Shelf-Life Performance of Fish Feed Supplemented with Bioactive Extracts from Fermented Olive Mill and Winery By-Products
Abstract
1. Introduction
2. Materials and Methods
2.1. Raw Material and Microorganisms
2.2. Production of Bioactive Extract
2.3. Experimental Diets
2.4. Xylanase and Cellulase Activity
2.5. Proteases Activity
2.6. Antioxidant Activity
2.7. Lipid Peroxidation
2.8. Inactivation Parameters of Cellulases and Xylanases during Storage
2.9. Statistical Analysis
3. Results and Discussion
3.1. Enzymatic Activities
3.2. Antioxidant Activity
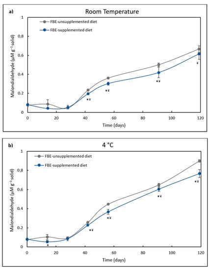
3.3. Inhibition of Lipid Peroxidation
4. Conclusions
Author Contributions
Funding
Data Availability Statement
Conflicts of Interest
References
- Hua, K.; Cobcroft, J.M.; Cole, A.; Condon, K.; Jerry, D.R.; Mangott, A.; Praeger, C.; Vucko, M.J.; Zeng, C.; Zenger, K.; et al. The Future of Aquatic Protein: Implications for Protein Sources in Aquaculture Diets. One Earth 2019, 1, 316–329. [Google Scholar] [CrossRef]
- Sofia. Seafish Insight: Fishmeal Production and Trends; 2018; Available online: https://www.seafish.org/document/?id=F7F4AA77-18E4-4635-AA88-589B1CDCDA2E (accessed on 5 January 2023).
- Glencross, B.; Fracalossi, D.; Hua, K.; Izquierdo, M.; Ma, K.; Overland, M.; Robb, D.; Roubach, R.; Schrama, J.; Small, B.; et al. Harvesting the Benefits of Nutritional Research to Address Global Challenges in the 21st Century 2020. In Proceedings of the Global Conference on Aquaculture 2020, Shanghai, China, 22–25 September 2021. [Google Scholar]
- Francis, G.; Makkar, H.P.S.; Becker, K. Antinutritional Factors Present in Plant-Derived Alternate Fish Feed Ingredients and Their Effects in Fish. Aquaculture 2001, 199, 197–227. [Google Scholar] [CrossRef]
- Sinha, A.K.; Kumar, V.; Makkar, H.P.S.; de Boeck, G.; Becker, K. Non-Starch Polysaccharides and Their Role in Fish Nutrition—A Review. Food Chem. 2011, 127, 1409–1426. [Google Scholar] [CrossRef]
- Castillo, S.; Gatlin, D.M. Dietary Supplementation of Exogenous Carbohydrase Enzymes in Fish Nutrition: A Review. Aquaculture 2015, 435, 286–292. [Google Scholar] [CrossRef]
- Encarnação, P. 5-Functional Feed Additives in Aquaculture Feeds. In Aquafeed Formulation; Nates, S.F., Ed.; Academic Press: San Diego, CA, USA, 2016; pp. 217–237. ISBN 978-0-12-800873-7. [Google Scholar]
- Fernandes, H.; Salgado, J.M.; Martins, N.; Peres, H.; Oliva-Teles, A.; Belo, I. Sequential Bioprocessing of Ulva Rigida to Produce Lignocellulolytic Enzymes and to Improve Its Nutritional Value as Aquaculture Feed. Bioresour. Technol. 2019, 281, 277–285. [Google Scholar] [CrossRef]
- Kolkovski, S.; Czesny, S.; Dabrowski, K. Use of Krill Hydrolysate as a Feed Attractant for Fish Larvae and Juveniles. J. World Aquac. Soc. 2000, 31, 81–88. [Google Scholar] [CrossRef]
- Gatlin, D.M.; Barrows, F.T.; Brown, P.; Dabrowski, K.; Gaylord, T.G.; Hardy, R.W.; Herman, E.; Hu, G.; Krogdahl, Å.; Nelson, R.; et al. Expanding the Utilization of Sustainable Plant Products in Aquafeeds: A Review. Aquac. Res. 2007, 38, 551–579. [Google Scholar] [CrossRef]
