Interplay between Fe-Titanate Nanotube Fragmentation and Catalytic Decomposition of C2H4: Formation of C/TiO2 Hybrid Interfaces
Abstract
1. Introduction
2. Results and Discussion
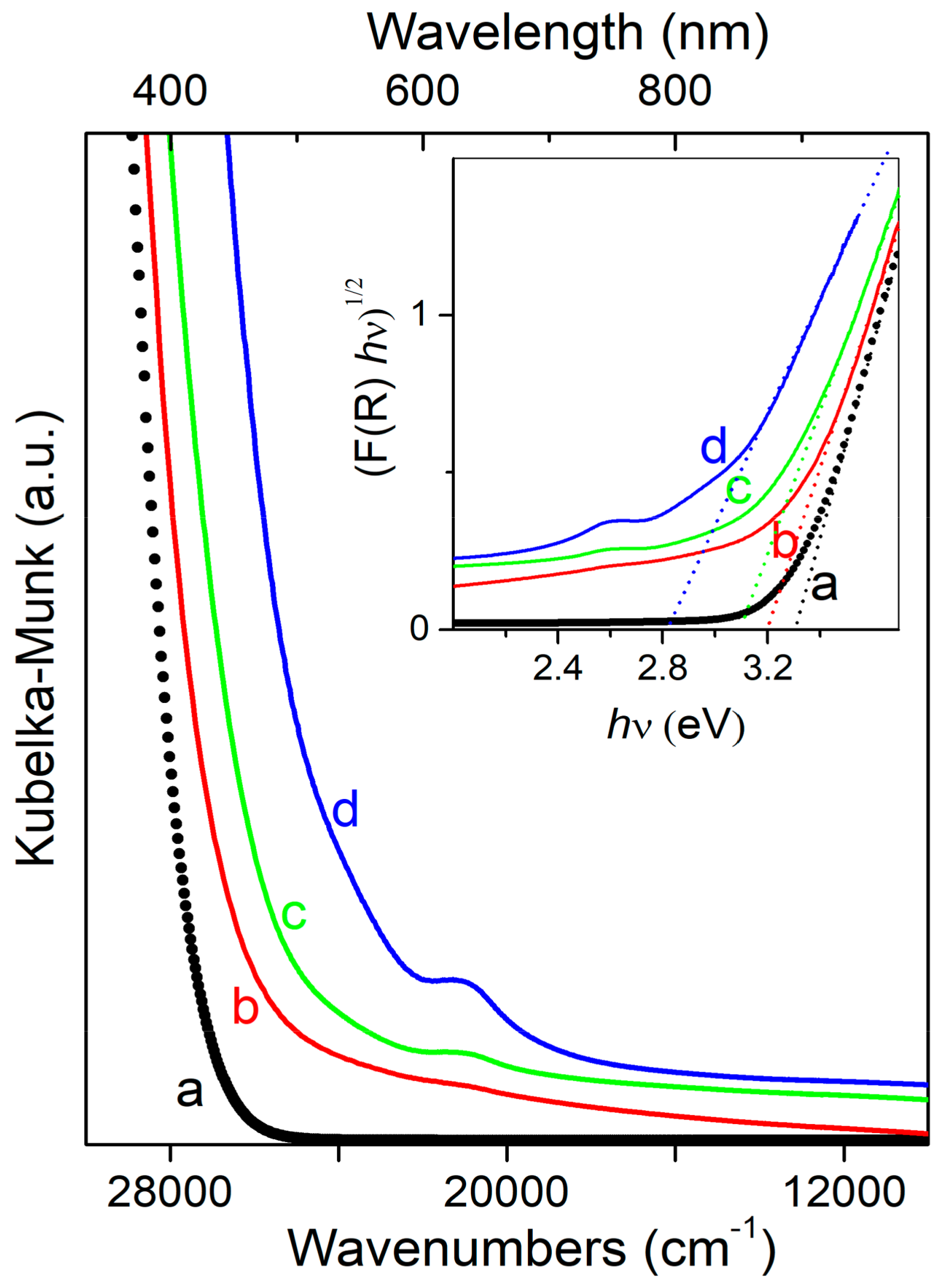
2.1. UV–Vis and FTIR Spectroscopies of Fe (III)-Exchanged Titanate Nanotubes
2.2. Morphology, Structure and Chemical Composition of Fe-Titanate Nanotubes
2.3. Catalytic Decomposition of C2H4 on Fe-Titanate Nanotubes at 750 °C: XRD and TEM Analyses
3. Experimental Methods
3.1. Synthesis of Materials
3.2. Characterization of Materials
4. Conclusions
Supplementary Materials
Author Contributions
Acknowledgments
Conflicts of Interest
References
- Novoselov, K.S.; Mishchenko, A.; Carvalho, A.; Castro Neto, A.H. 2D materials and Van der waals heterostructures. Science 2016, 353, aac9439. [Google Scholar] [CrossRef] [PubMed]
- Zhang, Q.; Huang, J.Q.; Qian, W.Z.; Zhang, Y.Y.; Fei Wei, F. The road for nanomaterials industry: A review of carbon nanotube production, post-treatment, and bulk applications for composites and energy storage. Small 2013, 9, 1237–1265. [Google Scholar] [CrossRef] [PubMed]
- Wang, W.; Wang, Z.; Liu, J.; Zhang, Z.; Sun, L. Single-step one-pot synthesis of graphene foam/TiO2 nanosheet hybrids for effective water treatment. Sci. Rep. 2017, 7, 43755. [Google Scholar] [CrossRef] [PubMed]
- Cravanzola, S.; Jain, S.M.; Cesano, F.; Damin, A.; Scarano, D. Development of a multifunctional TiO2/MWCNT hybrid composite grafted on a stainless steel grating. RSC Adv. 2015, 5, 103255–103264. [Google Scholar] [CrossRef]
- Cravanzola, S.; Cesano, F.; Magnacca, G.; Zecchina, A.; Scarano, D. Designing rGO/MoS2 hybrid nanostructures for photocatalytic applications. RSC Adv. 2016, 6, 59001–59008. [Google Scholar] [CrossRef]
- Bubnova, O. 2D materials: Hybrid interfaces. Nat. Nanotechnol. 2016, 16, 497–503. [Google Scholar] [CrossRef]
- Badhulika, S.; Terse-Thakoor, T.; Villarreal, C.; Mulchandani, A. Graphene hybrids: Synthesis strategies and applications in sensors and sensitized solar cells. Front. Chem. 2015, 3, 38. [Google Scholar] [CrossRef] [PubMed]
- Cravanzola, S.; Sarro, M.; Cesano, F.; Calza, P.; Scarano, D. Few-layer MoS2 nanodomains decorating TiO2 nanoparticles: A case study for the photodegradation of carbamazepine. Nanomaterials 2018, 8, 207. [Google Scholar] [CrossRef] [PubMed]
- Lu, J.; Deng, C.; Zhang, X.; Yang, P. Synthesis of Fe3O4/graphene/TiO2 composites for the highly selective enrichment of phosphopeptides from biological samples. ACS Appl. Mater. Interfaces 2013, 5, 7330–7334. [Google Scholar] [CrossRef] [PubMed]
- Cravanzola, S.; Cesano, F.; Gaziano, F.; Scarano, D. Carbon domains on MoS2/TiO2 system via acetylene polymerization: Synthesis, structure and surface properties. Front. Chem. 2017, 91. [Google Scholar] [CrossRef] [PubMed]
