Pyridine vs. Thiazole in Cyclometalated N^C^N Ni(II) Complexes
Abstract
1. Introduction
2. Results and Discussion
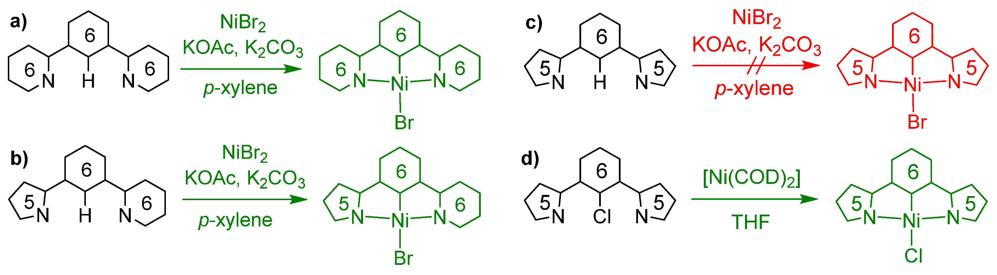
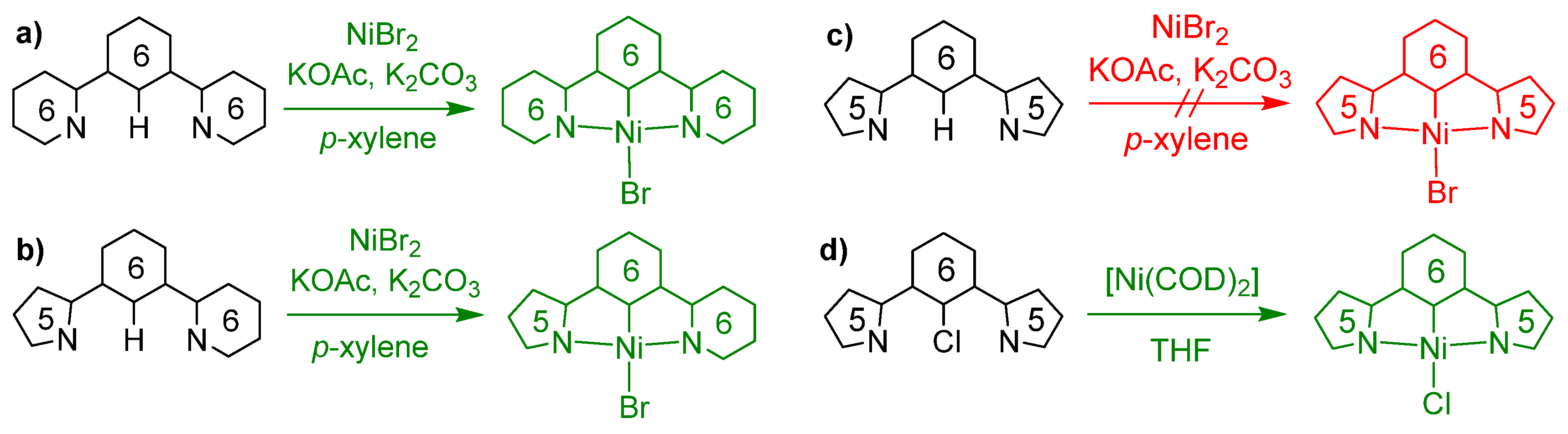
2.1. Preparation and Analytical Characterization
2.2. X-Ray Diffractometric Analysis of Single Crystals (scXRD) and DFT-Calculated Structures
2.3. Electrochemistry and DFT Calculations of Frontier Orbitals
2.4. UV-Vis Absorption Spectroscopy and TD-DFT Calculated Transitions
2.5. Negishi-Type C–C Cross-Coupling Catalysis
3. Materials and Methods
3.1. Materials
3.2. Syntheses
3.2.1. Synthesis of [Ni(COD)2]
3.2.2. Synthesis of the Symmetric Complexes [Ni(N^C^N)Cl]—General Procedure
3.2.3. Synthesis of the Non-Symmetric Complexes [Ni(N^C^N’)Br]—General Procedure
3.3. Instrumentation
3.4. Single Crystal Structure Analysis by X-Ray Diffractometry (scXRD)
3.5. Computational Details
3.6. Catalysis Experiments
3.7. GC-MS Analysis
4. Conclusions
Supplementary Materials
Author Contributions
Funding
Data Availability Statement
Acknowledgments
Conflicts of Interest
References
- Johansson Seechurn, C.C.C.; Kitching, M.O.; Colacot, T.J.; Snieckus, V. Palladium-Catalyzed Cross-Coupling: A Historical Contextual Perspective to the 2010 Nobel Prize. Angew. Chem. Int. Ed. 2012, 51, 5062–5085. [Google Scholar] [CrossRef] [PubMed]
- Diccianni, J.; Lin, Q.; Diao, T. Mechanisms of Nickel-Catalyzed Coupling Reactions and Applications in Alkene Functionalization. Acc. Chem. Res. 2020, 53, 906–919. [Google Scholar] [CrossRef] [PubMed]
- Ogishi, S. (Ed.) Nickel Catalysis in Organic Synthesis—Methods and Reactions; Wiley/VCH: Weinheim, Germany, 2019. [Google Scholar]
- Phapale, V.B.; Cárdenas, D.J. Nickel-catalysed Negishi cross-coupling reactions: Scope and mechanisms. Chem. Soc. Rev. 2009, 38, 1598–1607. [Google Scholar] [CrossRef] [PubMed]
- Han, F.-S. Transition-metal-catalyzed Suzuki–Miyaura cross-coupling reactions: A remarkable advance from palladium to nickel catalysts. Chem. Soc. Rev. 2013, 42, 5270–5298. [Google Scholar] [CrossRef]
- Pawlak, M.; Drzezdzon, J.; Jacewicz, D. The greener side of polymers in the light of d-block metal complexes as Precatalysts. Coord. Chem. Rev. 2023, 484, 215122. [Google Scholar] [CrossRef]
- Zhang, R.; Gao, R.; Gou, Q.; Lai, J.; Li, X. Recent Advances in the Copolymerization of Ethylene with Polar Comonomers by Nickel Catalysts. Polymers 2022, 14, 3809. [Google Scholar] [CrossRef]
