Antioxidant Activity, Total Phenolic Content and Total Flavonoid Content in Sweet Chestnut (Castanea sativa Mill.) Cultivars Grown in Northwest Spain under Different Environmental Conditions
Abstract
1. Introduction
2. Materials and Methods
2.1. Samples
2.2. Chemicals
2.3. Moisture Determination
2.4. Preparation of Extracts
2.5. Determination of Antioxidant Activity
2.5.1. DPPH Assay
2.5.2. Ferric-Reducing Antioxidant Power Assay (FRAP)
2.5.3. ABTS Radical-Scavenging Activity
2.6. Determination of Total Phenolics
2.7. Determination of Total Flavonoids
2.8. Statistical Analysis
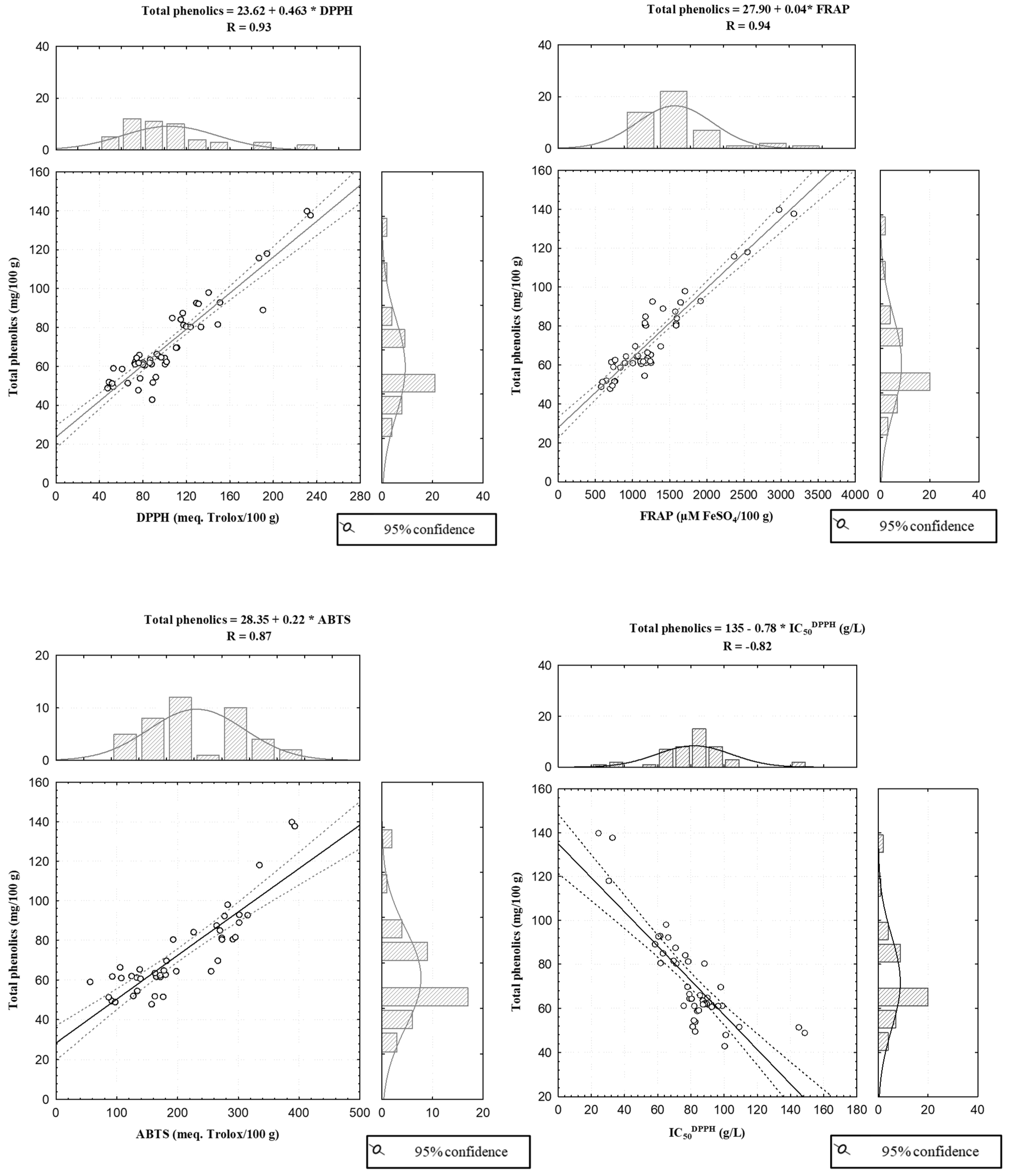
3. Results and Discussion
4. Conclusions
Author Contributions
Funding
Data Availability Statement
Acknowledgments
Conflicts of Interest
References
- Bounous, G. The chestnut: A multipurpose resource for the new millennium. Acta Hortic. 2005, 693, 33–40. [Google Scholar] [CrossRef]
- Poljak, I.; Vahčić, N.; Vidaković, A.; Tumpa, K.; Žarković, I.; Idžojtić, M. Traditional Sweet chestnut and hybrid varieties: Chemical composition, morphometric and qualitative nut characteristics. Agronomy 2021, 11, 516. [Google Scholar] [CrossRef]
- Pereira-Lorenzo, S.; Ramos-Cabrer, A.M.; Díaz-Hernández, M.B.; Ciordia-Ara, M.; Ríos-Mesa, D. Chemical composition of chestnut cultivars from Spain. Sci. Hortic. 2006, 107, 306–314. [Google Scholar] [CrossRef]
- Santos Rosa, E.A.; Seixas Martins Morais, I.V.; Oliveira, I.; Gonçalves, B.; Silva, A.P. Uses and health benefits of chestnuts. In Burleigh Dodds Series in Agricultural Science; Serdar, Ü., Mayis, O., Eds.; Burleigh Dodds Science Publishing: Cambridge, UK, 2019; pp. 69–108. [Google Scholar]
- Gonçalves, B.; Borges, O.; Soares Costa, H.; Bennett, R.; Santos, M.; Silva, A.P. Metabolite composition of chestnut (Castanea sativa Mill.) upon cooking: Proximate analysis, fibre, organic acids and phenolics. Food Chem. 2010, 122, 154–160. [Google Scholar] [CrossRef]