- Oliva-Teles, A.; Gonçalves, P. Partial Replacement of Fishmeal by Brewers Yeast (Saccaromyces cerevisae) in Diets for Sea Bass (Dicentrarchus labrax) Juveniles. Aquaculture 2001, 202, 269–278. [Google Scholar] [CrossRef]
- Hardy, R.W. Utilization of Plant Proteins in Fish Diets: Effects of Global Demand and Supplies of Fishmeal. Aquac. Res. 2010, 41, 770–776. [Google Scholar] [CrossRef]
- Gatesoupe, F.J. The Use of Probiotics in Aquaculture. Aquaculture 1999, 180, 147–165. [Google Scholar] [CrossRef]
- Ringø, E.; Olsen, R.E.; Gifstad, T.Ø.; Dalmo, R.A.; Amlund, H.; Hemre, G.-I.; Bakke, A.M. Prebiotics in Aquaculture: A Review. Aquac. Nutr. 2010, 16, 117–136. [Google Scholar] [CrossRef]
- Dawood, M.A.O.; Koshio, S.; Esteban, M.Á. Beneficial Roles of Feed Additives as Immunostimulants in Aquaculture: A Review. Rev. Aquac. 2018, 10, 950–974. [Google Scholar] [CrossRef]
- Citarasu, T. Herbal Biomedicines: A New Opportunity for Aquaculture Industry. Aquac. Int. 2010, 18, 403–414. [Google Scholar] [CrossRef]
- Hassan, A.M.; Kenawy, A.M.; Abbas, W.T.; Abdel-Wahhab, M.A. Prevention of Cytogenetic, Histochemical and Biochemical Alterations in Oreochromis Niloticus by Dietary Supplement of Sorbent Materials. Ecotoxicol. Environ. Saf. 2010, 73, 1890–1895. [Google Scholar] [CrossRef] [PubMed]
- Volpatti, D.; Chiara, B.; Francesca, T.; Marco, G. Growth Parameters, Innate Immune Response and Resistance to Listonella (Vibrio) Anguillarum of Dicentrarchus Labrax Fed Carvacrol Supplemented Diets. Aquac. Res. 2013, 45, 31–44. [Google Scholar] [CrossRef]
- Bampidis, V.; Azimonti, G.; Bastos, M.d.L.; Christensen, H.; Dusemund, B.; Kouba, M.; Kos Durjava, M.; López-Alonso, M.; López Puente, S.; Marcon, F.; et al. Safety and Efficacy of HOSTAZYM® X (Endo-1,4-beta-xylanase) as a Feed Additive for Rabbits for Fattening. EFSA J. 2019, 17, e05529. [Google Scholar] [CrossRef]
- Silano, V.; Barat Baviera, J.M.; Bolognesi, C.; Cocconcelli, P.S.; Crebelli, R.; Gott, D.M.; Grob, K.; Lampi, E.; Mortensen, A.; Riviere, G.; et al. Safety Evaluation of the Food Enzyme Cellulase from Trichoderma Reesei (Strain DP-Nzc36). EFSA J. 2019, 17, e05839. [Google Scholar] [CrossRef]
- Guan, D.; Wang, Z.; Han, H.; Sun, H.; Li, Y.; Wan, W.; Wang, J. Effects of Nonstarch Polysaccharide Hydrolase of Plant Protein-Based Diets on Growth, Nutrient Digestibility, and Protease/Amylase Activities of Yellow River Carp, Cyprinus Carpio. J. World Aquac. Soc. 2021, 52, 805–819. [Google Scholar] [CrossRef]
- Gericke, S.J.; Salie, K.; de Wet, L.; Goosen, N.J. Effects of Dietary Supplementation of Endo-(1,4)-β-Xylanase in Plant-Based Diets on Growth Performance, Hindgut Microbial Diversity, and Blood Chemistry in Large on-Growing African Catfish (Clarias gariepinus). J. Appl. Aquac. 2021, 1–24. [Google Scholar] [CrossRef]
- Maas, R.M.; Verdegem, M.C.J.; Stevens, T.L.; Schrama, J.W. Effect of Exogenous Enzymes (Phytase and Xylanase) Supplementation on Nutrient Digestibility and Growth Performance of Nile Tilapia (Oreochromis niloticus) Fed Different Quality Diets. Aquaculture 2020, 529, 735723. [Google Scholar] [CrossRef]
- Magalhães, R.; Coutinho, F.; Pousão-Ferreira, P.; Aires, T.; Oliva-Teles, A.; Peres, H. Corn Distiller’s Dried Grains with Solubles: Apparent Digestibility and Digestive Enzymes Activities in European Seabass (Dicentrarchus labrax) and Meagre (Argyrosomus regius). Aquaculture 2015, 443, 90–97. [Google Scholar] [CrossRef]
