Effects of Different Brewing Technologies on Polyphenols and Aroma Components of Black Chokeberry Wine
Abstract
1. Introduction
2. Materials and Methods
2.1. Black Chokeberries, Grapes and Chemicals
2.2. Winemaking Processes
2.2.1. Traditional Fermentation
2.2.2. Frozen Fruit Fermentation
2.2.3. Co-Fermentation
2.2.4. Carbonic Maceration
2.2.5. Co-Carbonic Maceration
2.2.6. Wine Sampling
2.3. Determination of Enological Parameters of Black Chokeberry Wines
2.4. Determination of Total Polyphenols, Total Flavonoids, Total Proanthocyanidins and Total Anthocyanins of Black Chokeberry Wine
2.5. Analysis of Individual Phenolic Compounds
2.5.1. Sample Pretreatment
2.5.2. Qualitative Analysis of Anthocyanins
2.5.3. Quantitative Analysis of Phenolic Compounds
2.6. GC–MS Analysis of Aroma Components
2.6.1. Sample Pretreatment
2.6.2. Qualitative Analysis of Aromatic Components
2.6.3. Quantitative Analysis of Aromatic Components
2.7. Sensory Evaluation by Tasting Panel
2.8. Statistical Analysis
3. Results
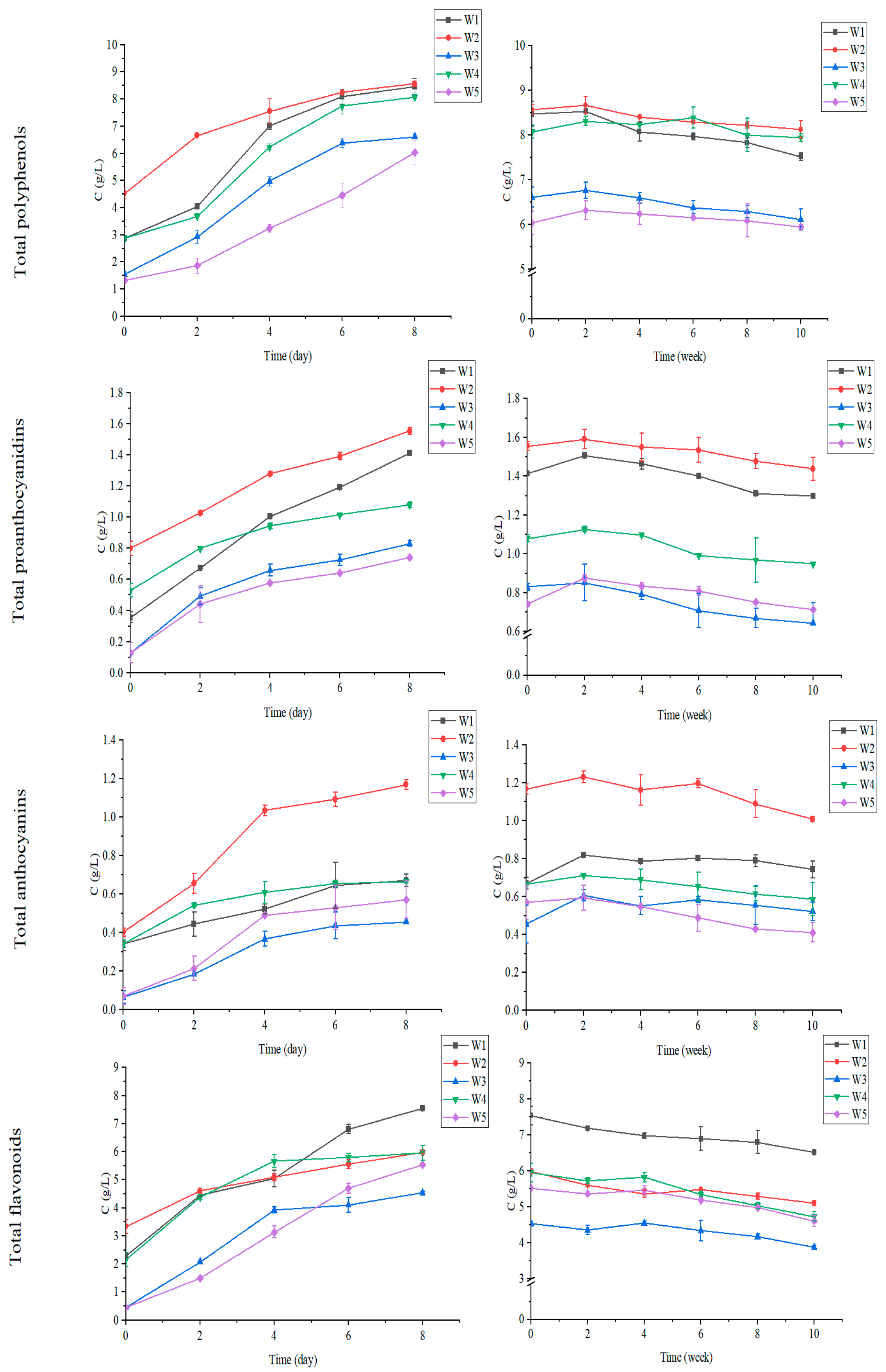
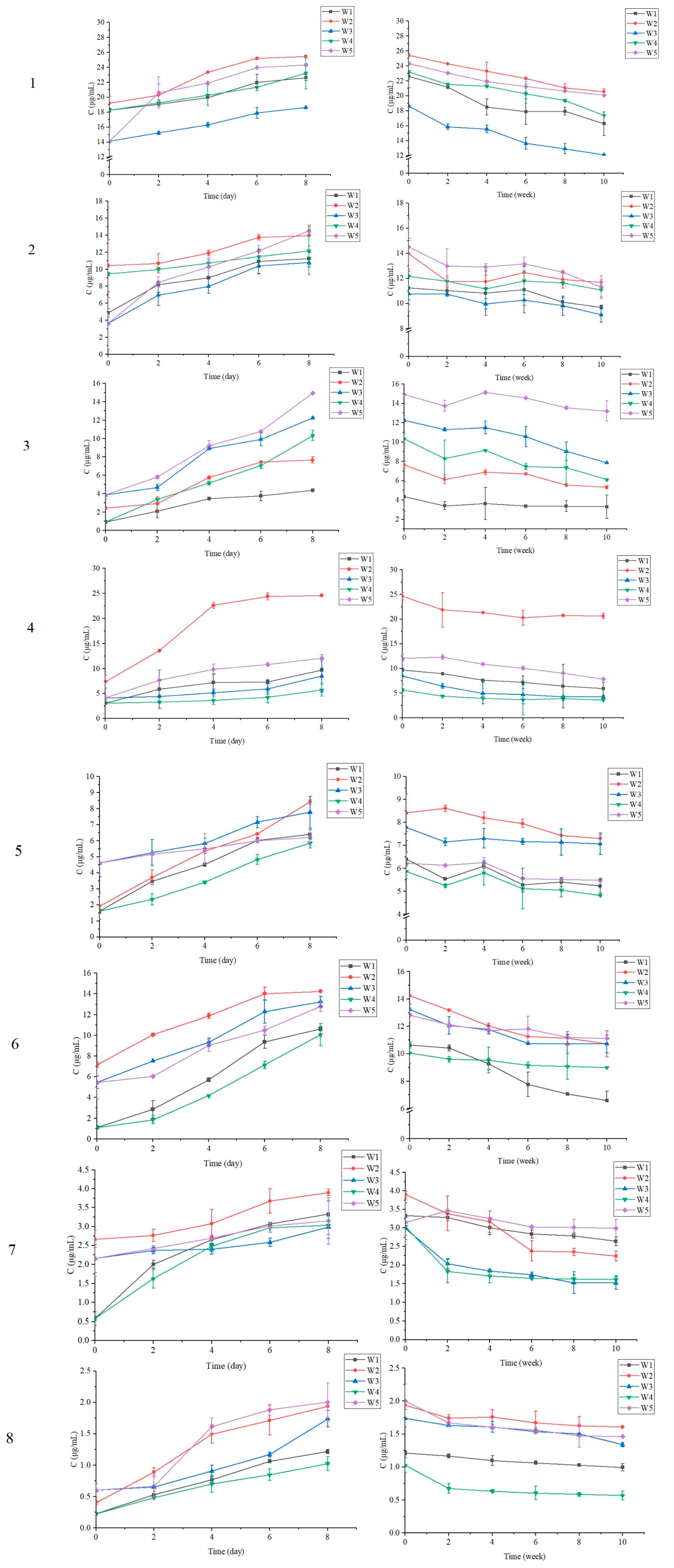
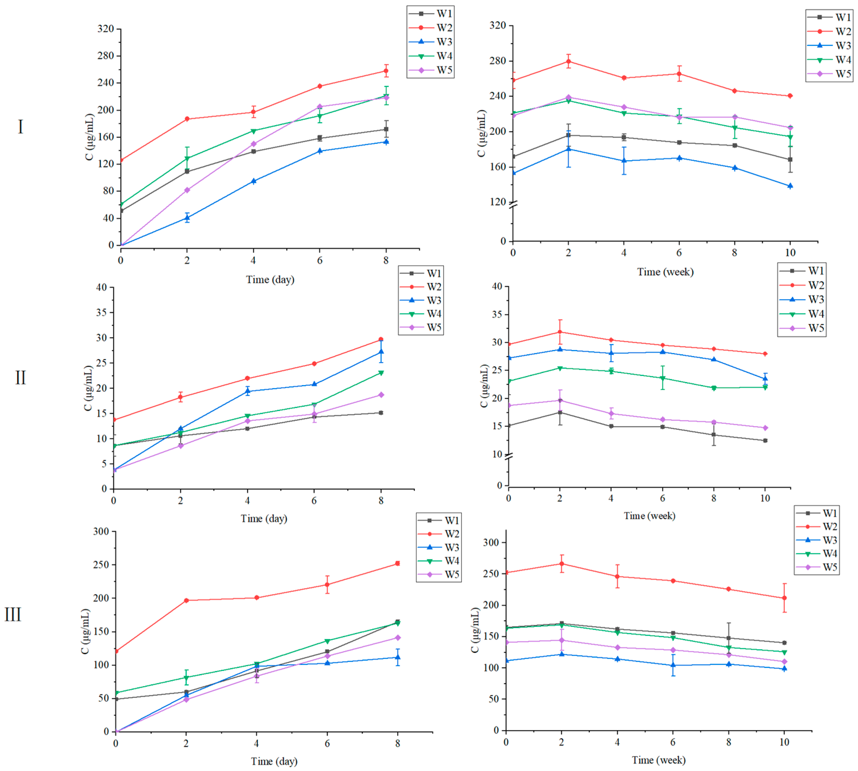
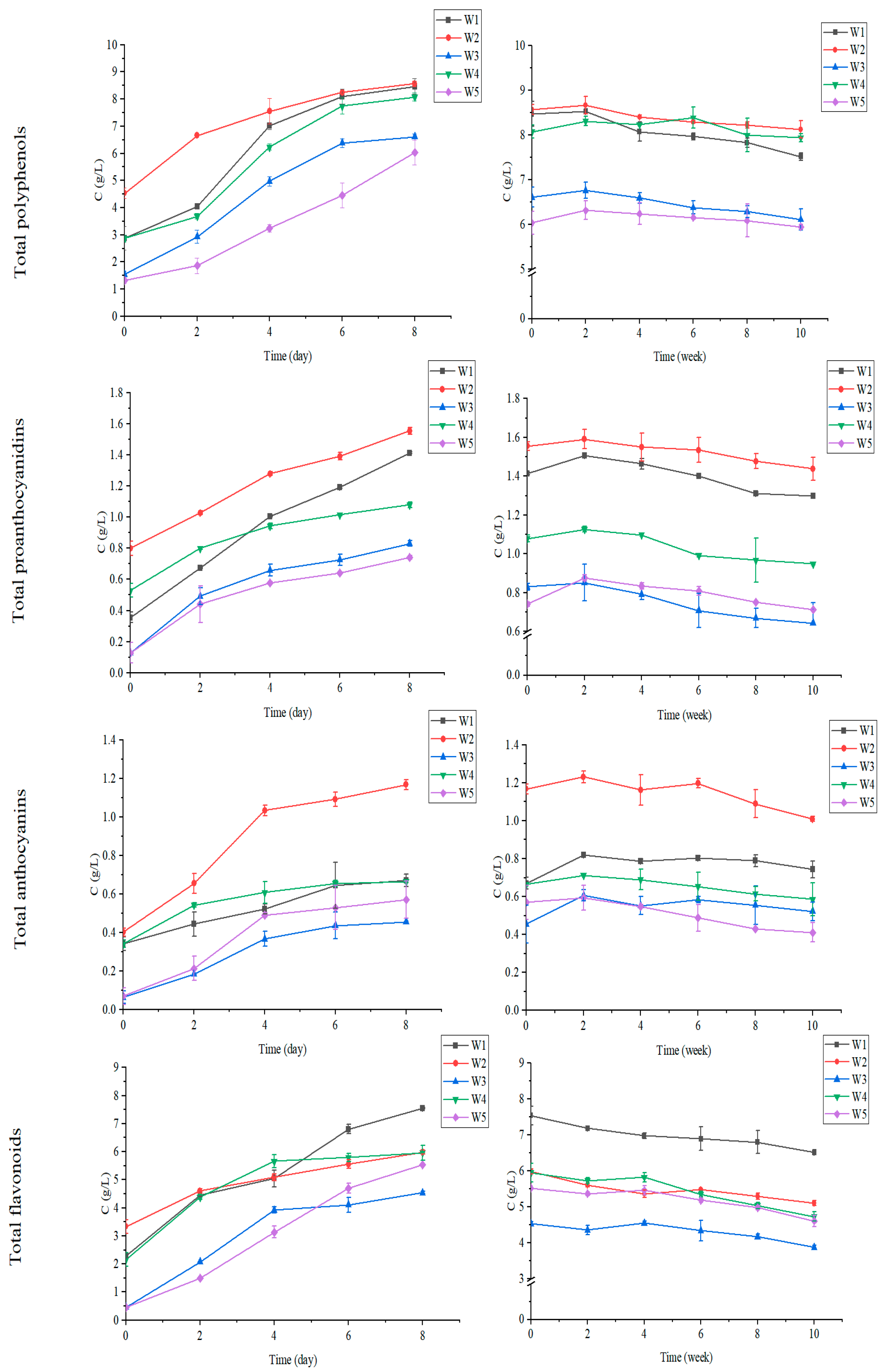
3.1. Dynamic Monitoring of Polyphenols in Black Chokeberry Wines during Alcoholic Fermentation and Maturation Period
3.1.1. Variation of Total Polyphenols, Total Proanthocyanidins, Total Anthocyanins and Total Flavonoids
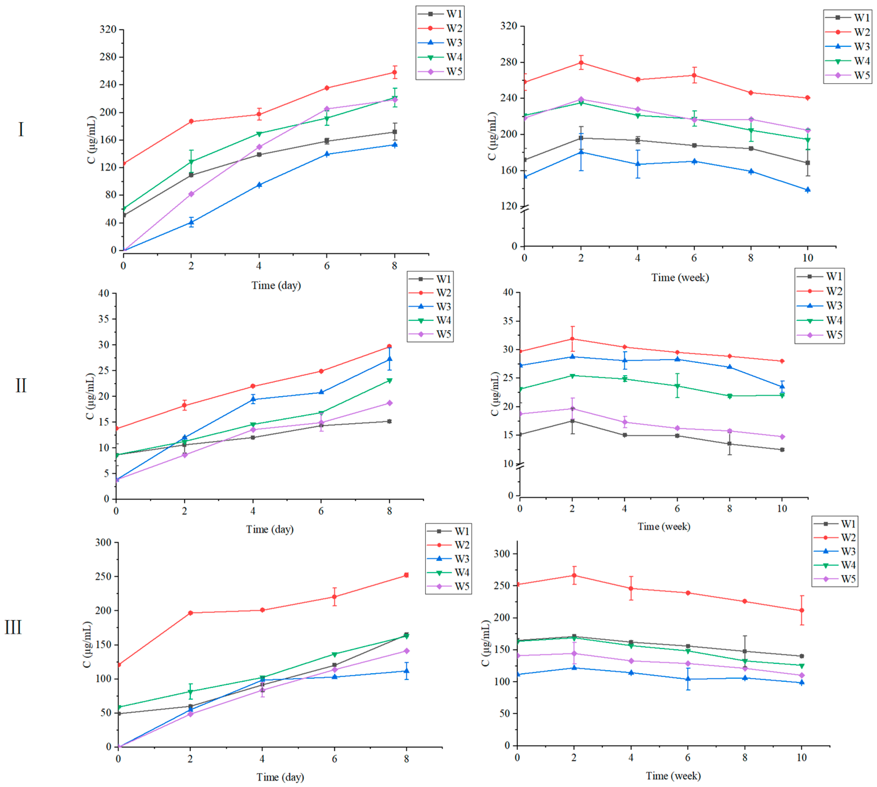
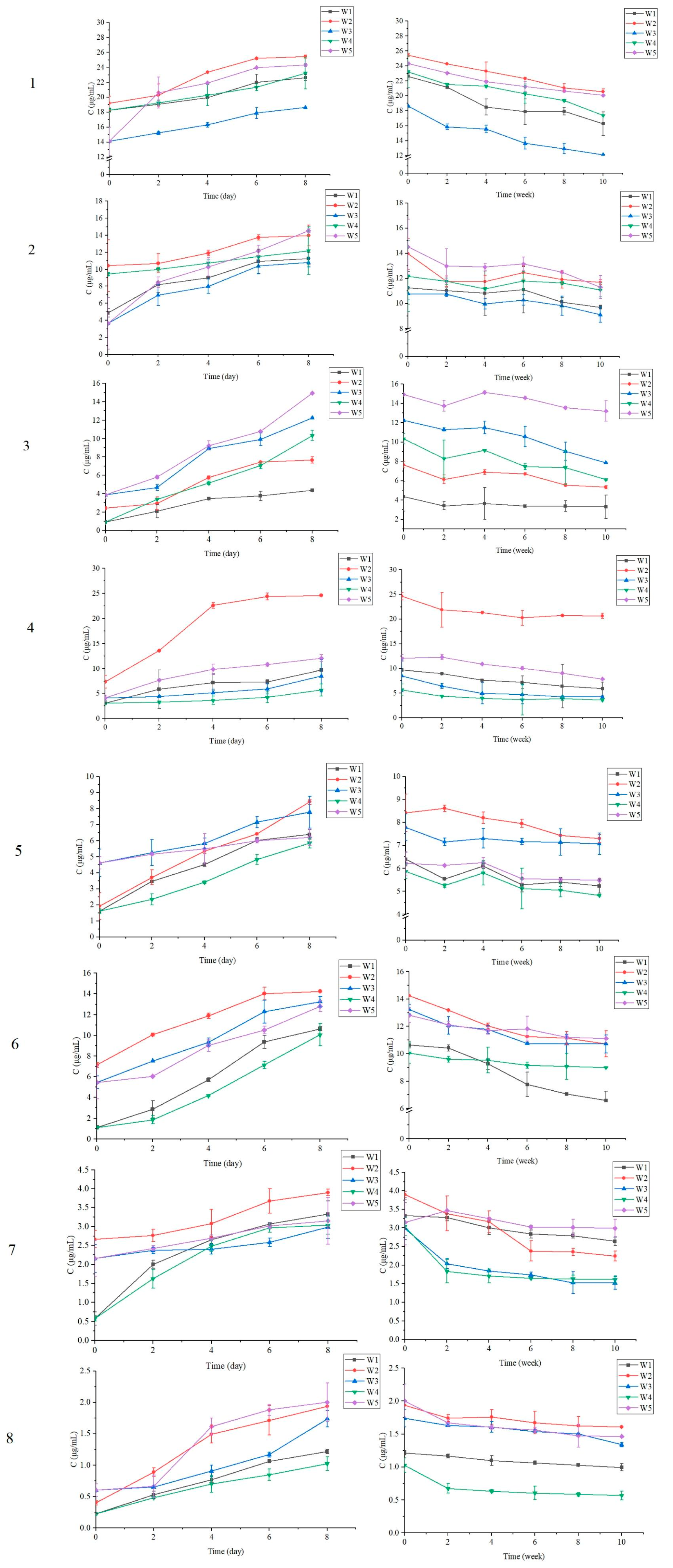
3.1.2. Variation of Individual Phenolic Compounds
Variation of Anthocyanins
Variation of Non-Anthocyanic Phenolic Compounds
3.2. Enological Parameters of Black Chokeberry Wines at the Time of Bottling
3.3. Analysis of Polyphenols and Volatile Compounds in the Black Chokeberry Wines at the Time of Bottling
3.3.1. Analysis of Phenolic Compounds
3.3.2. Analysis of Volatile Compounds
Qualitative Analysis
Quantitative Analysis
3.4. Sensory Evaluation of Black Chokeberry Wine by Tasting Panel
4. Conclusions
Author Contributions
Funding
Data Availability Statement
Conflicts of Interest
References
- Jurgoński, A.; Jukiewicz, J.; Zduńczyk, Z. Ingestion of black chokeberry fruit extract leads to intestinal and systemic changes in a rat model of prediabetes and hyperlipidemia. Plant Foods Hum. Nutr. 2008, 63, 176–182. [Google Scholar] [CrossRef] [PubMed]
- Sidor, A.; Gramza-Michaowska, A. Black Chokeberry Aronia melanocarpa L.—A Qualitative Composition, Phenolic Profile and Antioxidant Potential. Molecules 2019, 24, 3710. [Google Scholar] [CrossRef] [PubMed]
- Li, L.; Li, J.; Xu, H.; Zhu, F.M.; Liu, Y.S. The Protective Effect of Anthocyanins Extracted from Aronia melanocarpa Berry in Renal Ischemia-Reperfusion Injury in Mice. Mediat. Inflamm. 2021, 2021, 7372893. [Google Scholar] [CrossRef]
- Ochmian, I.; Grajkowski, J.; Smolik, M. Comparsion of some morphological features, quality and chemical content of four cultivars of chokeberry fruits (Aronia melanocarpa). Not. Bot. Horti Agrobot. Cluj-Napoca 2012, 40, 253–260. [Google Scholar] [CrossRef]
- Paulina, L.; Atanas, A.; Marek, P.; Artur, J. Chokeberry Pomace as a Determinant of Antioxidant Parameters Assayed in Blood and Liver Tissue of Polish Merino and Wrzosówka Lambs. Molecules 2017, 22, 1461. [Google Scholar]
