High Sensitivity Fiber Refractive Index Sensors Based on Asymmetric Supermodes Interference in Tapered Four Core Fiber
Abstract
:1. Introduction
2. Fabrication, Experimental Set-Up and Working Principle
3. Measurements and Discussions
4. Conclusions
Author Contributions
Funding
Institutional Review Board Statement
Informed Consent Statement
Data Availability Statement
Acknowledgments
Conflicts of Interest
References
- Leung, C.K.Y.; Wan, K.T.; Inaudi, D.; Bao, X.; Habel, W.; Zhou, Z.; Ou, J.; Ghandehari, M.; Wu, H.C.; Imai, M. Review: Optical fifiber sensors for civil engineering applications. Mater. Struct. 2015, 48, 871–906. [Google Scholar] [CrossRef] [Green Version]
- Barrera, D.; Finazzi, V.; Villatoro, J.; Sales, S.; Pruneri, V. Packaged optical sensors based on regenerated fifiber Bragg gratings for high temperature applications. IEEE Sens. J. 2012, 12, 107–112. [Google Scholar] [CrossRef]
- Yadav, T.K.; Narayanaswamy, R.; Abu Bakar, M.H.; Kamil, Y.M.; Mahdi, M.A. Single mode tapered fiber-optic interferometer based refractive index sensor and its application to protein sensing. Opt. Express 2014, 22, 22802–22807. [Google Scholar] [CrossRef]
- Liehr, S.; Lenke, P.; Wendt, M.; Krebber, K.; Seeger, M.; Thiele, E.; Metschies, H.; Gebreselassie, B.; Munich, J.C. Polymer optical fiber sensors for distributed strain measurement and application in structural health monitoring. IEEE Sens. J. 2009, 9, 1330–1338. [Google Scholar] [CrossRef]
- Tsiminis, G.; Klarić, T.S.; Schartner, E.P.; Warren-Smith, S.C.; Lewis, M.D.; Koblar, S.A.; Monro, T.M. Generating and measuring photochemical changes inside the brain using optical fifibers: Exploring stroke. Biomed. Opt. Express 2014, 5, 3975–3980. [Google Scholar] [CrossRef] [Green Version]
- Macho, A.; Morant, M.; Llorente, R. Experimental evaluation of nonlinear crosstalk in multi-core fiber. Opt. Express 2015, 23, 18712–18720. [Google Scholar] [CrossRef]
- Silva-Lopez, M.; Macpherson, W.N.; Li, C.; Moore, A.J.; Barton, J.S.; Jones, J.D.C.; Zhao, D.; Zhang, L.; Bennion, I. Transverse load and orientation measurement with multicore fiber Bragg gratings. Appl. Opt. 2005, 44, 6890–6897. [Google Scholar] [CrossRef] [Green Version]
- Luís, R.S.; Rademacher, G.; Puttnam, B.J.; Eriksson, T.A.; Furukawa, H.; Ross-Adams, A.; Gross, S.; Withford, M.; Riesen, N.; Sasaki, Y.; et al. 1.2 Pb/s throughput transmission using a 160 μm cladding, 4-core, 3-mode fiber. J. Lightwave Technol. 2019, 37, 1798–1804. [Google Scholar] [CrossRef]
- Hayashi, T.; Tamura, Y.; Hasegawa, T.; Taru, T. Record-low spatial mode dispersion and ultra-low loss coupled multi-core fiber for ultra-long-haul transmission. J. Lightwave Technol. 2017, 35, 450–457. [Google Scholar] [CrossRef]
- Diamantopoulos, N.P.; Shikama, K.; Nishi, H.; Fujii, T.; Kishi, T.; Takeda, K.; Abe, Y.; Matsui, T.; Kakitsuka, T.; Fukuda, H.; et al. 400-Gb/s DMT-SDM transmission based on membrane DML-array-on-silicon. J. Lightwave Technol. 2019, 37, 1805–1812. [Google Scholar] [CrossRef]
- Hayashi, T.; Tamura, Y.; Hasegawa, T.; Taru, T. 125-µm-cladding coupled multi-core fiber with ultra-low loss of 0.158 dB/km and record-low spatial mode dispersion of 6.1 ps/km1/2. In Proceedings of the Optical Fiber Communication Conference (OFC), Anaheim, CA, USA, 20–24 March 2016; Available online: https://ieeexplore.ieee.org/xpl/conhome/7518994/proceeding (accessed on 18 December 2021).