- Lee, B.C.; Liu, C.-F.; Lin, L.Q.H.; Yap, K.Z.; Song, N.X.; Ko, C.H.M.; Chan, P.H.; Koh, M.J. N-Heterocyclic carbenes as privileged ligands for nickel-catalysed alkene functionalization. Chem. Soc. Rev. 2023, 52, 2946–2991. [Google Scholar] [CrossRef] [PubMed]
- Kranthikumar, R. Recent Advances in C(sp3)−C(sp3) Cross-Coupling Chemistry: A Dominant Performance of Nickel Catalysts. Organometallics 2022, 41, 667–679. [Google Scholar] [CrossRef]
- Yi, L.; Ji, T.; Chen, K.-Q.; Chen, X.-Y.; Rueping, M. Nickel-Catalyzed Reductive Cross-Couplings: New Opportunities for Carbon–Carbon Bond Formations through Photochemistry and Electrochemistry. CS Chem. 2022, 4, 9–30. [Google Scholar] [CrossRef]
- Zhu, C.; Yue, H.; Jia, J.; Rueping, M. Nickel-Catalyzed C-Heteroatom Cross-Coupling Reactions under Mild Conditions via Facilitated Reductive Elimination. Angew. Chem. Int. Ed. 2021, 60, 17810–17831. [Google Scholar] [CrossRef]
- Dudkina, Y.B.; Fayzullin, R.R.; Lyssenko, K.A.; Gubaidullin, A.T.; Kholin, K.V.; Levitskaya, A.I.; Balakina, M.Y.; Budnikova, Y.H. Cyclometalated Nickel Complexes as Key Intermediates in C(sp2)−H Bond Functionalization: Synthesis, Catalysis, Electrochemical Properties, and DFT Calculations. Organometallics 2019, 38, 1254–1263. [Google Scholar] [CrossRef]
- Mousa, A.H.; Chakrabarti, K.; Isapour, G.; Bendix, J.; Wendt, O.F. Enhancing the Stability of Aromatic PCN Pincer Nickel Complexes by Incorporation of Pyridine as the Nitrogen Side Arm. Eur. J. Inorg. Chem. 2020, 2020, 4270–4277. [Google Scholar] [CrossRef]
- Vogt, N.; Sandleben, A.; Kletsch, L.; Schäfer, S.; Chin, M.T.; Vicic, D.A.; Hörner, G.; Klein, A. On the Role of the X Coligands in Cyclometalated [Ni(Phbpy)X] Complexes (HPhbpy = 6-phenyl-2,2’-bipyridine). Organometallics 2021, 40, 1776–1785. [Google Scholar] [CrossRef]
- Gilbert, M.M.; Trenerry, M.J.; Longley, V.R.; Castro, A.J.; Berry, J.F.; Weix, D.J. Ligand−Metal Cooperation Enables Net Ring-Opening C−C Activation/Difunctionalization of Cyclopropyl Ketones. ACS Catal. 2023, 13, 11277–11290. [Google Scholar] [CrossRef] [PubMed]
- Quirós, M.T.; Collado-Sanz, D.; Buñuel, E.; Cárdenas, D.J. Ligand-Controlled Electron Structure of Catalytically Active Ni Complexes. J. Phys. Chem. A 2018, 122, 2250–2257. [Google Scholar] [CrossRef]
- An, L.; Xu, C.; Zhang, X. Highly selective nickel-catalyzed gem-difluoropropargylation of unactivated alkylzinc reagents. Nat. Commun. 2017, 8, 1460. [Google Scholar] [CrossRef] [PubMed]
- Ciszewski, J.T.; Mikhaylov, D.Y.; Holin, K.V.; Kadirov, M.K.; Budnikova, Y.H.; Sinyashin, O.; Vicic, D.A. Redox Trends in Terpyridine Nickel Complexes. Inorg. Chem. 2011, 50, 8630–8635. [Google Scholar] [CrossRef] [PubMed]