- Magalhães, R.; Lopes, T.; Martins, N.; Díaz-Rosales, P.; Couto, A.; Pousão-Ferreira, P.; Oliva-Teles, A.; Peres, H. Carbohydrases Supplementation Increased Nutrient Utilization in White Seabream (Diplodus sargus) Juveniles Fed High Soybean Meal Diets. Aquaculture 2016, 463, 43–50. [Google Scholar] [CrossRef]
- Diógenes, A.F.; Castro, C.; Carvalho, M.; Magalhães, R.; Estevão-Rodrigues, T.T.; Serra, C.R.; Oliva-Teles, A.; Peres, H. Exogenous Enzymes Supplementation Enhances Diet Digestibility and Digestive Function and Affects Intestinal Microbiota of Turbot (Scophthalmus maximus) Juveniles Fed Distillers’ Dried Grains with Solubles (DDGS) Based Diets. Aquaculture 2018, 486, 42–50. [Google Scholar] [CrossRef]
- Amerah, A.M.; Gilbert, C.; Simmins, P.H.; Ravindran, V. Influence of Feed Processing on the Efficacy of Exogenous Enzymes in Broiler Diets. World’s Poult. Sci. J. 2019, 67, 29–46. [Google Scholar] [CrossRef]
- Almaraz-Sánchez, I.; Amaro-Reyes, A.; Acosta-Gallegos, J.A.; Mendoza-Sánchez, M. Processing Agroindustry By-Products for Obtaining Value-Added Products and Reducing Environmental Impact. J. Chem. 2022, 2022, 3656932. [Google Scholar] [CrossRef]
- Zhuang, J.; Marchant, M.A.; Nokes, S.E.; Strobel, H.J. Economic Analysis of Cellulase Production Methods for Bio-Ethanol. Appl. Eng. Agric. 2007, 23, 679–687. [Google Scholar] [CrossRef]
- Thomas, L.; Larroche, C.; Pandey, A. Current Developments in Solid-State Fermentation. Biochem. Eng. J. 2013, 81, 146–161. [Google Scholar] [CrossRef]
- Pandey, A. Solid-State Fermentation. Biochem. Eng. J. 2003, 13, 81–84. [Google Scholar] [CrossRef]
- Leite, P.; Sousa, D.; Fernandes, H.; Ferreira, M.; Costa, A.R.; Filipe, D.; Gonçalves, M.; Peres, H.; Belo, I.; Salgado, J.M. Recent Advances in Production of Lignocellulolytic Enzymes by Solid-State Fermentation of Agro-Industrial Wastes. Curr. Opin. Green Sustain. Chem. 2020, 27, 100407. [Google Scholar] [CrossRef]
- Andrews, J.T.; Giesen, A.F.; Scott, F.R. Antioxidants Manage Effects of Oxidation on Feeds, Feed Ingredients. Glob. Aquac. Advocate 2004, 12, 66–68. [Google Scholar]
- Choe, E.; Min, D.B. Mechanisms of Antioxidants in the Oxidation of Foods. Compr. Rev. Food Sci. Food Saf. 2009, 8, 345–358. [Google Scholar] [CrossRef]
- Godwin, A.; Ramachandra Prabhu, H. Lipid Peroxidation of Fish Oils. Indian J. Clin. Biochem. 2006, 21, 202–204. [Google Scholar] [CrossRef] [PubMed]
- Sargent, J.R.; Tocher, D.R.; Bell, J.G. The Lipids. In Fish Nutrition; Academic Press: Cambridge, MA, USA, 2002; pp. 181–257. [Google Scholar]
- Mourente, G.; Bell, J.G. Partial Replacement of Dietary Fish Oil with Blends of Vegetable Oils (Rapeseed, Linseed and Palm Oils) in Diets for European Sea Bass (Dicentrarchus labrax L.) over a Long Term Growth Study: Effects on Muscle and Liver Fatty Acid Composition and Effectiveness of a Fish Oil Finishing Diet. Comp. Biochem. Physiol.-B Biochem. Mol. Biol. 2006, 145, 389–399. [Google Scholar] [CrossRef]
