Hidden Magnetic-Field-Induced Multiferroic States in A-Site-Ordered Quadruple Perovskites RMn3Ni2Mn2O12: Dielectric Studies
Abstract
1. Introduction
2. Results and Discussion
2.1. R = Bi, Ce, and Nd
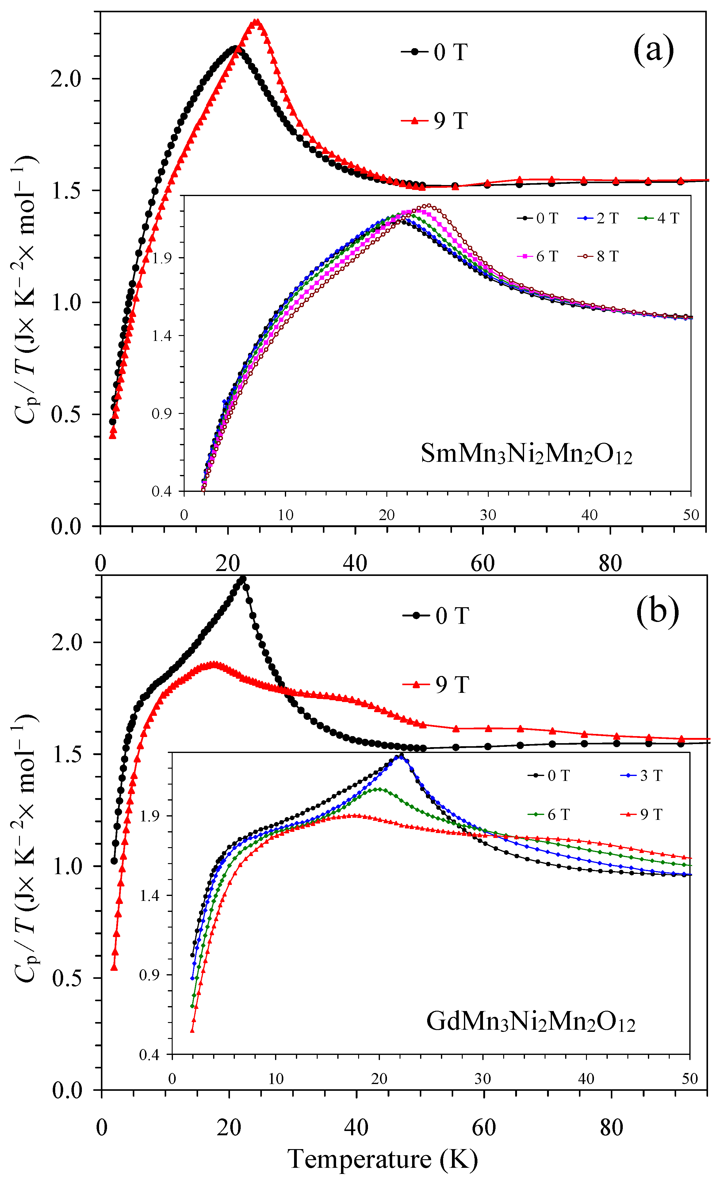
2.2. R = Sm
2.3. R = Eu
2.4. R = Gd
2.5. R = Dy
2.6. R = Ho
2.7. Lu2NiMnO6
3. Materials and Methods
4. Conclusions
Supplementary Materials
Author Contributions
Funding
Institutional Review Board Statement
Informed Consent Statement
Data Availability Statement
Acknowledgments
Conflicts of Interest
References
- Schmid, H. Multi-ferroic magnetoelectrics. Ferroelectrics 1994, 162, 317–338. [Google Scholar] [CrossRef]
- Eerenstein, W.; Mathur, N.; Scott, J.F. Multiferroic and magnetoelectric materials. Nature 2006, 442, 759–765. [Google Scholar] [CrossRef]
- Khomskii, D.I. Multiferroics: Different ways to combine magnetism and ferroelectricity. J. Magn. Magn. Mater. 2006, 306, 1–8. [Google Scholar] [CrossRef]
- Cheong, S.-W.; Mostovoy, M. Multiferroics: A magnetic twist for ferroelectricity. Nat. Mater. 2007, 6, 13–20. [Google Scholar] [CrossRef]
- Khomskii, D. Classifying multiferroics: Mechanisms and effects. Physics 2009, 2, 20. [Google Scholar] [CrossRef]
- Tokura, Y.; Seki, S.; Nagaosa, N. Multiferroics of spin origin. Rep. Prog. Phys. 2014, 77, 076501. [Google Scholar] [CrossRef]
- Fiebig, M.; Lottermoser, T.; Meier, D.; Trassin, M. The evolution of multiferroics. Nat. Rev. Mater. 2016, 1, 16046. [Google Scholar] [CrossRef]
- Heron, J.T.; Trassin, M.; Ashraf, K.; Gajek, M.; He, Q.; Yang, S.Y.; Nikonov, D.E.; Chu, Y.; Salahuddin, H.S.; Ramesh, R. Electric-field-induced magnetization reversal in a ferromagnet-multiferroic heterostructure. Phys. Rev. Lett. 2011, 107, 217202. [Google Scholar] [CrossRef]
- Ueland, B.G.; Lynn, J.W.; Laver, M.; Choi, Y.J.; Cheong, S.-W. Origin of electric-field-induced magnetization in multiferroic HoMnO3. Phys. Rev. Lett. 2010, 104, 147204. [Google Scholar] [CrossRef]
- Kimura, T.; Goto, T.; Shintani, H.; Ishizaka, K.; Arima, T.; Tokura, Y. Magnetic control of ferroelectric polarization. Nature 2003, 426, 55–58. [Google Scholar] [CrossRef] [PubMed]
- Kenzelmann, M.; Harris, A.B.; Jonas, S.; Broholm, C.; Schefer, J.; Kim, S.B.; Zhang, C.L.; Cheong, S.-W.; Vajk, O.P.; Lynn, J.W. Magnetic inversion symmetry breaking and ferroelectricity in TbMnO3. Phys. Rev. Lett. 2005, 95, 087206. [Google Scholar] [CrossRef]
- Pomjakushin, V.Y.; Kenzelmann, M.; Dönni, A.; Harris, A.B.; Nakajima, T.; Mitsuda, S.; Tachibana, M.; Keller, L.; Mesot, J.; Kitazawa, H.; et al. Evidence for large electric polarization from collinear magnetism in TmMnO3. New J. Phys. 2009, 11, 043019. [Google Scholar] [CrossRef]