- Kitryte, V.; Kraujaliene, V.; Sulniute, V.; Pukalskas, A.; Rimantas Venskutonis, P. Chokeberry pomace valorization into foodingredients by enzyme-assisted extraction: Processoptimization and product characterization. Food Bioprod. Process. 2017, 105, 36–50. [Google Scholar] [CrossRef]
- Wilkowska, A.; Ambroziak, W.; Adamiec, J.; Czyżowska, A. Preservation of Antioxidant Activity and Polyphenols in Chokeberry Juice and Wine with the Use of Microencapsulation. J. Food Process. Pres. 2017, 41, e12924. [Google Scholar] [CrossRef]
- Ruiz-Rodríguez, A.; Durán-Guerrero, E.; Natera, R.; Palma, M.; Barroso, C.G. Influence of Two Different Cryoextraction Procedures on the Quality of Wine Produced from Muscat Grapes. Foods 2020, 9, 1529. [Google Scholar] [CrossRef]
- Pedrosa-López, M.C.; Aragón-García, F.; Ruíz-Rodríguez, A.; Piñeiro, Z.; Durán-Guerrero, E.; Palma, M. Effects from the Freezing of Either Whole or Crushed Grapes on the Volatile Compounds Contents in Muscat Wines. Foods 2022, 11, 1782. [Google Scholar] [CrossRef]
- Burzynska, J. Assessing Oenosthesia. Blending wine and sound. Int. J. Food Des. 2018, 3, 83–101. [Google Scholar] [CrossRef]
- Joshi, V.; Reddy, S.A.; Kumar, V.; Rao, B.S. Improvement in quality of wine by blending white and coloured grapes. J. Hortic. Sci. 2013, 8, 74–81. [Google Scholar]
- Li, S.-Y.; Zhao, P.-R.; Ling, M.-Q.; Qi, M.-Y.; Ignacio, G.-E.; Teresa, E.M.; Chen, X.-J.; Shi, Y.; Duan, C.-Q. Blending strategies for wine color modificationⅠ: Color improvement by blending wines of different phenolic profiles testified under extreme oxygen exposures. Food Res. Int. 2020, 130, 108885.1–108885.10. [Google Scholar] [CrossRef]
- Beelman, R.B.; Mcardle, F.J. Influence of carbonic maceration on acid reduction and quality of a Pennsylvania dry red table wine. Am. J. Enol. Vitic. 1974, 25, 219–221. [Google Scholar] [CrossRef]
- Etaio, I.; Meillon, S.; Pérez-Elortondo, F.J.; Schlich, P. Dynamic sensory description of Rioja Alavesa red wines made by different winemaking practices by using Temporal Dominance of Sensations. J. Sci. Food Agric. 2016, 96, 3492–3499. [Google Scholar] [CrossRef] [PubMed]
- Bertagnolli, S.M.M.; Rossato, S.B.; Silva, V.L.; Cervo, T.; Sautter, C.K.; Hecktheuer, L.H.; Penna, N.G. Influence of the carbonic maceration on the levels of trans-resveratrol in cabernet sauvignon wine. Rev. Bras. Ciênc. Farm. 2007, 43, 71–77. [Google Scholar]
- International Organisation of Vine and Wine. Compendium of International Methods of Wine and Must Analysis. Available online: https://www.oiv.int/standards/compendium-of-international-methods-of-wine-and-must-analysis (accessed on 25 April 2020).
- Gahler, S.; Otto, K.; Böhm, V. Alterations of Vitamin C, Total Phenolics, and Antioxidant Capacity as Affected by Processing Tomatoes to Different Products. J. Agric. Food Chem. 2003, 51, 7962–7968. [Google Scholar] [CrossRef] [PubMed]
- Jia, Z.S.; Tang, M.C.; Wu, J.M. The determination of flavonoid contents in mulberry and their scavenging effects on superoxide radicals. Food Chem. 1999, 64, 555–559. [Google Scholar]
- Sun, B.S.; Ricardo-Da-Silva, J.M.; Spranger, I. Critical factors of vanillin assay for catechins and proanthocyanidins. J. Agric. Food Chem. 1998, 46, 4267–4274. [Google Scholar] [CrossRef]
- Raičević, D.; Popović, T.; Jančić, D.; Šuković, D.; Pajović-Šćepanović, R. The Impact of Type of Brandy on the Volatile Aroma Compounds and Sensory Properties of Grape Brandy in Montenegro. Molecules 2022, 27, 2974. [Google Scholar] [CrossRef]