- Wong, Y.-S.; Tang, M.-C.; Ng, M.; Yam, V.W.-W. Toward the Design of Phosphorescent Emitters of Cyclometalated Earth-Abundant Nickel(II) and Their Supramolecular Study. J. Am. Chem. Soc. 2020, 142, 7638–7646. [Google Scholar] [CrossRef]
- Kletsch, L.; Hörner, G.; Klein, A. Cyclometalated Ni(II) Complexes [Ni(N^C^N)X] of the Tridentate 2,6-di(2-pyridyl)phen-ide Ligand. Organometallics 2020, 39, 2820–2829. [Google Scholar] [CrossRef]
- Kletsch, L.; Jordan, R.; Köcher, A.S.; Buss, S.; Strassert, C.A.; Klein, A. Photoluminescence of Ni(II), Pd(II), and Pt(II) Complexes [M(Me2dpb)Cl] Obtained from C–H Activation of 1,5-Di(2-pyridyl)-2,4-dimethylbenzene (Me2dpbH). Molecules 2021, 26, 5051. [Google Scholar] [CrossRef]
- Cardenas, D.J.; Echavarren, A.M.; Ramirez de Arellano, M.C. Divergent Behavior of Palladium(II) and Platinum(II) in the Metalation of 1,3-Di(2-pyridyl)benzene. Organometallics 1999, 18, 3337–3341. [Google Scholar] [CrossRef]
- Soro, B.; Stoccoro, S.; Minghetti, G.; Zucca, A.; Cinellu, M.A.; Manassero, M.; Gladiali, S. The first pincer-aryl [M–(NCN)] complexes {M = Pd(II); Pt(II)} with chiral pyridine donors: Synthesis and catalytic activity in C–C bond formation. Inorg. Chim. Acta 2006, 359, 1879–1888. [Google Scholar] [CrossRef]
- Soro, B.; Stoccoro, S.; Minghetti, G.; Zucca, A.; Cinellu, M.A.; Gladiali, S.; Manassero, M.; Sansoni, M. Synthesis of the First C-2 Cyclopalladated Derivatives of 1,3-Bis(2-pyridyl)benzene. Crystal Structures of [Hg(N-C-N)Cl], [Pd(N-C-N)Cl], and [Pd2(N-C-N)2(µ-OAc)]2[Hg2Cl6]. Catalytic Activity in the Heck Reaction. Organometallics 2005, 24, 53–61. [Google Scholar] [CrossRef]
- Vogt, N.; Sivchik, V.; Sandleben, A.; Hörner, G.; Klein, A. Direct Base-Assisted C–H Cyclonickelation of 6-Phenyl-2,2’-bipyridine. Molecules 2020, 25, 997. [Google Scholar] [CrossRef]
- Green, K.-A.; Honeycutt, A.P.; Ciccone, S.R.; Grice, K.A.; Baur, A.; Petersen, J.L.; Hoover, J.M. A Redox Transmetalation Step in Nickel-Catalyzed C−C Coupling Reactions. ACS Catal. 2023, 13, 6375–6381. [Google Scholar] [CrossRef]
- Sandleben, A.; Vogt, N.; Hörner, G.; Klein, A. On the Redox Series of Cyclometalated Nickel Complexes [Ni((R)Ph(R’)bpy)Br]+/0/–/2– (H–(R)Ph(R’)bpy = substituted 6-phenyl-2,20-bipyridine). Organometallics 2018, 37, 3332–3341. [Google Scholar] [CrossRef]
- Grove, D.M.; van Koten, G.; Ubbels, H.J.C.; Zoet, R. Organonickel(II) Complexes of the Terdentate Monoanionic Ligand o,o′-Bis[(dimethylamino)methyl]phenyl (N-C-N). Syntheses and the X-ray Crystal Structure of the Stable Nickel(II) Formate [Ni(N-C-N)O2CH]. Organometallics 1984, 3, 1003–1009. [Google Scholar] [CrossRef]