- Chen, W.; Chen, Z.; Qiu, Y.; Kong, L.; Lin, H.; Jia, C.; Chen, H.; Li, H. Highly sensitive optical fiber curvature sensor based on a seven-core fiber with a twisted structure. Appl. Opt. 2019, 58, 8776–8784. [Google Scholar] [CrossRef]
- Zhang, S.; Zhou, A.; Guo, H.; Zhao, Y.; Yuan, L. Highly sensitive vector curvature sensor based on a triple-core fiber interferometer. OSA Contin. 2019, 2, 1953. [Google Scholar] [CrossRef]
- Li, H.; Li, H.; Meng, F.; Lou, X.; Zhu, L. All-fiber MZI sensor based on seven-core fiber and fiber ball symmetrical structure. Opt. Lasers Eng. 2019, 112, 1–6. [Google Scholar] [CrossRef]
- Kochanowicz, M.; Dorosz, D.; Zmoyda, J. Coherent beam combining of active multicore optical fiber. Proc. SPIE 2009, 7502, 750225. [Google Scholar] [CrossRef]
- Prevost, F.; Lombard, L.; Primot, J.; Ramirez, L.P.; Bigot, L.; Bouwans, G.; Hanna, M. Coherent beam combining of a narrow-linewidth long-pulse Er3+-doped multicore fiber amplifier. Opt. Express 2017, 25, 9528–9534. [Google Scholar] [CrossRef] [Green Version]
- Shirakawa, A.; Saitou, T.; Sekiguchi, T.; Ueda, K. Coherent addition of fiber lasers by use of a fiber coupler. Opt. Express 2002, 10, 1167–1172. [Google Scholar] [CrossRef] [PubMed]
- Delgado, G.S.; Newkirk, A.V.; Lopez, J.E.A.; Rios, A.M.; Schulzgen, A.; Correa, R.A. Compact fiber-optic curvature sensor based on super-mode interference in a seven-core fiber. Opt. Lett. 2015, 40, 1468–1471. [Google Scholar] [CrossRef]
- Xia, C.; Bai, N.; Ozdur, I.; Zhou, X.; Li, G. Supermodes for optical transmission. Opt. Express 2011, 19, 16653–16664. [Google Scholar] [CrossRef]
- Jiang, Y.; Wang, T.; Liu, C.; Feng, D.; Jiang, B.; Yang, D.; Zhao, J. Simultaneous measurement of refractive index and temperature with high sensitivity based on a multipath fiber Mach-Zehnder interferometer. Appl. Opt. 2019, 58, 4085–4090. [Google Scholar] [CrossRef] [PubMed]
- Villatoro, J.; Arrizabalaga, O.; Antonio-Lopez, E.; Zubia, J.; Ocariz, R.S. Multicore Fiber Sensors; OFC: Los Angeles, CA, USA, 2017; Available online: https://ieeexplore.ieee.org/xpl/conhome/7932337/proceeding (accessed on 18 December 2021).
