Development and Application of a Visual Duck Meat Detection Strategy for Molecular Diagnosis of Duck-Derived Components
Abstract
:1. Introduction
2. Materials and Methods
2.1. Meat
2.2. DNA Extraction and Sample Preparation
2.3. Primer and Probe Design
2.4. Reaction System
2.4.1. PCR
2.4.2. RPA
2.4.3. Screening of the Best Primer Pair for RPA Reaction
2.5. Optimization of RPA
2.6. Specificity and Sensitivity of dRPA Reaction
2.7. Rapid Detection of RPA Reaction
3. Results and Discussion
3.1. Primer and Probe Selection for Fluorescent RPA
3.2. Optimization of Fluorescent RPA Reaction Conditions
3.2.1. Optimization of Primer-Probe Concentration
3.2.2. Fluorescence RPA Reaction Temperature Optimization
3.2.3. Optimization of Fluorescence RPA Reaction Time
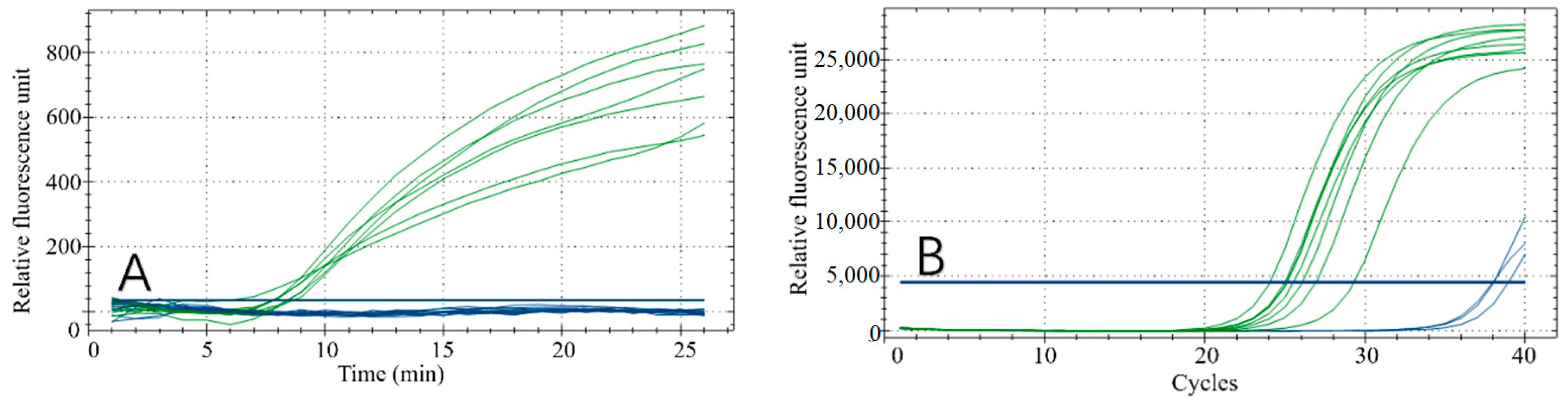
3.3. Sensitivity and Specificity of Fluorescent RPA Detection
3.4. Meat Blending Ratio Detection
3.5. Market Actual Sample Testing
3.6. Rapid Detection of Duck-Derived Components with RPA Test Strips
3.6.1. Test Strip Specificity Detection
3.6.2. Test Strip Sensitivity Detection
3.6.3. Test Strip Detection of Adulterated Sample
4. Conclusions
Author Contributions
Funding
Data Availability Statement
Conflicts of Interest
References
- Doosti, A.; Dehkordi, P.G.; Rahimi, E. Molecular assay to fraud identification of meat products. J. Food Sci. Technol. 2014, 51, 148–152. [Google Scholar] [CrossRef] [PubMed] [Green Version]
- FAO. Meat Consumption. 2019. Available online: http://www.fao.org/ag/againfo/themes/en/meat/background.html (accessed on 11 August 2019).