- Hossen, M.; Das, M.; Sumi, K.; Hasan, M. Effect of Storage Time on Fish Feed Stored at Room Temperature and Low Temperature. Progress. Agric. 2013, 22, 115–122. [Google Scholar] [CrossRef]
- Hernández, A.; García García, B.; Jordán, M.J.; Hernández, M.D. Natural Antioxidants in Extruded Fish Feed: Protection at Different Storage Temperatures. Anim. Feed Sci. Technol. 2014, 195, 112–119. [Google Scholar] [CrossRef]
- Hamre, K.; Kolås, K.; Sandnes, K. Protection of Fish Feed, Made Directly from Marine Raw Materials, with Natural Antioxidants. Food Chem. 2010, 119, 270–278. [Google Scholar] [CrossRef]
- Lundebyea, A.K.; Hovea, H.; Mågea, A.; Bohneb, V.J.B.; Hamrea, K. Levels of Synthetic Antioxidants (Ethoxyquin, Butylated Hydroxytoluene and Butylated Hydroxyanisole) in Fish Feed and Commercially Farmed Fish. Food Addit. Contam. Part A Chem. Anal. Control. Expo. Risk Assess. 2010, 27, 1652–1657. [Google Scholar] [CrossRef]
- Bampidis, V.; Azimonti, G.; Bastos, M.d.L.; Christensen, H.; Dusemund, B.; Fašmon Durjava, M.; Kouba, M.; López-Alonso, M.; López Puente, S.; Marcon, F.; et al. Safety and Efficacy of a Feed Additive Consisting of Ethoxyquin (6-ethoxy-1,2-dihydro-2,2,4-trimethylquinoline) for All Animal Species (FEFANA Asbl). EFSA J. 2022, 20, e07166. [Google Scholar] [CrossRef]
- EUR-Lex-32021R0412-EN-EUR-Lex. Available online: https://eur-lex.europa.eu/eli/reg_impl/2021/412/oj (accessed on 4 May 2022).
- Olive Oil. Available online: https://agriculture.ec.europa.eu/farming/crop-productions-and-plant-based-products/olive-oil_en (accessed on 7 November 2022).
- Wine. Available online: https://agriculture.ec.europa.eu/farming/crop-productions-and-plant-based-products/wine_en (accessed on 7 November 2022).
- Devesa-Rey, R.; Vecino, X.; Varela-Alende, J.L.; Barral, M.T.; Cruz, J.M.; Moldes, A.B. Valorization of Winery Waste vs. the Costs of Not Recycling. Waste Manag. 2011, 31, 2327–2335. [Google Scholar] [CrossRef]
- Tapia-Quirós, P.; Montenegro-Landívar, M.F.; Reig, M.; Vecino, X.; Alvarino, T.; Cortina, J.L.; Saurina, J.; Granados, M. Olive Mill and Winery Wastes as Viable Sources of Bioactive Compounds: A Study on Polyphenols Recovery. Antioxidants 2020, 9, 1074. [Google Scholar] [CrossRef]
- Wallace, G.; Fry, S.C. Phenolic Components of the Plant Cell Wall. Int. Rev. Cytol. 1994, 151, 229–267. [Google Scholar] [CrossRef] [PubMed]
- Martins, S.; Mussatto, S.I.; Martínez-Avila, G.; Montañez-Saenz, J.; Aguilar, C.N.; Teixeira, J.A. Bioactive Phenolic Compounds: Production and Extraction by Solid-State Fermentation. A Review. Biotechnol. Adv. 2011, 29, 365–373. [Google Scholar] [CrossRef] [PubMed]
- Verduzco-Oliva, R.; Gutierrez-Uribe, J.A. Beyond Enzyme Production: Solid State Fermentation (SSF) as an Alternative Approach to Produce Antioxidant Polysaccharides. Sustainability 2020, 12, 495. [Google Scholar] [CrossRef]
- Yang, W.; Yang, Y.; Zhang, L.; Xu, H.; Guo, X.; Yang, X.; Dong, B.; Cao, Y. Improved Thermostability of an Acidic Xylanase from Aspergillus Sulphureus by Combined Disulphide Bridge Introduction and Proline Residue Substitution. Sci. Rep. 2017, 7, 1587. [Google Scholar] [CrossRef]