- Xia, C.; Eftekhar, M.A.; Correa, R.A.; Antonio-Lopez, J.E.; Schulzgen, A.; Christodoulides, D. Supermodes in coupled multi-core waveguide structures. IEEE J. Sel. Top. Quantum Electron. 2016, 22, 196–207. [Google Scholar] [CrossRef]
- Yan, D.; Tian, Z.; Chen, N.K.; Zhang, L.; Yao, Y.; Xie, Y.; Shum, P.P.; Garttan, K.T.V.; Wang, D. Observation of split evanescent field distributions in tapered multicore fibers for multiline nanoparticle trapping and microsensing. Opt. Express 2021, 29, 9532–9543. [Google Scholar] [CrossRef]
- Barrera, D.; Gasulla, I.; Sales, S. Multipoint two-dimensional curvature optical fiber sensor based on a nontwisted homogeneous four-core fiber. J. Lightwave Technol. 2015, 33, 2445–2450. [Google Scholar] [CrossRef]
- Askins, C.G.; Miller, G.A.; Friebele, E.J. Bend and twist sensing in a multiple-core optical fiber. In Proceedings of the 2008 Conference on Optical Fiber Communication/National Fiber Optic Engineers Conference (OFC/NFOEC), San Diego, CA, USA, 24–28 February 2008; IEEE: Piscataway, NJ, USA, 2008. [Google Scholar] [CrossRef]
- Li, C.; Ning, T.; Zhang, C.; Li, J.; Zhang, C.; Wen, X.; Lin, H.; Pei, L. All-fiber multipath Mach-Zehnder interferometer based on a four-core fiber for sensing applications. Sens. Actuator A Phys. 2016, 248, 148–154. [Google Scholar] [CrossRef]
- Shao, Z.; Qiao, X.; Rong, Q. Compact gas refractometer based on a tapered four-core fiber. Appl. Opt. 2018, 57, 10198–10206. [Google Scholar] [CrossRef]
- Bao, W.; Sahoo, N.; Sun, Z.; Wang, C.; Liu, S.; Wang, Y.; Zhang, L. Selective fiber Bragg grating inscription in four-core fiber for two-dimension vector bending sensing. Opt. Express 2020, 28, 26461–26469. [Google Scholar] [CrossRef]
