Abstract
A magic optical dipole trap (ODT) can confine atoms in the ground state and a highly excited state with the same light shifts, resulting in a long-range coherent lifetime between them, which plays an important role in high-fidelity quantum logic gates, multi-body physics and other quantum information. Here, we use a sum-over-states model to calculate the dynamic polarizabilities of the 6S1/2 ground state and 46S1/2 Rydberg state of Cs atoms and identify corresponding magic wavelengths and magic detunings for trapping the two states in the range of 900–1950 nm. Then, we analyze the robustness of the magic condition and the feasibility of the experimental operation. Furthermore, we estimate the trapping lifetime of Cs Rydberg atoms by considering different dissipation mechanisms, such as photon scattering and photoionization in the magic ODT. The photoexcitation and photoionization of Cs atoms under the action of three-step laser pulses are calculated by the rate equation. The presented results for magic-wavelength ODTs are of great significance for quantum information and quantum computing based on Rydberg atoms.
1. Introduction
A Rydberg atom refers to an atom in a highly excited state with a principal quantum number n > 10 [1]. Compared with low-excited atoms, Rydberg atoms have a longer radiation lifetime, a larger electric dipole moment, and more long-range controllable interactions, which make them ideal systems in the fields of multi-body physics, quantum information and precision measurements [2,3,4,5,6,7]. In the past, the capture of Rydberg atoms using magnetic traps and electrostatic traps has been both proposed and experimentally verified [8,9], but these trap architectures are inflexible. Therefore, in most experiments on cold atoms involving the confinement of ground-state atoms in a far-off-resonance optical dipole trap (ODT) and Rydberg excitation [10,11], the cold atomic sample is prepared in an ODT to hold the atoms in one position for a significant amount of time. However, traditional far-off-resonance red-detuned ODTs have an attractive potential for ground-state atoms, but they show a repulsive potential for Rydberg atoms. During their operation on Rydberg atoms, traditional ODTs make the atoms lose coherence quickly, which leads to low logic gate fidelity and a low experiment repetition rate [12,13,14,15].
In order to reduce this effect, some methods are proposed to trap Rydberg atoms [16,17,18]. In 2008, Hogan et al. demonstrated the three-dimensional electrostatic trapping of state-selected Rydberg atoms [19]. In 2011, Anderson et al. achieved the optical trapping of 87Rb Rydberg atoms in a 1064 nm optical lattice with one-dimensional ponderomotive potential through complex experimental operations [20]. Later, Barredo et al. demonstrated the three-dimensional trapping of 87Rb nS (n = 60–90) Rydberg atoms in a hollow bottle beam trap generated by a spatial light modulator, which extended the trapping lifetime relatively [21]. However, there are some issues in the above experiment. Firstly, the experimental system is rather complex and difficult to operate. Secondly, the simultaneous trapping of ground- and Rydberg-state atoms has not been achieved, leading to a relatively low experimental repeatability. To solve the above problems, a magic-wavelength ODT was proposed to trap ground- and low-excited-state atoms effectively.
To better understand the behavior and applications of Rydberg atoms, we need to study specific atomic species. Among various atoms, alkali metal atoms have only one electron in the outermost layer, and their structure is relatively simple, without the need to consider complex multi-electron problems. Furthermore, due to the lower melting points of rubidium and cesium atoms, which are slightly above room temperature, they are often used in laser cooling and trapping experiments for atoms. Compared to rubidium atoms, cesium atoms have a larger orbital radius. For atomic states with the same principal quantum number, cesium atoms are more sensitive to external electric fields and have stronger interactions between them. Therefore, cesium atoms are a more suitable choice.
Here, we extend the magic-wavelength ODT to trap Cs 6S1/2 ground-state and 46S1/2 Rydberg-state atoms simultaneously by adjusting its laser wavelength to blue detuning for auxiliary transitions, where the magic ODT has an attractive potential for ground- and Rydberg-state atoms. Firstly, we calculate the dynamic polarizabilities of the Cs 6S1/2 ground state and 46S1/2 Rydberg state in the range of 900–1950 nm, and then we find the magic wavelengths for trapping the two states. Secondly, we analyze the robustness of the magic trapping conditions and the feasibility of the experimental operation. Finally, we calculate and analyze the trapping lifetime of Rydberg atoms in the magic ODT by considering dissipation mechanisms such as photon scattering and photoionization during Rydberg excitation.
