Understanding the Performance of Plant Protein Concentrates as Partial Meat Substitutes in Hybrid Meat Emulsions
Abstract
1. Introduction
2. Materials and Methods
2.1. Ingredients
2.2. Experimental Design and Hybrid Meat Emulsions Preparation
2.3. Preparation and Physicochemical Characterization of Plant Proteins
2.4. Proximate Analysis, Emulsion Stability, Color, Aw, and pH
2.5. Water Holding Capacity (WHC)
2.6. Texture Profile Analysis
2.7. Rheological Oscillatory Measurements
2.8. Low-Field NMR Spin-Spin Relaxation (T2) Analysis
2.9. Microstructure Analysis
2.10. Confocal Laser Scanning Microscopy
2.11. In Vitro Protein Digestibility Analysis
2.12. Statistical Analysis
3. Results and Discussion
3.1. Physicochemical Characterization of Raw Materials and Hybrid Meat Emulsions
3.2. Rheological Parameters of Hybrid Meat Emulsions
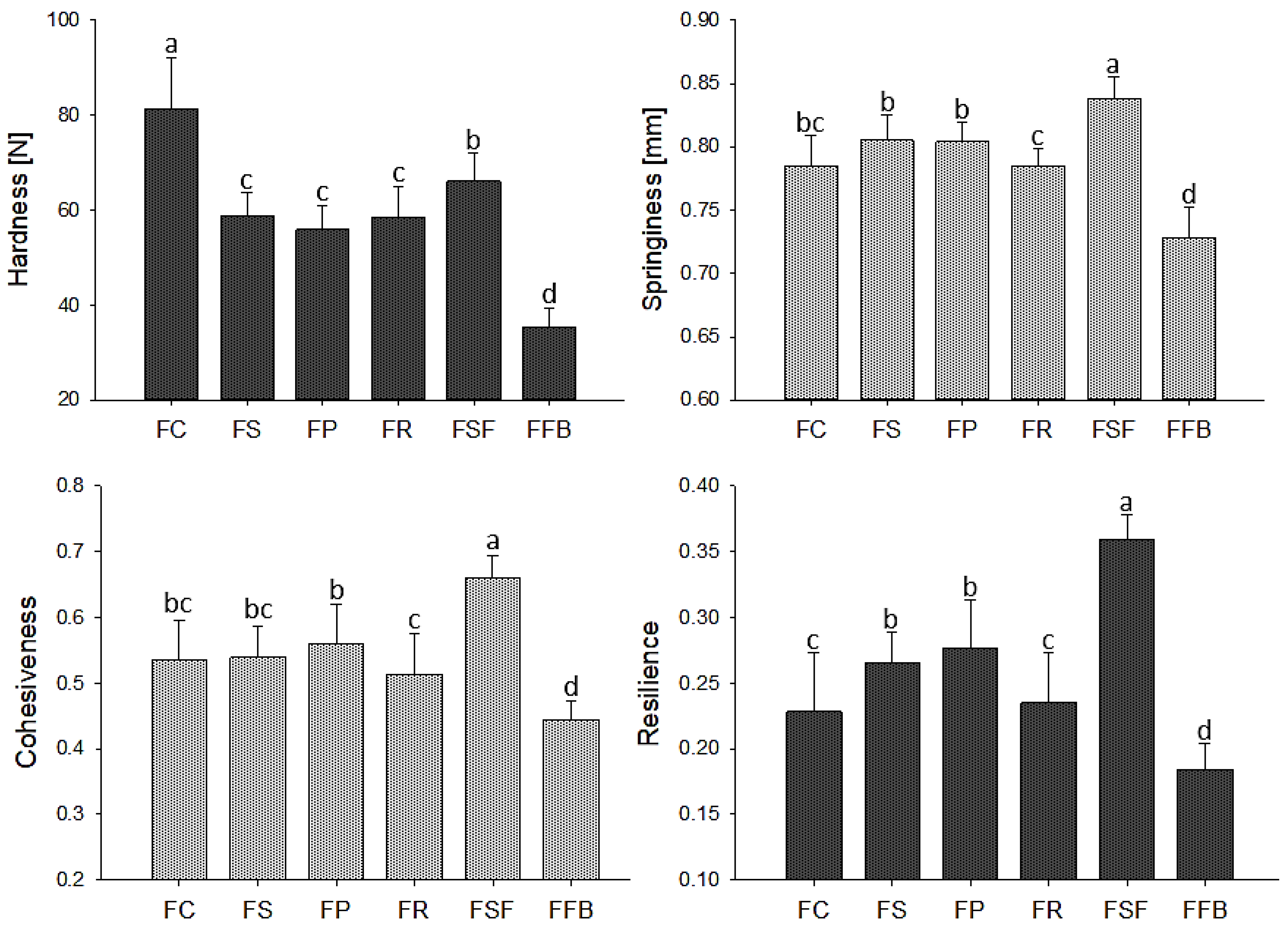
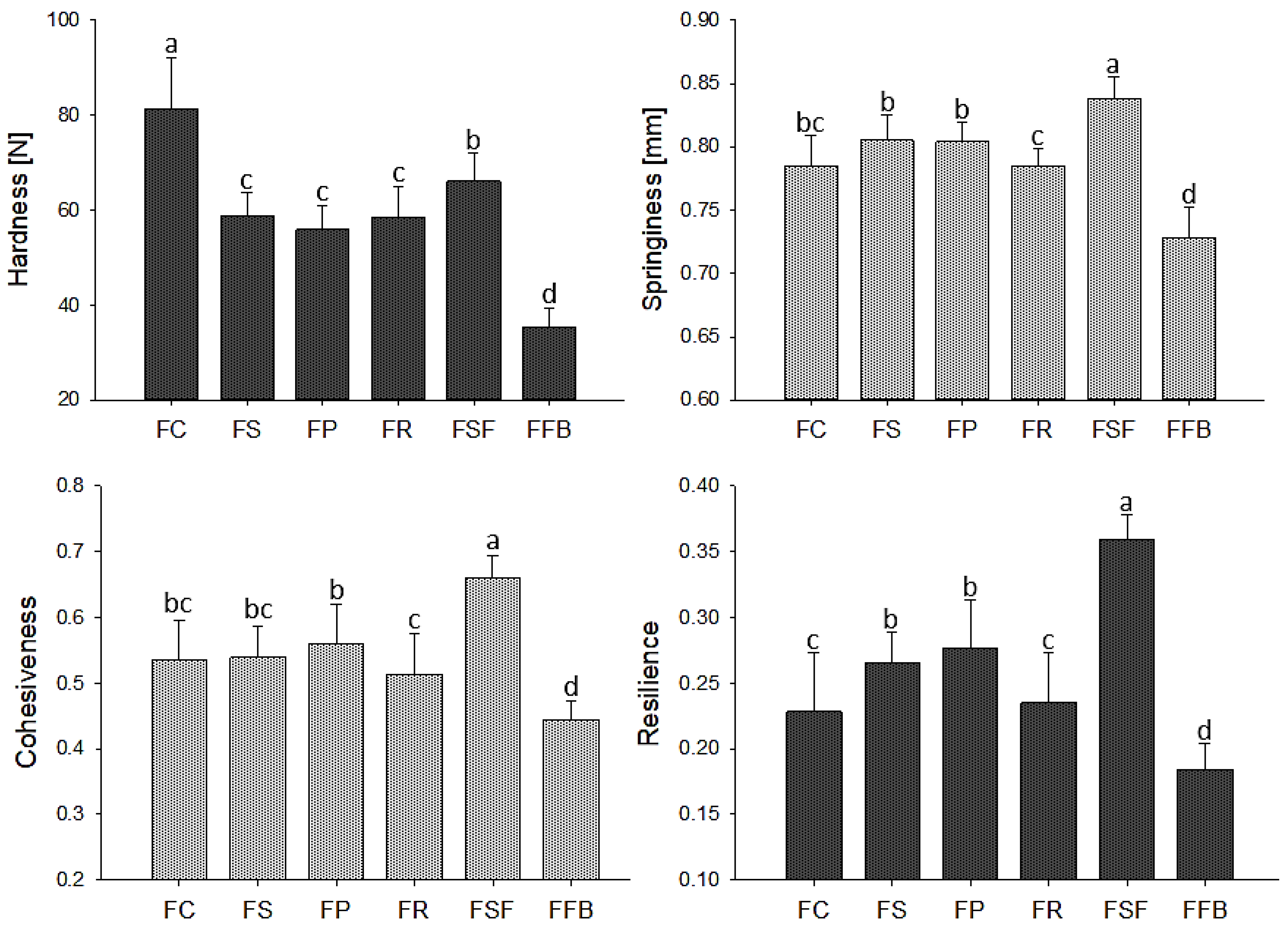
3.3. Texture Parameters of Hybrid Meat Emulsions
3.4. Microstructure and Confocal Microscopy of Hybrid Meat Emulsions
3.5. Low-Field NMR Spin-Spin Relaxation
3.6. In Vitro Protein Digestibility
4. Conclusions
Author Contributions
Funding
Data Availability Statement
Acknowledgments
Conflicts of Interest
References
- Grasso, S.; Jaworska, S. Part Meat and Part Plant: Are Hybrid Meat Products Fad or Future? Foods 2020, 9, 1888. [Google Scholar] [CrossRef]
- Euromonitor Going Plant-Based: The Rise of Vegan and Vegetarian Food. Available online: https://go.euromonitor.com/sb-packaged-food-210330-rise-vegan-vegetarian-food.html?utm_source=Pitch&utm_medium=PR&utm_campaign=CT_SB_21_03_30_RiseVeganVegetarianFood (accessed on 21 August 2022).
