Impact of Milk Thermization on the Quality Characteristics of P.D.O. “Canestrato Pugliese” Ovine Hard Cheese
Abstract
1. Introduction
2. Materials and Methods
2.1. Cheese Manufacturing
2.2. Chemical Analyses
2.3. Microbiological Analyses
2.4. Sensory Analysis
2.5. Statistical Analysis
3. Results and Discussion
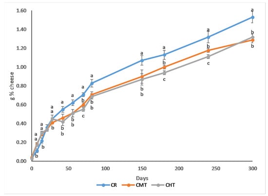
3.1. Chemical and Microbiological Analyses
3.2. Sensory Analysis
4. Conclusions
Author Contributions
Funding
Data Availability Statement
Conflicts of Interest
References
- Melini, V.; Melini, F. Recent Advances in Food Protected Designations of Origin. In Comprehensive Foodomics; Cifuentes, A., Ed.; Elsevier: Amsterdam, The Netherlands, 2021; pp. 417–437. [Google Scholar]
- Martelo-Vidal, M.J.; Vázquez, M. Advances in Ultraviolet and Visible Light Spectroscopy for Food Authenticity Testing. In Advances in Food Authenticity Testing; Elsevier: Amsterdam, The Netherlands, 2016; pp. 35–70. [Google Scholar]
- West, H.G. Food fears and raw-milk cheese. Appetite 2008, 51, 25–29. [Google Scholar] [CrossRef]
- de Sainte Marie, C.; Mariani, M.; Millet, M.; Cerdan, C.; Casabianca, F. Can raw milk cheese and pasteurised milk cheese coexist? Unthinkable or never really considered? Rev. Agric. Food Environ. Stud. 2020, 101, 287–309. [Google Scholar] [CrossRef]
- Formaggi Europei: Dop e Latte Crudo. Available online: https://www.fondazioneslowfood.com/it/i-nostri-temi/biodiversita/osservatorio-sulla-biodiversita/formaggi-europei-dop-latte-crudo/ (accessed on 5 July 2022).
- Benfeldt, C.; Sørensen, J.; Ellegård, K.H.; Petersen, T.E. Heat Treatment of Cheese Milk: Effect on Plasmin Activity and Proteolysis During Cheese Ripening. Int. Dairy J. 1997, 7, 723–731. [Google Scholar] [CrossRef]
- Benfeldt, C.; Sørensen, J. Heat treatment of cheese milk: Effect on proteolysis during cheese ripening. Int. Dairy J. 2001, 11, 567–574. [Google Scholar] [CrossRef]
- Hickey, D.K.; Kilcawley, K.N.; Beresford, T.P.; Wilkinson, M.G. Lipolysis in Cheddar Cheese Made from Raw, Thermized, and Pasteurized Milks. J. Dairy Sci. 2007, 90, 47–56. [Google Scholar] [CrossRef]
- Pappa, E.C.; Bontinis, T.G.; Samelis, J.; Sotirakoglou, K. Assessment of the Microbiological Quality and Biochemical Parameters of Traditional Hard Xinotyri Cheese Made from Raw or Pasteurized Goat Milk. Fermentation 2022, 8, 20. [Google Scholar] [CrossRef]
- Chambers, D.H.; Esteve, E.; Retiveau, A. Effect of milk pasteurization on flavor properties of seven commercially available French cheese types. J. Sens. Stud. 2010, 25, 494–511. [Google Scholar] [CrossRef]
- Matselis, E.; Roussis, I.G. Proteinase and lipase production by Pseudomonas fluorescens. Proteolysis and lipolysis in thermized ewe’s milk. Food Control. 1998, 9, 251–259. [Google Scholar] [CrossRef]
- Peng, S.; Hummerjohann, J.; Stephan, R.; Hammer, P. Short communication: Heat resistance of Escherichia coli strains in raw milk at different subpasteurization conditions. J. Dairy Sci. 2013, 96, 3543–3546. [Google Scholar] [CrossRef]
- Tilocca, B.; Costanzo, N.; Morittu, V.M.; Spina, A.A.; Soggiu, A.; Britti, D.; Roncada, P.; Piras, C. Milk microbiota: Characterization methods and role in cheese production. J. Proteomics 2020, 210, 103534. [Google Scholar] [CrossRef]
- Italian Ministry of Agriculture, Food and Forestry Policies. Available online: https://www.politicheagricole.it/flex/cm/pages/ServeBLOB.php/L/IT/IDPagina/7469 (accessed on 25 December 2022).