2. Trapping Principle
For alkali metal Rydberg atoms, the valence electron is far away from the nucleus, so the inner electrons and the nucleus can be regarded as an ‘atomic core’ with a positive charge, which can be treated as a hydrogen-like atom [22,23]. In order to maintain an atomic coherent state, it is necessary to trap the atom in an ODT. The trap potential depth, U, can be expressed as follows [24,25]:
where is the polarizability of the atom, I is the light intensity of the incident ODT laser, ε0 is the vacuum permittivity, and c is the speed of light in a vacuum. The interaction potential, U, is influenced by atomic polarizability and light intensity. When a certain laser intensity is selected, the different potential traps are determined by the atomic polarizability. Polarizability describes the degree to which the electron cloud distribution of atoms or molecules deviates from the normal distribution under the action of external electric fields, which can be expressed as follows [26]:
where A represents the degree of circular polarization, and j and mj represent the total angular momentum quantum number and magnetic quantum number, respectively. θk is the angle between the wave vector k and the quantized axis ez, which satisfies the relation cosθk = k·ez (for the experimental setup, the quantization magnetic field B defines ez [27,28]). θp is related to the direction of the polarizability vector ε and the quantized axis ez. θp and θk are required to satisfy the geometric relation cos2θk + cos2θp ≤ 1.
For the expressions of dynamic polarizability given in Equation (2), , , and are scalar, vector, and tensor polarizabilities, respectively. When the total angular momentum is less than 1, the tensor polarizability does not exist. As stated in reference [24], the rate of change in the relative depth of the potential well caused by the ellipticity variation of linearly polarized ODT lasers is extremely small. In this paper, all calculations were performed for linear-polarization light, where A = 0, cosθk = 1, and cosθp = 0 (at this time, the selected quantized magnetic field is parallel to the wave vector; that is, B//k). So, there are no vector and tensor components. We do not need to consider the effects of changes in θk and θp on polarizability and the magic wavelength in our research. For the 6S1/2 and 46S1/2 states, the total angular momentum quantum number j = 1/2, so its total polarizability is expressed as
The core polarizability of Cs atoms is 15.81 a.u. The oscillator strength is expressed as follows [29]:
where ΔEni = En − Ei and are the transition energy and the reduced matrix element from to , respectively. C1(r) is the first-order spherical tensor. The transition energies and related reduced matrix elements were calculated using the program in reference [30].
3. Magic Trapping of Ground and Rydberg States
3.1. Magic Condition for 6S1/2 and 46S1/2 States
The two-photon excitation scheme for the transition from the 6S1/2 ground state to the 46S1/2 Rydberg state is shown in Figure 1b. The traditional far-off-resonance red-detuned ODT has an attractive potential for ground-state atoms, but it shows a repulsive potential for Rydberg atoms, as shown in Figure 1a. After adjusting the ODT laser wavelength to blue detuning for the 46S1/2–7P3/2 auxiliary transition, ground- and Rydberg-state atoms have the same potential trap.
Figure 1.
Magic ODT for ground state and Rydberg state of Cs atoms. (a) The traditional far-off-resonance red-detuned ODT has an attractive potential for ground-state atoms, but it shows a repulsive potential for Rydberg atoms. (b) For a magic-wavelength ODT, the ground state and Rydberg state have the same potential trap.
From Equations (3) and (4), the polarizability of the state is mainly the sum of all contributions of other atomic states, , that satisfy the selection rule. Because the photon energy of the transition from the highly excited state to the ground state and the low excited state is large and the matrix element of the electric dipole transition is small, the contribution of the highly excited state to its polarizability is very small. When calculating the polarizability of the nS1/2 state, the contributions of the nP1/2 and nP3/2 states should be considered simultaneously. For the 6S1/2 and 46S1/2 states, the ranges of principal quantum numbers during the calculation are n = 6–20 and 6–100.
Since the magic wavelength for a Rydberg atom is close to the strong transition wavelength, it is necessary to consider the contributions from more atomic states that satisfy the dipole transition selection rule to the polarizability of Rydberg states in calculations [31,32]. Meanwhile, we also consider the contribution from continuum states. In order to verify the contributions of the neighboring intermediate states to the polarizability of the 46S1/2 state, we use the sum-over-states method [33] to calculate dynamic polarizabilities.