- Profeta, A.; Baune, M.C.; Smetana, S.; Bornkessel, S.; Broucke, K.; Van Royen, G.; Enneking, U.; Weiss, J.; Heinz, V.; Hieke, S.; et al. Preferences of German Consumers for Meat Products Blended with Plant-Based Proteins. Sustainability 2021, 13, 650. [Google Scholar] [CrossRef]
- Neville, M.; Tarrega, A.; Hewson, L.; Foster, T. Consumer-Orientated Development of Hybrid Beef Burger and Sausage Analogues. Food Sci. Nutr. 2017, 5, 852–864. [Google Scholar] [CrossRef]
- Olmedilla-Alonso, B.; Jiménez-Colmenero, F.; Sánchez-Muniz, F.J. Development and Assessment of Healthy Properties of Meat and Meat Products Designed as Functional Foods. Meat Sci. 2013, 95, 919–930. [Google Scholar] [CrossRef]
- Broucke, K.; Van Poucke, C.; Duquenne, B.; De Witte, B.; Baune, M.C.; Lammers, V.; Terjung, N.; Ebert, S.; Gibis, M.; Weiss, J.; et al. Ability of (Extruded) Pea Protein Products to Partially Replace Pork Meat in Emulsified Cooked Sausages. Innov. Food Sci. Emerg. Technol. 2022, 78, 102992. [Google Scholar] [CrossRef]
- Baune, M.C.; Jeske, A.L.; Profeta, A.; Smetana, S.; Broucke, K.; Van Royen, G.; Gibis, M.; Weiss, J.; Terjung, N. Effect of Plant Protein Extrudates on Hybrid Meatballs—Changes in Nutritional Composition and Sustainability. Futur. Foods 2021, 4, 100081. [Google Scholar] [CrossRef]
- Kamani, M.H.; Meera, M.S.; Bhaskar, N.; Modi, V.K. Partial and Total Replacement of Meat by Plant-Based Proteins in Chicken Sausage: Evaluation of Mechanical, Physico-Chemical and Sensory Characteristics. J. Food Sci. Technol. 2019, 56, 2660–2669. [Google Scholar] [CrossRef] [PubMed]
- Tahmasebi, M.; Labbafi, M.; Emam-Djomeh, Z.; Yarmand, M.S. Manufacturing the Novel Sausages with Reduced Quantity of Meat and Fat: The Product Development, Formulation Optimization, Emulsion Stability and Textural Characterization. LWT-Food Sci. Technol. 2016, 68, 76–84. [Google Scholar] [CrossRef]
- Baugreet, S.; Kerry, J.P.; Botineştean, C.; Allen, P.; Hamill, R.M. Development of Novel Fortified Beef Patties with Added Functional Protein Ingredients for the Elderly. Meat Sci. 2016, 122, 40–47. [Google Scholar] [CrossRef] [PubMed]
- Wang, L.; Guo, H.; Liu, X.; Jiang, G.; Li, C.; Li, X.; Li, Y. Roles of Lentinula Edodes as the Pork Lean Meat Replacer in Production of the Sausage. Meat Sci. 2019, 156, 44–51. [Google Scholar] [CrossRef]
- Argel, N.S.; Lorenzo, G.; Domínguez, R.; Fraqueza, M.J.; Fernández-López, J.; Sosa, M.E.; Cesar, P.; Campagnol, B.; Lorenzo, J.M.; Andrés, S.C. Hybrid Meat Products: Incorporation of White Bean Flour in Lean Pork Burgers. Appl. Sci. 2022, 12, 7571. [Google Scholar] [CrossRef]
- Chandler, S.L.; McSweeney, M.B. Characterizing the Properties of Hybrid Meat Burgers Made with Pulses and Chicken. Int. J. Gastron. Food Sci. 2022, 27, 100492. [Google Scholar] [CrossRef]
- Asgar, M.A.; Fazilah, A.; Huda, N.; Bhat, R.; Karim, A.A. Nonmeat Protein Alternatives as Meat Extenders and Meat Analogs. Compr. Rev. Food Sci. Food Saf. 2010, 9, 513–529. [Google Scholar] [CrossRef] [PubMed]
