Mechanistic Aspects of the Photofunctionalisation of Tetraalkylammonium Cations by [PtCl6]2−
Abstract
1. Introduction
2. Results
2.1. Photodissociation and Photodetachment Mass Spectroscopy of [Bu4N]2[PtCl6]
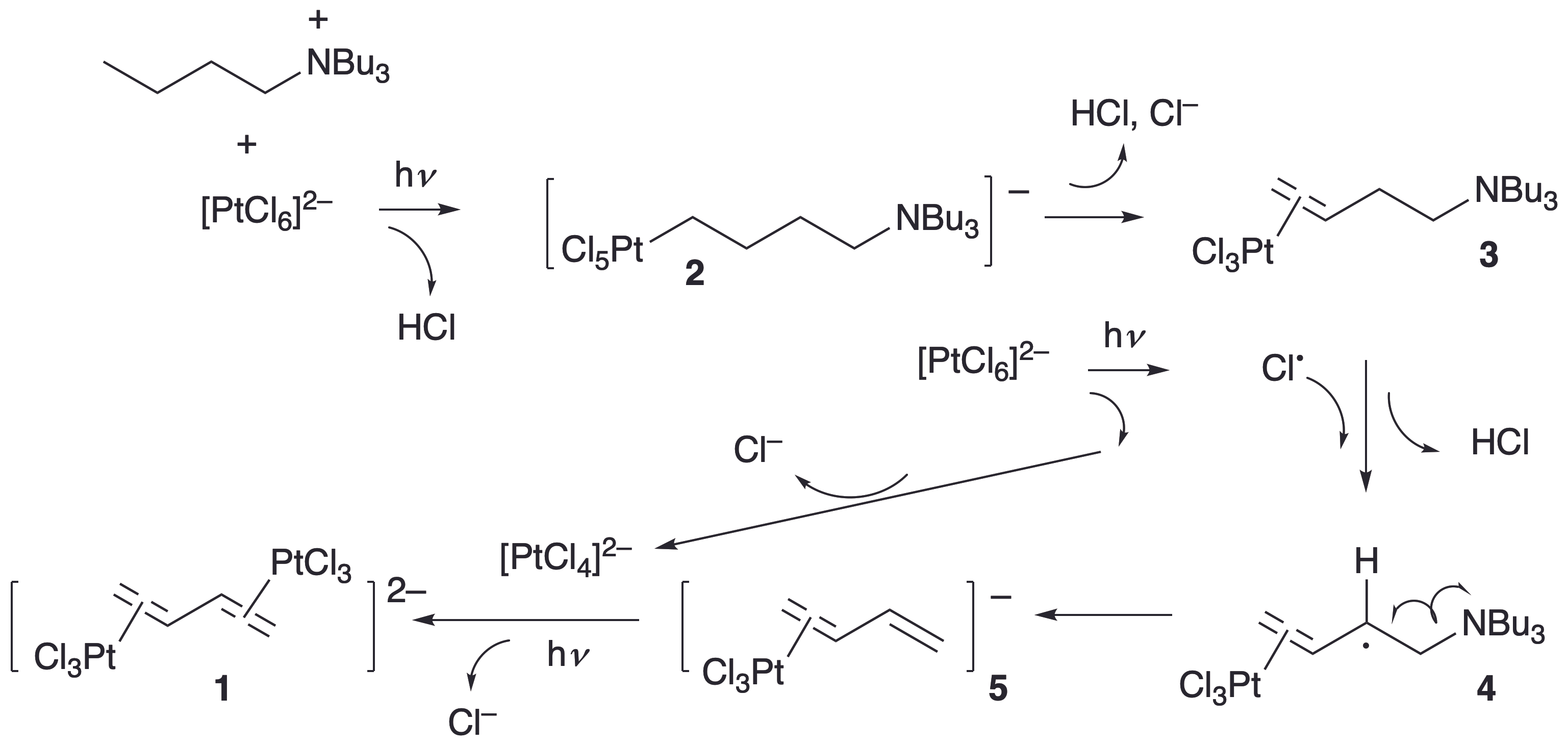
2.2. Possible Reactivity of [PtCl3(1-butene)]− and [PtCl3(2-butene)]−
2.3. Possible Activation of Other Cations
2.3.1. Tetrabutylphosphonium—[Bu4P]+
2.3.2. Alkylammonium Cations—[Pr4N]2[PtCl6], [Bu4N]2[PtCl6] and [Pe4N]2[PtCl6]
2.4. EPR Study of Frozen Solutions
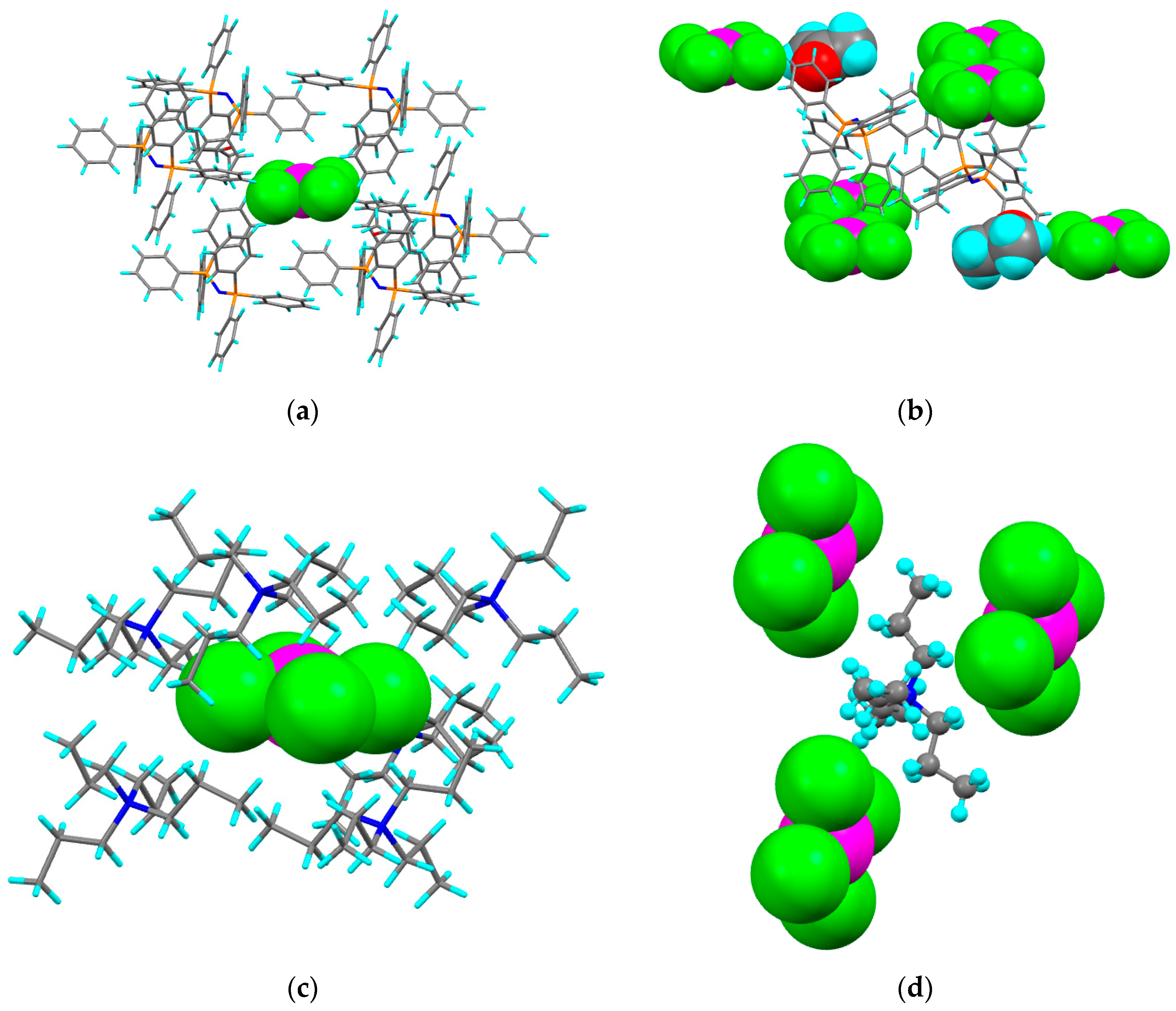
2.5. Molecular Structures of [PPN]2[PtCl4] and of [Pr4N]2[PtCl4]
3. Materials and Methods
3.1. Instrumentation
3.1.1. NMR Spectroscopy
3.1.2. Electron Paramagnetic Resonance Spectroscopy
3.1.3. UV-Mass Spectrometry
3.2. 1H NMR Spectra from the Reaction of [PPN]2[PtCl6] with [PPN][PtCl3(1-butene)]− or [PPN][PtCl3(2-butene)]
3.3. Quantum Chemical Calculations
3.4. Synthesis
3.4.1. Tetrapropylammonium, Tetrapentylammonium and Tetrabutylphosphonium Hexachloroplatinate(IV)
3.4.2. Photolysis of Analogous Hexachloroplatinate(IV) Complexes
3.4.3. Irradiation of [PtCl3(butene)]− Complexes
4. Discussion and Conclusions
Supplementary Materials
Author Contributions
Funding
Institutional Review Board Statement
Informed Consent Statement
Data Availability Statement
Acknowledgments
Conflicts of Interest
References
- Sethi, N.K.; Whitwood, A.C.; Bruce, D.W. Preparation of a Heterodimetallic Di-μ-Chlorido Complex of Palladium and Platinum. Eur. J. Inorg. Chem. 2013, 2013, 2078–2082. [Google Scholar] [CrossRef]
- Silalahi, I.H.; Sethi, N.K.; Shafikov, M.Z.; Chechik, V.; Whitwood, A.C.; Bruce, D.W. Unexpected, Photochemically Induced Activation of the Tetrabutylammonium Cation by Hexachloroplatinate(Iv). Chem. Commun. 2018, 54, 13682–13685. [Google Scholar] [CrossRef] [PubMed]
- Silalahi, I.H.; Heyam, A.P.; Goult, C.A.; Aguiar, P.; Karadakov, P.B.; Bruce, D.W. Nuclear Magnetic Resonance and Computational Study of Trans-(m2:h2,h2-1,3-butadiene)bis(trichloroplatinate(II)). Organometallics 2020, 39, 4723–4734. [Google Scholar] [CrossRef]