- Mukherjee, S.; Dönni, A.; Nakajima, T.; Mitsuda, S.; Tachibana, M.; Kitazawa, H.; Pomjakushin, V.; Keller, L.; Niedermayer, C.; Scaramucci, A.; et al. E-type noncollinear magnetic ordering in multiferroic o-LuMnO3. Phys. Rev. B 2017, 95, 104412. [Google Scholar] [CrossRef]
- Tokunaga, Y.; Iguchi, S.; Arima, T.; Tokura, Y. Magnetic-field-induced ferroelectric state in DyFeO3. Phys. Rev. Lett. 2008, 101, 097205. [Google Scholar] [CrossRef] [PubMed]
- Tokunaga, Y.; Taguchi, Y.; Arima, T.H.; Tokura, Y. Electric-field-induced generation and reversal of ferromagnetic moment in ferrites. Nat. Phys. 2012, 8, 838–844. [Google Scholar] [CrossRef]
- Bousquet, E.; Cano, A. Non-collinear magnetism in multiferroic perovskites. J. Phys. Condens. Matter 2016, 28, 123001. [Google Scholar] [CrossRef] [PubMed]
- Lee, J.-H.; Jeong, Y.K.; Park, J.H.; Oak, M.-A.; Jang, H.M.; Son, J.Y.; Scott, J.F. Spin-canting-induced improper ferroelectricity and spontaneous magnetization reversal in SmFeO3. Phys. Rev. Lett. 2011, 107, 117201. [Google Scholar] [CrossRef]
- Johnson, R.D.; Terada, N.; Radaelli, P.G. Comment on “Spin-canting-induced improper ferroelectricity and spontaneous magnetization reversal in SmFeO3”. Phys. Rev. Lett. 2012, 108, 219701. [Google Scholar] [CrossRef] [PubMed]
- Kuo, C.-Y.; Drees, Y.; Fernández-Díaz, M.T.; Zhao, L.; Vasylechko, L.; Sheptyakov, D.; Bell, A.M.T.; Pi, T.W.; Lin, H.-J.; Wu, M.-K.; et al. k = 0 magnetic structure and absence of ferroelectricity in SmFeO3. Phys. Rev. Lett. 2014, 113, 217203. [Google Scholar] [CrossRef]
- Rajeswaran, B.; Sanyal, D.; Chakrabarti, M.; Sundarayya, Y.; Sundaresan, A.; Rao, C.N.R. Interplay of 4f-3d magnetism and ferroelectricity in DyFeO3. EPL 2013, 101, 17001. [Google Scholar] [CrossRef]
- Saha, R.; Sundaresan, A.; Rao, C.N.R. Novel features of multiferroic and magnetoelectric ferrites and chromites exhibiting magnetically driven ferroelectricity. Mater. Horiz. 2014, 1, 20–31. [Google Scholar] [CrossRef]
- Oliveira, G.N.P.; Teixeira, R.C.; Moreira, R.P.; Correia, J.G.; Araújo, J.P.; Lopes, A.M.L. Local inhomogeneous state in multiferroic SmCrO3. Sci. Rep. 2020, 10, 4686. [Google Scholar] [CrossRef]
- Zvezdin, A.K.; Gareeva, Z.V.; Chen, X.M. Multiferroic order parameters in rhombic antiferromagnets RCrO3. J. Phys. Condens. Matter 2021, 33, 385801. [Google Scholar] [CrossRef]
- Prado-Gonjal, J.; Schmidt, R.; Romero, J.-J.; Ávila, D.; Amador, U.; Morán, E. Microwave-assisted synthesis, microstructure, and physical properties of rare-earth chromites. Inorg. Chem. 2013, 52, 313–320. [Google Scholar] [CrossRef]