- Salthouse, R.J.; Sil, A.; Gildea, L.F.; Yufit, D.S.; Williams, J.A.G. Platinum(II) Complexes of Nonsymmetrical NCN-Coordinating Ligands: Unimolecular and Excimeric Luminescence Properties and Comparison with Symmetrical Analogues. Inorg. Chem. 2023, 62, 12356–12371. [Google Scholar] [CrossRef] [PubMed]
- Hruzd, M.; le Poul, N.; Cordier, M.; Kahlal, S.; Saillard, J.-Y.; Achelle, S.; Gauthier, S.; Robin-le Guen, F. Luminescent cyclometalated alkynylplatinum(II) complexes with 1,3-di(pyrimidin-2-yl)benzene ligands: Synthesis, electrochemistry, photophysics and computational studies. Dalton Trans. 2022, 51, 5546–5560. [Google Scholar] [CrossRef] [PubMed]
- Wang, Z.; Turner, E.; Mahoney, V.; Madakuni, S.; Groy, T.; Li, J. Facile Synthesis and Characterization of Phosphorescent Pt(N^C^N)X Complexes. Inorg. Chem. 2010, 49, 11276–11286. [Google Scholar] [CrossRef] [PubMed]
- Develay, S.; Blackburn, O.; Thompson, A.L.; Williams, J.A.G. Cyclometalated Platinum(II) Complexes of Pyrazole-Based, N^C^N-Coordinating, Terdentate Ligands: The Contrasting Influence of Pyrazolyl and Pyridyl Rings on Luminescence. Inorg. Chem. 2008, 47, 11129–11142. [Google Scholar] [CrossRef] [PubMed]
- Yang, B.-Z.; Zhou, X.; Liu, T.; Bai, F.-Q.; Zhang, H.-X. Theoretical Studies on the Electronic Structures and Spectroscopic Properties of a Series of Novel N–C–N-Coordinating Pt(II) Complexes. Int. J. Quantum Chem. 2010, 110, 1605–1614. [Google Scholar] [CrossRef]
- Koo, C.-K.; Wong, K.-L.; Lau, K.-C.; Wong, W.-Y.; Lam, M.H.-W. The Controlled Formation and Cleavage of an Intramolecular d8–d8 Pt–Pt Interaction in a Dinuclear Cycloplatinated Molecular “Pivot-Hinge”. Chem.–Eur. J. 2009, 15, 7689–7697. [Google Scholar] [CrossRef] [PubMed]
- Lee, S.; Lee, Y.; Kim, K.; Heo, S.; Jeong, D.Y.; Kim, S.; Cho, J.; Kim, C.; You, Y. Twist to Boost: Circumventing Quantum Yield and Dissymmetry Factor Trade-Off in Circularly Polarized Luminescence. Inorg. Chem. 2021, 60, 7738–7752. [Google Scholar] [CrossRef]
- Lorenzo-Aparicio, C.; Moreno-Blázquez, S.; Oliván, M.; Esteruelas, M.A.; Gómez Gallego, M.; García-Álvarez, P.; Cabeza, J.A.; Sierra, M.A. Synthesis, Structure, and Photophysical Properties of Platinum(II) (N,C,N′) Pincer Complexes Derived from Purine Nucleobases. Inorg. Chem. 2023, 62, 8232–8248. [Google Scholar] [CrossRef] [PubMed]