- Ballin, N.Z.; Vogensen, F.K.; Karlsson, A.H. Species determination e can we detect and quantify meat adulteration? Meat Sci. 2009, 83, 165–174. [Google Scholar] [CrossRef] [PubMed]
- Hsieh, Y.H.; Ofori, J.A. Detection of horse meat contamination in raw and heat-processed meat products. J. Agric. Food Chem. 2014, 62, 12536–12544. [Google Scholar] [CrossRef] [PubMed]
- Mandli, J.; Fatimi, I.E.L.; Seddaoui, N.; Amine, A. Enzyme immunoassay (ELISA/immunosensor) for a sensitive detection of pork adulteration in meat. Food Chem. 2018, 255, 380–389. [Google Scholar] [CrossRef]
- Masiri, J.; Benoit, L.; Barrios-Lopez, B.; Thienes, C.; Meshgi, M.; Agapov, A.; Samadpour, M. Development and validation of a rapid test system for detection of pork meat and collagen residues. Meat Sci. 2016, 121, 397–402. [Google Scholar] [CrossRef]
- Thienes, C.P.; Masiri, J.; Benoit, L.A.; Barrios-Lopez, B.; Samuel, S.A.; Cox, D.P.; Samadpour, M. Quantitative detection of horse contamination in cooked meat products by ELISA. J. AOAC Int. 2018, 101, 817–823. [Google Scholar] [CrossRef]
- Thienes, C.P.; Masiri, J.; Benoit, L.A.; Barrios-Lopez, B.; Samuel, S.A.; Krebs, R.A.; Samadpour, M. Quantitative detection of beef contamination in cooked meat products by ELISA. J. AOAC Int. 2019, 102, 898–902. [Google Scholar] [CrossRef]
- Thienes, C.P.; Masiri, J.; Benoit, L.A.; Barrios-Lopez, B.; Samuel, S.A.; Meshgi, M.A.; Samadpour, M. Quantitative detection of chicken and turkey contamination in cooked meat products by ELISA. J. AOAC Int. 2019, 102, 557–563. [Google Scholar] [CrossRef]
- Ghovvati, S.; Nassiri, M.R.; Mirhoseini, S.Z.; Moussavi, A.H.; Javadmanesh, A. Fraud identification in industrial meat products by multiplex PCR assay. Food Control 2009, 20, 696–699. [Google Scholar] [CrossRef]
- Galal-Khallaf, A.; Ardura, A.; Mohammed-Geba, K.; Borrell, Y.J.; Garcia-Vazquez, E. DNA barcoding reveals a high level of mislabeling in Egyptian fish fillets. Food Control 2014, 46, 441–445. [Google Scholar] [CrossRef]
- Quinto, C.A.; Tinoco, R.; Hellberg, R.S. DNA barcoding reveals mislabeling of game meat species on the U.S. commercial market. Food Control 2016, 59, 386–392. [Google Scholar] [CrossRef] [Green Version]
- Cawthorn, D.M.; Steinman, H.A.; Hoffman, L.C. A high incidence of species substitution and mislabelling detected in meat products sold in South Africa. Food Control 2013, 32, 440–449. [Google Scholar] [CrossRef] [Green Version]
- Cai, Y.; He, Y.; Lv, R.; Chen, H.; Wang, Q.; Pan, L. Detection and quantification of beef and pork materials in meat products by duplex droplet digital PCR. PLoS ONE 2017, 12, e0181949. [Google Scholar] [CrossRef] [PubMed] [Green Version]
- Du, Y.; Zhao, X.; Fan, X.; Zhang, Q.; Zhao, K.; Xu, Y. Research progress and application of recombinase polymerase amplification technology. Shanghai Agric. J. 2018, 34, 117–122. [Google Scholar]