- Xanthopoulos, V.; Polychroniadou, A.; Litopoulou-Tzanetaki, E.; Tzanetakis, N. Characteristics of Anevato Cheese made from Raw or Heat-treated Goat Milk Inoculated with a Lactic Starter. LWT Food Sci. Technol. 2000, 33, 483–488. [Google Scholar] [CrossRef]
- Pirisi, A.; Pinna, G.; Papoff, C.M. Effect of milk thermisation on Fiore Sardo PDO cheese: 1. Physicochemical characteristics. Sci. Tecn. Latt. Cas. 1999, 50, 353–366. [Google Scholar]
- Caboni, P.; Maxia, D.; Scano, P.; Addis, M.; Dedola, A.; Pes, M.; Murgia, A.; Casula, M.; Profumo, A.; Pirisi, A. A gas chromatography-mass spectrometry untargeted metabolomics approach to discriminate Fiore Sardo cheese produced from raw or thermized ovine milk. J. Dairy Sci. 2019, 102, 5005–5018. [Google Scholar] [CrossRef] [PubMed]
- Dedola, A.S.; Piras, L.; Addis, M.; Pirisi, A.; Piredda, G.; Mara, A.; Sanna, G. New Analytical Tools for Unmasking Frauds in Raw Milk-Based Dairy Products: Assessment, Validation and Application to Fiore Sardo PDO Cheese of a RP-HPLC Method for the Evaluation of the α-l-Fucosidase Activity. Separations 2020, 7, 40. [Google Scholar] [CrossRef]
- Cammerino, A.R.B.; Biscotti, S.; De Iulio, R.; Monteleone, M. The sheep tracks of transhumance in the Apulia region (South Italy): Steps to a strategy of agricultural landscape conservation. Appl. Ecol. Env. Res. 2018, 16, 6977–7000. [Google Scholar] [CrossRef]
- Albenzio, M.; Corbo, M.; Rehman, S.; Fox, P.; De Angelis, M.; Corsetti, A.; Sevi, A.; Gobbetti, M. Microbiological and biochemical characteristics of Canestrato Pugliese cheese made from raw milk, pasteurized milk or by heating the curd in hot whey. Int. J. Food Microbiol. 2001, 67, 35–48. [Google Scholar] [CrossRef]
- Piombino, P.; Pessina, R.; Genovese, A.; Lisanti, M.T.; Moio, L. Sensory profiling, volatiles and odor-active compounds of Canestrato pugliese PDO cheese made from raw and pasteurized ewes’ milk. Ital. J. Food Sci. 2008, 20, 225–237. [Google Scholar]
- European Commission (EC). Regulation No 1107/96 of 12 June 1996 On the registration of geographical indications and designations of origin under the procedure laid down in Article 17 of Council Regulation (EEC) No 2081/92. Off. J. Eur. Communities 1996, L148, 1–10. [Google Scholar]
- Kuchroo, C.N.; Fox, P.F. Soluble nitrogen in Cheddar cheese: Comparison of extraction procedures. Milchwiss. Milk Sci. Int. 1982, 37, 331–335. [Google Scholar]
- Andrews, A.T. Proteinases in normal bovine milk and their action on caseins. J. Dairy Res. 1983, 50, 45–55. [Google Scholar] [CrossRef]
- Faccia, M.; Gambacorta, G.; Caponio, F.; Pati, S.; Di Luccia, A. Influence of type of milk and ripening time on proteolysis and lipolysis in a cheese made from overheated milk. Int. J. Food Sci. Technol. 2007, 42, 427–433. [Google Scholar] [CrossRef]
