Combining the Magnetic Equivalent Circuit and Maxwell–Fourier Method for Eddy-Current Loss Calculation
Abstract
:1. Introduction
1.1. Context of This Paper
1.2. Objectives of This Paper
2. Model Coupling: 2-D Generic MEC/Maxwell–Fourier
2.1. U-Cored Static Electromagnetic Device
2.2. Proposed Approach
2.3. 2-D Generic MEC
2.3.1. General Assumptions
- The saturation and hysteresis effects are neglected;
 - The end-effects in the z-axis are neglected (i.e., the semi-analytical is assumed to be in 2-D);
 - The eddy-current effects in all materials (e.g., the massive parts, the copper, the iron) are neglected (i.e., the electrical conductivities are assumed to be null);
 - The magnetic materials are considered as isotropic;
 - The mechanical stress on the nonlinear B(H) curve is ignored;
 - Since the magnetic circuit is not saturated, the magnetic permeability is supposedly constant, corresponding to the linear zone of the nonlinear B(H) curve.
 
2.3.2. Automatic Mesh
- 4 branch MMFs (i.e., two x-MMFs and two y-MMFs);
 - and 4 magnetic reluctances (i.e., two x-reluctances and two y-reluctances) crossed by branch fluxes φ.
 
2.3.3. Matrix Formulation
- is the loop fluxes vector (of dimension );
 - is the loop MMFs vector (of dimension );
 - is the branch MMFs vector (of dimension ) defined by
 
2.3.4. Problem Solving
2.3.5. Comparing with 2-D FEA
2.4. 2-D Maxwell–Fourier
2.4.1. General Assumptions
- The massive conductive parts are excited by the magnetostatic magnetic field from the 2-D generic MEC which is assumed normal to the xz-plane;
 - The resultant eddy-current density in massive conductive parts has two components, i.e., J= {Jx; 0; Jz};
 - The relative magnetic permeability and electrical conductivity of massive conductive parts (i.e., μmp and σmp) are assumed to be constant.
 
2.4.2. Governing Partial Differential Equations (PDEs) in Cartesian Coordinates
2.4.3. Definition of BCs
2.4.4. General Solution of the Magnetic Field
2.4.5. Resultant Eddy-Current Density
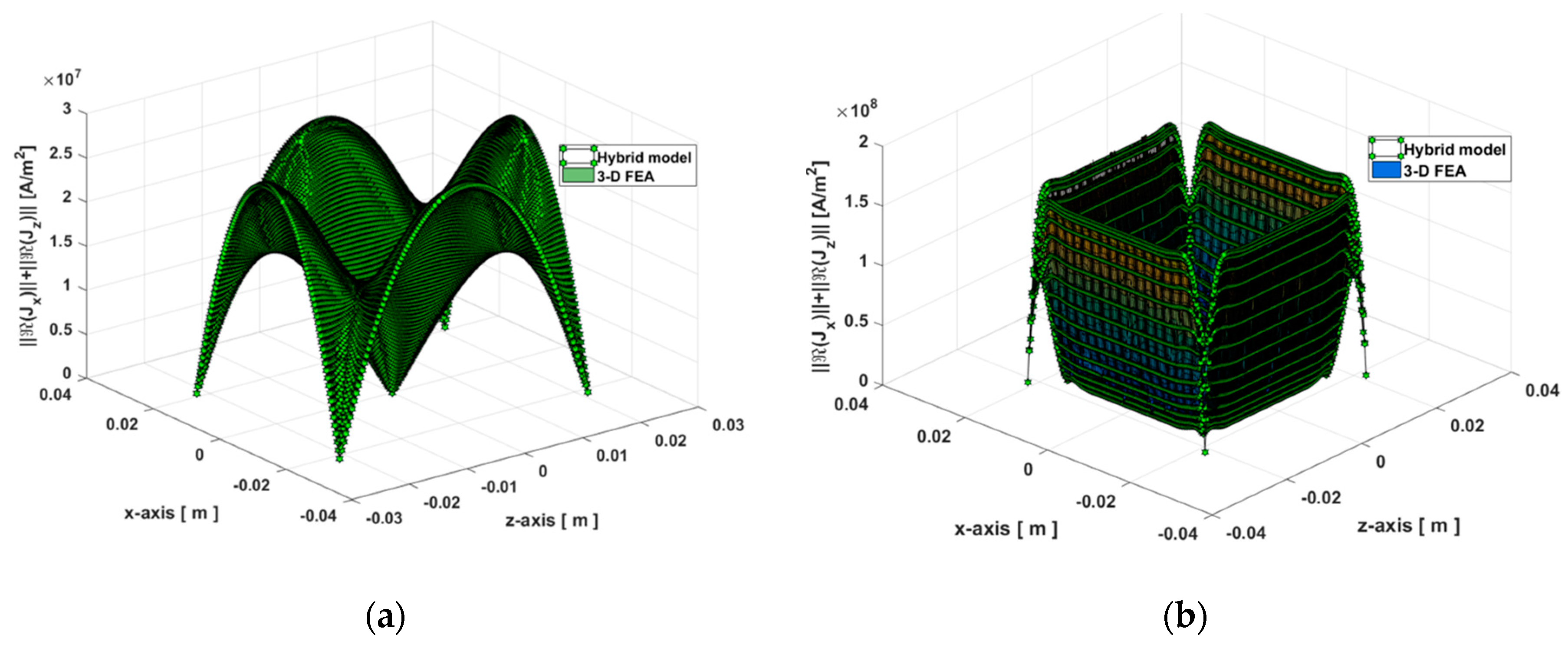
2.4.6. Comparing with 3-D FEA
3. 3-D Eddy-Current Loss Calculation
3.1. Mathematic Formulation
3.2. Experimental and Numerical Validations
3.2.1. Experimental Acquisition [33]
3.2.2. Validation of Model Coupling with
3.2.3. Validation of Model Coupling with
4. Conclusions
Author Contributions
Funding
Acknowledgments
Conflicts of Interest
References
- Combe, M. La Chine, un quasi-monopole sur la production de terres rares. 24 January 2018. Available online: https://www.techniques-ingenieur.fr/actualite/articles/chine-monopole-production-terres-rares-51380/ (accessed on 4 June 2019).
 - Jang, J.; Ha, J.; Ohto, M.; Ide, K.; Sul, S. Analysis of permanent-magnet machine for sensorless control based on high-frequency signal injection. IEEE Trans. Ind. Appl. 2004, 40, 595–1604. [Google Scholar] [CrossRef]