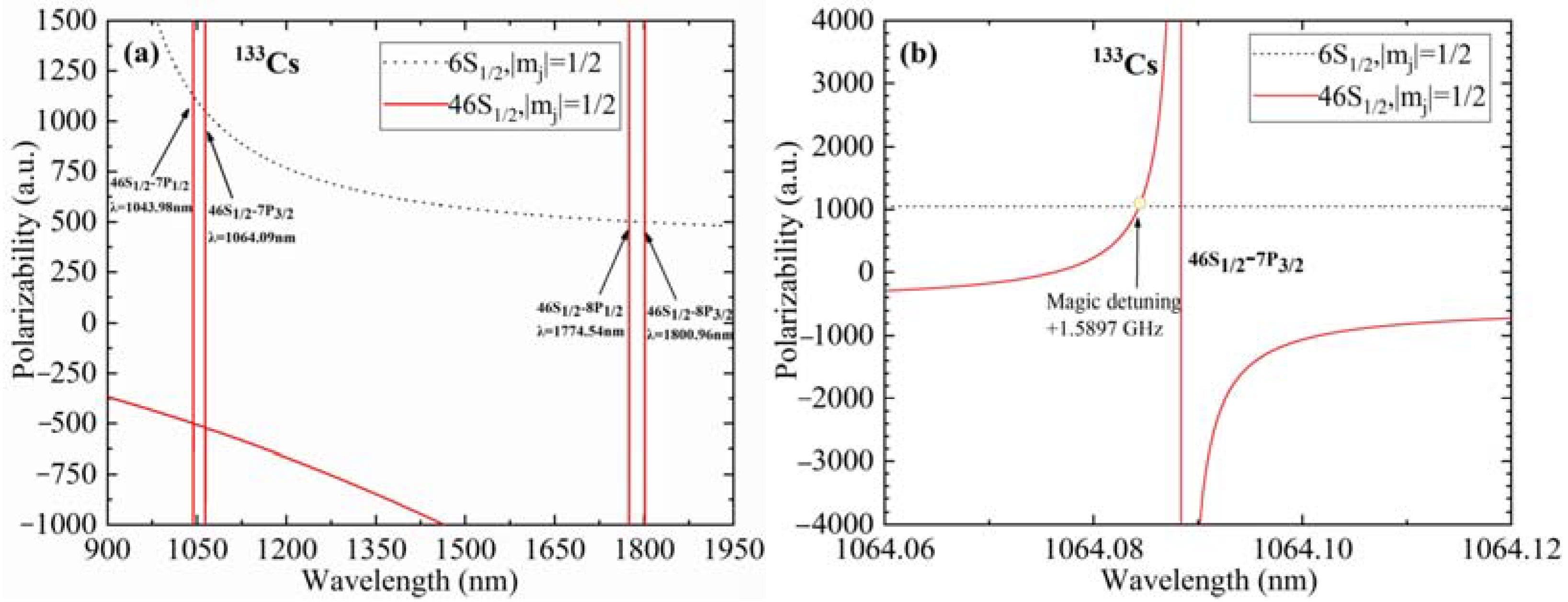
We give the dynamic polarizabilities of the 6S1/2 and 46S1/2 states in the range of 900–1950 nm and find the corresponding magic wavelength, as shown in Figure 2a. There are four auxiliary transitions corresponding to 46S1/2 ↔ 7P1/2, 46S1/2 ↔ 7P3/2, 46S1/2 ↔ 8P1/2, and 46S1/2 ↔ 8P3/2 transitions, respectively. The magic detuning and relevant wavelengths are calculated and listed in Table 1. For the 46S1/2 ↔ 7P3/2 auxiliary transition, its resonance wavelength is 1064.09 nm. The dynamic polarizabilities of the 6S1/2 and 46S1/2 states near 1064.09 nm are shown in Figure 2b. The intersection of 6S1/2 and 46S1/2 near the auxiliary transition is the magic wavelength. The polarizability at the intersection is positive, so the ground state and Rydberg state form the same potential trap.
Figure 2.
(a) The dynamic polarizabilities of the 6S1/2 ground state (black dotted line) and 46S1/2 Rydberg state (red solid line) in the range of 900–1950 nm. (b) The dynamic polarizability near the 46S1/2 ↔ 7P3/2 auxiliary transition. When the detuning is +1.5897 GHz relative to the transition of 46S1/2 ↔ 7P3/2, the ODT has an attractive potential for the ground state and Rydberg state.
Table 1.
The relevant wavelengths and magic conditions for the
auxiliary transition.
3.2. The Robustness of the Magic ODT
In order to evaluate the robustness of magic conditions, we present the relationship between the relative potential well depth (the ratio of the depth difference in potential wells for the ground state and Rydberg state to the well depth of the ODT at the magic wavelength) and the laser wavelength relative to the magic wavelength, as shown in Figure 3. When the wavelength of the ODT laser changes by ±0.1 nm, the change rate of the well depth of the magic ODT at 1064.084 nm is within ±2.0%. Although the 1800.934 nm magic ODT shows a relatively small change rate within ±1.2%, the 1064.084 nm wavelength offers distinct advantages. At around 1064 nm, corresponding lasers and high-power ytterbium-doped fiber amplifiers (YDFAs) are commercially available, which provide great convenience and cost-effectiveness for experimental setups. And this wavelength exhibits a relatively small relative error. Furthermore, the 1064.084 nm magic ODT is easier to expand into a multi-atomic array or optical lattice.
Figure 3.
The relative potential well depth varies with the change in the ODT laser wavelength for trapping the 6S1/2 ground state and 46S1/2 Rydberg state.
The typical well depth is about 10–100Er, where Er = h2/(2mλ2) is the single-photon recoil energy, h is Planck’s constant, m is the mass of a single atom, and λ is the wavelength of the light field scattered by the atom. The depth of the optical trap is U = kBT, while the peak optical intensity is I = 2P/(πω2). Here, kB is the Boltzmann constant, T is the equivalent temperature of the atoms in the ODT, and P and ω are the power of the ODT laser and the radius of the waist spot at the beam waist position, respectively.
