Design of a Freeform Surface Optical Detection System with a Square Aperture
Abstract
1. Introduction
2. Materials and Methods
2.1. Theoretical Basis
2.1.1. Space Target Detection Sensitivity Model
2.1.2. Description of Freeform Surfaces
2.2. Design of Square Diaphragm System
2.2.1. Specification of Square Aperture Diaphragm System
2.2.2. Preliminary Optimization of Square Aperture Diaphragm System
2.2.3. Further Optimization Based on the C-I Algorithm of Square Aperture Diaphragm System
2.2.4. Final Optimization of Adding Manufacturing Constraints to a Square Aperture Diaphragm System
2.3. Design of Circular Diaphragm System
2.3.1. Specification of Circular Aperture Diaphragm System
2.3.2. Optimization of Circular Aperture Diaphragm System
3. Results
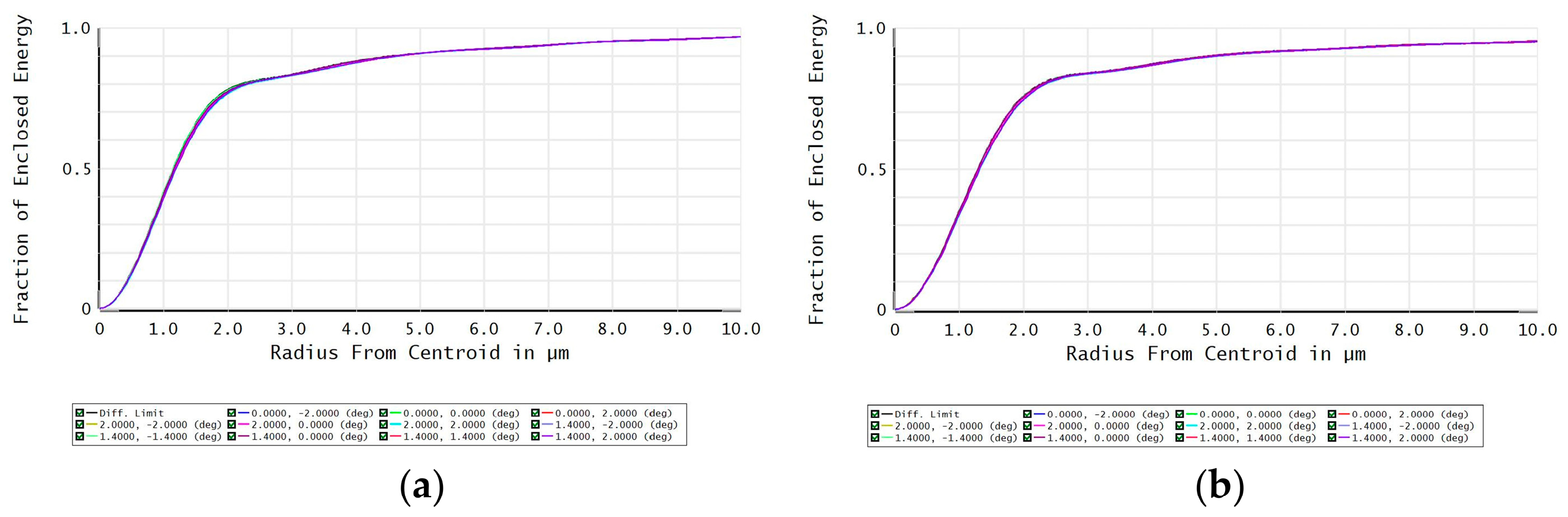
3.1. Comparison of Two Systems
3.2. Tolerance Analysis of the Two Systems After Defocusing
4. Discussion
5. Conclusions
Author Contributions
Funding
Institutional Review Board Statement
Informed Consent Statement
Data Availability Statement
Conflicts of Interest
References
- Sun, H.; Wei, M.; Luo, C. Design Research of the Space Debris Monitoring Database Management System. Digit. Commun. World 2016, 3, 70–74. [Google Scholar]
- Zhu, G. Space activity in Russia in 2012. Space Int. 2013, 2, 32–41. [Google Scholar]
- Yang, C. Optical Antenna Design and Stray Light Research based on Inter-Satellites Laser Communication Terminal. Master’s Thesis, Changchun Institute of Optics, Fine Mechanics and Physics, Chinese Academy of Sciences, Changchun, China, 2017. [Google Scholar]
- Harrison, D.C.; Chow, J.C. Space-Based Visible sensor on MSX satellite. Eng. Phys. 1994, 2217, 377–387. [Google Scholar]
- Goldstein, N.; Dressler, R.A.; Shroll, R.; Richtsmeier, S.; Mclean, J.; Dao, P.; Murray-Krezan, J.; Fulcoly, D. Ground testing of prototype hardware and processing algorithms for a Wide Area Space Surveillance System (WASSS). J. Opt. 2015, 17, 5. [Google Scholar]
- Bauer, A.; Schiesser, E.M.; Rolland, J.P. Starting geometry creation and design method for freeform optics. Nat. Commun. 2018, 9, 1756. [Google Scholar] [CrossRef] [PubMed]
- Hicks, R.A. Controlling a ray bundle with a free-form reflector. Opt. Lett. 2008, 33, 1672–1674. [Google Scholar] [CrossRef]
- Miñano, J.C.; Benítez, P.; Lin, W.; Infante, J.; Muñoz, F.; Santamaría, A. An application of the SMS method for imaging designs. Opt. Express 2009, 17, 24036–24044. [Google Scholar] [CrossRef] [PubMed]
- Yang, T.; Zhu, J.; Hou, W.; Jin, G. Design method of freeform off-axis reflective imaging systems with a direct construction process. Opt. Express 2014, 22, 9193–9205. [Google Scholar] [CrossRef] [PubMed]
- Gao, R.; Mao, X.; Li, J.; Xu, Z.; Xie, Y. Freeform off-axis four-mirror all-aluminum infrared detection system (invited). Infrared Laser Eng. 2023, 52, 20230338. [Google Scholar]