 - Benlamine, R.; Dubas, F.; Esapnet, C.; Randi, S.A.; Lhotellier, D. Design of an axial-flux interior permanent-magnet synchronous motor for automotive application: performance comparison with electric motors used in EVS and HEVS. In Proceedings of the 2014 IEEE Vehicle Power and Propulsion Conference (VPPC), Coimbra, Portugal, 27–30 October 2014. [Google Scholar] [CrossRef]
 - Dubas, F.; Espanet, C.; Miraoui, A. Field diffusion equation in high-speed surface-mounted permanent magnet motors, parasitic eddy-current losses. In Proceedings of the 6th International Symposium on Advanced Electro Mechanical Motion Systems (ELECTROMOTION 2005), Lausanne, Switzerland, 27–29 September 2005. [Google Scholar]
 - Masmoudi, A.; Masmoudi, A. 3-D analytical model with the end effect dedicated to the prediction of PM eddy-current loss in FSPMMs. IEEE Trans. Magn. 2015, 51, 8103711. [Google Scholar] [CrossRef]
 - Li, W.; Jeong, Y.W.; Koh, C.S. An adaptive equivalent circuit modeling method for the eddy current-driven electromechanical system. IEEE Trans. Magn. 2010, 46, 1859–1862. [Google Scholar] [CrossRef]
 - Stoll, R.L. The Analysis of Eddy Currents; Clarendon Press: Oxford, UK, 1974. [Google Scholar]
 - Zhu, Z.Q.; Ng, K.; Schofield, N.; Howe, D. Improved analytical modeling of rotor eddy current loss in brushless machines equipped with surface mounted permanent magnets. IEE Proc. Electr. Power Appl. 2004, 151, 641–650. [Google Scholar] [CrossRef]
 - Dubas, F.; Rahideh, A. Two-dimensional analytical permanent-magnet eddy-current loss calculations in slotless PMSM equipped with surface-inset magnets. IEEE Trans. Magn. 2014, 50, 6300320. [Google Scholar] [CrossRef]
 - Pfister, P.-D.; Yin, X.; Fang, Y. Slotted permanent-magnet machines: general analytical model of magnetic fields, torque, eddy currents, and permanent-magnet power losses including the diffusion effect. IEEE Trans. Magn. 2016, 52, 8103013. [Google Scholar] [CrossRef]
 - Benlamine, R.; Dubas, F.; Randi, S.A.; Lhotellier, D.; Espanet, C. 3-D numerical hybrid method for pm eddy-current losses calculation: application to axial-flux PMSMS. IEEE Trans. Magn. 2015, 51, 8106110. [Google Scholar] [CrossRef]
 - Ishak, D.; Zhu, Z.Q.; Howe, D. Eddy-current loss in the rotor magnets of permanent magnet brushless machines having a fractional number of slots per pole. IEEE Trans. Magn. 2005, 41, 2462–2469. [Google Scholar] [CrossRef]
 - Wang, J.; Atallah, K.; Chin, R.; Arshad, W.M.; Lendenmann, H. Rotor eddy-current loss in permanent-magnet brushless AC machines. IEEE Trans. Magn. 2010, 46, 2701–2707. [Google Scholar] [CrossRef]
 - Sinha, G.; Prabhu, S.S. Analytical model for estimation of eddy current and power loss in conducting plate and its application. Phys. Rev. Spec. Top. Accel. Beams 2011, 14, 062401. [Google Scholar] [CrossRef]
 - Hur, J.; Toliyat, H.A.; Hong, J.-P. 3-D time-stepping analysis of induction motor by new equivalent magnetic circuit network-model. IEEE Trans. Magn. 2001, 37, 3225–3228. [Google Scholar] [CrossRef]