When the well depths of the ODT are 50Er, 100Er, and 150Er, the corresponding temperature, T, is about 5, 10, and 15 μK, respectively. By substituting the above parameters into the equation U = kBT, the relationship between the laser power and beam waist radius of different optical traps is illustrated in Figure 4. The laser power of the ODT increases with an increase in the beam waist radius. When the waist radius is the same, the potential well depth increases with an increase in power. Typically, a certain potential well is formed when T = 1 mK and the beam waist radius is 50 μm, and the required laser power is calculated to be about 16 W. For a 1064 nm laser, its output power can reach the hundred-watt level, which is sufficient for normal experimental requirements.
Figure 4.
The laser power of different optical traps varies with the beam waist radius.
4. Trapping Lifetime of Cs Rydberg State in Magic ODT
Here, we analyze the dissipative mechanism that affects the decoherence time of Rydberg states. The effective population decay lifetime is given by [22,34,35]
The lifetimes of Rydberg atoms are affected by spontaneous radiation, ; blackbody radiation, ; photon scattering, τsc; and photoionization, .
4.1. Spontaneous Radiation and Blackbody Radiation
Spontaneous radiation and blackbody radiation are given by [34,35]
where τ(0) = 1.43 and a = 2.96 for the Cs nS state, n* = n − δn,l,j is the effective principal quantum number, αfs = 1/137 is the fine-structure constant, and T = 300 K. The expansion coefficients for the quantum defect of the Cs atom are given in [36]. By substituting the above specific parameters into Equations (6) and (7), we can calculate = 90.92 μs and = 8.6411 × 10−5 s−1.
4.2. Photon Scattering
As shown in Figure 1, compared with a traditional ODT, a magic ODT can only be found near auxiliary transitions. In an ODT, photon scattering can cause atoms to be heated and quickly become decoherent. In order to estimate the trapping lifetime of Cs atoms, it is necessary to calculate the photon scattering rate, Rsc, which is expressed as follows [37]:
where Ι and Ιsat are the ODT laser intensity and the saturated light intensity, respectively. Δ is the detuning of the ODT laser relative to the auxiliary transition. Γ is the spontaneous rate (Einstein A coefficient) of the transition from to , which can be expressed as follows [33]:
where e is the elementary charge, me is the electron mass, and ω0 is the transition angular frequency. fin is the oscillator strength. For the magic ODT, for the Cs 6S1/2 and 46S1/2 states, the 1064.084 nm ODT laser’s detuning relative to the 46S1/2 ↔ 7P3/2 auxiliary transition is not so far. Therefore, we calculate the photon scattering rate of the auxiliary transition, as shown in Table 2. This shows that the photon scattering from the auxiliary transition is much more important. The photon scattering rate is directly related to frequency detuning and the Einstein A coefficient of the auxiliary transition. For Rydberg states, the Einstein A coefficient is much smaller than that of the low-excited states.
Table 2.
Photon scattering rates induced by the 1064.084 nm magic ODT laser near the 46S1/2 ↔ 7P3/2 auxiliary transition.
4.3. Photoionization
To evaluate the photoionization of Rydberg atoms in the magic ODT induced by excitation light, rate equations are established by using a three-step excitation process [38,39,40], as shown in Figure 5. Here, is the ground state, and are the first and second excited states, and represents the ionized state under the third laser. Firstly, Cs atoms are excited from the ground state to a low-excited state and then to a Rydberg state by two laser beams. Secondly, the atoms in the Rydberg state are ionized by the third laser beam. By establishing the population equations of each atomic state in different time periods, the relevant analytical expressions are derived. We used Matlab 2017b software to build the images of each state by adding different laser parameters and atomic parameters.
Figure 5.
Schematic diagram of three-step photoexcitation and photoionization of Cs atoms.
In Figure 5, σa1, σa2, σs1, and σs2 are the resonance absorption cross-sections and stimulated emission cross-sections of the and transitions, respectively, and σi is the ionization cross-sectional area. and are the spontaneous emission rates of the and states, respectively. I1, I2, and Ii are the intensities of the three-step lasers, respectively.
We establish rate equations for each atomic state at different stages based on the excitation process described above. It is important to consider that, with the action of laser pulses, atoms are redistributed into different energy states at different times. In other words, the total number of particles in the atomic population is always conserved throughout the entire excitation process. In the current theoretical framework, we assume that the atomic transition process adheres to the Markovian property [41,42,43], meaning that the probability of an atom transitioning from one energy state to another at a specific time depends solely on the current state and is independent of its previous transition history. Therefore, based on the excitation process shown in Figure 5, we provide the corresponding rate equation system. Since all atoms are in the ground state at the initial moment, we can set t = 0, n0 = 100, and n1 = n2 = n3 = 0.