- Li, P.; Zhou, H.-F.; Liu, F.; Hu, Z.-X.; Wang, H.-X. NCN palladium pincer via transmercuration. Synthesis of [2-(2-oxazoliny)-6-(2-pyridyl)] phenylpalladium(II) chloride and its catalytic activity in Suzuki coupling. Inorg. Chem. Commun. 2013, 32, 78–81. [Google Scholar] [CrossRef]
- Li, J.; Mei, Q. Narrow Band Red Phosphorescent Tetradentate Platinum(II) Complexes. Patent WO2018071697, 19 April 2018. [Google Scholar]
- Li, J.; Wang, Z.; Turner, E. Preparation of Tridentate Platinum(II) Complexes Useful for Organic Light Emitting Devices. Patent WO2009111299, 11 September 2009. [Google Scholar]
- Krause, M.; von der Stück, R.; Brünink, D.; Buss, S.; Doltsinis, N.L.; Strassert, C.A.; Klein, A. Platinum and palladium complexes of tridentate –C^N^N (phen-ide)-pyridine-thiazol ligands—A case study involving spectroelectrochemistry, photoluminescence spectroscopy and TD-DFT calculations. Inorg. Chim. Acta 2021, 518, 120093. [Google Scholar] [CrossRef]
- Krause, M.; Friedel, J.; Buss, S.; Brünink, D.; Berger, A.; Strassert, C.A.; Doltsinis, N.L.; Klein, A. Isoelectronic Pt(II) Complexes of Cyclometalating C^N^N Ligand with Phenyl/(Benzo)thiophenyl and Pyridine/(Benzo)thiazole Moieties. Dalton Trans. 2022, 51, 16181–16194. [Google Scholar] [CrossRef] [PubMed]
- Von der Stück, R.; Krause, M.; Brünink, D.; Buss, S.; Doltsinis, N.L.; Strassert, C.A.; Klein, A. Luminescent Pd(II) Complexes of Tridentate –C^N^N Aryl-pyridine-(benzo)thiazole Ligands. Z. Allgem. Anorg. Chem. 2022, 648, e202100278. [Google Scholar] [CrossRef]
- Mroz, R.; Vezzu, D.A.K.; Wallace, B.; Ravindranathan, D.; Carroll, J.; Pike, R.D.; Huo, S. A Comparative Study on Phosphorescent Cycloplatinated Complexes Based on Tridentate C^N^N-Coordinating Ligands and Phenylethynyl or Phenyl Ligand. Chin. J. Org. Chem. 2018, 38, 171–182. [Google Scholar] [CrossRef]
- Zhang, W.; Wang, J.; Xu, Y.; Li, W.; Shen, W. Fine tuning phosphorescent properties of platinum complexes via different N-heterocyclic-based C^N^N ligands. J. Organomet. Chem. 2017, 836–837, 26–33. [Google Scholar] [CrossRef]
- Feuerstein, W.; Breher, F. Synthetic access to a phosphorescent non-palindromic pincer complex of palladium by a double oxidative addition—Comproportionation sequence. Chem. Commun. 2020, 56, 12589. [Google Scholar] [CrossRef]
- Rappoport, Z. (Ed.) CRC Handbook of Tables for Organic Compound Identification, 3rd ed.; CRC Press/Taylor and Francis: Boca Raton, FL, USA, 1984; ISBN 0-8493-0303-6. [Google Scholar]
- Klein, A.; Kaiser, A.; Sarkar, B.; Wanner, M.; Fiedler, J. The Electrochemical Behaviour of Organonickel Complexes: Mono-, Di- and Trivalent Nickel. Eur. J. Inorg. Chem. 2007, 2007, 965–976. [Google Scholar] [CrossRef]