- Moura, G.d.S.; Teixeira Lanna, E.A.; Donzele, J.L.; Falkoski, D.L.; de Rezende, S.T.; Oliveira, M.G.d.A.; Albino, L.F.T. Stability of Enzyme Complex Solid-State Fermentation Subjected to the Processing of Pelleted Diet and Storage Time at Different Temperatures. Rev. Bras. Zootec. 2016, 45, 731–736. [Google Scholar] [CrossRef]
- Filipe, D.; Fernandes, H.; Castro, C.; Peres, H.; Oliva-Teles, A.; Belo, I.; Salgado, J.M. Improved Lignocellulolytic Enzyme Production and Antioxidant Extraction Using Solid-state Fermentation of Olive Pomace Mixed with Winery Waste. Biofuels Bioprod. Biorefining 2019, 14, 78–91. [Google Scholar] [CrossRef]
- Miller, G.L. Modified DNS Method for Reducing Sugars. Anal. Chem. 1959, 31, 426–428. [Google Scholar] [CrossRef]
- Dulf, F.V.; Vodnar, D.C.; Dulf, E.-H.; Toşa, M.I. Total Phenolic Contents, Antioxidant Activities, and Lipid Fractions from Berry Pomaces Obtained by Solid-State Fermentation of Two Sambucus Species with Aspergillus Niger. J. Agric. Food Chem. 2015, 63, 3489–3500. [Google Scholar] [CrossRef]
- Nguyen, T.T.K.; Laosinwattana, C.; Teerarak, M.; Pilasombut, K. Potential Antioxidant and Lipid Peroxidation Inhibition of Phyllanthus Acidus Leaf Extract in Minced Pork. Asian-Australas J. Anim. Sci. 2017, 30, 1323–1331. [Google Scholar] [CrossRef]
- Pal, A.; Khanum, F. Characterizing and Improving the Thermostability of Purified Xylanase from Aspergillus Niger DFR-5 Grown on Solid-State-Medium. J. Biochem. Technol. 2010, 2, 203–209. [Google Scholar]
- Fernandes, H.; Salgado, J.M.; Ferreira, M.; Vršanská, M.; Fernandes, N.; Castro, C.; Oliva-Teles, A.; Peres, H.; Belo, I. Valorization of Brewer’s Spent Grain Using Biological Treatments and Its Application in Feeds for European Seabass (Dicentrarchus labrax). Front. Bioeng. Biotechnol. 2022, 10, 732948. [Google Scholar] [CrossRef] [PubMed]
- Adeola, O.; Cowieson, A.J. BOARD-INVITED REVIEW: Opportunities and Challenges in Using Exogenous Enzymes to Improve Nonruminant Animal Production. J. Anim. Sci. 2011, 89, 3189–3218. [Google Scholar] [CrossRef] [PubMed]
- Fuente, J.M.; Perez De Ayala, P.; Flores, A.; Villamide, M.J. Effect of Storage Time and Dietary Enzyme on the Metabolizable Energy and Digesta Viscosity of Barley-Based Diets for Poultry. Poult. Sci. 1998, 77, 90–97. [Google Scholar] [CrossRef] [PubMed]
- El-Sherbiny, M.; El-Chaghaby, G. Storage Temperature and Stabilizers in Relation to the Activity of Commercial Liquid Feed Enzymes: A Case Study from Egypt. J. Agrobiol. 2012, 28, 129–137. [Google Scholar] [CrossRef]
- Buntić, A.V.; Pavlović, M.D.; Antonović, D.G.; Šiler-Marinković, S.S.; Dimitrijević-Branković, S.I. Utilization of Spent Coffee Grounds for Isolation and Stabilization of Paenibacillus Chitinolyticus CKS1 Cellulase by Immobilization. Heliyon 2016, 2, E00146. [Google Scholar] [CrossRef] [PubMed]
- Maragathavalli, S.; Megha, S.; Brindha, S.; Karthikeyan, V.V.; Annadurai, S.G. Effect of Different Nutritive Sources for Enhancing Cellulose Producion in Aspergillus Terreus. Int. J. Sci. Nat. 2015, 6, 465–473. [Google Scholar]
- Sharma, P.K.; Chand, D. Production of Cellulase Free Thermostable Xylanase from Pseudomonas sp. XPB-6. Int. Res. J. Biol. Sci. 2012, 1, 31–41. [Google Scholar]