- Shulpin, G.B.; Nizova, G.V.; Shilov, A.E. Photoinduced reactions of PtCl62− with saturated hydrocarbons and other C–H containing compounds. J. Chem. Soc. Chem. Commun. 1983, 671–672. [Google Scholar] [CrossRef]
- Shul’pin, G.B.; Nizova, G.V.; Lederer, P. Photoinduced reactions of organic compounds with transition metal complexes: IV. Thermal and photochemical reactions of PtCl62−- and PtCl42− with olefins and alcohols: Convenient synthesis of π-olefin complexes of platinum(II). J. Organomet. Chem. 1984, 275, 283–294. [Google Scholar] [CrossRef]
- Shul’pin, G.B.; Nizova, G.V.; Kitaigorodskii, A.N.; Serdobov, M.V. Photoinduced reactions of organic compounds with transition metal complexes: III. Formation of a σ-methyl complex of platinum(IV) and a π-ethylene complex of platinum(II) in photochemical and thermal reactions of PtCl62− with methyl and ethyl derivatives of tin or germanium. thermal oxidative addition of Me4Sn to PtCl42− to afford the σ-methyl complex of platinum(IV). J. Organomet. Chem. 1984, 275, 273–282. [Google Scholar] [CrossRef]
- Kitaigorodskii, A.N.; Nekipelov, V.M.; Nikitaev, A.T.; Shul’pin, G.B. The reaction of PtCl62− with aromatic compounds to afford anionic σ-aryl complexes of platinum(IV). J. Organomet. Chem. 1984, 275, 295–301. [Google Scholar] [CrossRef]
- Nizova, G.V.; Serdobov, M.V.; Nikitaev, A.T.; Shul’pin, G.B. Photoinduced reactions of organic compounds with transition metal complexes: II. Reaction of PtCl62− with acetone to give a σ-acetonyl complex of platinum(IV). Detection of platinum(III) compounds by ESR. J. Organomet. Chem. 1984, 275, 139–144. [Google Scholar] [CrossRef]
- Shul’pin, G.B.; Nizova, G.V. The reaction of PtCl62− with aromatic compounds to afford anionic σ-aryl complexes of platinum(IV): VII. Cleavage of aryl-element bonds (element = Hg, Sn, Pb or B). Arylation reactions of arenes and olefins with α-aryl complexes of platinum(IV) J. Organomet. Chem. 1984, 276, 109–114. [Google Scholar] [CrossRef]