- Cesano, F.; Pellerej, D.; Scarano, D.; Ricchiardi, G.; Zecchina, A. Radially organized pillars of TiO2 nanoparticles: Synthesis, characterization and photocatalytic tests. J. Photochem. Photobiol. A Chem. 2012, 242, 51–58. [Google Scholar] [CrossRef]
- Cesano, F.; Bertarione, S.; Damin, A.; Agostini, G.; Usseglio, S.; Vitillo, J.G.; Lamberti, C.; Spoto, G.; Scarano, D.; Zecchina, A. Oriented TiO2 nanostructured pillar arrays: Synthesis and characterization. Adv. Mater. 2008, 20, 3342–3348. [Google Scholar] [CrossRef]
- Cravanzola, S.; Muscuso, L.; Cesano, F.; Agostini, G.; Damin, A.; Scarano, D.; Zecchina, A. MoS2 nanoparticles decorating titanate-nanotube surfaces: Combined microscopy, spectroscopy and catalytic studies. Langmuir 2015, 31, 5469–5478. [Google Scholar] [CrossRef] [PubMed]
- Yao, Z.; Xia, X.; Zhong, Y.; Wang, Y.; Zhang, B.; Xie, D.; Wang, X.; Tu, J.; Huang, Y. Hybrid vertical graphene/lithium titanate–CNTs arrays for lithium ion storage with extraordinary performance. J. Mater. Chem. A 2017, 5, 8916–8921. [Google Scholar] [CrossRef]
- Kasuga, T.; Hiramatsu, M.; Hoson, A.; Sekino, T.; Niihara, K. Titania nanotubes prepared by chemical processing. Adv. Mater. 1999, 11, 1307–1311. [Google Scholar] [CrossRef]
- Kasuga, T.; Hiramatsu, M.; Hoson, A.; Sekino, T.; Niihara, K. Formation of titanium oxide nanotube. Langmuir 1998, 14, 3160–3163. [Google Scholar] [CrossRef]
- Chen, Q.; Zhou, W.; Du, G.; Peng, L.-M. Trititanate nanotubes made via a single alkali treatment. Adv. Mater. 2002, 14, 1208–1211. [Google Scholar] [CrossRef]
- Nakahira, A.; Kato, W.; Tamai, M.; Isshiki, T.; Nishio, K.; Aritani, H. Synthesis of nanotube from a layered H2Ti4O9 H2O in a hydrothermal treatment using various titania sources. J. Mater. Sci. 2004, 39, 4239–4245. [Google Scholar] [CrossRef]
- Yang, J.; Jin, Z.; Wang, X.; Li, W.; Zhang, J.; Zhang, S.; Guo, X.; Zhang, Z. Study on composition, structure and formation process of nanotube Na2Ti2O4(OH)2. Dalton Trans. 2003, 20, 3898–3901. [Google Scholar] [CrossRef]
- Bavykin, D.V.; Friedrich, J.M.; Walsh, F.C. Protonated titanates and TiO2 nanostructured materials: Synthesis, properties, and applications. Adv. Mater. 2006, 18, 2807–2824. [Google Scholar] [CrossRef]
- Chen, Q.; Peng, L. Structure and applications of titanate and related nanostructures. Int. J. Nanotechnol. 2007, 4, 44–65. [Google Scholar] [CrossRef]
- Khawaji, M.; Chadwick, D. Au-Pd bimetallic nanoparticles immobilised on titanate nanotubes: A highly active catalyst for selective oxidation. ChemCatChem 2017, 9, 4353–4363. [Google Scholar] [CrossRef]
- Nguyen, N.H.; Bai, H. Photocatalytic removal of NO and NO2 using titania nanotubes synthesized by hydrothermal method. J. Environ. Sci. 2014, 26, 1180–1187. [Google Scholar] [CrossRef]