- Zhang, C.; Zhang, T.; Ge, L.; Wang, S.; Yuan, H.; Feng, S. Hydrothermal synthesis and multiferroic properties of Y2NiMnO6. RSC Adv. 2014, 4, 50969–50974. [Google Scholar] [CrossRef]
- Su, J.; Yang, Z.; Lu, X.; Zhang, J.; Gu, L.; Lu, C.; Li, Q.; Liu, J.; Zhu, J. Magnetism-driven ferroelectricity in double perovskite Y2NiMnO6. ACS Appl. Mater. Interfaces 2015, 7, 13260–13265. [Google Scholar] [CrossRef]
- Nhalil, H.; Nair, H.S.; Kumar, C.M.N.; Strydom, A.M.; Elizabeth, S. Ferromagnetism and the effect of free charge carriers on electric polarization in the double perovskite Y2NiMnO6. Phys. Rev. B 2015, 92, 214426. [Google Scholar] [CrossRef]
- Sánchez-Benítez, J.; Martínez-Lope, M.J.; Alonso, J.A.; García-Muñoz, J.L. Magnetic and structural features of the NdNi1−xMnxO3 perovskite series investigated by neutron diffraction. J. Phys. Condens. Matter 2011, 23, 226001. [Google Scholar] [CrossRef] [PubMed]
- Retuerto, M.; Muñoz, Á.; Martínez-Lope, M.J.; Alonso, J.A.; Mompeán, F.J.; Fernández-Díaz, M.T.; Sánchez-Benítez, J. Magnetic interactions in the double perovskites R2NiMnO6 (R = Tb, Ho, Er, Tm) investigated by neutron diffraction. Inorg. Chem. 2015, 54, 10890–10900. [Google Scholar] [CrossRef] [PubMed]
- Booth, R.J.; Fillman, R.; Whitaker, H.; Nag, A.; Tiwari, R.M.; Ramanujachary, K.V.; Gopalakrishnan, J.; Lofland, S.E. An investigation of structural, magnetic and dielectric properties of R2NiMnO6 (R = rare earth, Y). Mater. Res. Bull. 2009, 44, 1559–1564. [Google Scholar] [CrossRef]
- Nasir, M.; Kumar, S.; Patra, N.; Bhattacharya, D.; Jha, S.N.; Basaula, D.R.; Bhatt, S.; Khan, M.; Liu, S.-W.; Biring, S.; et al. Role of antisite disorder, rare-earth size, and superexchange angle on band gap, Curie temperature, and magnetization of R2NiMnO6 double perovskites. ACS Appl. Electron. Mater. 2019, 1, 141–153. [Google Scholar] [CrossRef]
- Asai, K.; Fujiyoshi, K.; Nishimori, N.; Satoh, Y.; Kobayashi, Y.; Mizoguchi, M. Magnetic properties of REMe0.5Mn0.5O3 (RE = rare earth element, Me = Ni, Co). J. Phys. Soc. Jpn. 1998, 67, 4218–4228. [Google Scholar] [CrossRef]
- Sobolev, A.V.; Glazkova, I.S.; Akulenko, A.A.; Sergueev, I.; Chumakov, A.I.; Yi, W.; Belik, A.A.; Presniakov, I.A. 61Ni nuclear forward scattering study of magnetic hyperfine interactions in double perovskites A2NiMnO6 (A = Sc, In, Tl). J. Phys. Chem. 2019, 123, 23628–23634. [Google Scholar] [CrossRef]
- Ding, L.; Khalyavin, D.D.; Manuel, P.; Blake, J.; Orlandi, F.; Yi, W.; Belik, A.A. Colossal magnetoresistance in the insulating ferromagnetic double perovskites Tl2NiMnO6: A neutron diffraction study. Acta Mater. 2019, 173, 20–26. [Google Scholar] [CrossRef]