- Wang, J.; Shen, C.; Lu, Y.; Chen, D.; Zhong, C.; Chu, J.; Dong, X.; Chan, C.C. Liquid refractive index sensor based on a polarization-maintaining fiber loop mirror. IEEE Sens. J. 2013, 13, 1721–1724. [Google Scholar] [CrossRef]
- Lee, K.J.; Liu, X.; Vuillem, N.; Lwin, R.; Saval, S.J.L.; Argyros, A.; Kuhlmey, B.T. Refractive index sensor based on a polymer fiber directional coupler for low index sensing. Opt. Express 2014, 22, 17497–17507. [Google Scholar] [CrossRef] [PubMed]
- Ran, Z.; Rao, Y.; Zhang, J.; Liu, Z.; Xu, B. A miniature fiber-optic refractive-index sensor based on laser-machined Fabry-Perot interferometer tip. J. Lightwave Technol. 2009, 27, 5426–5429. [Google Scholar] [CrossRef]
- Zhang, C.; Ning, T.; Li, J.; Pei, L.; Li, C.; Lin, H. Refractive index sensor based on tapered multicore fiber. Opt. Fiber Technol. 2017, 33, 71–76. [Google Scholar] [CrossRef]
- Yang, R.; Yu, Y.S.; Chen, C.; Xue, Y.; Zhang, X.; Guo, J.C.; Wang, C.; Zhu, F.; Zhang, B.; Chen, Q.; et al. S-tapered fiber sensors for highly sensitive measurement of refraAllive index and axial strain. J. Lightwave Technol. 2012, 30, 3126–3132. [Google Scholar] [CrossRef]
- Sakamoto, T.; Mori, T.; Wada, M.; Yamamoto, T.; Matsui, T.; Nakajima, K.; Yamamoto, F. Experimental and numerical evaluation of inter-core differential mode delay characteristic of weakly-coupled multi-core fiber. Opt. Express 2014, 22, 31966–31976. [Google Scholar] [CrossRef] [PubMed]
- Kokubun, Y.; Komo, T.; Takenaga, K.; Tanigawa, S.; Matsuo, S. Selective mode excitation and discrimination of four-core homogeneous coupled multi-core fiber. Opt. Express 2011, 19, B905–B914. [Google Scholar] [CrossRef] [PubMed]