 - Mahyob, A.; Ould Elmoctar, M.Y.; Reghem, P.; Barakat, G. Induction machine modelling using permeance network method for dynamic simulation of air-gap eccentricity. In Proceedings of the 2007 European Conference on Power Electronics and Applications (EPE), Aalborg, Denmark, 2–5 September 2007. [Google Scholar] [CrossRef]
 - Nakamura, K.; Fujio, S.; Ichinokura, O. A method for calculating iron loss of an SR motor based on reluctance network analysis and comparison of symmetric and asymmetric excitation. IEEE Trans. Magn. 2006, 42, 3440–3442. [Google Scholar] [CrossRef]
 - Nakamura, K.; Fujio, S.; Ichinokura, O. A method for calculating iron loss of a switched reluctance motor based on reluctance network analysis. In Proceedings of the 12th International Power Electronics and Motion Control Conference (EPE-PMC), Portoroz, Slovenia, 30 August–1 September 2006. [Google Scholar] [CrossRef]
 - Carpenter, M.J.; Macdonald, D.C. Circuit representation of inverter-fed synchronous motors. IEEE Trans. Energy Conv. 1989, 4, 531–537. [Google Scholar] [CrossRef]
 - Slemon, G.R. An equivalent circuit approach to analysis of synchronous machines with saliency and saturation. IEEE Trans. Energy Conv. 1990, 5, 538–545. [Google Scholar] [CrossRef]
 - Hemeida, A.; Sergeant, P.; Vansompel, H. Comparison of methods for permanent magnet eddy-current loss computations with and without reaction field considerations in axial flux PMSM. IEEE Trans. Magn. 2015, 51, 8106110. [Google Scholar] [CrossRef]
 - Busch, T.J.; Law, J.D.; Lipo, T.A. Magnetic circuit modeling of the field regulated reluctance machine. Part II: saturation modeling and results. IEEE Trans. Energy Conv. 1996, 11, 56–61. [Google Scholar] [CrossRef]
 - Yoshida, Y.; Nakamura, K.; Ichinokura, O. A method for calculating eddy current loss distribution based on electric and magnetic networks. IEEE Trans. Magn. 2011, 47, 4155–4158. [Google Scholar] [CrossRef]
 - Yoshida, Y.; Nakamura, K.; Ichinokura, O. Consideration of eddy current loss estimation in SPM motor based on electric and magnetic networks. IEEE Trans. Magn. 2012, 48, 3108–3111. [Google Scholar] [CrossRef]
 - Nakamura, K.; Hisada, S.; Arimatsu, K.; Ohinata, T.; Sakamoto, K.; Ichinokura, O. Iron loss calculation in a three-phase-laminated-core based on reluctance network analysis. IEEE Trans Magn. 2009, 45, 4781–4784. [Google Scholar] [CrossRef]
 - Bormann, D.; Tavakoli, H. Reluctance network treatment of skin and proximity effects in multi-conductor transmission lines. IEEE Trans. Magn. 2012, 48, 735–738. [Google Scholar] [CrossRef]
 - Demenko, A.; Sykulski, J.; Wojciechowski, R. Network representation of conducting regions in 3-D finite-element description of electrical machines. IEEE Trans. Magn. 2008, 44, 714–717. [Google Scholar] [CrossRef]
 - Demenko, A. Three dimensional eddy current calculation using reluctance-conductance network formed by means of FE method. IEEE Trans. Magn. 2000, 36, 741–745. [Google Scholar] [CrossRef]