When the statistical weights of each state are ignored, σa1 = σs1 = σ1 and σa2 = σs2 = σ2. Under the given excitation mode, the atoms are first excited by the first two laser steps and then ionized by the third laser step. Therefore, the first two laser steps end at time t1, and the third laser step ends at time t2. And the rate equations can be written as follows:
- (1)
- For 0 < t < t1,
- (2)
- For t1 < t < t2,
For Equations (10) and (11), these parameters can be expressed as follows [38]:
where A is the Einstein spontaneous emission coefficient of the atom, is the Doppler linewidth at temperature T, M is the mass of the atom, λ and ν0 are the resonance wavelength and frequency of the atomic transition, P is the peak power of the three-step laser, and is the focusing area of the laser beam. The equation for calculating the ionization cross-sectional area is as follow [44]:
where α = 1/137 is the fine-structure constant of the atom, a0 is the Bohr radius, hv is the ionization energy, and Rl,l±1 is the radial matrix element. According to Equation (15), the ionization cross-sectional area of the 46S1/2 Rydberg state is σ46S = 5.035 × 10−15 cm2.
In order to simplify the calculation process, we assume that
The rate equations can be simplified as follows:
- (1)
- For 0 < t < t1,
- (2)
- For t1 < t < t2,
For the three-step photoexcitation and photoionization processes of the Cs atom shown in Figure 5, we provide the relevant transition parameters for Equations (12)–(14) in Table 3. First, these specific values are substituted into Equation (16). Subsequently, we use Matlab software to program the rate equation system based on Equations (17) and (18) and plot the population distribution images for each state.
Table 3.
Parameters related to three-step excitation and ionization path of Cs atom.
The magic wavelength of the 6S1/2 ground state and 46S1/2 Rydberg state is 1064.084 nm near the 46S1/2 ↔ 7P3/2 auxiliary transition, so a 1064 nm laser is selected as the ODT laser, which will result in the photoionization of the 46S1/2 state. According to Equations (10)–(18), when other atomic parameters and laser parameters are determined, the photoionization rate will be affected by the excitation light power and laser pulse width, as shown in Figure 6 and Figure 7. In Figure 6, the photoionization rate of the Cs Rydberg state gradually increases with the laser power. The rate gradually increases to 30% and finally becomes basically stable. Before the ionization rate reaches a stable value, its change with the second-step laser power is relatively slow compared with the third-step laser power.
Figure 6.
Photoionization of Cs atom with the second- (a) and third-step (b) laser power.
Figure 7.
The variations in the population rates of the 6S1/2 ground state—(a), 6P3/2 excited state—(b), 46S1/2 Rydberg state—(c), and the ionized state—(d) with laser pulse width.
In this mode, the rate equations are established based on different time periods. During the calculation process, we set t1 = 10 ns, while t2 is treated as a variable. Then, we use the Matlab software to plot the relationship between the population rate of each state of the Cs atom and the laser pulse width, as shown in Figure 7. In Figure 7a, under the action of a laser, Cs atoms in the ground state continue to converge to the excited state, while the population rate of the ground state atoms continues to decrease. After 10 ns, when the two-step lasers stop acting, the ground-state atomic population no longer decreases but increases. In Figure 7b,c, the population rate of the 6P3/2 state starts to decrease after reaching an extreme value in a very short time. Meanwhile, the population rate of the 46S1/2 state starts to decrease after reaching a maximum value at 10 ns. In Figure 7d, there are only two excitation light emissions in the first 10 ns. During this period, the ionization rate is zero. But after 10 ns, the ionization rate gradually increases under the action of the third-step laser. After 30 ns, the ionization rate changes a little with the laser pulse width. The ionization rate reaches a maximum value of 31.49% at 32.36 ns, corresponding to .
A large number of excited atoms will return to the ground state or lower excited state through spontaneous and stimulated radiation, so the population rate of the Cs ground-state atoms decreases slowly in Figure 7a. In Figure 7b,c, the population rates of the 6P3/2 and 46S1/2 states cease to increase after reaching the extreme values. This shows that because of the lifetime of energy levels and the influence of stimulated radiation, the transitions of atoms to high energy levels and low energy levels undergo a complex interplay, and finally the system reaches a dynamic equilibrium. In Figure 7a–c, the population decay of the corresponding three atomic states tends to plateau. After 10 ns, the two-step excitation light emissions stop, and under the action of the third-step laser, the population of the 46S1/2 state decreases rapidly, while the ionization rate rapidly increases till saturation. Meanwhile, the atomic population of the 6P3/2 state slowly decreases and returns to the ground state, as shown in Figure 7b. This causes a turning point and slow increase in the population in the ground state after 10 ns, as shown in Figure 7a.
In summary, under this excitation mode, as long as the power of the three-step laser remains constant, the populations of the two excited states will decrease as the duration of the ionization laser’s operation increases. We can calculate the photoionization rate when the population of the ionized state reaches a stable level so as to evaluate the impact of photoionization on the lifetime of Rydberg atoms.