- Huang, H.; Alvarez-Hernandez, J.L.; Hazari, N.; Mercado, B.Q.; Uehling, M.R. Effect of 6,6′-Substituents on Bipyridine-Ligated Ni Catalysts for Cross-Electrophile Coupling. ACS Catal. 2024, 14, 6897–6914. [Google Scholar] [CrossRef] [PubMed]
- Koopmans, T. Über die Zuordnung von Wellenfunktionen und Eigenwerten zu den Einzelnen Elektronen Eines Atoms. Physica 1934, 1, 104–113. [Google Scholar] [CrossRef]
- Janak, J.F. Proof that ∂E/∂ni = ε in density-functional theory. Phys. Rev. B 1978, 18, 7165–7168. [Google Scholar] [CrossRef]
- Tsuneda, T.; Song, J.-W.; Suzuki, S.; Hirao, K. On Koopmans’ theorem in density functional theory. J. Chem. Phys. 2010, 133, 174101. [Google Scholar] [CrossRef] [PubMed]
- Thapa, S.; Kafle, A.; Gurung, S.K.; Montoya, A.; Riedel, P.; Giri, R. Ligand-Free Copper-Catalyzed Negishi Coupling of Alkyl-, Aryl-, and Alkynylzinc Reagents with Heteroaryl Iodides. Angew. Chem. Int. Ed. 2015, 54, 8236–8240. [Google Scholar] [CrossRef] [PubMed]
- Dhungana, R.K.; Sapkota, R.R.; Wickham, L.M.; Niroula, D.; Giri, R. Ni-Catalyzed Regioselective 1,2-Dialkylation of Alkenes Enabled by the Formation of Two C(sp3)-C(sp3) Bonds. J. Am. Chem. Soc. 2020, 142, 20930–20936. [Google Scholar] [CrossRef]
- Andersen, T.L.; Donslund, A.S.; Neumann, K.T.; Skrydstrup, T. Carbonylative Coupling of Alkyl Zinc Reagents with Benzyl Bromides Catalyzed by a Nickel/NN2 Pincer Ligand Complex. Angew. Chem. Int. Ed. 2018, 57, 800–804. [Google Scholar] [CrossRef] [PubMed]
- Eckert, P.; Sharif, S.; Organ, M.G. Salt to Taste: The Critical Roles Played by Inorganic Salts in Organozinc Formation and in the Negishi Reaction. Angew. Chem. Int. Ed. 2021, 60, 12224–12241. [Google Scholar] [CrossRef] [PubMed]
- Achonduh, G.T.; Hadei, N.; Valente, C.; Avola, S.; O’Brien, C.J.; Organ, M.G. On the role of additives in alkyl-alkyl Negishi crosscouplings. Chem. Commun. 2010, 46, 4109–4111. [Google Scholar] [CrossRef] [PubMed]
- Plunkett, S.; Basch, C.H.; Santana, S.O.; Watson, M.P. Harnessing Alkylpyridinium Salts as Electrophiles in Deaminative Alkyl−Alkyl Cross-Couplings. J. Am. Chem. Soc. 2019, 141, 2257–2262. [Google Scholar] [CrossRef] [PubMed]
- Chen, L.-M.; Reisman, S.E. Enantioselective C(sp2)−C(sp3) Bond Construction by Ni Catalysis. Acc. Chem. Res. 2024, 57, 751–762. [Google Scholar] [CrossRef]
- APEX4—Software Suite for Crystallographic Programs; Bruker AXS, Inc.: Madison, WI, USA, 2021.
- Sheldrick, G.M. SHELXT—Integrated space-group and crystal-structure determination. Acta Crystallogr. A. Found. Adv. 2015, 71, 3–8. [Google Scholar] [CrossRef] [PubMed]