- Zhang, H.; Kim, J.H.; Kim, J.H.; Lee, J.S. Engineering highly ordered iron titanate nanotube array photoanodes for enhanced solar water splitting activity. Adv. Funct. Mater. 2017, 27, 1702428. [Google Scholar] [CrossRef]
- Julien Boudon, J.; Papa, A.L.; Paris, J.; Millot, N. Titanate nanotubes as a versatile platform for nanomedicine. In Nanomedicine; Seifalian, A., De Mel, A., Kalaskar, D.M., Eds.; One Central Press: Cheshire, UK, 2014; pp. 405–429. [Google Scholar]
- Wang, M.; Song, G.; Li, J.; Miao, L.; Zhang, B. Direct hydrothermal synthesis and magnetic property of titanate nanotubes doped magnetic metal ions. J. Univ. Sci. Technol. Beijing 2008, 15, 644–648. [Google Scholar] [CrossRef]
- Dai, L.; Zheng, J.; Wang, L. Fabrication of titanate nanotubes/iron oxide magnetic composite for the high efficient capture of radionuclides: A case investigation of 109Cd (II). J. Radioanal. Nucl. Chem. 2013, 298, 1947–1956. [Google Scholar] [CrossRef]
- Cesano, F.; Bertarione, S.; Uddin, M.J.; Agostini, G.; Scarano, D.; Zecchina, A. Designing TiO2 based nanostructures by control of surface morphology of pure and silver loaded titanate nanotubes. J. Phys. Chem. C 2010, 114, 169–178. [Google Scholar] [CrossRef]
- Walsh, F.C.; Bavykin, D.V.; Torrente-Murciano, L.; Lapkin, A.A.; Cressey, B.A. Synthesis of novel composite materials via the deposition of precious metals onto protonated titanate (TiO2) nanotubes. Trans. Inst. Metal Finish. 2006, 86, 293–299. [Google Scholar] [CrossRef]
- Fu, G.; Wei, G.; Yang, Y.; Xiang, W.C.; Qiao, N. Facile synthesis of Fe-doped titanate nanotubes with enhanced photocatalytic activity for castor oil oxidation. J. Nanomater. 2013, 2013, 1–4. [Google Scholar] [CrossRef]
- Han, W.Q.; Wen, W.; Yi, D.; Liu, Z.; Maye, M.M.; Lewis, L.; Hanson, J.; Gang, O. Fe-doped trititanate nanotubes: Formation, optical and magnetic properties, and catalytic applications. J. Phys. Chem. C 2007, 111, 14339–14342. [Google Scholar] [CrossRef]
- Jang, J.S.; Kim, D.H.; Choi, S.H.; Jang, J.W.; Kim, H.G.; Lee, J.S. In-situ synthesis, local structure, photoelectrochemical property of Fe-intercalated titanate nanotube. Int. J. Hydrog. Energy 2012, 37, 11081–11089. [Google Scholar] [CrossRef]
- Morín, M.E.Z.; Torres-Martínez, L.; Sanchez-Martínez, D.; Gómez-Solís, C. Photocatalytic performance of titanates with formula MTiO3 (M = Fe, Ni, and Co) synthesized by solvo-combustion method. Mater. Res. 2017, 20, 1322–1331. [Google Scholar] [CrossRef]
- Pang, Y.L.; Abdullah, Z.A. Effect of low Fe3+ doping on characteristics, sonocatalytic activity and reusability of TiO2 nanotubes catalysts for removal of rhodamine b from water. J. Hazard. Mater. 2012, 235–236, 326–335. [Google Scholar] [CrossRef] [PubMed]
