain | 12 | 150 | 7.4 | 125 | 30–86 |
| MGP2 | Peeled, fine grain | 56 | 150 | 27.2 | 105 | 34–82 |
| MGP3 | Whole, coarse grain | 33 | 150 | 18.0 | 138 | 26–82 |
| Test ID | Sample Type 1 | Microbiological 2 | Nutritional | Total Polyphenols | Antiradical Activity | |
|---|---|---|---|---|---|---|
| T0 | Shelf life | |||||
| MFP1 | Raw | X | X | X | ||
| MFP1 | Extract | X | X | X | X | |
| MGP1 | Raw | X | X | X | ||
| MGP1 | Extract | X | X | X | X | |
| MGP2 | Extract | X | X | |||
| MGP3 | Raw | X | X | X | ||
| MGP3 | Extract | X | X | X | X | |
| Commercial | Extract | X | X | X | X | |
| Quantity | Sample MGP3 | Potential Content |
|---|---|---|
| Energy (kCal/100 g) | 52 | 119 |
| Total fat (%) | 4.3 ± 0.9 | 10.6 ± 2.1 |
| Saturated fat (%) | 0.3 ± 0.1 | 0.8 ± 0.2 |
| Carbohydrates (%) | 0.8 ± 0.2 | 1.8 ± 0.4 |
| Proteins (%) | 2.5 ± 0.5 | 4.3 ± 0.9 |
| Fibers (%) | 0.8 ± 0.2 | 3.9 ± 0.8 |
| Test ID | TPC in Extract (mg/kg) | DPPH IC50 (μL/mL) |
|---|---|---|
| MGP2 | 193 ± 20 | 42.93 ± 0.09 |
| MGP3 | 141 ± 14 | 28.13 ± 0.73 |
| Material | Fresh Mass (g) | Average Ratio to Fresh Mass (%) | Dry Biomass (g) | Average Ratio to Dry Mass 1 (%) |
|---|---|---|---|---|
| Whole 2 | 47.3 ± 1.6 | 100.0 | 8.73 ± 0.42 | 18.5 |
| Pellet | 24.0 ± 0.9 | 50.8 | 6.29 ± 0.31 | 26.2 |
| Supernatant | 23.3 ± 0.8 | 49.2 | 2.38 ± 0.14 | 10.2 |
Disclaimer/Publisher’s Note: The statements, opinions and data contained in all publications are solely those of the individual author(s) and contributor(s) and not of MDPI and/or the editor(s). MDPI and/or the editor(s) disclaim responsibility for any injury to people or property resulting from any ideas, methods, instructions or products referred to in the content. |
© 2023 by the authors. Licensee MDPI, Basel, Switzerland. This article is an open access article distributed under the terms and conditions of the Creative Commons Attribution (CC BY) license (https://creativecommons.org/licenses/by/4.0/).
Share and Cite
Faraloni, C.; Albanese, L.; Chini Zittelli, G.; Meneguzzo, F.; Tagliavento, L.; Zabini, F. New Route to the Production of Almond Beverages Using Hydrodynamic Cavitation. Foods 2023, 12, 935. https://doi.org/10.3390/foods12050935
Faraloni C, Albanese L, Chini Zittelli G, Meneguzzo F, Tagliavento L, Zabini F. New Route to the Production of Almond Beverages Using Hydrodynamic Cavitation. Foods. 2023; 12(5):935. https://doi.org/10.3390/foods12050935
Chicago/Turabian StyleFaraloni, Cecilia, Lorenzo Albanese, Graziella Chini Zittelli, Francesco Meneguzzo, Luca Tagliavento, and Federica Zabini. 2023. "New Route to the Production of Almond Beverages Using Hydrodynamic Cavitation" Foods 12, no. 5: 935. https://doi.org/10.3390/foods12050935
APA StyleFaraloni, C., Albanese, L., Chini Zittelli, G., Meneguzzo, F., Tagliavento, L., & Zabini, F. (2023). New Route to the Production of Almond Beverages Using Hydrodynamic Cavitation. Foods, 12(5), 935. https://doi.org/10.3390/foods12050935