- Macho, A.; Morant, M.; Llorente, R. Unified model of linear and nonlinear crosstalk in multi-core fiber. J. Lightwave Technol. 2016, 34, 3035–3046. [Google Scholar] [CrossRef]
- Shi, j.; Xiao, S.; Bi, M. Sensitivity-enhanced refractive index sensor by using tapered thin-core fiber based inline Mach-Zehnder interferometer. In Proceedings of the 2011 Asia Communications and Photonics Conference and Exhibition (ACP), Shanghai, China, 13–16 November 2011. [Google Scholar] [CrossRef]
- Yang, Z.; Sun, H.; Gang, T.; Liu, N.; Li, J.; Meng, F.; Qiao, X.; Hu, M. Refractive index and temperature sensing characteristics of an optical fiber sensor based on a tapered single mode fiber/polarization maintaining fiber. Chin. Opt. Lett. 2016, 14, 050604. Available online: https://oepn.opticsjournal.net/Articles/Abstract/col/14/5/050604.cshtml (accessed on 18 December 2021). [CrossRef]
- Zhang, L.; Zhang, W.; Chen, L.; Yan, T.; Wang, L.; Wang, B.; Zhou, Q. A fiber bending vector sensor based on M–Z interferometer exploiting two hump-shaped tapers. IEEE Photon. Technol. Lett. 2015, 27, 1240–1243. [Google Scholar] [CrossRef]
- Liu, D.; Mallik, A.K.; Yuan, J.; Yu, C.; Farrell, G.; Semenova, Y.; Wu, Q. High sensitivity refractive index sensor based on a tapered small core single-mode fiber structure. Opt. Lett. 2015, 40, 4166–4169. [Google Scholar] [CrossRef] [Green Version]





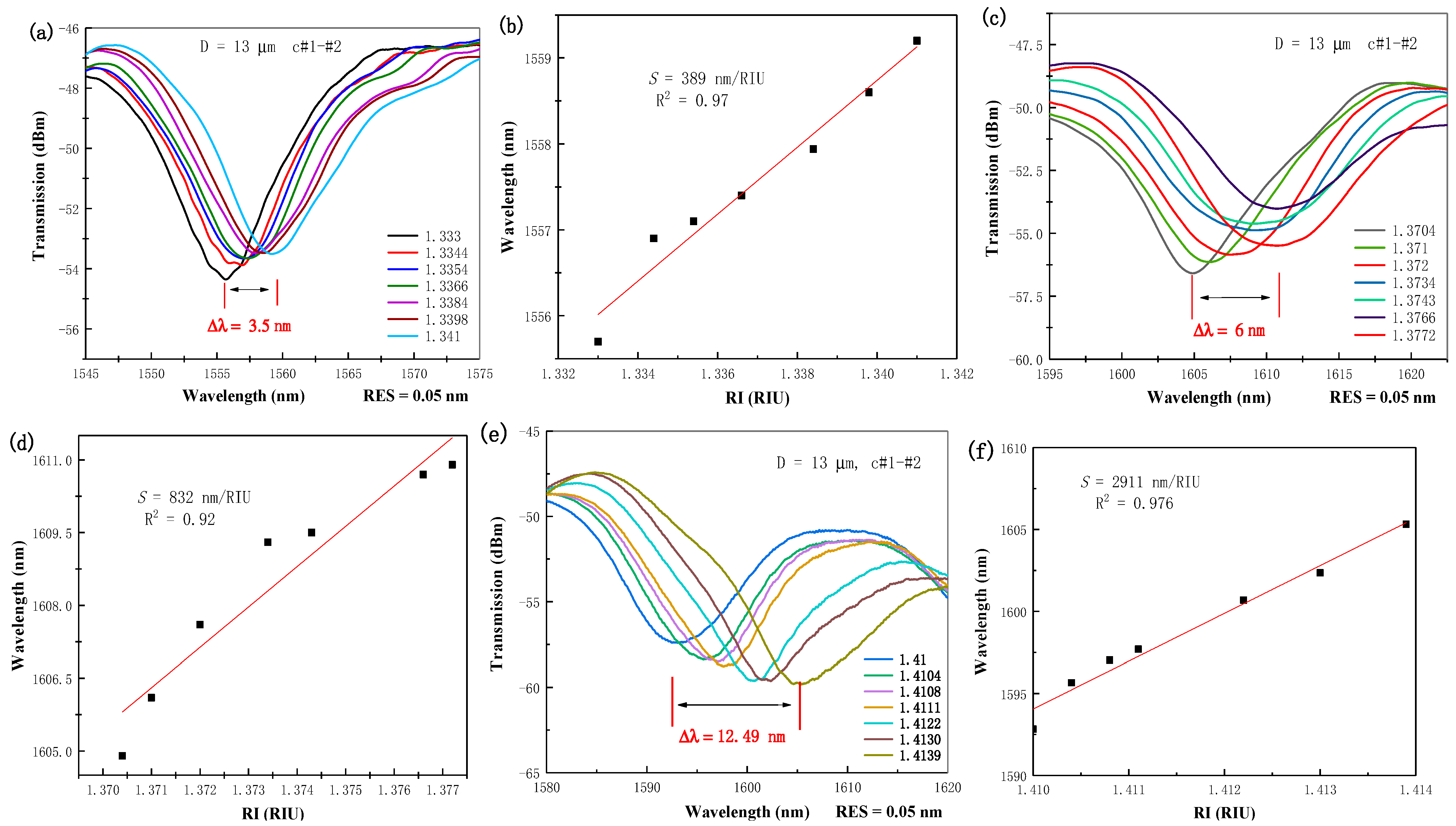
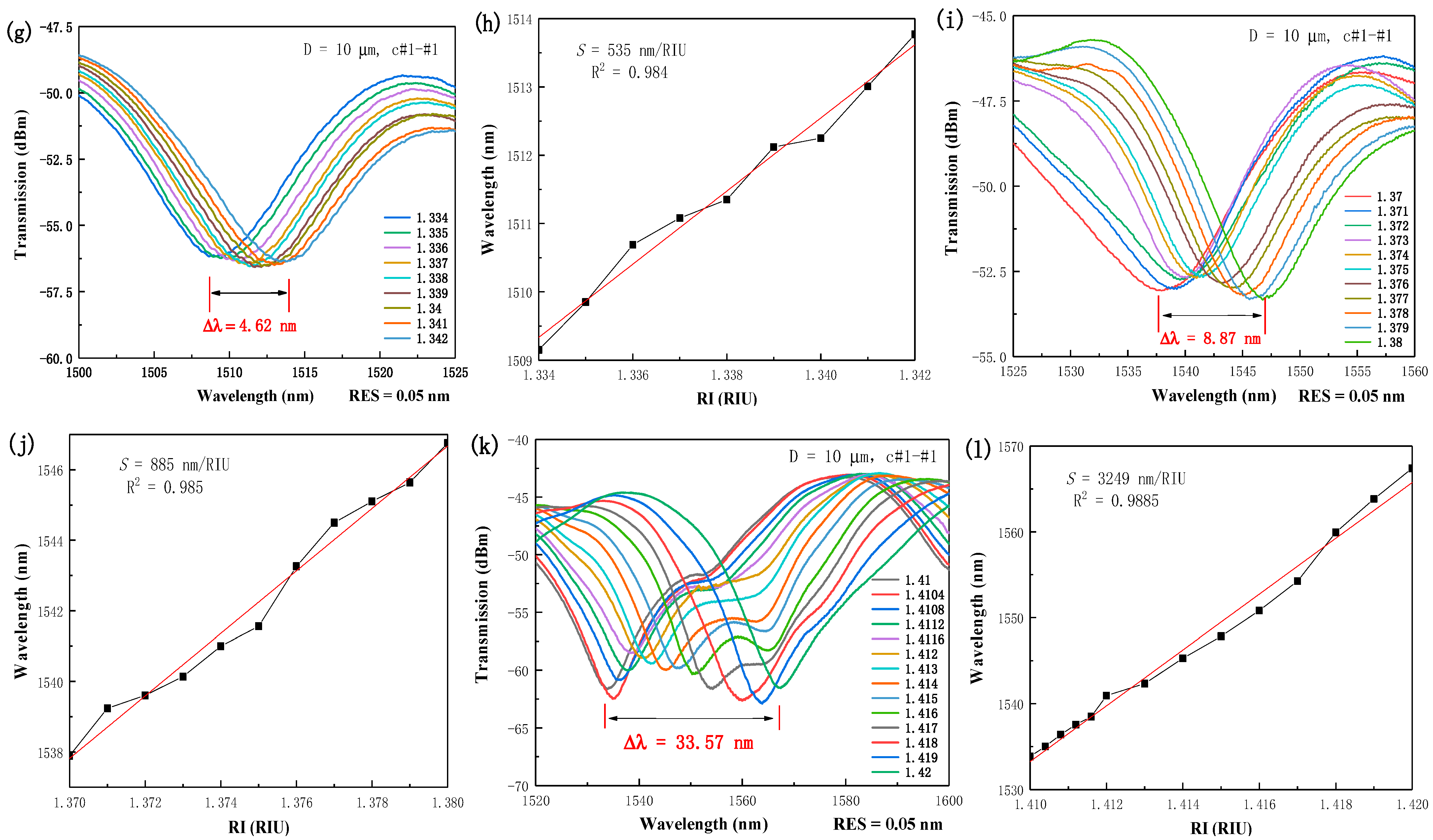
| Parameters | Sample A2 | Sample A3 | Sample A4 |
|---|---|---|---|
| Tapered diameter (D) | 15 μm | 13 μm | 10 μm |
| Tapered length (L) | 2 mm | 1.8 mm | 2.1 mm |
| Extinction ratio (ER) | 15.31 dB | 14.76 dB | 15.5 dB |