- Li, Y.-P.; Sukmanov, V.; Kang, Z.L.; Ma, H. Effect of Soy Protein Isolate on the Techno-Functional Properties and Protein Conformation of Low-Sodium Pork Meat Batters Treated by High Pressure. J. Food Process Eng. 2020, 43, e13343. [Google Scholar] [CrossRef]
- Allais, I. Emulsification. In Handbook of Meat Processing; Toldrá, F., Ed.; Wiley-Blackwell: Hoboken, NJ, USA, 2010; pp. 143–168. ISBN 9780813821825. [Google Scholar]
- Nishinari, K.; Fang, Y.; Guo, S.; Phillips, G.O. Soy Proteins: A Review on Composition, Aggregation and Emulsification. Food Hydrocoll. 2014, 39, 301–318. [Google Scholar] [CrossRef]
- Lu, Z.X.; He, J.F.; Zhang, Y.C.; Bing, D.J. Composition, Physicochemical Properties of Pea Protein and Its Application in Functional Foods. Crit. Rev. Food Sci. Nutr. 2019, 60, 2593–2605. [Google Scholar] [CrossRef] [PubMed]
- Multari, S.; Stewart, D.; Russell, W.R. Potential of Fava Bean as Future Protein Supply to Partially Replace Meat Intake in the Human Diet. Compr. Rev. Food Sci. Food Saf. 2015, 14, 511–522. [Google Scholar] [CrossRef]
- Birla, D.S.; Malik, K.; Sainger, M.; Chaudhary, D.; Jaiwal, R.; Jaiwal, P.K. Progress and Challenges in Improving the Nutritional Quality of Rice (Oryza Sativa L.). Crit. Rev. Food Sci. Nutr. 2017, 57, 2455–2481. [Google Scholar] [CrossRef]
- Ghanghas, N.; Mukilan, M.T.; Sharma, S.; Prabhakar, P.K. Classification, Composition, Extraction, Functional Modification and Application of Rice (Oryza Sativa) Seed Protein: A Comprehensive Review. Food Rev. Int. 2020, 38, 354–383. [Google Scholar] [CrossRef]
- Kaur, R.; Ghoshal, G. Sunflower Protein Isolates-Composition, Extraction and Functional Properties. Adv. Colloid Interface Sci. 2022, 306, 102725. [Google Scholar] [CrossRef]
- González-Pérez, S.; Vereijken, J.M. Sunflower Proteins: Overview of Their Physicochemical, Structural and Functional Properties. J. Sci. Food Agric. 2007, 87, 2173–2191. [Google Scholar] [CrossRef]
- Molina, M.I.; Petruccelli, S.; Añón, M.C. Effect of PH and Ionic Strength Modifications on Thermal Denaturation of the 11S Globulin of Sunflower (Helianthus Annuus). J. Agric. Food Chem. 2004, 52, 6023–6029. [Google Scholar] [CrossRef] [PubMed]
- Ren, J.; Sun, X.-H.H.; Lin, G.-P.P.; Zheng, X.-Q.Q.; Liu, X.-L.L. Isolation and Characterization of Sunflower Protein Isolates and Sunflower Globulins. In Information Technology and Agricultural Engineering; Zhu, E., Sambath, S., Eds.; Springer: Berlin/Heidelberg, Germany, 2012; pp. 441–449. ISBN 9783642275364. [Google Scholar]
- Klupšaitė, D.; Juodeikienė, G. Legume: Composition, protein extraction and functional properties: A review. Chem. Technol. 2015, 66, 5–12. [Google Scholar] [CrossRef]
- AOAC. Official Methods of Analysis of AOAC International, 18th ed.; Horwitz, W., Latimer, G.W., Eds.; AOAC International: Gaithersburg, MD, USA, 2005; ISBN 0935584544. [Google Scholar]