- Sheldrick, G.M. A short history of SHELX. Acta Crystallogr. A. Found. Adv. 2008, 64, 112–122. [Google Scholar] [CrossRef] [PubMed]
- Sheldrick, G.M. Crystal structure refinement with SHELXL. Acta Crystallogr. C Struct. Chem. 2015, 71, 3–8. [Google Scholar] [CrossRef]
- Neese, F.; Wennmohs, F.; Becker, U.; Riplinger, C. The ORCA quantum chemistry program package. J. Chem. Phys. 2020, 152, 224108. [Google Scholar] [CrossRef] [PubMed]
- Neese, F. Software update: The ORCA program system—Version 5.0. WIREs Comput. Mol. Sci. 2022, 12, e1606. [Google Scholar] [CrossRef]
- Weigend, F.; Ahlrichs, R. Balanced basis sets of split valence, triple zeta valence and quadruple zeta valence quality for H to Rn: Design and assessment of accuracy. Phys. Chem. Chem. Phys. 2005, 7, 3297. [Google Scholar] [CrossRef]
- Becke, A.D. Density-functional exchange-energy approximation with correct asymptotic behavior. Phys. Rev. A 1988, 38, 3098–3100. [Google Scholar] [CrossRef] [PubMed]
- Perdew, J.P.; Yue, W. Accurate and simple density functional for the electronic exchange energy: Generalized gradient approximation. Phys. Rev. B 1986, 33, 8800–8802. [Google Scholar] [CrossRef] [PubMed]
- Grimme, S.; Antony, J.; Ehrlich, S.; Krieg, H. A consistent and accurate ab initio parametrization of density functional dispersion correction (DFT-D) for the 94 elements H-Pu. J. Chem. Phys. 2010, 132, 154104. [Google Scholar] [CrossRef] [PubMed]
- Grimme, S.; Ehrlich, S.; Goerigk, L. Effect of the damping function in dispersion corrected density functional theory. J. Comput. Chem. 2011, 32, 1456–1465. [Google Scholar] [CrossRef] [PubMed]
- Barone, V.; Cossi, M. Quantum Calculation of Molecular Energies and Energy Gradients in Solution by a Conductor Solvent Model. J. Phys. Chem. A 1998, 102, 1995–2001. [Google Scholar] [CrossRef]
- Cossi, M.; Rega, N.; Scalmani, G.; Barone, V. Energies, structures, and electronic properties of molecules in solution with the C-PCM solvation model. J. Comput. Chem. 2003, 24, 669–681. [Google Scholar] [CrossRef] [PubMed]
- Tao, J.; Perdew, J.P.; Stavoverov, V.N.; Scuseria, G.E. Climbing the density functional ladder: Nonempirical meta-generalized gradient approximation designed for molecules and solids. Phys. Rev. Lett. 2003, 91, 146401. [Google Scholar] [CrossRef] [PubMed]
- Chemcraft—Graphical Software for Visualization of Quantum Chemistry Computations V1.8. Available online: https://www.chemcraftprog.com (accessed on 28 January 2025).