- Wang, C.; Zhang, M.N.; Wu, L.M.; Wang, F.; Li, L.X. Qualitative and quantitative analysis of phenolic compounds in blueberries and protective effects on hydrogen peroxide-induced cell injury. J. Sep. Sci. 2021, 44, 2837–2855. [Google Scholar] [CrossRef] [PubMed]
- Wojdyło, A.; Samoticha, J.; Nowicka, P.; Chmielewska, J. Characterisation of (poly) phenolic constituents of two interspecific red hybrids of Rondo and Regent (Vitis vinifera) by LC–PDA–ESI-MS QTof. Food Chem. 2018, 239, 94–101. [Google Scholar] [CrossRef]
- Della Vedova, L.; Ferrario, G.; Gado, F.; Altomare, A.; Carini, M.; Morazzoni, P.; Aldini, G.; Baron, G. Liquid Chromatography–High-Resolution Mass Spectrometry (LC-HRMS) Profiling of Commercial Enocianina and Evaluation of Their Antioxidant and Anti-Inflammatory Activity. Antioxidants 2022, 11, 1187. [Google Scholar] [CrossRef]
- Rio Segade, S.; Torchio, F.; Giacosa, S.; Ricauda Aimonino, D.; Gay, P.; Lambri, M.; Rolle, L. Impact of several pre-treatments on the extraction of phenolic compounds in winegrape varieties with different anthocyanin profiles and skin mechanical properties. J. Agric. Food Chem. 2014, 62, 8437–8451. [Google Scholar] [CrossRef] [PubMed]
- Gómez-Míguez, M.; Heredia, F.J. Effect of the maceration technique on the relationships between anthocyanin composition and objective color of Syrah wines. J. Agric. Food Chem 2004, 52, 5117–5123. [Google Scholar] [CrossRef] [PubMed]
- Schmid, F.; Li, Y.; Liebich, B.; Culbert, J.; Day, C.; Jiranek, V. Evaluation of Red Wine Made on a Small Scale Utilizing Frozen Must. J. Agric. Food Chem. 2007, 55, 7156–7161. [Google Scholar] [CrossRef] [PubMed]
- Bertagnolli, S.M.M.; Rossato, S.B.; Silva, V.L.; Cervo, T.; Sautter, C.K.; Hecktheuer, L.H.; Penna, N.G. Improvement in quality of wine by blending white and coloured grapes. J. Hortic. Sci. 2013, 8, 74–81. [Google Scholar]
- Carroll, D.E. Effects of Carbonic Maceration on Chemical, Physical and Sensory Characteristics of Muscadine Wines. J. Food Sci. 2010, 51, 1195–1196. [Google Scholar] [CrossRef]
- Liu, M.; Qin, X.; Wu, X. Study on the technology of brewing red raspberry wine by using new immobilized yeast technology. Sci. Rep. 2022, 12, 21344. [Google Scholar] [CrossRef]
- García-Carpintero, E.G.; Sánchez-Palomo, E.; Gomez Gallego, M.A.; González-Viñas, M.A. Effect of cofermentation of grape varieties on aroma profiles of La Mancha red wines. J. Food Sci. 2011, 76, C1169–C1180. [Google Scholar] [CrossRef]



| Appearance, 3 Max | Aroma, 6 Max | Taste and Texture, 6 Max | Aftertaste, 3 Max | Overall Impression, 2 Max | Total Scores | |
|---|---|---|---|---|---|---|
| Grades | 3—Excellent -clear and lustrous, with the typical color. 2—Good -Clear with characteristic color. 1—Poor -Slightly hazy and cloudy or slightly lusterless. 0—Objectionable -Cloudy or lightless wine. | 6—Extraordinary -Very typical berry or floral aromas, very rich and harmonious. 5—Excellent -Typical fruity or floral aroma, full-bodied and harmonious. 4—Good -Typical fruity or floral aroma, mellow and prominent. 3—Acceptable -Slightly fruity or floral, with a slight mellow aroma. 2—Deficient -No fruity or mellow aroma, or slight odor. 1—Poor -Very poor, smells bad. 0—Objectionable -Bad odor | 6—Extraordinary -A very typical wine with a balanced, round, rich and full-bodied taste. 5—Excellent -With the above characteristics but a little less, elegant but not mellow. 