- Serdobov, M.V.; Nizova, G.V.; Shulpin, G.B. Formation of organometallic complexes of platinum(II) and platinum(IV) in reactions of PtCl62− with alkanes, olefins and aromatics induced by γ-irradiation. J. Organomet. Chem. 1984, 265, C12–C14. [Google Scholar] [CrossRef]
- Nizova, G.V.; Shul’pin, G.B. The formation of s-arylplatinum(IV) complexes in the photochemical reaction of the hexachloroplatinate (PtCl62−) ion with arenes in methylene chloride (). Organomet. Chem. USSR 1990, 3, 231–232. [Google Scholar]
- Shul’pin, G.B. C–H functionalization: Thoroughly tuning ligands at a metal ion, a chemist can greatly enhance catalyst’s activity and selectivity. Dalton Trans. 2013, 42, 12794–12818. [Google Scholar] [CrossRef]
- Matthews, E.; Sen, A.; Yoshikawa, N.; Bergström, E.; Dessent, C.E.H. UV Laser Photoactivation of Hexachloroplatinate Bound to Individual Nucleobases in Vacuo as Molecular Level Probes of a Model Photopharmaceutical. Phys. Chem. Chem. Phys. 2016, 18, 15143–15152. [Google Scholar] [CrossRef]
- Kaufman, S.H.; Weber, J.M.; Pernpointner, M. Electronic Structure and UV Spectrum of Hexachloroplatinate Dianions in Vacuo. J. Chem. Phys. 2013, 139, 194310. [Google Scholar] [CrossRef]
- Cercola, R.; Wong, N.G.K.; Rhodes, C.; Olijnyk, L.; Mistry, N.S.; Hall, L.M.; Berenbeim, J.A.; Lynam, J.M.; Dessent, C.E.H. A ‘One Pot’ Mass Spectrometry Technique for Characterizing Solution- and Gas-Phase Photochemical Reactions by Electrospray Mass Spectrometry. RSC Adv. 2021, 11, 19500–19507. [Google Scholar] [CrossRef] [PubMed]
- Matni, A.; Boubekeur, L.; Mezailles, N.; Le Floch, P.; Geoffroy, M. Oxidation Products of Iminophosphorane and Bis-Iminophosphorane: An EPR Study. Chem. Phys. Lett. 2005, 411, 23–27. [Google Scholar] [CrossRef]
- Oh, S.; Morales-Collazo, O.; Keller, A.N.; Brennecke, J.F. Cation-Anion and Anion-CO2 Interactions in Triethyl(Octyl)Phosphonium Ionic Liquids with Aprotic Heterocyclic Anions (AHAs). J. Phys. Chem. B 2020, 124, 8877–8887. [Google Scholar] [CrossRef] [PubMed]
- Amir, H.; Kar, M.; O’Dell, L.A.; Forsyth, M.; Swadźba-Kwaśny, M.; Holbrey, J.D. New Tetrabutylphosphonium Organic Ionic Plastic Crystals Incorporating Borate Anions. J. Mater. Chem. A 2025, 13, 18842–18850. [Google Scholar] [CrossRef]