- Bachmann, H.P.; Banks, J.; Beresford, T.; Bütikofer, U.; Grappin, R.; Lavanchy, P.; Lindblad, O.; McNulty, D.; McSweeney, P.L.; Skeie, S. Interlaboratory Comparison of Cheese Making Trials: Model Cheeses Made From Raw, Pasteurized and Microfiltered Milks. LWT Food Sci. Technol. 1998, 31, 585–593. [Google Scholar] [CrossRef]
- Awad, S. Texture and flavour development in Ras cheese made from raw and pasteurised milk. Food Chem. 2006, 97, 394–400. [Google Scholar] [CrossRef]
- Wilkinson, M.G.; LaPointe, G. Invited review: Starter lactic acid bacteria survival in cheese: New perspectives on cheese microbiology. J. Dairy Sci. 2020, 103, 10963–10985. [Google Scholar] [CrossRef]
- Giraffa, G. Functionality of enterococci in dairy products. Int. J. Food Microbiol. 2003, 88, 215–222. [Google Scholar] [CrossRef] [PubMed]
- McAuley, C.M.; Gobius, K.S.; Britz, M.L.; Craven, H.M. Heat resistance of thermoduric enterococci isolated from milk. Int. J. Food Microbiol. 2012, 154, 162–168. [Google Scholar] [CrossRef]
- de Garnica, M.L.; Santos, J.A.; Gonzalo, C. Short communication: Influence of storage and preservation on microbiological quality of silo ovine milk. J. Dairy Sci. 2011, 94, 1922–1927. [Google Scholar] [CrossRef]
- Corbo, M.R.; Albenzio, M.; De Angelis, M.; Sevi, A.; Gobbetti, M. Microbiological and biochemical properties of Canestrato Pugliese hard cheese supplemented with bifidobacteria. J. Dairy Sci. 2001, 84, 551–561. [Google Scholar] [CrossRef] [PubMed]
- Santoro, M.; Faccia, M. Influence of mould size and rennet on proteolysis and composition of Canestrato Pugliese cheese. Ital. J. Food Sci. 1998, 10, 217–228. [Google Scholar]
- Pirisi, A.; Pinna, G.; Addis, M.; Piredda, G.; Mauriello, R.; De Pascale, S.; Caira, S.; Mamone, G.; Ferranti, P.; Addeo, F.; et al. Relationship between the enzymatic composition of lamb rennet paste and proteolytic, lipolytic pattern and texture of PDO Fiore Sardo ovine cheese. Int. Dairy J. 2007, 17, 143–156. [Google Scholar] [CrossRef]
- Sousa, M.J.; Malcata, F.X. Comparative biochemical evolution during ripening of bovine, ovine and caprine cheeses manufactured with extracts of flowers of Cynara cardunculus. Z. Lebensm. Unters. Forsch. A 1997, 205, 97–103. [Google Scholar] [CrossRef]
- Faccia, M.; Trani, A.; Loizzo, P.; Gagliardi, R.; La Gatta, B.; Di Luccia, A. Detection of αs1-I casein in mozzarella Fiordilatte: A possible tool to reveal the use of stored curd in cheesemaking. Food Control. 2014, 42, 101–108. [Google Scholar] [CrossRef]
- Ismail, B.; Nielsen, S.S. Invited review: Plasmin protease in milk: Current knowledge and relevance to dairy industry. J. Dairy Sci. 2010, 93, 4999–5009. [Google Scholar] [CrossRef]
- Sarantinopoulos, P.; Kalantzopoulos, G.; Tsakalidou, E. Effect of Enterococcus faecium on microbiological, physicochemical and sensory characteristics of Greek Feta cheese. Int. J. Food Microbiol. 2002, 76, 93–105. [Google Scholar] [CrossRef]
- Franz, C.M.A.P.; Holzapfel, W.H.; Stiles, M.E. Enterococci at the crossroads of food safety? Int. J. Food Microbiol. 1999, 47, 1–24. [Google Scholar] [CrossRef]