4—Good -Typical wine taste, balanced, round and fuller. 3—Acceptable -No typicality but pleasant, slightly lean or rough on the palate. 2—Deficient -No typicality, more disadvantages than above. 1—Poor -Unpleasant taste, poor balance or bad sense of structure. 0—Objectionable -A disgusting taste or structure. | 3—Excellent -Lingering, outstanding aftertaste. 2—Good -Longer after-taste 0—Objectionable -No after-taste | 2—Excellent 1—Good 0—Poor | 18—20 Extraordinary 15—17 Excellent 12—14 Good 9—11 Commercially Acceptable 6—8 Deficient 0—5 Poor and objectionable |
| No. | RT(min) | Compound | Formula | Measured [M+H]+/(Da) | Theoretical [M+H]+/(Da) | Error (ppm) | Product Ions m/z(Da) | Wine Sample |
|---|---|---|---|---|---|---|---|---|
| 1 | 1.92 | Cyanidin-3,5-O-diglucoside | C27H31O16+ | 611.1611 | 611.1606 | 0.8 | 449.1040/287.0540 | W1, W2, W3, W4, W5 |
| 2 | 2.42 | Cyanidin-3-O-galactoside | C21H21O11+ | 449.1059 | 449.1078 | −4.2 | 287.0537 | W1, W2, W3, W4, W5 |
| 3 | 3.77 | Cyanidin-3-O–glucoside | C21H21O11+ | 449.1059 | 449.1078 | −4.2 | 287.0537 | W1, W2, W3, W4, W5 |
| 4 | 7.08 | Cyanidin-3-O-arabinoside | C20H19O10+ | 419.0981 | 419.0972 | 2.1 | 287.0550 | W1, W2, W3, W4, W5 |
| 5 | 12.10 | Malvidin-3-O-glucoside | C23H25O12+ | 493.1357 | 493.1340 | 3.4 | 331.0813 | W3, W5 |
| 6 | 12.75 | Cyanidin-3-O-xyloside | C20H19O10+ | 419.0978 | 419.0972 | 1.4 | 287.0550 | W1, W2, W3, W4, W5 |
| 7 | 13.81 | Peonidin-3,5-O-diglucoside | C28H33O16+ | 625.1713 | 625.1763 | 8.0 | 463.1193/301.0678 | W3, W5 |
| 8 | 16.20 | Malvidin-3-(6”-caffeoyl)-glucoside | C32H33O15+ | 655.1668 | 655.1654 | 2.1 | 493.1366/331.0782 | W3, W5 |
| Wine Sample | W1 | W2 | W3 | W4 | W5 |
|---|---|---|---|---|---|
| Alcohol(%vol) | 12.30 ± 0.10 b | 12.43 ± 0.12 ab | 12.68 ± 0.18 a | 12.37 ± 0.15 b | 12.50 ± 0.20 ab |
| Total acid(g/L) | 8.77 ± 0.04 a | 8.65 ± 0.08 ab | 8.54 ± 0.04 b | 8.30 ± 0.11 c | 8.26 ± 0.10 c |
| Reducing sugar(g/L) | 3.82 ± 0.12 a | 3.87 ± 0.05 a | 3.84 ± 0.08 a | 3.73 ± 0.10 a | 3.75 ± 0.05 a |
| pH | 3.60 ± 0.02 c | 3.72 ± 0.05 b | 3.67 ± 0.03 b | 3.81 ± 0.04 a | 3.85 ± 0.00 a |
| Wine Sample | W1 | W2 | W3 | W4 | W5 |
|---|---|---|---|---|---|
| Chlorogenic acid (μg/mL) | 16.28 ± 1.60 b | 20.56 ± 0.37 a | 12.14 ± 0.02 c | 17.39 ± 0.03 b | 20.09 ± 0.11 a |
| Epicatechin (μg/mL) | 9.71 ± 0.16 b | 11.70 ± 0.20 a | 9.1 ± 0.61 b | 11.08 ± 0.56 a | 11.31 ± 0.91 a |
| Caffeic acid (μg/mL) | 3.30 ± 1.21 d | 5.32 ± 0.15 c | 7.88 ± 0.01 b | 6.12 ± 0.08 c | 13.21 ± 1.07 a |
| Rutin (μg/mL) | 5.93 ± 1.31 c | 20.66 ± 0.52 a | 4.22 ± 0.06 d | 3.64 ± 0.24 d | 7.88 ± 0.03 b |
| Astragalin (μg/mL) | 5.23 ± 0.31 bc | 7.29 ± 0.17 a | 7.06 ± 0.47 a | 4.82 ± 0.04 c | 5.49 ± 0.08 b |
| Isoquercitrin (μg/mL) | 6.58 ± 0.66 c | 10.72 ± 0.95 a | 10.71 ± 0.65 a | 9.00 ± 0.02 b | 11.12 ± 0.02 a |
| Myricetin (μg/mL) | 2.64 ± 0.12 b | 2.24 ± 0.13 c | 1.52 ± 0.17 d | 1.61 ± 0.10 d | 2.99 ± 0.24 a |
| Quercetin (μg/mL) | 0.99 ± 0.06 d | 1.61 ± 0.00 a | 1.34 ± 0.03 c | 0.57 ± 0.06 e | 1.46 ± 0.01 b |
| Cyanidin-3-O-galactoside (μg/mL) | 168.79 ± 14.96 c | 240.77 ± 0.36 a | 138.58 ± 0.00 d | 194.56 ± 11.3 b | 204.81 ± 0.04 b |
| Cyanidin-3-O-glucoside (μg/mL) | 12.48 ± 0.14 e | 28.00 ± 0.02 a | 23.53 ± 1.00 b | 22.06 ± 0.15 c | 14.79 ± 0.02 d |
| Cyanidin-3-O-arabinoside (μg/mL) | 140.34 ± 0.20 b | 211.68 ± 23.1 a | 98.97 ± 0.01 d | 125.93 ± 0.00 bc | 110.18 ± 0.00 cd |