After considering dissipation mechanisms such as spontaneous emission, blackbody radiation, photon scattering, and photoionization, the trapping lifetime of 46S1/2 Rydberg atoms in a magic-wavelength trap can reach several tens of microseconds. Generally, the laser pulse width for manipulating and exciting Rydberg atoms in experiments falls within the nanosecond range. This enables the experimental repetition rate to reach the order of thousands within the atomic decoherence time. This is of great significance for quantum computing and quantum simulation based on Rydberg atoms.
5. Conclusions
In conclusion, we calculated the dynamic polarizabilities of the Cs 6S1/2 ground state and 46S1/2 Rydberg state by using the sum-over-states method. We found the magic wavelength for trapping the two atomic states and calculated the magic detuning relative to the auxiliary transition where the ground state and Rydberg state have the same polarizability. At around a wavelength of 1064 nm, corresponding lasers and high-power ytterbium-doped fiber amplifiers (YDFAs) are commercially available, so we chose a magic wavelength of 1064.084 nm to analyze the robustness and feasibility of the experimental operation. The trapping lifetime of the Cs Rydberg state in the magic ODT was estimated by considering different dissipation mechanisms, such as photon scattering and photoionization. When atoms are trapped in an ODT, the interaction between Rydberg atoms and the ODT laser leads to photoionization. Furthermore, we discussed the change in the ionization rate with laser parameters and calculated the photoionization rate of the 46S1/2 state. This provides an important theoretical basis for evaluating the trapping lifetime of Rydberg atoms in an ODT, which is important for precision measurements based on Rydberg atoms.
Author Contributions
Conceptualization, S.F. and J.B.; methodology, S.F. and J.B.; software, S.F., W.L., Y.Z. and J.B.; validation, W.L. and Y.Z.; formal analysis, S.F. and J.B.; investigation, S.F. and J.B.; resources, Y.L. (Yang Liu); data curation, Y.L. (Yang Liu); writing—original draft preparation, S.F.; writing—review and editing, J.B.; visualization, Y.L. (Yijun Li); supervision, Y.L. (Yijun Li) and J.B.; funding acquisition, W.L., Y.Z. and J.B. All authors have read and agreed to the published version of the manuscript.
Funding
This research was funded by the National Natural Science Foundation of China (62471443, 12104417, 12104419, 12404467), the Fundamental Research Program of Shanxi Province (20210302124161, 20210302124689, 202103021223210), and the Central Guidance on Local Science and Technology Development Fund of Shanxi Province (YDZJSX2024C010).
Institutional Review Board Statement
Not applicable.
Informed Consent Statement
Not applicable.
Data Availability Statement
The numerical data that support the plots within this paper and the other findings of this study are available from the authors upon reasonable request.
Conflicts of Interest
The authors declare no conflicts of interest.
References
- Saffman, M.; Walker, T.G.; Mølmer, K. Quantum information with Rydberg atoms. Rev. Mod. Phys. 2010, 82, 2313–2363. [Google Scholar] [CrossRef]
- Deiglmayr, J. Long-range interactions between Rydberg atoms. Phys. Scr. 2016, 91, 104007. [Google Scholar] [CrossRef]
- Adams, C.S.; Pritchard, J.D.; Shaffer, J.P. Rydberg atom quantum technologies. J. Phys. B At. Mol. Opt. Phys. 2020, 53, 012002. [Google Scholar] [CrossRef]
- Zhang, Z.-Y.; Zhang, T.-Y.; Liu, Z.-K.; Ding, D.-S.; Shi, B.-S. Research progress of Rydberg many-body interaction. Acta Phys. Sin. 2020, 69, 180301. [Google Scholar] [CrossRef]
- Lesanovsky, I. Many-Body Spin Interactions and the Ground State of a Dense Rydberg Lattice Gas. Phys. Rev. Lett. 2011, 106, 025301. [Google Scholar] [CrossRef]
- Nguyen, H.; Lampen, J.; Berman, P.R.; Kuzmich, A. Differential nuclear-spin-dependent light shifts and state mixing of Rydberg atoms. Phys. Rev. A 2019, 100, 033412. [Google Scholar] [CrossRef]