| ΔEredox(exp.) (eV) a | ΔEHOMO-LUMO(calc) (eV) b | λmax(exp.) (nm) c | ΔEopt(exp.) (eV) d | λmax(calc.) (nm) e | ΔEopt(calc.) (eV) f | |
|---|---|---|---|---|---|---|
| [Ni(Py(Ph)Py)Cl] g | 2.39 | 3.08 c | 437 | 2.84 | 469 | 2.64 |
| [Ni(4Tz(Ph)4Tz)Cl] (1) | 2.50 | 3.35 | 389 | 3.19 | 404 | 3.07 |
| [Ni(2Tz(Ph)2Tz)Cl] (2) | 2.28 | 3.06 | 437 | 2.84 | 454 | 2.73 |
| [Ni(2Btz(Ph)2Btz)Cl] (3) | 1.80 | 2.91 | 443 | 2.80 | 466 | 2.66 |
| [Ni(PyPhPy)Br] g | 2.37 | 3.09 c | 433 | 2.86 | 468 | 2.65 |
| [Ni(4Tz(Ph)Py)Br] (4) | 2.41 | 3.08 | 416 | 2.98 | 403 | 3.08 |
| [Ni(2Tz(Ph)Py)Br] (5) | 2.29 | 3.08 | 430 | 2.88 | 428 | 2.90 |
| [Ni(2Btz(Ph)Py)Br] (6) | 2.02 | 2.96 | 421 | 2.95 | 444 | 2.79 |
Disclaimer/Publisher’s Note: The statements, opinions and data contained in all publications are solely those of the individual author(s) and contributor(s) and not of MDPI and/or the editor(s). MDPI and/or the editor(s) disclaim responsibility for any injury to people or property resulting from any ideas, methods, instructions or products referred to in the content. |
© 2025 by the authors. Licensee MDPI, Basel, Switzerland. This article is an open access article distributed under the terms and conditions of the Creative Commons Attribution (CC BY) license (https://creativecommons.org/licenses/by/4.0/).
Share and Cite
Kletsch, L.; Jordan, R.; Strippel, J.; Vicic, D.A.; Klein, A. Pyridine vs. Thiazole in Cyclometalated N^C^N Ni(II) Complexes. Inorganics 2025, 13, 41. https://doi.org/10.3390/inorganics13020041
Kletsch L, Jordan R, Strippel J, Vicic DA, Klein A. Pyridine vs. Thiazole in Cyclometalated N^C^N Ni(II) Complexes. Inorganics. 2025; 13(2):41. https://doi.org/10.3390/inorganics13020041
Chicago/Turabian StyleKletsch, Lukas, Rose Jordan, Julian Strippel, David A. Vicic, and Axel Klein. 2025. "Pyridine vs. Thiazole in Cyclometalated N^C^N Ni(II) Complexes" Inorganics 13, no. 2: 41. https://doi.org/10.3390/inorganics13020041
APA StyleKletsch, L., Jordan, R., Strippel, J., Vicic, D. A., & Klein, A. (2025). Pyridine vs. Thiazole in Cyclometalated N^C^N Ni(II) Complexes. Inorganics, 13(2), 41. https://doi.org/10.3390/inorganics13020041