| Total polyphenols (g/L) | 7.52 ± 0.08 b | 8.13 ± 0.19 a | 6.11 ± 0.24 c | 7.94 ± 0.09 a | 5.95 ± 0.05 c |
| Total proanthocyanidins (g/L) | 1.30 ± 0.00 b | 1.44 ± 0.06 a | 0.64 ± 0.10 d | 0.95 ± 0.01 c | 0.71 ± 0.01 d |
| Total anthocyanins (g/L) | 0.74 ± 0.04 b | 1.01 ± 0.01 a | 0.52 ± 0.05 c | 0.59 ± 0.09 c | 0.41 ± 0.05 d |
| Total flavonoids (g/L) | 6.52 ± 0.07 a | 5.11 ± 0.07 b | 3.88 ± 0.06 d | 4.74 ± 0.13 c | 4.62 ± 0.16 c |
| RT | Compounds | RIL | RI | Basis of Identification | Odor | Wine Sample |
|---|---|---|---|---|---|---|
| Alcohols | ||||||
| 6.02 | 1-Propanol, 2-methyl- | 1086 | 1086 | MS RIL | Whiskey | W1, W2, W3, W4, W5 |
| 6.20 | 2-Pentanol | 1094 | 1100 | MS RIL | Banana, Apple | W1, W2, W3, W4, W5 |
| 10.66 | 1-Pentanol | 1210 | 1206 | MS RIL | Fruity | W1, W2, W3, W4, W5 |
| 12.03 | 1-Butanol, 3-methyl- | 1238 | 1237 | MS RIL | Sweet fruity | W2, W3, W5 |
| 12.73 | 2-Heptanol | 1252 | 1286 | MS RIL | Lemon grass, Sweet floral | W2, W3, W4, W5 |
| 17.72 | 1-Propanol, 3-ethoxy- | 1347 | 1359 | MS RIL | Fruity | W1, W2, W4 |
| 18.21 | 1-Hexanol | 1356 | 1356 | MS RIL | Green fruity, Apple | W1, W2, W3, W4, W5 |
| 19.78 | 3-Hexen-1-ol, (Z)- | 1384 | 1337 | MS RIL | Grass, Herbal | W2, W3, W4, W5 |
| 28.23 | 1-Hexanol, 2-ethyl- | 1530 | 1522 | MS RIL | Citrus, Floral | W1, W2, W3, W4, W5 |
| 28.82 | 2,3-Butanediol | 1540 | 1539 | MS RIL | Creamy, Buttery | W1, W2, W3, W4, W5 |
| 29.97 | 1-Octanol | 1561 | 1561 | MS RIL | Citrus | W2, W3, W4, W5 |
| 31.80 | Terpinen-4-ol | 1592 | 1593 | MS RIL | Peppery, Woody | W2, W3, W4, W5 |
| 37.40 | 3,6-Nonadien-1-ol, (E,Z)- | 1690 | 1731 | MS RIL | Cucumber, Melon | W2, W3, W4, W5 |
| 46.41 | Benzyl Alcohol | 1855 | 1855 | MS RIL | Cherry, Almond | W1, W2, W3, W4, W5 |
| 48.10 | Phenylethyl Alcohol | 1886 | 1888 | MS RIL | Rose, Honey | W1, W2, W3, W4, W5 |
| 51.49 | 1,5-Pentanediol, 3-methyl- | 1938 | - | MS | - | W2, W3, W4, W5 |
| 54.89 | 3-Phenylpropanol | 2010 | 2022 | MS RIL | Cinnamon, Fruity | W4, W5 |
| 63.61 | 1- Dodecanol | 2177 | 1983 | MS RIL | Honey, Coconut | W3, W4 |
| 64.42 | Tetradecanol | 2190 | 2175 | MS RIL | Fruity | W4 |
| Esters | ||||||
| 4.79 | Butanoic acid, ethyl ester | 1036 | 1040 | MS RIL | Pineapple, Strawberry | W3, W5 |
| 7.11 | 1-Butanol, 3-methyl-, acetate | 1120 | 1121 | MS RIL | Banana, Pear | W1, W2, W5 |
| 11.66 | Hexanoic acid, ethyl ester | 1230 | 1230 | MS RIL | Orris, Herbal, Carrot | W1, W2, W3, W4, W5 |
| 13.01 | 2-Hexenoic acid, ethyl ester | 1258 | 1329 | MS RIL | Grape, Rum | W1, W2, W4, W5 |
| 17.29 | Propanoic acid, 2-hydroxy-, ethyl ester | 1330 | 1331 | MS RIL | Pineapple, Buttery | W1, W2, W3, W4, W5 |
| 22.51 | Octanoic acid, hexyl ester | 1431 | 1431 | MS RIL | Apple | W2, W3, W4, W5 |
| 33.10 | Hexanoic acid, hexyl ester | 1591 | 1596 | MS RIL | Herbaceous, Fruity, Vegetable | W2, W3, W4, W5 |
| 34.14 | Nonanoic acid, ethyl ester | 1607 | 1581 | MS RIL | Fruity, Rose, Waxy, Rum | W1, W2, W3, W4, W5 |
| 34.87 | Benzoic acid, ethyl ester | 1646 | 1647 | MS RIL | Cherry, Mint | W1, W2, W3, W4, W5 |
| 36.18 | Butanedioic acid, diethyl ester | 1669 | 1668 | MS RIL | Apple, Apricot, Cranberry | W1, W2, W3, W4, W5 |
| 36.26 | Decanoic acid, methyl ester | 1672 | 1636 | MS RIL | Wine, Fruity | W2, W3, W5 |
| 38.45 | Acetic acid, phenylmethyl ester | 1709 | 1710 | MS RIL | Jasmine | W4 |