- Vasconcelos, M.C.B.M.; Bennett, R.N.; Rosa, E.A.S.; Ferreira-Cardoso, J.V. Composition of European chestnut (Castanea sativa Mill.) and association with health effects: Fresh and processed products. J. Sci. Food Agric. 2010, 90, 1578–1589. [Google Scholar] [CrossRef]
- Borges, O.; Gonçalves, B.; de Carvalho, J.L.S.; Correia, P.; Silva, A.P. Nutritional quality of chestnut (Castanea sativa Mill.) cultivars from Portugal. Food Chem. 2008, 106, 976–984. [Google Scholar] [CrossRef]
- Cristofori, V.; Muganu, M.; Graziosi, P.; Bertazza, G.; Bignami, C. Comparison of nut traits and quality evaluation of chestnut (Castanea sativa Mill.) germplasm in Latium Region (Central Italy). In Proceedings of the International Workshop on Chestnut Management in Mediterranean Countries-Problems and Prospects, Bursa, Turkey, 23–25 October 2007; pp. 133–140. [Google Scholar]
- Yang, F.; Liu, Q.; Pan, S.; Xu, C.; Xiong, Y.L. Chemical composition and quality traits of Chinese chestnuts (Castanea mollissima) produced in different ecological regions. Food Biosci. 2015, 11, 33–42. [Google Scholar] [CrossRef]
- Frati, A.; Landi, D.; Marinelli, C.; Gianni, G.; Fontana, L.; Migliorini, M.; Pierucci, F.; Garcia-Gil, M.; Meacci, E. Nutraceutical properties of chestnut flours: Beneficial effects on skeletal muscle atrophy. Food Funct. 2014, 5, 2870–2882. [Google Scholar] [CrossRef]
- Ciordia, M.; Feito, I.; Pereira-Lorenzo, S.; Fernández, A.; Majada, J. Adaptive diversity in Castanea sativa Mill. half-sib progenies in response to drought stress. Environ. Exp. Bot. 2012, 78, 56–63. [Google Scholar] [CrossRef]
- Fernández-López, J. Identification of the genealogy of inter-specific hybrids between Castanea sativa, Castanea crenata and Castanea mollissima. For. Syst. 2011, 20, 65–80. [Google Scholar]
- Meteogalicia. Climate Report Year 2015; Xunta de Galicia, Consellería de Medio Ambiente e Ordenación do Territorio: Galicia, Spain, 2015.