- Cai, Z.; Li, J.; Yu, J.; Huang, C.; Xie, Y.; Mao, X. Optical freeform reflective imaging system design method with manufacturing constraints. Appl. Opt. 2023, 62, 6480–6490. [Google Scholar] [CrossRef] [PubMed]
- Ning, M.; Mao, X.; Yu, J.; Yuan, Y.; Yang, J.; Cai, Z.; Xie, Y. Design of compact off-axis three-mirror freeform optical system with small F number. In AOPC 2023: Optical Design and Manufacturing; SPIE: San Diego, CA, USA, 2023; Volume 129640. [Google Scholar]
- Xie, Y.; Mao, X.; Li, J.; Wang, F.; Wang, P.; Gao, R.; Li, X.; Ren, S.; Xu, Z.; Dong, R. Optical design and fabrication of an all-aluminum unobscured two-mirror freeform imaging telescope. Appl. Opt. 2020, 59, 833–840. [Google Scholar] [CrossRef]
- Li, X.; Ni, D.; Yang, M.; Ren, Z. Design of Large Field of View Space Camera Optical System Based on Freeform Surfaces. Acta Photonica Sin. 2018, 47, 0922003. [Google Scholar]
- Ren, C.; Meng, Q. Design Method for Freeform Off-Axis Three-Mirror Anastigmat Optical Systems with a Large Field of View and Low Error Sensitivity. Photonics 2024, 11, 211. [Google Scholar] [CrossRef]
- Wang, B.; Wang, X.; Jiang, H.; Wang, Y.; Yang, C.; Meng, Y. Design of a Spaceborne, Compact, Off-Axis, Multi-Mirror Optical System Based on Freeform Surfaces. Photonics 2024, 11, 51. [Google Scholar] [CrossRef]
- Fan, C.; Kong, L.; Yang, B.; Wan, X. Design of Dual-Focal-Plane AR-HUD Optical System Based on a Single Picture Generation Unit and Two Freeform Mirrors. Photonics 2023, 10, 1192. [Google Scholar] [CrossRef]
- Jia, B.; Li, Y.; Lv, Q.; Jin, F.; Tian, C. Design of a Large Field of View and Low-Distortion Off-Axis Optical System Based on a Free-Form Surface. Photonics 2023, 10, 506. [Google Scholar] [CrossRef]
- Mao, X.; Li, H.; Han, Y.; Luo, Y. Two-step design method for highly compact three-dimensional freeform optical system for LED surface light source. Opt. Express 2014, 22, A1491–A1506. [Google Scholar] [CrossRef] [PubMed]
- Cheng, Y. Study on Design and Application of Freeform Optics. Doctoral Dissertation, Tianjin University, Tianjin, China, 2013. [Google Scholar]
- Wu, C.; Yan, C.; Liu, W.; Zhang, J. Prism Hyperspectral Imaging Optical System Design with Rectangular Aperture. Acta Opt. Sin. 2013, 33, 228–234. [Google Scholar]
- Zhou, L.; Yang, T.; Cheng, D.; Wang, Y. Design method of imaging systems using square-domain orthogonal polynomials freeform surface (invited). Infrared Laser Eng. 2023, 52, 20230317. [Google Scholar]
- Lan, C. Modeling and Detecting Capability Analysis of Space-Based Space Object Optical Observation System. Doctoral Dissertation, Information Engineering University, Zhengzhou, China, 2009. [Google Scholar]
- Li, F.; Zheng, L.; Yan, F.; Xue, D.; Zhang, X. Optical testing method and its experiment on freeform surface with computer-generated hologram. Infrared Laser Eng. 2012, 44, 1052–1056. [Google Scholar]
- Yang, T.; Zhu, J.; Wu, X.; Jin, G. Direct design of freeform surfaces and freeform imaging systems with a point-by-point three-dimensional construction-iteration method. Opt. Express 2015, 23, 10233–10246. [Google Scholar] [CrossRef]