| 41.58 | Benzeneacetic acid, ethyl ester | 1760 | 1760 | MS RIL | Honey, Rose, Cocoa | W1, W2, W3, W5 |
| 53.20 | D-octanolactone | 1990 | 1999 | MS RIL | Coconut, Creamy | W2, W4, W5 |
| 54.34 | Pantolactone | 2009 | 2006 | MS RIL | Cotton Candy | W2, W4, W5 |
| 58.10 | Butanedioic acid, hydroxy-, diethyl ester | 2059 | 2060 | MS RIL | Fruity, Herbal | W5 |
| 58.27 | Ethyl (Z)-cinnamate | 2082 | 2081 | MS RIL | - | W2, W4, W5 |
| Aldehydes | ||||||
| 20.62 | Nonanal | 1405 | 1405 | MS RIL | Citrus | W2, W4 |
| 26.61 | Benzaldehyde | 1502 | 1502 | MS RIL | Almond, Nutty | W1, W2, W3, W4, W5 |
| 27.50 | Decanal | 1514 | 1515 | MS RIL | Citrus, Floral | W2, W3 |
| 33.39 | Benzeneacetaldehyde | 1622 | 1622 | MS RIL | Grapefruit, Honey, Hyacinth, Lemon | W1 |
| 38.28 | Benzaldehyde, 2,5-dimethyl- | 1706 | 1705 | MS RIL | - | W1, W2, W3, W4, W5 |
| 38.45 | Benzaldehyde, 2,4-dimethyl- | 1709 | 1710 | MS RIL | Cherry, Almond, Spice, Vanilla | W1, W2, W3, W4, W5 |
| Phenols | ||||||
| 48.44 | Butylated Hydroxytoluene | 1892 | 1902 | MS RIL | Camphor | W2, W3, W4, W5 |
| 52.85 | Phenol | 1990 | 1989 | MS RIL | Plastic, Rubber | W1, W2, W3, W4, W5 |
| 53.89 | Phenol, 4-ethyl-2-methoxy- | 1999 | 2008 | MS RIL | Spicy, Smoky | W1 |
| 61.71 | 2-Methoxy-4-vinylphenol | 2134 | 2156 | MS RIL | Peppery, Smoky, Woody | W3 |
| 68.81 | 2,4-Di-tert-butylphenol | 2249 | 2277 | MS RIL | - | W2, W4, W5 |
| 82.30 | Phenol, 3,4,5-trimethyl- | 2461 | - | MS | - | W1, W2, W4, W5 |
| Ketones | ||||||
| 15.05 | Acetoin | 1299 | 1302 | MS RIL | Milky | W1, W2, W3, W4, W5 |
| 19.23 | 2-Nonanone | 1374 | 1374 | MS RIL | Cheesy, Buttery | W1, W2, W3, W4, W5 |
| 40.18 | Damascenone | 1741 | 1787 | MS RIL | Rose, Plum, Raspberry | W2, W3, W4, W5 |
| 79.55 | Acetovanillone | 2419 | - | MS | Vanillin | W1, W2, W3, W4, W5 |
| Acids | ||||||
| 33.90 | Butanoic acid | 1631 | 1631 | MS RIL | Cheesy, Dairy | W1, W2, W3, W4, W5 |
| 45.63 | Hexanoic acid | 1841 | 1841 | MS RIL | Cheesy | W1, W2, W3, W4, W5 |
| 56.38 | Octanoic acid | 2077 | 2076 | MS RIL | Soapy | W2, W3, W4, W5 |
| 76.94 | Benzoic acid | 2381 | 2387 | MS RIL | Balsamic | W1, W2, W4, W5 |
| Hydrocarbons | ||||||
| 7.57 | p-Xylene | 1132 | 1132 | MS RIL | - | W2, W4, W5 |
| 10.16 | Dodecane | 1200 | 1200 | MS RIL | - | W1, W2, W3 |
| 12.45 | Styrene | 1248 | 1248 | MS RIL | Floral, Plastic | W1, W2, W3, W4, W5 |
| 21.70 | Benzene, 1,2,4,5-Tetramethyl- | 1395 | 1400 | MS RIL | - | W1, W2, W5 |
| 32.12 | n-Hexadecane | 1600 | 1600 | MS RIL | - | W1, W2, W3, W4, W5 |
| 33.52 | Pentadecane, 2,6,10,14-Tetramethyl- | 1621 | 1655 | MS RIL | - | W2, W4, W5 |
| Wine Sample | W1 | W2 | W3 | W4 | W5 |
|---|---|---|---|---|---|
| Alcohols | |||||
| 1-Propanol, 2-methyl- | 17.05 ± 0.66 a | 14.37 ± 0.88 c | 16.03 ± 1.05 ab | 16.41 ± 0.47 ab | 15.52 ± 0.54 bc |
| 2-Pentanol | 8.730 ± 0.61 a | 3.110 ± 0.19 d | 4.680 ± 0.12 b | 2.360 ± 0.02 e | 3.650 ± 0.10 c |
| 1-Pentanol | 409.8 ± 7.82 c | 367.3 ± 2.65 d | 485.3 ± 2.38 b | 369.9 ± 1.81 d | 618.3 ± 15.78 a |
| 1-Butanol, 3-methyl- | - | 2.148 ± 0.05 c | 2.508 ± 0.09 b | - | 3.495 ± 0.10 a |
| 2-Heptanol | - | 60.69 ± 0.56 a | 11.15 ± 0.48 b | 6.540 ± 0.05 c | 10.79 ± 0.12 b |
| 1-Propanol, 3-ethoxy- | 11.62 ± 0.33 a | 2.599 ± 0.35 c | - | 3.537 ± 0.25 b | - |
| 1-Hexanol | 25.13 ± 0.28 c | 26.41 ± 0.48 b | 12.36 ± 0.11 d | 31.16 ± 0.70 a | 25.84 ± 0.12 bc |
| 3-Hexen-1-ol, (Z)- | - | 13.10 ± 0.19 d | 16.92 ± 0.21 c | 48.60 ± 0.84 b | 56.54 ± 0.68 a |