- Faccia, M.; Gambacorta, G.; Liuzzi, V.A.; Alviti, G.; Di Luccia, A. Influence of cheese weight and type of rennet on composition and proteolysis of Canestrato Pugliese cheese II. Chromatographic characterization of soluble nitrogen. Ital. J. Food Sci. 2003, 15, 75–84. [Google Scholar]
- Sousa, M.; Ardö, Y.; McSweeney, P.L. Advances in the study of proteolysis during cheese ripening. Int. Dairy J. 2001, 11, 327–345. [Google Scholar] [CrossRef]
- Delgado, F.J.; González-Crespo, J.; Cava, R.; Ramírez, R. Formation of the aroma of a raw goat milk cheese during maturation analysed by SPME-GC-MS. Food Chem. 2011, 129, 1156–1163. [Google Scholar] [CrossRef] [PubMed]
- Moio, L.; Addeo, F. Grana Padano cheese aroma. J. Dairy Res. 1998, 65, 317–333. [Google Scholar] [CrossRef]
- Kilcawley, K.; Faulkner, H.; Clarke, H.; O’Sullivan, M.; Kerry, J. Factors Influencing the Flavour of Bovine Milk and Cheese from Grass Based versus Non-Grass Based Milk Production Systems. Foods 2018, 7, 37. [Google Scholar] [CrossRef] [PubMed]
- Curtin, Á.C.; McSweeney, P.L.H. Catabolism of Amino Acids in Cheese during Ripening. In Cheese: Chemistry, Physics and Microbiology and Microbiology. Volume 1; Fox, P.F., McSweeney, P.L.H., Cogan, T.M., Guinee, T.P., Eds.; Academic Press: Cambridge, MA, USA, 2004; pp. 435–454. [Google Scholar]
- Yvon, M.; Rijnen, L. Cheese flavour formation by amino acid catabolism. Int. Dairy J. 2001, 11, 185–201. [Google Scholar] [CrossRef]
- Curioni, P.M.G.; Bosset, J.O. Key odorants in various cheese types as determined by gas chromatography-olfactometry. Int. Dairy J. 2002, 12, 959–984. [Google Scholar] [CrossRef]
- Foulquié Moreno, M.R.; Sarantinopoulos, P.; Tsakalidou, E.; De Vuyst, L. The role and application of enterococci in food and health. Int. J. Food Microbiol. 2006, 106, 1–24. [Google Scholar] [CrossRef] [PubMed]








| Cheese | Type of Milk | Acknowledgement | Treatment Allowed |
|---|---|---|---|
| 1. Canestrato di Moliterno | sheep + goat | PGI | thermization |
| 2. Canestrato Pugliese | sheep | PDO | none |
| 3. Casciotta d’Urbino | sheep + cow | PDO | pasteurization |
| 4. Fiore Sardo | sheep | PDO | none |
| 5. Formaggio di Fossa di Sogliano | cow + sheep | PDO | pasteurization |
| 6. Murazzano | sheep + cow | PDO | any heat treatment |
| 7. Pecorino Crotonese | sheep | PDO | any heat treatment |
| 8. Pecorino delle Balze Volterrane | sheep | PDO | none |
| 9. Pecorino del Monte Poro | sheep | PDO | none |
| 10. Pecorino di Filiano | sheep | PDO | none |
| 11. Pecorino di Picinisco | sheep | PDO | none |
| 12. Pecorino Romano | sheep | PDO | thermization |
| 13. Pecorino Sardo | sheep | PDO | any heat treatment |
| 14. Pecorino Siciliano | sheep | PDO | none |
| 15. Pecorino Toscano | sheep | PDO | any heat treatment |
| 16. Piacentinu Ennese | sheep | PDO | none |
| 17. Vastedda del Belice | sheep | PDO | none |
| Group | RM | MTM | HTM | Curd R | Curd MT | Curd HT |