- Zhu, J.; Wu, X.; Yang, T.; Jin, G. Generating optical freeform surfaces considering both coordinates and normals of discrete data points. J. Opt. Soc. Am. A 2014, 31, 2401–2408. [Google Scholar] [CrossRef]
- Yang, T.; Zhu, J.; Jin, G. Design of freeform imaging systems with linear field-of-view using a construction and iteration process. Opt. Express 2014, 22, 3362–3374. [Google Scholar] [CrossRef] [PubMed]
- Zhao, Y. New Type Reflective Optical System Design for A Star Sensor. Master’s Thesis, Harbin Institute of Technology, Harbin, China, 2007. [Google Scholar]

















| n | |
|---|---|
| 0 | 1 |
| 1 | u |
| 2 | |
| 3 | |
| 4 | |
| 5 | |
| 6 |
| Parameter | Specifications |
|---|---|
| Spectral band | 0.4 μm~0.9 μm |
| FOV | 4° × 4° |
| Focal length | 150 mm |
| Entrance pupil | 40 mm × 40 mm |
| Equivalent F-number | 3.3 |
| Volume | ≤1 dm3 |
| Detector pixel size | 9.2 μm × 9.2 μm |
| Image spot size | ≤18.4 μm × 18.4 μm |
| Distortion | ≤1% |
| Surface | Surface Type | Radius/mm | Thickness/mm | X Tilt/° |
|---|---|---|---|---|
| Object Surface | Standard | Infinity | Infinity | |
| 1 | Standard | Infinity | 65 | |
| 2 | Coordinate Break | 0 | 22.00 | |
| PM (Stop) | Standard | −333.96 | 0 | |
| 4 | Coordinate Break | −77.85 | 22.00 | |
| 5 | Coordinate Break | 0 | −29.53 | |
| SM | Standard | −143.83 | 0 | |
| 7 | Coordinate Break | 74.68 | −29.53 | |
| 8 | Coordinate Break | 0 | 15.09 | |
| TM | Standard | −162.89 | 0 | |
| 10 | Coordinate Break | −97.42 | 15.09 | |
| 11 | Coordinate Break | 0 | −5.85 | |
| Image Surface | Standard | Infinity |
| Term | Chebyshev Polynomial | Coefficient of M1 | Coefficient of M2 | Coefficient of M3 |
|---|---|---|---|---|
| 1 | 3.09015 × 10−5 | 3.80479 × 10−4 | 7.77191 × 10−5 | |
| 2 | 7.75289 × 10−7 | 6.54103 × 10−6 | −1.97742 × 10−7 | |
| 3 | 1.06861 × 10−9 | 7.79002 × 10−9 | −9.66175 × 10−9 | |
| 4 | −5.51300 × 10−5 | −8.41580 × 10−5 | −4.08245 × 10−5 | |
| 5 | −2.48849 × 10−5 | −2.21547 × 10−5 | −1.39731 × 10−5 | |
| 6 | 2.27960 × 10−8 | 1.72561 × 10−6 | −5.97034 × 10−8 | |
| 7 | −3.63091 × 10−5 | −3.94105 × 10−4 | −8.35798 × 10−5 | |
| 8 | 2.10825 × 10−6 | −1.10960 × 10−6 | −4.71111 × 10−6 | |
| 9 | 4.07705 × 10−9 | −2.43633 × 10−7 | −8.94891 × 10−8 | |
| 10 | −1.21726 × 10−5 | −1.73920 × 10−5 | −8.81040 × 10−6 | |
| 11 | 4.21215 × 10−8 | 3.82503 × 10−6 | −2.45415 × 10−7 | |
| 12 | 3.51572 × 10−7 | −1.00236 × 10−6 | −2.14341 × 10−6 | |
| 13 | 6.67833 × 10−9 | −4.44205 × 10−7 | −1.22654 × 10−7 | |
| 14 | 6.91323 × 10−9 | 1.02000 × 10−6 | −8.16191 × 10−8 | |
| 15 | 1.10858 × 10−9 | −2.51828 × 10−7 | −2.90451 × 10−8 |
| Parameter | Specifications |
|---|---|
| Spectral band | 0.4 μm~0.9 μm |
| FOV | 4° × 4° |
| Focal length | 150 mm |
| Entrance pupil diameter | 40 mm |
| F-number | 3.75 |
| Volume | ≤1 dm3 |
| Detector pixel size | 9.2 μm × 9.2 μm |
| Image spot size | ≤18.4 μm × 18.4 μm |