- Association of Official Analytical Chemists. AOAC Official Methods of Analysis: Official Method for Moisture; Method No. 925.10; Association of Official Analytical Chemists: Washington, DC, USA, 1995. [Google Scholar]
- Brand-Williams, W.; Cuvelier, M.E.; Berset, C. Use of a free radical method to evaluate antioxidant activity. LWT 1995, 28, 25–30. [Google Scholar] [CrossRef]
- Benzie, F.F.; Strain, J.J. Ferric reducing/antioxidant power assay: Direct measure of total antioxidant activity of biological fluids and modified version for simultaneous measurement of total antioxidant power and ascorbic acid concentration. Methods Enzymol. 1999, 299, 15–23. [Google Scholar]
- Re, R.; Pellegrini, N.; Proteggente, A.; Pannala, A.; Yang, M.; Rice-Evans, C. Antioxidant activity applying an improved ABTS radical cation decolorization assay. Free Radic. Biol. Med. 1999, 26, 1231–1237. [Google Scholar] [CrossRef]
- Singleton, V.L.; Rossi, J.A. Colorimetry of total phenolics with phosphomolybdic-phosphotungstic acid reagents. AJEV 1965, 16, 144–158. [Google Scholar]
- Zhishen, J.; Mengcheng, T.; Jianming, W. The determination of flavonoid contents in mulberry and their scavenging effects on superoxide radicals. Food Chem. 1999, 64, 555–559. [Google Scholar] [CrossRef]
- Neri, L.; Dimitri, G.; Sacchetti, G. Chemical composition and antioxidant activity of cured chestnuts from three sweet chestnuts (Castanea sativa Mill.) ecotypes from Italy. J. Food Comp. Anal. 2010, 23, 23–29. [Google Scholar] [CrossRef]
- Otles, S.; Selek, I. Phenolic compounds and antioxidant activities of chestnut (Castanea sativa Mill.) fruits. Qual. Assur. Saf. Crops Foods 2012, 4, 199–205. [Google Scholar] [CrossRef]
- Blomhoff, R.; Carlsen, M.H.; Anderson, L.F.; Jacobs, D.R. Health benefits of nuts: Potential role of antioxidants. Br. J. Nutr. 2006, 96, 52–60. [Google Scholar] [CrossRef]
- Dinis, L.T.; Oliveira, M.M.; Almeida, J.; Costa, R.; Gomes-Laranjo, J.; Peixoto, F. Antioxidant activities of chestnut nut of Castanea sativa Mill. (cultivar ‘Judia’) as function of origin ecosystem. Food Chem. 2012, 132, 1–8. [Google Scholar] [CrossRef]
- Xu, Z.; Meenu, M.; Chen, P.; Xu, B. Comparative study on phytochemical profiles and antioxidant capacities of chestnuts produced in different geographic area in China. Antioxidants 2020, 9, 190. [Google Scholar] [CrossRef]
- Yang, L.; Wen, K.S.; Ruan, X.; Zhao, Y.X.; Wei, F.; Wang, Q. Response of plant secondary metabolites to environmental factors. Molecules 2018, 23, 762. [Google Scholar] [CrossRef] [PubMed]
- Figueroa, F.; Marhuenda, J.; Zafrilla, P.; Martínez-Cachá, A.; Mulero, J.; Cerdá, B. Total phenolics content, bioavailability and antioxidant capacity of 10 different genotypes of walnut (Juglans regia L.). J. Food Nutr. Res. 2016, 55, 229–236. [Google Scholar]