- Pregosin, P.S. Platinum-195 Nuclear Magnetic Resonance. Coord. Chem. Rev. 1982, 44, 247–291. [Google Scholar] [CrossRef]
- Goggin, P.L.; Goodfellow, R.J.; Haddock, S.R.; Taylor, B.F.; Marshall, I.R.H. The Platinum-195 Chemical Shift in Some Platinum(0) and Platinum(II) Complexes and Its Relationship to Their Structure. J. Chem. Soc. Dalton Trans. 1976, 459–467. [Google Scholar] [CrossRef]
- Clever, G.H.; Kawamura, W.; Tashiro, S.; Shiro, M.; Shionoya, M. Stacked Platinum Complexes of the Magnus’ Salt Type Inside a Coordination Cage. Angew. Chem. Int. Ed. 2012, 51, 2606–2609. [Google Scholar] [CrossRef] [PubMed]
- Sakai, K.; Tanaka, Y.; Tsubomura, T. [N,N’-Bis(2-Aminoethyl-kN)-N,N’-Bis(2-Ammonioethyl)Ethylenediamine-k2N,N’]Platinum(II) Bis(Tetrachloroplatinate) Trihydrate. Acta Cryst. C 1996, 52, 541–543. [Google Scholar] [CrossRef]
- Davies, M.S.; Fenton, R.R.; Huq, F.; Ling, E.C.H.; Hambley, T.W. Studies on the Nature and Strength of Pt...H(-N) Interactions. The Crystal Structures of Chloro[N-(2-Aminoethyl)-N-(2-Ammonioethyl)Ethane-1,2-Diamine]Platinum(II) Chloride and Dichloro [4,7-Diaza-1-Azoniacyclo. Aust. J. Chem. 2000, 53, 451–456. [Google Scholar] [CrossRef]
- Dolomanov, O.V.; Bourhis, L.J.; Gildea, R.J.; Howard, J.A.K.; Puschmann, H. OLEX2: A Complete Structure Solution, Refinement and Analysis Program. J. Appl. Crystallogr. 2009, 42, 339–341. [Google Scholar] [CrossRef]
- Palatinus, L.; Chapuis, G. SUPERFLIP—A Computer Program for the Solution of Crystal Structures by Charge Flipping in Arbitrary Dimensions. J. Appl. Crystallogr. 2007, 40, 786–790. [Google Scholar] [CrossRef]
- Palatinus, L.; van der Lee, A. Symmetry Determination Following Structure Solution in P1. J. Appl. Crystallogr. 2008, 41, 975–984. [Google Scholar] [CrossRef]
- Palatinus, L.; Prathapa, S.J.; van Smaalen, S. EDMA: A Computer Program for Topological Analysis of Discrete Electron Densities. J. Appl. Crystallogr. 2012, 45, 575–580. [Google Scholar] [CrossRef]