| 1-Hexanol, 2-ethyl- | 83.83 ± 1.92 d | 133.5 ± 1.66 a | 102.7 ± 1.34 c | 59.12 ± 1.55 e | 118.8 ± 2.59 b |
| 2,3-Butanediol | 18.38 ± 0.36 a | 0.7521 ± 0.31 c | 1.736 ± 0.00 b | 0.1482 ± 0.01 d | 2.111 ± 0.24 b |
| 1-Octanol | - | 0.7051 ± 0.02 c | 1.881 ± 0.06 b | 1.818 ± 0.01 b | 3.834 ± 0.13 a |
| Terpinen-4-ol | - | 28.77 ± 0.79 a | 20.86 ± 0.78 c | 7.760 ± 0.10 d | 23.12 ± 2.09 b |
| 3,6-Nonadien-1-ol, (E,Z)- | - | 20.06 ± 0.25 c | 25.97 ± 0.26 b | 15.53 ± 0.24 d | 27.04 ± 0.71 a |
| Benzyl Alcohol | 242.2 ± 3.96 a | 3.953 ± 0.30 b | 5.518 ± 0.03 b | 4.098 ± 0.23 b | 7.159 ± 0.42 b |
| Phenylethyl Alcohol | 333.4 ± 0.27 a | 167.3 ± 1.55 d | 276.3 ± 0.70 c | 157.4 ± 3.26 e | 304.1 ± 4.94 b |
| 1,5-Pentanediol, 3-methyl- | - | 2.354 ± 0.09 c | 2.756 ± 0.12 b | 3.748 ± 0.20 a | 2.951 ± 0.12 b |
| 3-Phenylpropanol | - | - | - | 2.669 ± 0.10 b | 3.045 ± 0.06 a |
| 1-Dodecanol | - | - | 2.897 ± 0.09 a | 0.07631 ± 0.00 b | - |
| Tetradecanol | - | - | - | 0.8530 ± 0.02 a | - |
| Total alcohols | 1150 | 847.1 | 989.6 | 731.7 | 1226 |
| Esters | |||||
| 1-Butanol, 3-methyl-, -acetate | 34.05 ± 0.28 a | 22.23 ± 0.01 c | - | - | 31.62 ± 0.20 b |
| Hexanoic acid, ethyl ester | 29.76 ± 0.06 a | 26.82 ± 0.05 c | 25.45 ± 0.06 d | 25.71 ± 0.39 d | 28.43 ± 0.00 b |
| 2-Hexenoic acid, ethyl ester | 35.61 ± 1.36 b | 38.38 ± 0.32 a | - | 29.31 ± 0.17 d | 33.77 ± 0.24 c |
| Propanoic acid, 2-hydroxy-, ethyl ester | 32.57 ± 0.54 d | 38.78 ± 0.26 b | 46.59 ± 0.42 a | 36.93 ± 0.68 c | 46.95 ± 0.06 a |
| Octanoic acid, ethyl ester | - | 120.9 ± 0.76 c | 135.1 ± 0.19 b | 91.93 ± 1.32 d | 148.4 ± 0.53 a |
| Hexanoic acid, hexyl ester | - | 29.02 ± 0.22 b | 31.76 ± 0.56 a | 28.59 ± 0.30 b | 31.89 ± 0.36 a |
| Nonanoic acid, ethyl ester | 9.497 ± 0.11 c | 7.080 ± 0.07 d | 7.204 ± 0.01 d | 10.94 ± 0.18 b | 14.75 ± 0.22 a |
| Benzoic acid, ethyl ester | 46.45 ± 1.83 e | 72.76 ± 0.21 c | 84.33 ± 1.61 b | 63.84 ± 0.06 d | 92.93 ± 0.02 a |
| Butanedioic acid, diethyl ester | 7.450 ± 1.13 bc | 6.236 ± 0.06 d | 6.990 ± 0.39 cd | 9.660 ± 0.27 a | 8.299 ± 0.11 b |
| Decanoic acid, methyl ester | - | 26.69 ± 0.04 c | 30.78 ± 0.20 b | - | 42.38 ± 0.44 a |
| Benzeneacetic acid, ethyl ester | 38.41 ± 0.01 a | 27.01 ± 0.14 b | 26.70 ± 0.28 b | - | 26.88 ± 0.09 b |
| D-octanolactone | - | 27.60 ± 0.02 c | - | 34.21 ± 0.18 a | 31.79 ± 0.05 b |
| Pantolactone | - | 217.8 ± 0.03 a | - | 194.2 ± 0.57 b | 31.83 ± 0.28 c |
| Butanedioic acid, hydroxy-, diethyl ester | - | - | - | - | 28.26 ± 0.15 a |
| Ethyl (Z)-cinnamate | - | 22.05 ± 0.03 c | - | 24.15 ± 0.07 b | 31.77 ± 0.21 a |
| Total esters | 233.8 | 683.3 | 394.9 | 549.4 | 629.9 |
| Aldehydes | |||||
| Benzaldehyde | 13.77 ± 0.76 d | 24.17 ± 0.90 b | 31.20 ± 0.99 a | 18.60 ± 0.03 c | 30.89 ± 1.09 a |
| Decanal | - | 8.034 ± 0.04 a | 6.534 ± 0.16 b | - | - |
| Benzaldehyde, 2,5-dimethyl- | 11.63 ± 0.77 b | 5.510 ± 0.11 d | 8.645 ± 0.04 c | 0.6581 ± 0.00 e | 15.85 ± 0.63 a |
| Benzaldehyde, 2,4-dimethyl- | 14.07 ± 0.15 d | 53.79 ± 1.31 b | 25.87 ± 0.85 c | 7.330 ± 0.28 e | 56.26 ± 0.30 a |
| Total aldehydes | 39.47 | 91.50 | 72.25 | 26.58 | 103.0 |
| Phenols | |||||
| Butylated Hydroxytoluene | - | 0.7891 ± 0.19 a | 0.5392 ± 0.04 ab | 0.3483 ± 0.20 b | 0.6632 ± 0.07 a |
| 2-Methoxy-4-vinylphenol | - | - | 6.606 ± 0.23 a | - | - |
| 2,4-Di-tert-butylphenol | - | 0.8012 ± 0.06 a | - | 0.5776 ± 0.19 a | 0.4791 ± 0.19 a |