| Free spectral range (FSR) | 56.3 nm | 31.7 nm | 28.5 nm |
| Wavelength shift (Δλ) | 3.8 nm | 12.49 nm | 33.57 nm |
| Maximum index sensitivity (S) I/O Power coupling ports (c#-#) | 1213 nm/RIU c#1-#2 | 2911 nm/RIU c#1-#2 | 3249 nm/RIU c#1-#1 |
Publisher’s Note: MDPI stays neutral with regard to jurisdictional claims in published maps and institutional affiliations. |
© 2022 by the authors. Licensee MDPI, Basel, Switzerland. This article is an open access article distributed under the terms and conditions of the Creative Commons Attribution (CC BY) license (https://creativecommons.org/licenses/by/4.0/).
Share and Cite
Suo, L.; Zhou, H.; Peng, Y.-P.; Yang, F.; Chui, H.-C.; Chen, N.-K. High Sensitivity Fiber Refractive Index Sensors Based on Asymmetric Supermodes Interference in Tapered Four Core Fiber. Photonics 2022, 9, 45. https://doi.org/10.3390/photonics9010045
Suo L, Zhou H, Peng Y-P, Yang F, Chui H-C, Chen N-K. High Sensitivity Fiber Refractive Index Sensors Based on Asymmetric Supermodes Interference in Tapered Four Core Fiber. Photonics. 2022; 9(1):45. https://doi.org/10.3390/photonics9010045
Chicago/Turabian StyleSuo, Lina, Haimiao Zhou, Ya-Pei Peng, Fan Yang, Hsiang-Chen Chui, and Nan-Kuang Chen. 2022. "High Sensitivity Fiber Refractive Index Sensors Based on Asymmetric Supermodes Interference in Tapered Four Core Fiber" Photonics 9, no. 1: 45. https://doi.org/10.3390/photonics9010045
APA StyleSuo, L., Zhou, H., Peng, Y.-P., Yang, F., Chui, H.-C., & Chen, N.-K. (2022). High Sensitivity Fiber Refractive Index Sensors Based on Asymmetric Supermodes Interference in Tapered Four Core Fiber. Photonics, 9(1), 45. https://doi.org/10.3390/photonics9010045