- Zeng, Q.; Dong, G.; Tian, L.; Wu, H.; Ren, Y.; Tamir, G.; Huang, W.; Yu, H. High altitude is beneficial for antioxidant components and sweetness accumulation of rabbiteye blueberry. Front. Plant Sci. 2020, 11, 573531. [Google Scholar] [CrossRef] [PubMed]
- Dinis, L.T.; Ferreira-Cardoso, J.; Peixoto, F.; Costa, R.; Gomes-Laranjo, J. Study of morphological and chemical diversity in chestnut trees (var. “Judia”) as a function of temperature sum. CYTA J. Food 2011, 9, 192–199. [Google Scholar] [CrossRef]
- Fischer, G.; Parra-Coronado, A.; Balaguera-López, H.E. Altitude as a determinant of fruit quality with emphasis on the Andean tropics of Colombia. A review. Agron. Colomb. 2022, 40, 70–85. [Google Scholar] [CrossRef]
- Barros, A.I.; Nunes, F.M.; Gonçalves, B.; Bennett, R.N.; Silva, A.P. Effect of cooking on total vitamin C contents and antioxidant activity of sweet chestnuts (Castanea sativa Mill.). Food Chem. 2011, 128, 165–172. [Google Scholar] [CrossRef]
- Hernández Suárez, M.; Rodríguez Galdón, B.; Ríos Mesa, D.; Díaz Romero, C.; Rodríguez Rodríguez, E. Sugars, organic acids and total phenols in varieties of chestnut fruits from Tenerife (Spain). Food Nutr. Sci. 2012, 3, 705–715. [Google Scholar]
- Echegaray, N.; Munekata, P.; Centeno, J.A.; Domínguez, R.; Pateiro, M.; Carballo, J.; Lorenzo, J.M. Total phenol content and antioxidant activity of different Celta pig carcass locations as affected by the finishing diet (chestnuts or commercial feed). Antioxidants 2021, 10, 5. [Google Scholar] [CrossRef]
- Kalogeropoulos, N.; Chiou, A.; Ioannou, M.S.; Karathanos, V.T. Nutritional evaluation and health promoting activities of nuts and seeds cultivated in Greece. Int. J. Food Sci. Nutr. 2013, 64, 757–767. [Google Scholar] [CrossRef]
- Abe, L.T.; Lajolo, F.M.; Genovese, M.I. Comparison of phenol content and antioxidant capacity of nuts. Food Sci. Technol. 2010, 30, 254–259. [Google Scholar] [CrossRef]
- Nazzaro, M.; Barbarisi, C.; La Cara, F.; Volpe, M.G. Chemical and biochemical characterisation of an IGP ecotype chestnut subjected to different treatments. Food Chem. 2011, 128, 930–936. [Google Scholar] [CrossRef]
- Chang, X.; Liu, F.; Lin, Z.; Qiu, J.; Peng, C.; Lu, Y.; Guo, X. Phytochemical profiles and cellular antioxidant activities in chestnut (Castanea mollissima BL.) kernels of five different cultivars. Molecules 2020, 25, 178. [Google Scholar] [CrossRef] [PubMed]
- Ciucure, C.T.; Geana, E.-I.; Sandru, C.; Tita, O.; Botu, M. Phytochemical and nutritional profile composition in fruits of different sweet chestnut (Castanea sativa Mill.) cultivars grown in Romania. Separations 2022, 9, 66. [Google Scholar] [CrossRef]
- Šamec, D.; Karalija, E.; Šola, I.; Vujčić Bok, V.; Salopek-Sondi, B. The role of polyphenols in abiotic stress response: The influence of molecular structure. Plants 2021, 10, 118. [Google Scholar] [CrossRef] [PubMed]