- Terada, N.; Colin, C.V.; Qureshi, N.; Hansen, T.; Matsubayashi, K.; Uwatoko, Y.; Belik, A.A. Pressure-induced incommensurate antiferromagnetic order in a ferromagnetic B-site ordered double-perovskite Lu2NiMnO6. Phys. Rev. B 2020, 102, 094412. [Google Scholar] [CrossRef]
- Zhang, C.; Zhu, W.; Yuan, L.; Yuan, H. B-site ordering, magnetic and dielectric properties of hydrothermally synthesized Lu2NiMnO6. J. Alloys Compd. 2018, 744, 395–403. [Google Scholar] [CrossRef]
- Chanda, S.; Saha, S.; Dutta, A.; Murthy, J.K.; Venimadhav, A.; Shannigrahi, S.; Sinha, T.P. Magnetic ordering and conduction mechanism of different electroactive regions in Lu2NiMnO6. J. Appl. Phys. 2016, 120, 134102. [Google Scholar] [CrossRef]
- Zhang, L.; Shi, T.L.; Cao, J.J.; Yan, S.M.; Fang, Y.; Han, Z.D.; Qian, B.; Jiang, X.F.; Wang, D.H. Critical behavior and magnetocaloric effect in the multiferroic double perovskite Lu2NiMnO6. J. Alloys Compd. 2018, 763, 613–621. [Google Scholar] [CrossRef]
- Katari, V.; Babu, P.D.; Mishra, S.K.; Mittal, R.; Bevara, S.; Achary, S.N.; Deshpande, S.K.; Tyagi, A.K. Effect of preparation conditions on magnetic and dielectric properties of Y2MMnO6 (M = Co, Ni). J. Am. Ceram. Soc. 2016, 99, 499–506. [Google Scholar] [CrossRef]
- Kakarla, D.C.; Jyothinagaram, K.M.; Das, A.K.; Adyam, V. Dielectric and magnetodielectric properties of R2NiMnO6 (R = Nd, Eu, Gd, Dy, and Y). J. Am. Ceram. Soc. 2014, 97, 2858–2866. [Google Scholar] [CrossRef]
- Zhang, C.Y.; Wang, Z.Z.; Yuan, L.; Ti, R.X.; Wu, H.R.; Yuan, H.M. Double perovskites R2NiMnO6 with small R3+ cations: Magnetic interactions tuned by R3+ ionic radius and the role of orbital ordering. J. Alloys Compd. 2025, 1039, 182997. [Google Scholar] [CrossRef]
- Shannon, R.D. Revised effective ionic radii and systematic studies of interatomic distances in halides and chalcogenides. Acta Crystall. A 1976, 32, 751–767. [Google Scholar] [CrossRef]
- Yi, W.; Princep, A.J.; Guo, Y.F.; Johnson, R.D.; Khalyavin, D.D.; Manuel, P.; Senyshyn, A.; Presniakov, I.A.; Sobolev, A.V.; Matsushita, Y.; et al. Sc2NiMnO6: A double-perovskite with a magnetodielectric response driven by multiple magnetic orders. Inorg. Chem. 2015, 54, 8012–8021. [Google Scholar] [CrossRef] [PubMed]
- Yi, W.; Liang, Q.F.; Matsushita, Y.; Tanaka, M.; Belik, A.A. High-pressure synthesis, crystal structure, and properties of In2NiMnO6 with antiferromagnetic order and field-induced phase transition. Inorg. Chem. 2013, 52, 14108–14115. [Google Scholar] [CrossRef] [PubMed]