- Yu, J.; Xiang, Q.; Zhou, M. Preparation, characterization and visible-light-driven photocatalytic activity of Fe-doped titania nanorods and first-principles study for electronic structures. Appl. Catal. B Environ. 2009, 90, 595–602. [Google Scholar] [CrossRef]
- Zhang, K.Z.; Lin, B.Z.; Chen, Y.L.; Xu, B.H.; Pian, X.T.; Kuang, J.D.; Li, B. Fe-doped and ZnO-pillared titanates as visible-light-driven photocatalysts. J. Colloid Interface Sci. 2011, 358, 360–368. [Google Scholar] [CrossRef] [PubMed]
- Yuan, R.; Zhou, B.; Hua, D.; Shi, C. Effect of metal ion-doping on characteristics and photocatalytic activity of TiO2 nanotubes for removal of humic acid from water. Front. Environ. Sci. Eng. 2015, 9, 850–860. [Google Scholar] [CrossRef]
- Wang, Y.-X.; Xie, J.; Cao, G.-S.; Zhu, T.-J.; Zhao, X.-B. Electrochemical performance of TiO2/carbon nanotubes nanocomposite prepared by an in situ route for Li-ion batteries. J. Mater. Res. 2012, 27, 417–423. [Google Scholar] [CrossRef]
- Čapek, L.; Kreibich, V.; Dědeček, J.; Grygar, T.; Wichterlova, B.; Sobalìk, Z.; Martens, J.A.; Brosius, R.; Tokarová, V. Analysis of Fe species in zeolites by UV–Vis–NIR, IR spectra and voltammetry. Effect of preparation, Fe loading and zeolite type. Microporous Mesoporous Mater. 2005, 80, 279–289. [Google Scholar] [CrossRef]
- Lopez, L.; de Laat, J.; Legube, B. Charge transfer of iron (III) monomeric and oligomeric aqua hydroxo complexes: Semiempirical investigation into photoactivity. Inorg. Chem. 2002, 41, 2505–2517. [Google Scholar] [CrossRef]
- Muniyappan, S.; Solaiyammal, T.; Sudhakar, K.; Karthigeyan, A.; Murugakoothan, P. Conventional hydrothermal synthesis of titanate nanotubes: Systematic discussions on structural, optical, thermal and morphological properties. Mod. Electron. Mater. 2017, 3, 174–178. [Google Scholar] [CrossRef]
- Groppo, E.; Lamberti, C.; Cesano, F.; Zecchina, A. On the fraction of Cr-II sites involved in the C2H4 polymerization on the Cr/SIO2 Phillips catalyst: A quantification by FTIR spectroscopy. PCCP 2006, 8, 2453–2456. [Google Scholar] [CrossRef] [PubMed]
- Jain, S.M.; Cesano, F.; Scarano, D.; Edvinsson, T. Resonance Raman and IR spectroscopy of aligned carbon nanotube arrays with extremely narrow diameters prepared with molecular catalysts on steel substrates. PCCP 2017, 19, 30667–30674. [Google Scholar] [CrossRef] [PubMed]
- Cesano, F.; Bertarione, S.; Scarano, D.; Zecchina, A. Connecting carbon fibers by means of catalytically grown nanofilaments: Formation of carbon–carbon composites. Chem. Mater. 2005, 17, 5119–5123. [Google Scholar] [CrossRef]
- Cabrero-Vilatela, A.; Weatherup, R.S.; Braeuninger-Weimer, P.; Caneva, S.; Hofmann, S. Towards a general growth model for graphene CVD on transition metal catalysts. Nanoscale 2016, 8, 2149–2158. [Google Scholar] [CrossRef] [PubMed]