- Bligh, E.G.; Dyer, W.J. Canadian Journal of Biochemistry and Physiology. Can. J. Biochem. Physiol. 1959, 37, 911–917. [Google Scholar] [CrossRef] [PubMed]
- Lohman, M.H.; Hartel, R.W. Effect of Milk Fat Fractions on Fat Bloom in Dark Chocolate. J. Am. Oil Chem. Soc. 1994, 71, 267–276. [Google Scholar] [CrossRef]
- Lucherk, L.W.; O’Quinn, T.G.; Legako, J.F.; Rathmann, R.J.; Brooks, J.C.; Miller, M.F. Assessment of Objective Measures of Beef Steak Juiciness and Their Relationships to Sensory Panel Juiciness Ratings. J. Anim. Sci. 2017, 95, 2421–2437. [Google Scholar] [CrossRef] [PubMed]
- Câmara, A.K.F.I.; Vidal, V.A.S.; Santos, M.; Bernardinelli, O.D.; Sabadini, E.; Pollonio, M.A.R. Reducing Phosphate in Emulsified Meat Products by Adding Chia (Salvia Hispanica L.) Mucilage in Powder or Gel Format: A Clean Label Technological Strategy. Meat Sci. 2020, 163, 108085. [Google Scholar] [CrossRef]
- Minekus, M.; Alminger, M.; Alvito, P.; Ballance, S.; Bohn, T.; Bourlieu, C.; Carrière, F.; Boutrou, R.; Corredig, M.; Dupont, D.; et al. A Standardised Static In Vitro Digestion Method Suitable for Food-an International Consensus. Food Funct. 2014, 5, 1113–1124. [Google Scholar] [CrossRef] [PubMed]
- Câmara, A.K.F.I.; Geraldi, M.V.; Okuro, P.K.; Maróstica, M.R.; da Cunha, R.L.; Pollonio, M.A.R. Satiety and In Vitro Digestibility of Low Saturated Fat Bologna Sausages Added of Chia Mucilage Powder and Chia Mucilage-Based Emulsion Gel. J. Funct. Foods 2020, 65, 103753. [Google Scholar] [CrossRef]
- Lin, Y.; Chen, K.; Tu, D.; Yu, X.; Dai, Z.; Shen, Q. Characterization of Dietary Fiber from Wheat Bran (Triticum Aestivum L.) and Its Effect on the Digestion of Surimi Protein. LWT 2019, 102, 106–112. [Google Scholar] [CrossRef]
- Burger, T.G.; Zhang, Y. Recent Progress in the Utilization of Pea Protein as an Emulsifier for Food Applications. Trends Food Sci. Technol. 2019, 86, 25–33. [Google Scholar] [CrossRef]
- Lam, A.C.Y.; Can Karaca, A.; Tyler, R.T.; Nickerson, M.T. Pea Protein Isolates: Structure, Extraction, and Functionality. Food Rev. Int. 2018, 34, 126–147. [Google Scholar] [CrossRef]
- Pelegrine, D.H.G.; Gasparetto, C.A. Whey Proteins Solubility as Function of Temperature and PH. LWT-Food Sci. Technol. 2005, 38, 77–80. [Google Scholar] [CrossRef]
- Romero, A.; Beaumal, V.; David-Briand, E.; Cordobes, F.; Guerrero, A.; Anton, M. Interfacial and Emulsifying Behaviour of Rice Protein Concentrate. Food Hydrocoll. 2012, 29, 1–8. [Google Scholar] [CrossRef]
- Cao, X.; Wen, H.; Li, C.; Gu, Z. Differences in Functional Properties and Biochemical Characteristics of Congenetic Rice Proteins. J. Cereal Sci. 2009, 50, 184–189. [Google Scholar] [CrossRef]
- de Souza Paglarini, C.; de Figueiredo Furtado, G.; Honório, A.R.; Mokarzel, L.; da Silva Vidal, V.A.; Ribeiro, A.P.B.; Cunha, R.L.; Pollonio, M.A.R. Functional Emulsion Gels as Pork Back Fat Replacers in Bologna Sausage. Food Struct. 2019, 20, 100105. [Google Scholar] [CrossRef]