- Karami, A.; Gill, P.; Motamedi, M.H.K.; Saghafinia, M. A review of the current isothermal amplification techniques: Applications, advantages and disadvantages. J. Glob. Infect. Dis. 2011, 3, 293–302. [Google Scholar]
- Wang, R.; Zhang, F.; Wang, L.; Qian, W.; Qian, C.; Wu, J.; Ying, Y. Instant, visual, and instrument-free method for on-site screening of gts 40-3-2 soybean based on body-heat triggered recombinase polymerase amplification. Anal. Chem. 2017, 89, 4413–4418. [Google Scholar] [CrossRef]
- Bin, C.; Yin-Mei, Y.; Zhi-Min, Z.; Bang-Lao, X.U. Rapid detection of Mycobacterium tuberculosis using recombinase polymerase amplification. J. Trop. Med. 2016, 16, 955–957. [Google Scholar]
- Babujee, L.; Witherell, R.A.; Mikami, K.; Aiuchi, D.; Charkowski, A.O.; Rakotondrafara, A.M. Optimization of an isothermal recombinase polymerase amplification method for real-time detection of potato virus Y O and N types in potato. J. Virol. Methods 2019, 267, 16–21. [Google Scholar] [CrossRef]
- De Shields, J.B.; Moroz, N.; Braley, L.E.; Mora-Romero, G.A.; Tanaka, K. Recombinase polymerase amplification (RPA) for the rapid isothermal detection of Spongospora subterranea f. sp. subterranea and potato mop-top virus. J. Potato Res. 2019, 96, 617–624. [Google Scholar] [CrossRef]
- Pang, J.H.; Wang, Q.; Fei, Y.J.; Zhua, P.; Qiao, L.L.; Huang, H.L.; Dang, C.Y.; Gao, W.F. A real-time recombinase polymerase amplification assay for the rapid detection of Vibrio harveyi. Mol. Cell. Probes 2019, 44, 8–13. [Google Scholar] [CrossRef]
- Jiao, Y.B.; Jiang, J.Y.; An, M.N.; Xia, Z.H.; Wu, Y.H. Recombinase polymerase amplification assay for rapid detection of Maize chlorotic mottle virus in maize. Arch. Virol. 2019, 164, 2581–2584. [Google Scholar] [CrossRef] [PubMed]
- Fu, M.; Zhang, Q.; Zhou, X.; Liu, B. Recombinase Polymerase Amplification Based Multiplex Lateral Flow Dipstick for Fast Identification of Duck Ingredient in Adulterated Beef. Animals 2020, 10, 1765. [Google Scholar] [CrossRef] [PubMed]
- Deb, R.; Sengar, G.S.; Singh, U.; Kumar, S.; Raja, T.V.; Alex, R.; Alyethodi, R.R.; Prakash, B.S. LAMP assay for rapid diagnosis of cow DNA in goat milk and meat samples. Iran. J. Vet. Res. 2017, 18, 134–137. [Google Scholar] [PubMed]












| Component | Final Concentration | Stock | Amount |
|---|---|---|---|
| NaCl | 100 mM | 1 M | 1 mL |
| Tris-HCl | 10 mM | 50 mM | 2 mL |
| EDTA, pH 8.0 | 25 mM | 250 mM | 1 mL |
| SDS | 0.5% | 10% | 0.5 mL |
| Proteinase K | 0.1 mg·mL−1 | 1 mg·mL−1 | 1 mL |
| Duck Meat Percentage | 50% | 10% | 5% | 1% |
|---|---|---|---|---|
| Mixture of beef and duck | 25 μL beef + 12.5 μL duck | 25 μL beef + 2.5 μL duck | 25 μL beef + 1.25 μL duck | 25 μL beef + 0.25 μL duck |
| Mixture of mutton and duck | 25 μL mutton + 12.5 μL duck | 25 μL mutton + 2.5 μL duck | 25 μL mutton + 1.25 μL duck | 25 μL mutton + 0.25 μL duck |
| Purpose | Name | Sequences (5′-3′) | Ref. |
|---|---|---|---|
| RPA | IL2-RPA-F1 | CAACCAGAACACTGACAAGATGTGCAAAGTACTCA | This study |