- Cesano, F.; Rahman, M.M.; Bardelli, F.; Damin, A.; Scarano, D. Magnetic hybrid carbon via graphitization of polystyrene-co-divinylbenzene: Morphology, structure and adsorption properties. Chem. Select 2016, 1, 2536–2541. [Google Scholar] [CrossRef]
- Morgado, E.; de Abreu, M.A.S.; Pravia, O.R.C.; Marinkovic, B.A.; Jardim, P.M.; Rizzo, F.C.; Araújo, A.S. A study on the structure and thermal stability of titanate nanotubes as a function of sodium content. Solid State Sci. 2006, 8, 888–900. [Google Scholar] [CrossRef]
- Cesano, F.; Fenoglio, G.; Carlos, L.; Nisticò, R. One-step synthesis of magnetic chitosan polymer composite films. Appl. Surf. Sci. 2015, 345, 175–181. [Google Scholar] [CrossRef]
- Shrestha, N.K.; Macak, J.M.; Schmidt-Stein, F.; Hahn, R.; Mierke, C.T.; Fabry, B.; Schmuki, P. Magnetically guided titania nanotubes for site-selective photocatalysis and drug release. Angew. Chem. 2009, 121, 987–990. [Google Scholar] [CrossRef]
- Uddin, M.J.; Daramola, D.E.; Velasquez, E.; Dickens, T.J.; Yan, J.; Hammel, E.; Cesano, F.; Okoli, O.I. A high efficiency 3D photovoltaic microwire with carbon nanotubes (CNT)-quantum dot (QD) hybrid interface. Phys. Status Solidi RRL 2014, 8, 898–903. [Google Scholar] [CrossRef]








| Samples | Molar Concentrations of the Fe(NO3)3 Solutions | Fe wt % |
|---|---|---|
| Fe-TIT#001 | 0.001 | ~0.4 |
| Fe-TIT#0025 | 0.0025 | 1 |
| Fe-TIT#01 | 0.01 | 3 |
© 2018 by the authors. Licensee MDPI, Basel, Switzerland. This article is an open access article distributed under the terms and conditions of the Creative Commons Attribution (CC BY) license (http://creativecommons.org/licenses/by/4.0/).
Share and Cite
Cesano, F.; Cravanzola, S.; Rahman, M.M.; Scarano, D. Interplay between Fe-Titanate Nanotube Fragmentation and Catalytic Decomposition of C2H4: Formation of C/TiO2 Hybrid Interfaces. Inorganics 2018, 6, 55. https://doi.org/10.3390/inorganics6020055
Cesano F, Cravanzola S, Rahman MM, Scarano D. Interplay between Fe-Titanate Nanotube Fragmentation and Catalytic Decomposition of C2H4: Formation of C/TiO2 Hybrid Interfaces. Inorganics. 2018; 6(2):55. https://doi.org/10.3390/inorganics6020055
Chicago/Turabian StyleCesano, Federico, Sara Cravanzola, Mohammed Mastabur Rahman, and Domenica Scarano. 2018. "Interplay between Fe-Titanate Nanotube Fragmentation and Catalytic Decomposition of C2H4: Formation of C/TiO2 Hybrid Interfaces" Inorganics 6, no. 2: 55. https://doi.org/10.3390/inorganics6020055
APA StyleCesano, F., Cravanzola, S., Rahman, M. M., & Scarano, D. (2018). Interplay between Fe-Titanate Nanotube Fragmentation and Catalytic Decomposition of C2H4: Formation of C/TiO2 Hybrid Interfaces. Inorganics, 6(2), 55. https://doi.org/10.3390/inorganics6020055