- Massantini, R.; Moscetti, R.; Frangipane, M.T. Evaluating progress of chestnut quality: A review of recent developments. Trends Food Sci. Technol. 2021, 113, 245–254. [Google Scholar] [CrossRef]
- Proteggente, A.R.; Pannala, A.S.; Paganga, G.; Van Buren, L.; Wagner, E.; Wiseman, S. The antioxidant activity of regularly consumed fruit and vegetables reflects their phenolic and vitamin C composition. Free Radic. Res. 2002, 36, 217–233. [Google Scholar] [CrossRef] [PubMed]
- Barreira, J.C.M.; Ferreira, I.C.F.R.; Oliveira, M.B.P.P.; Pereira, J.A. Antioxidant activities of the extracts from chestnut flower, leaf, skins and fruit. Food Chem. 2008, 107, 1106–1113. [Google Scholar] [CrossRef]
- Zoratti, L.; Karppinen, K.; Luengo Escobar, A.; Häggman, H.; Jaakola, L. Light-controlled flavonoid biosynthesis in fruits. Front. Plant Sci. 2014, 9, 534. [Google Scholar]
- Daramola, B. Preliminary investigation on antioxidant interactions between bioactive components of Solanum anguivi and Capsicum annuum. J. Food Sci. Technol. 2018, 55, 3827–3832. [Google Scholar] [CrossRef]
- Fraga, C.G.; Croft, K.D.; Kennedy, D.O.; Tomás-Barberán, F.A. The effects of polyphenols and other bioactives on human health. Food Funct. 2019, 10, 514–528. [Google Scholar]



| Common Name | Codes | Geographical Area | Coordinates | Altitude (m) | Average Temp. (°C) | Minimum Temp. (°C) | Maximum Temp. (°C) | Rainfall (L/m2) | Average Sunlight Duration (h/month) | Commercial Features | |
|---|---|---|---|---|---|---|---|---|---|---|---|
| Latitude | Longitude | ||||||||||
| Longal | L1 | Parada do Sil, Ourense | 42.38° N | −7.57° W | 662–672 | 15.71 | −1.5 | 39.9 | 44.03 | 210.0 | Small caliber, between 95 and 100 chestnuts/kg |
| L2 | Monterroso, Lugo | 42.79° N | −7.83° W | 500–550 | 14.08 | −0.2 | 37.3 | 59.17 | 198.1 | ||
| L3 | Castrelo do Val, Ourense | 41.99° N | −7.42° W | 417–570 | 16.57 | −1.6 | 38.7 | 36.68 | 246.3 | ||
| L4 | A Gudiña, Ourense | 42.06° N | −7,14° W | 850–981 | 14.75 | −1.9 | 34.2 | 92.43 | 259.3 | ||
| Famosa | F1 | Monterroso, Lugo | 42.79° N | −7.83° W | 500–550 | 14.08 | −0.2 | 37.3 | 59.17 | 198.1 | Medium caliber, between 70 and 85 chestnuts/kg |
| F2 | Rubiá, Ourense | 42.47° N | −6.89° W | 420–577 | 16.95 | −0.8 | 38.3 | 53.36 | 254.7 | ||
| F3 | Castrelo do Val, Ourense | 41.99° N | −7.42° W | 417–570 | 16.57 | −1.6 | 38.7 | 36.68 | 246.3 | ||
| Parede | P1 | Noceda del Bierzo, León | 42.71° N | −6.40° W | 750–838 | 11.20 | −4.8 | 33.6 | 41.20 | 254.6 | Small caliber, more than 110 chestnuts per kg |
| P2 | Monterroso, Lugo | 42.79° N | −7.83° W | 500–550 | 14.08 | −0.2 | 37.3 | 59.17 | 198.1 | ||
| P3 | Ponferrada, León | 42.55° N | −6.60° W | 522–750 | 19.00 | −1.0 | 38.7 | 40.00 | 254.6 | ||