| IL2-RPA-F2 | AGAACACTGACAAGATGTGCAAAGTACTCATCTTC | ||
| IL2-RPA-F3 | ACTGACAAGATGTGCAAAGTACTCATCTTCAGCTG | ||
| IL2-RPA-F4 | CAAGATGTGCAAAGTACTCATCTTCAGCTGCCTTT | ||
| IL2-RPA-F5 | TGTGCAAAGTACTCATCTTCAGCTGCCTTTCAGTA | ||
| IL2-RPA-R1 | ATCTTAGCAGTCCTGAAGACAGAAAACTTGAACTT | ||
| IL2-RPA-R2 | AGCAGTCCTGAAGACAGAAAACTTGAACTTACCTT | ||
| IL2-RPA-R3 | TCCTGAAGACAGAAAACTTGAACTTACCTTTGTGT | ||
| IL2-RPA-R4 | AAGACAGAAAACTTGAACTTACCTTTGTGTCATTT | ||
| IL2-RPA-R5 | AGAAAACTTGAACTTACCTTTGTGTCATTTGGTGT | ||
| IL2-RPA-P | TAGAAAACCTGGGAACAAGCATGXATGTAAGTGGATG | ||
| PCR | F | GGAGCACCTCTATCAGAGAAAGACA | This study |
| R | GTGTGTAGAGCTCAAGATCAATCCC | ||
| P | FAM-TGGGAACAAGCATGAATGTAAGTGGATGGT-BHQ1 |
| Primer Final Concentration (μM) | Probe Final Concentration (μM) | Primer-Probe Final Concentration Ratio |
|---|---|---|
| 0.4 | 0.12 | 10:3 |
| 0.3 | 0.12 | 10:4 |
| 0.2 | 0.12 | 5:3 |
| Reagent | Final Concentration | Volume |
|---|---|---|
| A buffer | 29.4 μL | |
| F | 0.4 μM | 2 μL |
| R | 0.4 μM | 2 μL |
| P | 0.12 μM | 0.6 μL |
| H2O | 11.5 μL | |
| DNA template | 2 μL | |
| B buffer | 2.5 μL | |
| Total volume | 50 μL |
| Method | Reaction Time (h) | Instrument | Temperature (°C) | Operation | Point-of-Care |
|---|---|---|---|---|---|
| PCR | 1.5 | + | 50–95 | Normal | − |
| dd-PCR | 2 | + | 50–95 | Normal | − |
| LAMP | 1 | − | 65 | Normal | − |
| RPA | 1 | − | 37–42 | Normal | + |
| dRPA (This work) | 0.5 | − | 37–42 | Easy | + |
Publisher’s Note: MDPI stays neutral with regard to jurisdictional claims in published maps and institutional affiliations. |
© 2022 by the authors. Licensee MDPI, Basel, Switzerland. This article is an open access article distributed under the terms and conditions of the Creative Commons Attribution (CC BY) license (https://creativecommons.org/licenses/by/4.0/).
Share and Cite
Chen, X.; Yu, H.; Ji, Y.; Wei, W.; Peng, C.; Wang, X.; Xu, X.; Sun, M.; Xu, J. Development and Application of a Visual Duck Meat Detection Strategy for Molecular Diagnosis of Duck-Derived Components. Foods 2022, 11, 1895. https://doi.org/10.3390/foods11131895
Chen X, Yu H, Ji Y, Wei W, Peng C, Wang X, Xu X, Sun M, Xu J. Development and Application of a Visual Duck Meat Detection Strategy for Molecular Diagnosis of Duck-Derived Components. Foods. 2022; 11(13):1895. https://doi.org/10.3390/foods11131895
Chicago/Turabian StyleChen, Xiaoyun, Huiru Yu, Yi Ji, Wei Wei, Cheng Peng, Xiaofu Wang, Xiaoli Xu, Meihao Sun, and Junfeng Xu. 2022. "Development and Application of a Visual Duck Meat Detection Strategy for Molecular Diagnosis of Duck-Derived Components" Foods 11, no. 13: 1895. https://doi.org/10.3390/foods11131895
APA StyleChen, X., Yu, H., Ji, Y., Wei, W., Peng, C., Wang, X., Xu, X., Sun, M., & Xu, J. (2022). Development and Application of a Visual Duck Meat Detection Strategy for Molecular Diagnosis of Duck-Derived Components. Foods, 11(13), 1895. https://doi.org/10.3390/foods11131895