- Saffman, M.; Walker, T.G. Analysis of a quantum logic device based on dipole-dipole interactions of optically trapped Rydberg atoms. Phys. Rev. A 2005, 72, 352–362. [Google Scholar] [CrossRef]
- Choi, J.-H.; Guest, J.R.; Povilus, A.P.; Hansis, E.; Raithel, G. Magnetic Trapping of Long-Lived Cold Rydberg Atoms. Phys. Rev. Lett. 2005, 95, 243001. [Google Scholar] [CrossRef]
- Hyafil, P.; Mozley, J.; Perrin, A.; Tailleur, J.; Nogues, G.; Brune, M.; Raimond, J.M.; Haroche, S. Coherence-Preserving Trap Architecture for Long-Term Control of Giant Ryberg Atoms. Phys. Rev. Lett. 2004, 93, 103001. [Google Scholar] [CrossRef]
- Grimm, R.; Weidemüller, M.; Ovchinnikov, Y.B. Optical dipole traps for neutral atoms. In Advances in Atomic, Molecular, and Optical Physics; Elsevier: Amsterdam, The Netherlands, 2000; Volume 42, pp. 95–170. [Google Scholar]
- Hankin, A.M.; Jau, Y.-Y.; Parazzoli, L.P.; Chou, C.W.; Armstrong, D.J.; Landahl, A.J.; Biedermann, G.W. Two-atom Rydberg blockade using direct 6S to n P excitation. Phys. Rev. A 2014, 89, 033416. [Google Scholar] [CrossRef]
- Lampen, J.; Nguyen, H.; Li, L.; Berman, P.R.; Kuzmich, A. Long-lived coherence between ground and Rydberg levels in a magic-wavelength lattice. Phys. Rev. A 2018, 98, 033411. [Google Scholar] [CrossRef]
- Levine, H.; Keesling, A.; Omran, A.; Bernien, H.; Schwartz, S.; Zibrov, A.S.; Endres, M.; Greiner, M.; Vuletić, V.; Lukin, M.D. High-Fidelity Control and Entanglement of Rydberg-Atom Qubits. Phys. Rev. Lett. 2018, 121, 123603. [Google Scholar] [CrossRef] [PubMed]
- Liu, Y.; Sun, Y.; Fu, Z.; Xu, P.; Wang, X.; He, X.; Wang, J.; Zhan, M. Infidelity Induced by Ground-Rydberg Decoherence of the Control Qubit in a Two-Qubit Rydberg-Blockade Gate. Phys. Rev. Appl. 2021, 15, 054020. [Google Scholar] [CrossRef]
- Suarez, E.; Wolf, P.; Weiss, P.; Slama, S. Superradiance decoherence caused by long-range Rydberg-atom pair interactions. Phys. Rev. A 2022, 105, 041302. [Google Scholar] [CrossRef]
- Steane, A.M.; Lucas, D.M. Quantum Computing with Trapped Ions, Atoms and Light. Fortschritte Der Phys. 2000, 48, 839–858. [Google Scholar] [CrossRef]
- Ye, J.; Kimble, H.J.; Katori, H. Quantum State Engineering and Precision Metrology Using State-Insensitive Light Traps. Science 2008, 320, 1734–1738. [Google Scholar] [CrossRef]
- Katori, H.; Ido, T.; Kuwata-Gonokami, M. Optimal Design of Dipole Potentials for Efficient Loading of Sr Atoms. J. Phys. Soc. Jpn. 1999, 68, 2479–2482. [Google Scholar] [CrossRef]
- Hogan, S.D.; Merkt, F. Demonstration of Three-Dimensional Electrostatic Trapping of State-Selected Rydberg Atoms. Phys. Rev. Lett. 2008, 100, 043001. [Google Scholar] [CrossRef]
- Anderson, S.E.; Younge, K.C.; Raithel, G. Trapping Rydberg Atoms in an Optical Lattice. Phys. Rev. Lett. 2011, 107, 263001. [Google Scholar] [CrossRef]
- Barredo, D.; Lienhard, V.; Scholl, P.; de Léséleuc, S.; Boulier, T.; Browaeys, A.; Lahaye, T. Three-Dimensional Trapping of Individual Rydberg Atoms in Ponderomotive Bottle Beam Traps. Phys. Rev. Lett. 2020, 124, 023201. [Google Scholar] [CrossRef]
- Bai, J.-D.; Liu, S.; He, J.; Wang, J. Towards implementation of a magic optical-dipole trap for confining ground-state and Rydberg-state Cs cold atoms. J. Phys. B At. Mol. Opt. Phys. 2020, 53, 155302. [Google Scholar]
- Bai, J.-D.; Wang, X.; Hou, X.; Liu, W.; Wang, J. Angle-Dependent Magic Optical Trap for the 6S1/2—nP3/2 Rydberg Transition of Cs Atoms. Photonics 2022, 9, 303. [Google Scholar] [CrossRef]
- Bai, J.-D.; Liu, S.; Liu, W.-Y.; Jie, Q.; Wang, J.-M. Theoretical analysis of polarization-angle-dependent magic-wavelength optical dipole trap of Cs atoms. Acta Phys. Sin. 2023, 72, 063102. [Google Scholar] [CrossRef]
- Bai, J.; Liu, Y.; Fan, S.; Liu, S.; Liu, W.; Jie, Q.; Li, Y.; Wang, J. Magic wavelengths for the 6S-7P transition of cesium atoms. Results Phys. 2023, 52, 106853. [Google Scholar] [CrossRef]