- Sheldrick, G.M. A Short History of SHELX. Acta Crystallogr. Sect. A 2008, 64, 112–122. [Google Scholar] [CrossRef]
- Stoll, S.; Schweiger, A. EasySpin, a comprehensive software package for spectral simulation and analysis in EPR. J. Magn. Reson. 2006, 178, 42–55. [Google Scholar] [CrossRef]
- Zhao, Y.; Truhlar, D.G. The M06 suite of density functionals for main group thermochemistry, thermochemical kinetics, noncovalent interactions, excited states, and transition elements: Two new functionals and systematic testing of four M06-class functionals and 12 other functionals. Theor. Chem. Acc. 2008, 120, 215–241. [Google Scholar] [CrossRef]
- Hellweg, A.; Rappoport, D. Development of new auxiliary basis functions of the Karlsruhe segmented contracted basis sets including diffuse basis functions (def2-SVPD, def2-TZVPPD, and def2-QVPPD) for RI-MP2 and RI-CC calculations. Phys. Chem. Chem. Phys. 2014, 17, 1010–1017. [Google Scholar] [CrossRef]
- Frisch, M.J.; Trucks, G.W.; Schlegel, H.B.; Scuseria, G.E.; Robb, M.A.; Cheeseman, J.R.; Scalmani, G.; Barone, V.; Petersson, G.A.; Nakatsuji, H.; et al. Gaussian 16, Revision C.01; Gaussian, Inc.: Wallingford, CT, USA, 2019. [Google Scholar]
- Cox, L.E.; Peters, D.G.; Wehry, E.L. Photoaquation of hexachloroplatinate(IV). J. Inorg. Nucl. Chem. Lett. 1972, 34, 297–305. [Google Scholar] [CrossRef]
- Wright, R.C.; Laurence, G.S. Production of platinum(III) by flash photolysis of PtCl62−. J. Chem. Soc. Chem. Commun. 1972, 132–133. [Google Scholar] [CrossRef]
- Pozdnyakov, I.P.; Glebov, E.M.; Matveeva, S.G.; Plyusnin, V.F.; Mel’nikov, A.A.; Chekalin, S.V. Primary photophysical and photochemical processes upon UV excitation of PtBr62− and PtCl62− complexes in water and methanol. Russ. Chem. Bull. 2015, 64, 1784–1795. [Google Scholar] [CrossRef]
- Glebov, E.M.; Plyusnon, V.F.; Grivin, V.P.; Venediktov, A.B.; Korenev, S.V. Photochemistry of PtBr62− in aqueous solution. Russ. Chem. Bull. 2007, 56, 2357–2363. [Google Scholar] [CrossRef]