| Ventura | V1 | A Gudiña, Ourense | 42.06° N | −7.14° W | 850–981 | 14.75 | −1.9 | 34.0 | 92.43 | 259.3 | Small caliber, about 100 chestnuts/kg |
| V2 | A Mezquita, Ourense | 42.24° N | −7.87° W | 850–997 | 15.00 | −1.9 | 34.4 | 91.30 | 259.2 | ||
| Amarelante | A1 | Vilariño de Conso, Ourense | 42.17° N | −7.18° W | 726–950 | 15.17 | −2.0 | 35.2 | 121.5 | 240.9 | Large to medium size, between 55 and 90 chestnuts/kg |
| Raigona | RAI1 | Rubiá, Ourense | 42.47° N | −6.89° W | 420–577 | 16.95 | −0.8 | 38.3 | 53.36 | 254.7 | Large to medium size, between 50 and 90 chestnuts/kg |
| Rapada | R1 | A Gudiña, Ourense | 42.06° N | −7.14° W | 850–981 | 14.75 | −1.9 | 34.0 | 92.43 | 259.3 | Medium caliber, between 70 and 85 chestnuts/kg |
| Xudía | X1 | Castrelo do Val, Ourense | 41.99° N | −7.42° W | 417–570 | 16.57 | −1.6 | 38.7 | 36.68 | 246.3 | Medium caliber, about 75 chestnuts/kg |
| Vilamaesa | VIL1 | Castrelo do Val, Ourense | 41.99° N | −7.42° W | 417–570 | 16.57 | −1.6 | 38.7 | 36.68 | 246.3 | Medium caliber, about 75 chestnuts/kg |
| Samples | Moisture Content (%) | DPPH (meq. Trolox/100 g) | ABTS•+ (meq. Trolox/100 g) | FRAP (μM Fe(II)/100 g) | IC50DPPH (g/L) | Total Phenolics (mg eq. Gallic Acid/100 g) | Total Favonoids (mg eq. Catechin/100 g) |
|---|---|---|---|---|---|---|---|
| L1 | 63.4 ± 1.5 b | 74.41 ± 2.2 bc | 168.5 ± 4.7 cd | 728.2 ± 17.8 a | 89.52 ± 3.6 d | 62.98 ± 2.50 bc | 4.60 ± 0.91 bc |
| L2 | 53.4 ± 0.5 ac | 84.51 ± 7.6 bc | 160.0 ± 3.8 cd | 733.2 ± 46.1 a | 94.19 ± 11.3 d | 47.48 ± 4.41 a | 4.91 ± 0.71 bcd |
| L3 | 47.1 ± 0.2 g | 151.65 ± 34.8 fg | 287.2 ± 20.4 fe | 1958.4 ± 392.5 e | 70.00 ± 12.0 bc | 96.59 ± 17.55 f | 7.94 ± 0.88 e |
| L4 | 55.4 ± 0.3 af | 118.68 ± 11.1 de | 291.9 ± 5.4 f | 1206.5 ± 56.9 c | 61.80 ± 1.4 b | 85.97 ± 6.14 def | 11.99 ± 2.22 f |
| F1 | 58.6 ± 0.1 e | 55.47 ± 4.7 a | 74.0 ± 25.3 a | 770.9 ± 58.7 a | 83.70 ± 3.0 cd | 55.71 ± 5.43 abc | 2.20 ± 0.82 a |
| F2 | 54.2 ± 0.2 acf | 99.35 ± 12.4 cd | 208.9 ± 52.6 e | 1100.8 ± 90.5 bc | 81.84 ± 4.7 cd | 65.81 ± 3.37 c | 7.58 ± 0.58 e |
| F3 | 55.4 ± 0.3 af | 95.52 ± 6.9 cd | 160.5 ± 24.2 cd | 1149.2 ± 64.26 c | 92.46 ± 5.6 d | 62.71 ± 1.82 bc | 7.77 ± 0.45 e |
| P1 | 51.7 ± 0.3 cd | 72.18 ± 2.8 b | 178.3 ± 2.7 e | 762.4 ± 6.6 a | 94.24 ± 13.6 d | 55.96 ± 5.86 abc | 3.22 ± 0.56 ab |
| P2 | 51.1 ± 0.2 d | 71.89 ± 2.9 b | 259.0 ± 5.4 f | 850.1 ± 95.9 ab | 85.14 ± 7.9 cd | 62.68 ± 2.37 bc | 3.33 ± 0.70 ab |
| P3 | 48.4 ± 0.8 g | 49.26 ± 2.1 a | 103.7 ± 21.0 ab | 607.5 ± 36.6 a | 146.87 ± 2.6 e | 50.69 ± 1.65 ab | 4.85 ± 0.33 bcd |
| V1 | 55.8 ± 0.1 fh | 219.69 ± 22.2 h | 371.8 ± 32.2 g | 2899.2 ± 320.0 f | 34.50 ± 3.5 a | 131.84 ± 12.04 g | 17.77 ± 2.21 g |
| V2 | 54.4 ± 0.4 acf | 157.52 ± 29.5 g | 289.8 ± 14.8 f | 1254.1 ± 137.3 c | 63.98 ± 7.8 b | 83.58 ± 4.69 de | 11.59 ± 2.59 f |