|---|---|---|---|---|---|---|
| TV | 6.69 ± 0.42 | 5.17 ± 0.34 | 5.85 ± 0.21 | 9.17 ± 0.34 | 8.87 ± 0.21 | 8.91 ± 0.27 |
| TC | 5.53 ± 0.34 | 3.93 ± 0.04 | 2.55 ± 0.15 | 5.47 ± 0.24 | 4.05 ± 0.03 | 3.40 ± 0.14 |
| Ec | 5.89 ± 0.29 | 4.82 ± 0.11 | 4.40 ± 0.64 | 6.28 ± 0.11 | 5.35 ± 0.10 | 4.57 ± 0.15 |
| MLb | 6.67 ± 0.34 | 4.68 ± 0.28 | 4.26 ± 0.21 | 7.05 ± 0.09 | 5.98 ± 0.25 | 5.36 ± 0.12 |
| TLb | 5.32 ± 0.09 | 3.41 ± 0.31 | 3.63 ± 0.22 | 7.28 ± 0.24 | 6.15 ± 0.19 | 6.28 ± 0.04 |
| MLc | 6.21 ± 0.30 | 4.30 ± 0.43 | 3.52 ± 0.22 | 6.91 ± 0.18 | 6.00 ± 0.08 | 5.82 ± 0.25 |
| TSt | 2.71 ± 0.20 | 1.57 ± 0.11 | 2.09 ± 0.15 | 5.49 ± 0.11 | 5.56 ± 0.15 | 5.51 ± 0.06 |
| Y&M | 5.40 ± 0.08 | 3.53 ± 0.05 | 2.07 ± 0.56 | 5.40 ± 0.08 | 3.77 ± 0.10 | 3.55 ± 0.20 |
| Attributes | CR | CMT | CHT | Min–Max | Sig |
|---|---|---|---|---|---|
| AROMA | |||||
| Cheesy-sweat | 4 | 3 | 3 | 3–5 | * |
| Sheep barn | 2 | 0 | 0 | 0–2 | * |
| Butter | 1 | 1 | 1 | 0–1 | |
| Toasted | 1 | 1 | 1 | 0–1 | |
| Dirty socks | 2 | 0 | 0 | 0–3 | * |
| TASTE | |||||
| Salty | 2 | 2 | 2 | 2–3 | |
| Bitter | 0 | 0 | 1 | 0–1 | |
| Umami | 2 | 2 | 2 | 1–2 | |
| Spicy | 2 | 1 | 1 | 1–2 | * |
| TEXTURE | |||||
| Eyes | 2 | 1 | 0 | 0–2 | * |
| Hard | 4 | 4 | 4 | 3–4 | |
| Crumbly | 3 | 3 | 3 | 2–3 | |
| Greasy | 3 | 3 | 3 | 2–3 | |
| Soluble | 3 | 2 | 2 | 2–3 | |
Disclaimer/Publisher’s Note: The statements, opinions and data contained in all publications are solely those of the individual author(s) and contributor(s) and not of MDPI and/or the editor(s). MDPI and/or the editor(s) disclaim responsibility for any injury to people or property resulting from any ideas, methods, instructions or products referred to in the content. |
© 2023 by the authors. Licensee MDPI, Basel, Switzerland. This article is an open access article distributed under the terms and conditions of the Creative Commons Attribution (CC BY) license (https://creativecommons.org/licenses/by/4.0/).
Share and Cite
Natrella, G.; Gambacorta, G.; Squeo, G.; Faccia, M. Impact of Milk Thermization on the Quality Characteristics of P.D.O. “Canestrato Pugliese” Ovine Hard Cheese. Foods 2023, 12, 1080. https://doi.org/10.3390/foods12051080
Natrella G, Gambacorta G, Squeo G, Faccia M. Impact of Milk Thermization on the Quality Characteristics of P.D.O. “Canestrato Pugliese” Ovine Hard Cheese. Foods. 2023; 12(5):1080. https://doi.org/10.3390/foods12051080
Chicago/Turabian StyleNatrella, Giuseppe, Giuseppe Gambacorta, Giacomo Squeo, and Michele Faccia. 2023. "Impact of Milk Thermization on the Quality Characteristics of P.D.O. “Canestrato Pugliese” Ovine Hard Cheese" Foods 12, no. 5: 1080. https://doi.org/10.3390/foods12051080
APA StyleNatrella, G., Gambacorta, G., Squeo, G., & Faccia, M. (2023). Impact of Milk Thermization on the Quality Characteristics of P.D.O. “Canestrato Pugliese” Ovine Hard Cheese. Foods, 12(5), 1080. https://doi.org/10.3390/foods12051080