- Glebov, E.M.; Kolomeets, A.V.; Pozdnyakov, I.P.; Grivin, V.P.; Plyusnon, V.F.; Tkachenko, N.V.; Lemmetyinen, H. Chain processes in the photochemistry of PtIV halide complexes in aqueous solutions. Russ. Chem. Bull. 2013, 62, 1540–1548. [Google Scholar] [CrossRef]
- Glebov, E.M.; Plyusnon, V.F. On the Cause of Solvent Effect in PtIVCl62− Photochemistry. High Energy Chem. 2021, 55, 203–211. [Google Scholar] [CrossRef]
- Matveeva, S.G.; Grivin, V.P.; Plyusnin, V.F.; Vasilchenko, D.B.; Glebov, E.M. Mechanism of chain photochemical reaction of (n-Bu4N)2[PtCl6] in chloroform. J. Photochem. Photobiol. A 2018, 359, 80–86. [Google Scholar] [CrossRef]
- Grivin, V.P.; Matveeva, S.G.; Fedunov, R.G.; Yanshole, V.V.; Vasilchenko, D.B.; Glebov, E.M. Photochemistry of (n-Bu4N)2[Pt(NO3)6] in acetonitrile. Photochem. Photobiol. Sci. 2024, 23, 747–755. [Google Scholar] [CrossRef] [PubMed]
- Luinstra, G.A.; Wang, L.; Stahl, S.S.; Labinger, J.A.; Bercaw, J.E. C–H Activation by Aqueous Platinum Complexes: A Mechanistic Study. J. Organomet. Chem. 1995, 504, 75–91. [Google Scholar] [CrossRef]








| [Pr4N]2[PtCl6] δ/ppm | [Bu4N]2[PtCl6] δ/ppm | [Pe4N]2[PtCl6] δ/ppm | |||
|---|---|---|---|---|---|
| 195Pt | 1H | 195Pt | 1H | 195Pt | 1H |
| −2567 * | 4.4; 4.2; 3.4; 1.6 | −2570 * | 4.15; 3.45; 1.56 | −2573 * | 4.4; 4.3; 3.4; 1.6 |
| −2530 | 5.6; 5.2; 1.5 | −2567 * | 4.39; 4.33 | −2569 * | 4.4; 4.3; 1.6 |
| −2520 | 4.5; 4.4; 1.6 | −2550 | 4.43; 4.18 | −2559 | 4.5; 4.2; 1.5 |
| −2431 * | 5.7; 1.6 | −2536 | 4.50; 4.38 | −2555 | 4.4; 4.2; 1.6 |
| −2431 | 5.74; 1.58 | −2543 | 4.8; 4.5; 4.2; 1.7 | ||
| −2521 | 4.5; 4.4; 1.6 | ||||
| −2434 | 1.6 | ||||
| Substrates | Quantities |
|---|---|
| (Pe4N)2[PtCl6] | 21.30 mg (0.02 mmol in dry acetone (1 cm3) |
| (Pr4N)2[PtCl6] | 14.67 mg (0.02 mmol) in dry acetone (12.5 cm3) |
| (Pr4N)2[PtCl6] | 3.57 mg (0.0045 mmol) in CD2Cl2 (0.5 cm3) |
| (Bu4P)2[PtCl6] | 8.24 mg (0.008 mmol) in d6-acetone (2 cm3) |
| Substrates | Quantities |
|---|---|
| (PPN)[PtCl3(2-butene)] | 9.14 mg (0.01 mmol) + (PPN)2[PtCl6] (14.50 mg, 0.01 mmol) in CD2Cl2 illuminated with λ > 305 nm |
| (PPN)[PtCl3(1-butene)] | 9.01 mg (0.01 mmol) + (PPN)2[PtCl6] (13.53 mg, 0.01 mmol) in CD2Cl2 illuminated with λ > 305 nm |