- Felisberto, M.H.F.; Galvão, M.T.E.L.; Picone, C.S.F.; Cunha, R.L.; Pollonio, M.A.R. Effect of Prebiotic Ingredients on the Rheological Properties and Microstructure of Reduced-Sodium and Low-Fat Meat Emulsions. LWT-Food Sci. Technol. 2015, 60, 148–155. [Google Scholar] [CrossRef]
- Li, K.; Liu, J.Y.; Fu, L.; Zhao, Y.Y.; Zhu, H.; Zhang, Y.Y.; Zhang, H.; Bai, Y.H. Effect of Bamboo Shoot Dietary Fiber on Gel Properties, Microstructure and Water Distribution of Pork Meat Batters. Asian-Australas. J. Anim. Sci. 2019, 33, 1180–1190. [Google Scholar] [CrossRef] [PubMed]
- Tanger, C.; Müller, M.; Andlinger, D.; Kulozik, U. Influence of PH and Ionic Strength on the Thermal Gelation Behaviour of Pea Protein. Food Hydrocoll. 2022, 123, 106903. [Google Scholar] [CrossRef]
- Renkema, J.M.S.; Lakemond, C.M.M.; De Jongh, H.H.J.; Gruppen, H.; Van Vliet, T. The Effect of PH on Heat Denaturation and Gel Forming Properties of Soy Proteins. J. Biotechnol. 2000, 79, 223–230. [Google Scholar] [CrossRef]
- Rahate, K.A.; Madhumita, M.; Prabhakar, P.K. Nutritional Composition, Anti-Nutritional Factors, Pretreatments-Cum-Processing Impact and Food Formulation Potential of Faba Bean (Vicia Faba L.): A Comprehensive Review. LWT 2021, 138, 110796. [Google Scholar] [CrossRef]
- Ju, Z.Y.; Hettiarachchy, N.S.; Rath, N. Extraction, Denaturation and Hydrophobic Properties of Rice Flour Proteins. J. Food Sci. 2001, 66, 229–232. [Google Scholar] [CrossRef]
- Sun, X.D.; Arntfield, S.D. Gelation Properties of Salt-Extracted Pea Protein Induced by Heat Treatment. Food Res. Int. 2010, 43, 509–515. [Google Scholar] [CrossRef]
- Mession, J.L.; Sok, N.; Assifaoui, A.; Saurel, R. Thermal Denaturation of Pea Globulins (Pisum Sativum L.)-Molecular Interactions Leading to Heat-Induced Protein Aggregation. J. Agric. Food Chem. 2013, 61, 1196–1204. [Google Scholar] [CrossRef] [PubMed]
- Andrés, S.C.; García, M.E.; Zaritzky, N.E.; Califano, A.N. Storage Stability of Low-Fat Chicken Sausages. J. Food Eng. 2006, 72, 311–319. [Google Scholar] [CrossRef]
- Leonard, W.; Hutchings, S.C.; Warner, R.D.; Fang, Z. Effects of Incorporating Roasted Lupin (Lupinus Angustifolius) Flour on the Physicochemical and Sensory Attributes of Beef Sausage. Int. J. Food Sci. Technol. 2019, 54, 1849–1857. [Google Scholar] [CrossRef]
- Pinton, M.B.; Correa, L.P.; Facchi, M.M.X.; Heck, R.T.; Leães, Y.S.V.; Cichoski, A.J.; Lorenzo, J.M.; dos Santos, M.; Pollonio, M.A.R.; Campagnol, P.C.B. Ultrasound: A New Approach to Reduce Phosphate Content of Meat Emulsions. Meat Sci. 2019, 152, 88–95. [Google Scholar] [CrossRef] [PubMed]
- Xu, X.; Liu, W.; Liu, C.; Luo, L.; Chen, J.; Luo, S.; McClements, D.J.; Wu, L. Effect of Limited Enzymatic Hydrolysis on Structure and Emulsifying Properties of Rice Glutelin. Food Hydrocoll. 2016, 61, 251–260. [Google Scholar] [CrossRef]
