- Article
Structural, Up-Conversion Luminescence, and Electron Paramagnetic Resonance Investigations of Yb3+/Er3+-Doped LiGdF4 Nanocrystals Dispersed in Silica Glassy Matrix
- Corina Secu,
- Cristian Radu,
- Arpad Rostas and
- Mihail Secu
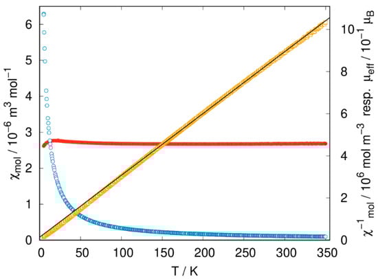
We have investigated the structural, morphological, magnetic, and up-conversion luminescence properties of the Yb3+/Er3+-doped LiGdF4 nanocrystals precipitated in the silica glassy matrix. Morphological analysis showed uniform distribution of LiGdF4...