| Phenol, 3,4,5-trimethyl- | 0.9910 ± 0.51 a | 0.8700 ±0.16 a | - | 0.8892 ± 0.34 a | 0.6473 ± 0.12 a |
| Total phenols | 0.9910 | 2.462 | 7.145 | 1.814 | 1.789 |
| Ketones | |||||
| Acetoin | 29.52 ± 1.96 c | 10.79 ± 0.05 d | 40.12 ± 2.99 b | 33.00 ± 1.85 c | 44.05 ± 1.50 a |
| 2-Nonanone | 14.89 ± 0.52 a | 11.51 ± 0.47 b | 11.22 ± 0.34 b | 11.85 ± 0.41 b | 11.80 ± 0.01 b |
| Damascenone | - | 12.59 ± 0.62 a | 12.61 ± 0.18 a | 12.35 ± 0.47 a | 12.70 ± 0.42 a |
| Acetoguaiacone | 17.98 ± 0.73 d | 33.10 ± 0.76 a | 23.20 ± 0.11 c | 26.65 ± 0.12 b | 16.77 ± 1.74 d |
| Total ketones | 62.39 | 67.99 | 87.14 | 83.85 | 85.32 |
| Acids | |||||
| Hexanoic acid | 1.716 ± 0.62 c | 2.563 ± 0.10 ab | 2.838 ± 0.08 a | 2.179 ± 0.14 bc | 2.998 ± 0.03 a |
| Octanoic acid | - | 0.9571 ± 0.00 b | 1.004 ± 0.04 ab | 0.8552 ± 0.05 c | 1.061 ± 0.02 a |
| Benzoic acid | 2.037 ± 0.06 a | 2.012 ± 0.04 a | - | 1.753 ± 0.10 b | 2.037 ± 0.17 a |
| Total acids | 3.753 | 5.532 | 3.842 | 4.787 | 6.096 |
| Hydrocarbons | |||||
| p-Xylene | - | 0.3731 ± 0.00 c | - | 18.72 ± 1.90 b | 22.83 ± 1.32 a |
| Dodecane | 10.43 ± 0.31 c | 20.15 ± 0.27 b | 21.14 ± 0.46 a | - | - |
| Styrene | 45.14 ± 1.72 d | 0.5343 ± 0.00 e | 62.87 ± 0.41 b | 51.10 ± 1.03 c | 69.78 ± 2.46 a |
| Benzene, 1,2,4,5-tetramethyl- | 17.41 ± 0.46 b | 0.5661 ± 0.02 c | - | - | 20.15 ± 0.23 a |
| Total hydrocarbons | 72.97 | 21.62 | 84.01 | 69.82 | 112.8 |
| Total | 1563 | 1720 | 1639 | 1468 | 2165 |
| Sample | Appearance | Aroma | Taste | Aftertaste | Overall Impression | Total Scores |
|---|---|---|---|---|---|---|
| 3 | 6 | 6 | 3 | 2 | 20 | |
| W1 | 2.3 | 3.9 | 3.8 | 1.8 | 1.3 | 13.1 |
| W2 | 2.9 | 4.5 | 4.3 | 1.8 | 1.1 | 14.6 |
| W3 | 2.7 | 4.6 | 4.7 | 1.9 | 1.2 | 15.1 |
| W4 | 2.6 | 4.1 | 4.2 | 2.0 | 1.3 | 14.2 |
| W5 | 2.5 | 5.4 | 4.2 | 1.9 | 1.6 | 15.6 |
Disclaimer/Publisher’s Note: The statements, opinions and data contained in all publications are solely those of the individual author(s) and contributor(s) and not of MDPI and/or the editor(s). MDPI and/or the editor(s) disclaim responsibility for any injury to people or property resulting from any ideas, methods, instructions or products referred to in the content. |
© 2023 by the authors. Licensee MDPI, Basel, Switzerland. This article is an open access article distributed under the terms and conditions of the Creative Commons Attribution (CC BY) license (https://creativecommons.org/licenses/by/4.0/).
Share and Cite
Chen, M.; Zhang, S.; Ren, Y.; Le, Z.; Li, L.; Sun, B. Effects of Different Brewing Technologies on Polyphenols and Aroma Components of Black Chokeberry Wine. Foods 2023, 12, 868. https://doi.org/10.3390/foods12040868
Chen M, Zhang S, Ren Y, Le Z, Li L, Sun B. Effects of Different Brewing Technologies on Polyphenols and Aroma Components of Black Chokeberry Wine. Foods. 2023; 12(4):868. https://doi.org/10.3390/foods12040868
Chicago/Turabian StyleChen, Mengying, Shuting Zhang, Yuanxiao Ren, Zhao Le, Lingxi Li, and Baoshan Sun. 2023. "Effects of Different Brewing Technologies on Polyphenols and Aroma Components of Black Chokeberry Wine" Foods 12, no. 4: 868. https://doi.org/10.3390/foods12040868
APA StyleChen, M., Zhang, S., Ren, Y., Le, Z., Li, L., & Sun, B. (2023). Effects of Different Brewing Technologies on Polyphenols and Aroma Components of Black Chokeberry Wine. Foods, 12(4), 868. https://doi.org/10.3390/foods12040868