- Li, T.; Wang, L.; Geng, H.; Zhang, X.; Chen, Z. Formation, Structural Characteristics, Foaming and Emulsifying Properties of Rice Glutelin Fibrils. Food Chem. 2021, 354, 129554. [Google Scholar] [CrossRef]
- Orlien, V.; Aalaei, K.; Poojary, M.M.; Nielsen, D.S.; Ahrné, L.; Carrascal, J.R. Effect of Processing on In Vitro Digestibility (IVPD) of Food Proteins. Crit. Rev. Food Sci. Nutr. 2021, 1–50. [Google Scholar] [CrossRef] [PubMed]
- Amin, A.; Petersen, I.L.; Malmberg, C.; Orlien, V. Perspective on the Effect of Protein Extraction Method on the Antinutritional Factor (ANF) Content in Seeds. ACS Food Sci. Technol. 2022, 2, 604–612. [Google Scholar] [CrossRef]
- Lappi, J.; Silventoinen-Veijalainen, P.; Vanhatalo, S.; Rosa-Sibakov, N.; Sozer, N. The Nutritional Quality of Animal-Alternative Processed Foods Based on Plant or Microbial Proteins and the Role of the Food Matrix. Trends Food Sci. Technol. 2022, 129, 144–154. [Google Scholar] [CrossRef]
- Del Rio, A.R.; Boom, R.M.; Janssen, A.E.M. Effect of Fractionation and Processing Conditions on the Digestibility of Plant Proteins as Food Ingredients. Foods 2022, 11, 870. [Google Scholar] [CrossRef] [PubMed]
- Tian, T.; Teng, F.; Zhang, S.; Qi, B.; Wu, C.; Zhou, Y.; Li, L.; Wang, Z.; Li, Y. A Study of Structural Change during In Vitro Digestion of Heated Soy Protein Isolates. Foods 2019, 8, 594. [Google Scholar] [CrossRef] [PubMed]
- Chen, Y.; Capuano, E.; Stieger, M. Chew on It: Influence of Oral Processing Behaviour on In Vitro Protein Digestion of Chicken and Soya-Based Vegetarian Chicken. Br. J. Nutr. 2021, 126, 1408–1419. [Google Scholar] [CrossRef]
- Pafumi, Y.; Lairon, D.; De La Porte, P.L.; Juhel, C.; Storch, J.; Hamosh, M.; Armand, M. Mechanisms of Inhibition of Triacylglycerol Hydrolysis by Human Gastric Lipase. J. Biol. Chem. 2002, 277, 28070–28079. [Google Scholar] [CrossRef] [PubMed]








| Ingredients | Treatments | |||||
|---|---|---|---|---|---|---|
| FC | FS | FP | FR | FSF | FFB | |
| Lean red meat | 65.00 | 32.50 | 32.50 | 32.50 | 32.50 | 32.50 |
| Hydrated plant proteins | - | 32.50 | 32.50 | 32.50 | 32.50 | 32.50 |
| Pork backfat | 20.00 | 20.00 | 20.00 | 20.00 | 20.00 | 20.00 |
| NaCl | 2.00 | 2.00 | 2.00 | 2.00 | 2.00 | 2.00 |
| Sodium nitrite | 0.015 | 0.015 | 0.015 | 0.015 | 0.015 | 0.015 |
| Sodium erythorbate | 0.05 | 0.05 | 0.05 | 0.05 | 0.05 | 0.05 |
| Water | 13.0 | 13.0 | 13.0 | 13.0 | 13.0 | 13.0 |
| Plant Proteins | Moisture (g/100 g) | Protein (g/100 g) | Lipid (g/100 g) | Carbohydrate 1 (g/100 g) | pH 2 | Whiteness |
|---|---|---|---|---|---|---|
| SPC | 7.33 (0.2) | 85.0 (1.9) | 3.51 (0.1) | <1.0 | 7.85 (<0.1) | 76.33 (0.2) |
| PPC | 7.82 (0.1) | 74.4 (0.8) | 8.91 (0.3) | 2.2 | 7.51 (<0.1) | 70.26 (0.1) |
| RPC | 3.90 (0.2) | 81.1 (2.0) | 9.84 (0.1) | 3.0 | 5.68 (<0.1) | 81.88 (0.1) |
| SFPC | 6.14 (0.1) | 77.8 (0.7) | 3.34 (0.1) | 2.0 | 6.79 (<0.1) | 50.51 (<0.1) |
| FBPC | 8.53 (0.5) | 56.5 (0.3) | 3.12 (0.1) | 25.1 | 6.49 (<0.1) | 84.52 (0.2) |