| Distortion | ≤1% |
| Term | XY Polynomial | Coefficient of M1 | Coefficient of M2 | Coefficient of M3 |
|---|---|---|---|---|
| 1 | −5.16382 × 10−3 | −2.65285 × 10−3 | 2.07542 × 10−3 | |
| 2 | 7.51008 × 10−5 | −1.30409 × 10−4 | 1.66844 × 10−4 | |
| 3 | −2.43452 × 10−5 | −1.65974 × 10−3 | −2.27986 × 10−4 | |
| 4 | −2.07191 × 10−6 | −4.75254 × 10−6 | −7.19401 × 10−7 | |
| 5 | −2.02014 × 10−6 | −5.97744 × 10−6 | −1.07717 × 10−6 | |
| 6 | 7.38200 × 10−9 | 2.38565 × 10−8 | 2.64418 × 10−10 | |
| 7 | 8.45233 × 10−9 | −7.30961 × 10−8 | −1.36465 × 10−8 | |
| 8 | 2.07651 × 10−9 | −1.17743 × 10−7 | −1.40769 × 10−8 | |
| 9 | 5.29384 × 10−12 | 3.11436 × 10−10 | −1.38869 × 10−11 | |
| 10 | 4.10040 × 10−12 | 3.87430 × 10−10 | −5.69388 × 10−11 | |
| 11 | 3.67792 × 10−12 | 3.74196 × 10−10 | −3.46940 × 10−11 | |
| 12 | 6.79070 × 10−14 | 2.15218 × 10−14 | −1.03031 × 10−13 | |
| 13 | 1.23865 × 10−13 | −6.38676 × 10−12 | −9.15860 × 10−13 | |
| 14 | 1.46621 × 10−13 | −1.15496 × 10−11 | −1.25781 × 10−12 | |
| 15 | 5.04151 × 10−14 | −9.86376 × 10−12 | −6.49354 × 10−13 |
| Parameter | M1 (Diaphragm) | M2 | M3 |
|---|---|---|---|
| Curvature radius (mm) | ±0.05 | ±0.05 | ±0.05 |
| RMS Machining accuracy (λ = 632.8 nm) | ±1/30 | ±1/30 | ±1/30 |
| Top spacing deviation (mm) | ±0.2 | ±0.2 | ±0.2 |
| Decenter X (mm) | ±0.025 | ±0.025 | ±0.025 |
| Decenter Y (mm) | ±0.025 | ±0.025 | ±0.025 |
| Tilt X (arc minute) | ±2 | ±2 | ±2 |
| Tilt Y (arc minute) | ±2 | ±2 | ±2 |
| Tilt Z (arc minute) | ±3 | ±3 | ±3 |
| Compensation method | Image plane position (M3 back focal length)and image plane tilt | ||
Disclaimer/Publisher’s Note: The statements, opinions and data contained in all publications are solely those of the individual author(s) and contributor(s) and not of MDPI and/or the editor(s). MDPI and/or the editor(s) disclaim responsibility for any injury to people or property resulting from any ideas, methods, instructions or products referred to in the content. |
© 2025 by the authors. Licensee MDPI, Basel, Switzerland. This article is an open access article distributed under the terms and conditions of the Creative Commons Attribution (CC BY) license (https://creativecommons.org/licenses/by/4.0/).
Share and Cite
Zhao, H.; Mao, X. Design of a Freeform Surface Optical Detection System with a Square Aperture. Photonics 2025, 12, 116. https://doi.org/10.3390/photonics12020116
Zhao H, Mao X. Design of a Freeform Surface Optical Detection System with a Square Aperture. Photonics. 2025; 12(2):116. https://doi.org/10.3390/photonics12020116
Chicago/Turabian StyleZhao, Hongkai, and Xianglong Mao. 2025. "Design of a Freeform Surface Optical Detection System with a Square Aperture" Photonics 12, no. 2: 116. https://doi.org/10.3390/photonics12020116
APA StyleZhao, H., & Mao, X. (2025). Design of a Freeform Surface Optical Detection System with a Square Aperture. Photonics, 12(2), 116. https://doi.org/10.3390/photonics12020116