- Yadav, P.; Maharjan, J.; Korpole, S.; Prasad, G.S.; Sahni, G.; Bhattarai, T.; Sreerama, L. Production, Purification, and Characterization of Thermostable Alkaline Xylanase from Anoxybacillus Kamchatkensis NASTPD13. Front. Bioeng. Biotechnol. 2018, 6, 1209. [Google Scholar] [CrossRef]
- Sanghi, A.; Garg, N.; Gupta, V.K.; Mittal, A.; Kuhad, R.C. One-Step Purification and Characterization of Cellulase-Free Xylanase Produced by Alkalophilic Bacillus Subtilis Ash. Braz. J. Microbiol. 2010, 41, 467–476. [Google Scholar] [CrossRef]
- Sousa, D.; Salgado, J.M.; Cambra-López, M.; Dias, A.C.P.; Belo, I. Degradation of Lignocellulosic Matrix of Oilseed Cakes by Solid-State Fermentation: Fungi Screening for Enzymes Production and Antioxidants Release. J. Sci. Food Agric. 2022, 102, 1550–1560. [Google Scholar] [CrossRef]
- Volf, I.; Ignat, I.; Neamtu, M.; Popa, V. Thermal Stability, Antioxidant Activity, and Photo-Oxidation of Natural Polyphenols. Chem. Pap. 2014, 68, 121–129. [Google Scholar] [CrossRef]
- Yang, P.; Wang, H.K.; Zhu, M.; Li, L.X.; Ma, Y.X. Degradation Kinetics of Vitamins in Premixes for Pig: Effects of Choline, High Concentrations of Copper and Zinc, and Storage Time. Anim. Biosci. 2021, 34, 701. [Google Scholar] [CrossRef] [PubMed]
- Sharma, R.J.; Gupta, R.C.; Singh, S.; Bansal, A.K.; Singh, I.P. Stability of Anthocyanins- and Anthocyanidins-Enriched Extracts, and Formulations of Fruit Pulp of Eugenia Jambolana (‘Jamun’). Food Chem. 2016, 190, 808–817. [Google Scholar] [CrossRef] [PubMed]
- Kearsley, M.W.; Rodriguez, N. The Stability and Use of Natural Colours in Foods: Anthocyanin, β-Carotene and Riboflavin. Int J. Food Sci. Technol. 2007, 16, 421–431. [Google Scholar] [CrossRef]
- Ali, A.; Chong, C.H.; Mah, S.H.; Abdullah, L.C.; Choong, T.S.Y.; Chua, B.L. Impact of Storage Conditions on the Stability of Predominant Phenolic Constituents and Antioxidant Activity of Dried Piper Betle Extracts. Molecules 2018, 23, 484. [Google Scholar] [CrossRef] [PubMed]
- Galmarini, M.V.; Maury, C.; Mehinagic, E.; Sanchez, V.; Baeza, R.I.; Mignot, S.; Zamora, M.C.; Chirife, J. Stability of Individual Phenolic Compounds and Antioxidant Activity During Storage of a Red Wine Powder. Food Bioprocess Technol. 2013, 6, 3585–3595. [Google Scholar] [CrossRef]
- Bacou, E.; Walk, C.; Rider, S.; Litta, G.; Perez-Calvo, E. Dietary Oxidative Distress: A Review of Nutritional Challenges as Models for Poultry, Swine and Fish. Antioxidants 2021, 10, 525. [Google Scholar] [CrossRef]
- Sechi, S.; Fiore, F.; Chiavolelli, F.; Dimauro, C.; Nudda, A.; Cocco, R. Oxidative Stress and Food Supplementation with Antioxidants in Therapy Dogs. Can. J. Vet. Res. 2017, 81, 206–216. [Google Scholar]
- Sánchez-Alonso, I.; Jiménez-Escrig, A.; Saura-Calixto, F.; Borderías, A.J. Effect of Grape Antioxidant Dietary Fibre on the Prevention of Lipid Oxidation in Minced Fish: Evaluation by Different Methodologies. Food Chem. 2007, 101, 372–378. [Google Scholar] [CrossRef]
- Lin, H.; Yang, Q.; Wang, A.; Wang, J.; Tan, B.; Ray, G.W.; Dong, X.; Chi, S.; Liu, H.; Zhang, S. Effects of Fish Meal under Different Storage Conditions on Growth, Serum Biochemical Indices and Antioxidant Capacity for Juvenile Grouper Epinephelus Coioides. Aquac. Nutr. 2021, 27, 723–733. [Google Scholar] [CrossRef]