| Parameters | Treatments | |||||
|---|---|---|---|---|---|---|
| FC | FS | FP | FR | FSF | FFB | |
| Moisture * (g/100 g) | 61.23 b (0.19) | 64.17 a (0.44) | 63.66 a (0.49) | 59.76 c (0.54) | 64.29 a (0.26) | 58.85 c (0.22) |
| Protein (g/100 g) | 14.31 a (0.13) | 12.76 bc (0.20) | 12.33 cd (0.07) | 13.09 b (0.31) | 12.28 cd (0.42) | 11.99 d (0.30) |
| Lipid (g/100 g) | 17.46 b (0.39) | 15.73 d (0.35) | 16.50 c (0.36) | 18.34 a (0.15) | 15.71 d (0.12) | 18.42 a (0.30) |
| ES—liquid loss (%) | 11.22 a (1.20) | 4.14 b (0.34) | 3.49 b (0.65) | 12.57 a (1.16) | 1.73 c (0.66) | 11.58 a (1.14) |
| ES—dry loss (%) | 0.98 b (0.09) | 0.35 c (0.04) | 0.30 c (0.06) | 1.03 b (0.20) | 0.15 d (0.07) | 2.03 a (0.30) |
| WHC (%) | 84.49 a (0.55) | 80.24 b (1.69) | 79.20 bc (1.40) | 78.00 c (1.75) | 77.93 c (1.73) | 77.27 c (1.28) |
| Aw | 0.9739 b (< 0.01) | 0.9762 a (< 0.01) | 0.9753 a (< 0.01) | 0.9758 a (< 0.01) | 0.9738 b (< 0.01) | 0.9724 c (< 0.01) |
| pH | 5.79 e (0.037) | 6.18 a (0.028) | 6.13 b (0.019) | 5.79 e (0.017) | 5.97 c (0.019) | 5.87 d (0.019) |
Publisher’s Note: MDPI stays neutral with regard to jurisdictional claims in published maps and institutional affiliations. |
© 2022 by the authors. Licensee MDPI, Basel, Switzerland. This article is an open access article distributed under the terms and conditions of the Creative Commons Attribution (CC BY) license (https://creativecommons.org/licenses/by/4.0/).
Share and Cite
Santos, M.d.; Rocha, D.A.V.F.d.; Bernardinelli, O.D.; Oliveira Júnior, F.D.; de Sousa, D.G.; Sabadini, E.; da Cunha, R.L.; Trindade, M.A.; Pollonio, M.A.R. Understanding the Performance of Plant Protein Concentrates as Partial Meat Substitutes in Hybrid Meat Emulsions. Foods 2022, 11, 3311. https://doi.org/10.3390/foods11213311
Santos Md, Rocha DAVFd, Bernardinelli OD, Oliveira Júnior FD, de Sousa DG, Sabadini E, da Cunha RL, Trindade MA, Pollonio MAR. Understanding the Performance of Plant Protein Concentrates as Partial Meat Substitutes in Hybrid Meat Emulsions. Foods. 2022; 11(21):3311. https://doi.org/10.3390/foods11213311
Chicago/Turabian StyleSantos, Mirian dos, Daniela Almeida Vieira Fogaça da Rocha, Oigres Daniel Bernardinelli, Fernando Divino Oliveira Júnior, Diógenes Gomes de Sousa, Edvaldo Sabadini, Rosiane Lopes da Cunha, Marco Antonio Trindade, and Marise Aparecida Rodrigues Pollonio. 2022. "Understanding the Performance of Plant Protein Concentrates as Partial Meat Substitutes in Hybrid Meat Emulsions" Foods 11, no. 21: 3311. https://doi.org/10.3390/foods11213311
APA StyleSantos, M. d., Rocha, D. A. V. F. d., Bernardinelli, O. D., Oliveira Júnior, F. D., de Sousa, D. G., Sabadini, E., da Cunha, R. L., Trindade, M. A., & Pollonio, M. A. R. (2022). Understanding the Performance of Plant Protein Concentrates as Partial Meat Substitutes in Hybrid Meat Emulsions. Foods, 11(21), 3311. https://doi.org/10.3390/foods11213311