- Terada, N.; Khalyavin, D.D.; Manuel, P.; Yi, W.; Suzuki, H.S.; Tsujii, N.; Imanaka, Y.; Belik, A.A. Ferroelectricity induced by ferriaxial crystal rotation and spin helicity in a B-site-ordered double-perovskite multiferroic In2NiMnO6. Phys. Rev. B 2015, 91, 104413. [Google Scholar] [CrossRef]
- Vasil’ev, A.N.; Volkova, O.S. New functional materials AC3B4O12 (Review). Low Temp. Phys. 2007, 33, 895–914. [Google Scholar] [CrossRef]
- Long, Y. A-site ordered quadruple perovskite oxides AA′3B4O12. Chin. Phys. B 2016, 25, 078108. [Google Scholar] [CrossRef]
- Yamada, I. Novel catalytic properties of quadruple perovskites. Sci. Technol. Adv. Mater. 2017, 18, 541–548. [Google Scholar] [CrossRef]
- Belik, A.A.; Johnson, R.D.; Khalyavin, D.D. The rich physics of A-site-ordered quadruple perovskite manganites AMn7O12. Dalton Trans. 2021, 50, 15458–15472. [Google Scholar] [CrossRef]
- Solana-Madruga, E.; Arevalo-Lopez, A.M. High-pressure A-site manganites: Structures and magnetic properties. J. Solid State Chem. 2022, 315, 123470. [Google Scholar] [CrossRef]
- Ding, J.; Zhu, X.H. Research progress on quadruple perovskite oxides. J. Mater. Chem. C 2024, 12, 9510–9561. [Google Scholar] [CrossRef]
- Belik, A.A. A site-ordered quadruple perovskites, RMn3Ni2Mn2O12 with R = Bi, Ce, and Ho, with different degrees of B site ordering. Molecules 2025, 30, 1749. [Google Scholar] [CrossRef]
- Yin, Y.Y.; Liu, M.; Dai, J.H.; Wang, X.; Zhou, L.; Cao, H.; Cruz, C.D.; Chen, C.T.; Xu, Y.; Shen, X.; et al. LaMn3Ni2Mn2O12: An A-and B-site ordered quadruple perovskite with A-site tuning orthogonal spin ordering. Chem. Mater. 2016, 28, 8988–8996. [Google Scholar] [CrossRef]
- Liu, M.; Hu, C.-E.; Cheng, C.; Chen, X.R. A–B-intersite-dependent magnetic order and electronic structure of LaMn3Ni2Mn2O12: A first-principles study. J. Phys. Chem. C 2018, 122, 1946–1954. [Google Scholar] [CrossRef]
- Belik, A.A.; Liu, R.; Tanaka, M.; Yamaura, K. B-site-ordered and disordered structures in A-site-ordered quadruple perovskites RMn3Ni2Mn2O12 with R = Nd, Sm, Gd, and Dy. Molecules 2024, 29, 5488. [Google Scholar] [CrossRef]
- Kittel, C.; McEuen, P. Introduction to Solid State Physics; John Wiley & Sons, Inc.: New York, NY, USA, 2005. [Google Scholar]
- Higashiyama, D.; Miyasaka, S.; Tokura, Y. Magnetic-field-induced polarization and depolarization in HoMn2O5 and ErMn2O5. Phys. Rev. B 2005, 72, 064421. [Google Scholar] [CrossRef]
- Mihailova, B.; Gospodinov, M.M.; Güttler, B.; Yen, F.; Litvinchuk, A.P.; Iliev, M.N. Temperature-dependent Raman spectra of HoMn2O5 and TbMn2O5. Phys. Rev. B 2005, 71, 172301. [Google Scholar] [CrossRef]
- Radulov, I.; Nizhankovskii, V.I.; Lovchinov, V.; Dimitrov, D.; Apostolov, A. Colossal magnetostriction effect in HoMn2O5. Eur. Phys. J. B 2006, 52, 361–364. [Google Scholar] [CrossRef]