| FBE-Unsupplemented Diet | FBE-Supplemented Diet | |
|---|---|---|
| Ingredients (% dry matter) | ||
| Fish meal | 9.8 | 9.8 |
| Soluble fish protein concentrate | 4.9 | 4.9 |
| Wheat gluten meal | 18.6 | 18.6 |
| Soybean meal | 9.8 | 9.8 |
| Rice bran meal | 9.8 | 9.8 |
| Sunflower meal | 8.8 | 8.8 |
| Rapeseed meal | 7.8 | 7.8 |
| Wheat meal | 6.3 | 6.1 |
| Hemoglobin | 4.9 | 4.9 |
| Taurine | 0.5 | 0.5 |
| Lysine | 0.6 | 0.6 |
| Methionine | 0.2 | 0.2 |
| Fish oil | 12.3 | 12.3 |
| Vitamin premix 1 | 1.0 | 1.0 |
| Choline chloride (50%) | 0.5 | 0.5 |
| Mineral premix 2 | 1.0 | 1.0 |
| Binder 3 | 1.0 | 1.0 |
| CaHPO 4 | 1.0 | 1.0 |
| Hydrolyzed shrimp | 1.2 | 1.2 |
| FBE 4 | 0.26 | |
| Proximate analyses (% dry weight) | ||
| Dry matter (%) | 92.9 | 92.3 |
| Crude protein | 47.9 | 48.1 |
| Crude lipids | 16.3 | 16.4 |
| Starch | 2.56 | 2.58 |
| Ash | 6.8 | 6.7 |
| Gross energy (kJ g−1) | 24.1 | 24.2 |
| Antioxidant activity (µmol of Trolox equivalents g−1) | 18.4 | 19.8 |
| Enzymatic activity (U g−1) | ||
| Xylanase | 0 | 2.61 |
| Cellulase | 0 | 1.08 |
| Kd (Days−1) | t1/2 (Days) | D-Value (Days) | R2 | |||||
|---|---|---|---|---|---|---|---|---|
| Enzyme | RT | 4 °C | RT | 4 °C | RT | 4 °C | RT | 4 °C |
| Cellulase | 0.0051 | 0.032 | 136 | 217 | 451 | 720 | 0.8963 | 0.8133 |
| Xylanase | 0.011 | 0.0096 | 63 | 72 | 209 | 240 | 0.9257 | 0.866 |
Disclaimer/Publisher’s Note: The statements, opinions and data contained in all publications are solely those of the individual author(s) and contributor(s) and not of MDPI and/or the editor(s). MDPI and/or the editor(s) disclaim responsibility for any injury to people or property resulting from any ideas, methods, instructions or products referred to in the content. |
© 2023 by the authors. Licensee MDPI, Basel, Switzerland. This article is an open access article distributed under the terms and conditions of the Creative Commons Attribution (CC BY) license (https://creativecommons.org/licenses/by/4.0/).
Share and Cite
Filipe, D.; Gonçalves, M.; Fernandes, H.; Oliva-Teles, A.; Peres, H.; Belo, I.; Salgado, J.M. Shelf-Life Performance of Fish Feed Supplemented with Bioactive Extracts from Fermented Olive Mill and Winery By-Products. Foods 2023, 12, 305. https://doi.org/10.3390/foods12020305
Filipe D, Gonçalves M, Fernandes H, Oliva-Teles A, Peres H, Belo I, Salgado JM. Shelf-Life Performance of Fish Feed Supplemented with Bioactive Extracts from Fermented Olive Mill and Winery By-Products. Foods. 2023; 12(2):305. https://doi.org/10.3390/foods12020305
Chicago/Turabian StyleFilipe, Diogo, Margarida Gonçalves, Helena Fernandes, Aires Oliva-Teles, Helena Peres, Isabel Belo, and José Manuel Salgado. 2023. "Shelf-Life Performance of Fish Feed Supplemented with Bioactive Extracts from Fermented Olive Mill and Winery By-Products" Foods 12, no. 2: 305. https://doi.org/10.3390/foods12020305
APA StyleFilipe, D., Gonçalves, M., Fernandes, H., Oliva-Teles, A., Peres, H., Belo, I., & Salgado, J. M. (2023). Shelf-Life Performance of Fish Feed Supplemented with Bioactive Extracts from Fermented Olive Mill and Winery By-Products. Foods, 12(2), 305. https://doi.org/10.3390/foods12020305