- Le Kien, F.; Schneeweiss, P.; Rauschenbeutel, A. Dynamical polarizability of atoms in arbitrary light fields: General theory and application to Cs. Eur. Phys. J. D 2013, 67, 92. [Google Scholar] [CrossRef]
- Manakov, N.; Ovsiannikov, V.; Rapoport, L. Atoms in a laser field. Phys. Rep. 1986, 141, 320–433. [Google Scholar] [CrossRef]
- Beloy, K. Theory of the ac Stark Effect on the Atomic Hyperfine Structure and Applications to Microwave Atomic Clocks. Ph.D. Thesis, University of Nevada, Reno, NV, USA, 2009. [Google Scholar]
- Šibalić, N.; Pritchard, J.D.; Adams, C.S.; Weatherill, K.J. ARC: An open-source library for calculating properties of alkali Rydberg atoms. Comput. Phys. Commun. 2017, 220, 319–331. [Google Scholar] [CrossRef]
- Robertson, E.J.; Šibalić, N.; Potvliege, R.M.; Jones, M.P.A. ARC 3.0: An expanded Python toolbox for atomic physics calculations. Comput. Phys. Commun. 2021, 261, 107814. [Google Scholar] [CrossRef]
- Yerokhin, V.A.; Buhmann, S.Y.; Fritzsche, S.; Surzhykovet, A. Electric dipole polarizabilities of Rydberg states of alkali-metal atoms. Phys. Rev. A 2016, 94, 032503. [Google Scholar] [CrossRef]
- Ovsiannikov, V.D.; Glukhov, I.L.; Nekipelov, E.A. Ionization cross sections and contributions of continuum to optical characteristics of Rydberg states. J. Phys. B At. Mol. Opt. Phys. 2012, 45, 095003. [Google Scholar] [CrossRef]
- Mitroy, J.; Safronova, M.S.; Clark, C.W. Theory and applications of atomic and ionic polarizabilities. J. Phys. B At. Mol. Opt. Phys. 2010, 43, 202001. [Google Scholar] [CrossRef]
- Gallagher, T.F. Rydberg Atoms; Cambridge University Press: Cambridge, UK, 2005. [Google Scholar]
- Saffman, M.; Walker, T.G. Publisher’s Note: Entangling single- and N-atom qubits for fast quantum state detection and transmission. Phys. Rev. A 2005, 72, 042302. [Google Scholar]
- Weber, K.H.; Sansonetti, C.J. Accurate energies of nS, nP, nD, nF, and nG levels of neutral Cs. Phys. Rev. A 1987, 35, 4650–4660. [Google Scholar] [CrossRef] [PubMed]
- Notermans, R.P.M.J.W.; Rengelink, R.J.; van Leeuwen, K.A.H.; Vassen, W. Magic wavelengths for the 23S→21S transition in helium. Phys. Rev. A 2014, 90, 052508. [Google Scholar] [CrossRef]
- Gillespie, D.T. Approximate accelerated stochastic simulation of chemically reacting systems. J. Chem. Phys. 2001, 115, 1716–1733. [Google Scholar] [CrossRef]
- Qi, X.-Q.; Wang, F.; Dai, C.-J. Photoexcitation and photoionization of alkali atoms. Acta Phys. Sin. 2015, 64, 133201. [Google Scholar]
- Sang, C.-C.; Wan, J.-J.; Dong, C.-Z.; Ding, X.-B.; Jiang, J. Relaxation effect in photoionization process of lithium. Acta Phys. Sin. 2008, 57, 2152–2160. [Google Scholar] [CrossRef]
- Vacchini, B.; Breuer, H.-P. Exact master equations for the non-Markovian decay of a qubit. Phys. Rev. A 2010, 81, 042103. [Google Scholar] [CrossRef]
- Shen, H.Z.; Wang, Q.; Yi, X.X. Dispersive Readout Non-Markovian Environments. Phys. Rev. A 2022, 105, 023707. [Google Scholar] [CrossRef]
- Breuer, H.-P.; Laine, E.-M.; Piilo, J. Measure for the Degree of Non-Markovian Behavior of Quantum Processes in Open Systems. Phys. Rev. Lett. 2009, 103, 210401. [Google Scholar] [CrossRef]
- Romans, K.L.; Acharya, B.P.; Silva, A.D.; Foster, K.; Russ, O.; Fischer, D. Photoionization of Rydberg atoms out of an optical dipole trap. arXiv 2023, arXiv:2304.09767. [Google Scholar]
Disclaimer/Publisher’s Note: The statements, opinions and data contained in all publications are solely those of the individual author(s) and contributor(s) and not of MDPI and/or the editor(s). MDPI and/or the editor(s) disclaim responsibility for any injury to people or property resulting from any ideas, methods, instructions or products referred to in the content. |
© 2025 by the authors. Licensee MDPI, Basel, Switzerland. This article is an open access article distributed under the terms and conditions of the Creative Commons Attribution (CC BY) license (https://creativecommons.org/licenses/by/4.0/).