- Tzankov, D.; Skumryev, V.; Aroyo, M.; Puzniak, R.; Kuz’min, M.D.; Mikhov, M. Magnetic anisotropy of multiferroic HoMn2O5 single crystal. Solid State Commun. 2008, 147, 212–216. [Google Scholar] [CrossRef]
- Boldrin, M.; Bagri, A.; Barlettani, D.; Teather, E.; Squillante, L.; de Souza, M.; Pontes, R.B.; Silva, A.G.; Mori, T.J.A.; Perry, R.; et al. Magnetostriction as the origin of the magnetodielectric effect in La2CoMnO6. Phys. Rev. Mater. 2025, 9, 094403. [Google Scholar] [CrossRef]
- Manikandan, M.; Ghosh, A.; Mahendiran, R. Giant magnetostriction in La2CoMnO6 synthesized by microwave irradiation. Appl. Phys. Lett. 2023, 123, 022403. [Google Scholar] [CrossRef]
- Izumi, F.; Ikeda, T. A Rietveld-analysis program RIETAN-98 and its applications to zeolites. Mater. Sci. Forum 2000, 321–324, 198–205. [Google Scholar] [CrossRef]
- Kumar, R.; Sundaresan, A. Unveiling a hidden multiferroic state under magnetic fields in BaHoFeO4. Phys. Rev. B 2023, 107, 184420. [Google Scholar] [CrossRef]














Disclaimer/Publisher’s Note: The statements, opinions and data contained in all publications are solely those of the individual author(s) and contributor(s) and not of MDPI and/or the editor(s). MDPI and/or the editor(s) disclaim responsibility for any injury to people or property resulting from any ideas, methods, instructions or products referred to in the content. |
© 2025 by the authors. Licensee MDPI, Basel, Switzerland. This article is an open access article distributed under the terms and conditions of the Creative Commons Attribution (CC BY) license (https://creativecommons.org/licenses/by/4.0/).
Share and Cite
Belik, A.A.; Liu, R.; Yamaura, K. Hidden Magnetic-Field-Induced Multiferroic States in A-Site-Ordered Quadruple Perovskites RMn3Ni2Mn2O12: Dielectric Studies. Inorganics 2025, 13, 315. https://doi.org/10.3390/inorganics13100315
Belik AA, Liu R, Yamaura K. Hidden Magnetic-Field-Induced Multiferroic States in A-Site-Ordered Quadruple Perovskites RMn3Ni2Mn2O12: Dielectric Studies. Inorganics. 2025; 13(10):315. https://doi.org/10.3390/inorganics13100315
Chicago/Turabian StyleBelik, Alexei A., Ran Liu, and Kazunari Yamaura. 2025. "Hidden Magnetic-Field-Induced Multiferroic States in A-Site-Ordered Quadruple Perovskites RMn3Ni2Mn2O12: Dielectric Studies" Inorganics 13, no. 10: 315. https://doi.org/10.3390/inorganics13100315
APA StyleBelik, A. A., Liu, R., & Yamaura, K. (2025). Hidden Magnetic-Field-Induced Multiferroic States in A-Site-Ordered Quadruple Perovskites RMn3Ni2Mn2O12: Dielectric Studies. Inorganics, 13(10), 315. https://doi.org/10.3390/inorganics13100315