| A1 | 57.4 ± 0.4 eh | 95.73 ± 4.22 cd | 135.6 ± 3.7 bc | 1221.0 ± 47.6 c | 78.74 ± 4.3 c | 60.27 ± 5.43 bc | 7.90 ± 0.40 e |
| RAI1 | 52.6 ± 0.1 cd | 82.77 ± 3.2 bc | 131.6 ± 10.2 bc | 1156.1 ± 74.3 c | 90.19 ± 2.2 d | 61.46 ± 0.75 bc | 6.25 ± 0.99 cde |
| R1 | 54.8 ± 0.1 af | 116.40 ± 6.7 de | 200.3 ± 23.3 de | 1522.1 ± 122.4 d | 82.38 ± 8.2 d | 77.98 ± 7.49 d | 11.09 ± 1.49 f |
| X1 | 53.4 ± 0.1 ac | 129.42 ± 11.9 ef | 274.5 ± 9.3 f | 1644.1 ± 65.8 d | 67.37 ± 2.9 b | 92.52 ± 5.27 ef | 6.97 ± 0.27 de |
| VIL1 | 53.4 ± 0.2 ac | 82.94 ± 8.8 bc | 101.8 ± 8.1 ab | 1117.7 ± 101.7 bc | 87.63 ± 8.7 cd | 63.01 ± 2.90 bc | 6.26 ± 0.61 cde |
| Altitude (m) | Average Temp. (°C) | Minimum Temp. (°C) | Maximum Temp. (°C) | Rainfall (L/m2) | Average Sunlight Duration (h/month) | |
|---|---|---|---|---|---|---|
| DPPH | 0.53 * | −0.10 | −0.20 | −0.48 * | 0.50 * | 0.46 * |
| ABTS | 0.50 * | −0.20 | −0.24 | −0.48 * | 0.44 * | 0.39 * |
| FRAP | 0.37 * | −0.02 | −0.15 | −0.36 * | 0.37 * | 0.44 * |
| Total phenolics | 0.48 * | −0.09 | −0.20 | −0.43 * | 0.42 * | 0.44 * |
| Total flavonoids | 0.68 * | −0.05 | −0.19 | −0.58 * | 0.65 * | 0.59 * |
Publisher’s Note: MDPI stays neutral with regard to jurisdictional claims in published maps and institutional affiliations. |
© 2022 by the authors. Licensee MDPI, Basel, Switzerland. This article is an open access article distributed under the terms and conditions of the Creative Commons Attribution (CC BY) license (https://creativecommons.org/licenses/by/4.0/).
Share and Cite
Martínez, S.; Fuentes, C.; Carballo, J. Antioxidant Activity, Total Phenolic Content and Total Flavonoid Content in Sweet Chestnut (Castanea sativa Mill.) Cultivars Grown in Northwest Spain under Different Environmental Conditions. Foods 2022, 11, 3519. https://doi.org/10.3390/foods11213519
Martínez S, Fuentes C, Carballo J. Antioxidant Activity, Total Phenolic Content and Total Flavonoid Content in Sweet Chestnut (Castanea sativa Mill.) Cultivars Grown in Northwest Spain under Different Environmental Conditions. Foods. 2022; 11(21):3519. https://doi.org/10.3390/foods11213519
Chicago/Turabian StyleMartínez, Sidonia, Carlota Fuentes, and Javier Carballo. 2022. "Antioxidant Activity, Total Phenolic Content and Total Flavonoid Content in Sweet Chestnut (Castanea sativa Mill.) Cultivars Grown in Northwest Spain under Different Environmental Conditions" Foods 11, no. 21: 3519. https://doi.org/10.3390/foods11213519
APA StyleMartínez, S., Fuentes, C., & Carballo, J. (2022). Antioxidant Activity, Total Phenolic Content and Total Flavonoid Content in Sweet Chestnut (Castanea sativa Mill.) Cultivars Grown in Northwest Spain under Different Environmental Conditions. Foods, 11(21), 3519. https://doi.org/10.3390/foods11213519