| (PPN)[PtCl3(1-butene)] | 8.19 mg (0.013 mmol) + (PPN)2[PtCl6] (15.34 mg, 0.016 mmol) in CD2Cl2 heated under reflux in the dark. |
| (Bu4N)[PtCl3(1-butene)] | 18.56 mg (0.03 mmol) in d6-acetone illuminated with λ > 305 nm. |
Disclaimer/Publisher’s Note: The statements, opinions and data contained in all publications are solely those of the individual author(s) and contributor(s) and not of MDPI and/or the editor(s). MDPI and/or the editor(s) disclaim responsibility for any injury to people or property resulting from any ideas, methods, instructions or products referred to in the content. |
© 2025 by the authors. Licensee MDPI, Basel, Switzerland. This article is an open access article distributed under the terms and conditions of the Creative Commons Attribution (CC BY) license (https://creativecommons.org/licenses/by/4.0/).
Share and Cite
Silalahi, I.H.; Shafikov, M.Z.; Sen, A.; Groves, P.; Whitwood, A.C.; Chechik, V.; Dessent, C.E.H.; Bruce, D.W. Mechanistic Aspects of the Photofunctionalisation of Tetraalkylammonium Cations by [PtCl6]2−. Inorganics 2025, 13, 362. https://doi.org/10.3390/inorganics13110362
Silalahi IH, Shafikov MZ, Sen A, Groves P, Whitwood AC, Chechik V, Dessent CEH, Bruce DW. Mechanistic Aspects of the Photofunctionalisation of Tetraalkylammonium Cations by [PtCl6]2−. Inorganics. 2025; 13(11):362. https://doi.org/10.3390/inorganics13110362
Chicago/Turabian StyleSilalahi, Imelda H., Marsel Z. Shafikov, Ananya Sen, Philip Groves, Adrian C. Whitwood, Victor Chechik, Caroline E. H. Dessent, and Duncan W. Bruce. 2025. "Mechanistic Aspects of the Photofunctionalisation of Tetraalkylammonium Cations by [PtCl6]2−" Inorganics 13, no. 11: 362. https://doi.org/10.3390/inorganics13110362
APA StyleSilalahi, I. H., Shafikov, M. Z., Sen, A., Groves, P., Whitwood, A. C., Chechik, V., Dessent, C. E. H., & Bruce, D. W. (2025). Mechanistic Aspects of the Photofunctionalisation of Tetraalkylammonium Cations by [PtCl6]2−. Inorganics, 13(11), 362. https://doi.org/10.3390/inorganics13110362