 - Fu, W.N.; Liu, Z.J. Estimation of eddy-current loss in permanent magnets of electric motors using network-field coupled multi-slice time-stepping finite-element method. IEEE Trans. Magn. 2002, 38, 1225–1228. [Google Scholar] [CrossRef]
 - Gerlach, T.; Rabenstein, L.; Dietz, A.; Kremser, A.; Gerling, D. Determination of eddy current losses in permanent magnets of SPMSM with concentrated windings: A hybrid loss calculation method and experimental verification. In Proceedings of the 8th International Conference on Ecological Vehicles and Renewable Energies (EVER), Monte-Carlo, Monaco, Monaco, 10–12 April 2018. [Google Scholar] [CrossRef]
 - Mohammadi, S.; Mirsalim, M.; Vaez-Zadeh, S. Nonlinear modeling of eddy-current couplers. IEEE Trans. Energy Conv. 2014, 29, 224–231. [Google Scholar] [CrossRef]
 - Flux2D/3D. General Operating Instructions; Version 11.1.; Cedrat, S.A., Ed.; Electrical Engineering: Grenoble, France, 2013. [Google Scholar]
 - Chetangny, P.K.; Houndedako, S.; Vianou, A.; Espanet, C. Eddy-current loss in a conductive material inserted into a U-cored electromagnetic device. In Proceedings of the 2017 IEEE Vehicle Power and Propulsion Conference (VPPC), Belfort, France, 11–14 December 2017. [Google Scholar] [CrossRef]
 - Benmessaoud, Y.; Dubas, F.; Benlamine, R.; Hilairet, M. Three-dimensional automatic generation magnetic equivalent circuit using mesh-based formulation. In Proceedings of the 20th International Conference on Electrical Machines and Systems (ICEMS), Sydney, NSW, Australia, 11–14 August 2017. [Google Scholar] [CrossRef]
 - Benmessaoud, Y.; Dubas, F.; Benlamine, R.; Hilairet, M. Circuit équivalent magnétique générique tridimensionnel pour systèmes électromagnétiques. In Proceedings of the Symposium de Génie Électrique (SGE), Nancy, France, 3–5 July 2018. [Google Scholar]
 - Delale, A.; Albert, L.; Gerbaud, L.; Wurtz, F. Automatic generation of sizing models for the optimization of electromagnetic devices using reluctance networks. IEEE Trans. Magn. 2004, 40, 830–833. [Google Scholar] [CrossRef]
 - Benlamine, R.; Benmessaoud, Y.; Dubas, F.; Espanet, C. Nonlinear adaptive magnetic equivalent circuit of a radial-flux interior PM machine using air-gap sliding-line technic. In Proceedings of the 2017 IEEE Vehicle Power and Propulsion Conference (VPPC), Belfort, France, 11–14 December 2017. [Google Scholar] [CrossRef]
 - Benmessaoud, Y.; Belguerras, W.; Dubas, F.; Hilairet, M. 3-D generic magnetic equivalent circuit taking into account skin effect: Magnetic field and eddy-current losses. In Proceedings of the 13th international conference of the IMACS TC1 Committee (ELECTRIMACS 2019), Salerno, Italy, 21–23 May 2019. [Google Scholar]
 



















| Parameters, Symbols (Units) | Values | 
|---|---|
| Depth, (mm) | 43 | 
| Width, (mm) | 43 | 
| Coil height and width, {} (mm) | {77; 10} | 
| Coil section, (mm2) | 770 | 
| Yoke height and length, (mm) | {43; 150} | 
| Thickness of massive part, (mm) | 6 or 10 | 
| Height of overhang top and low, (mm) | {19; 4} | 
| Parameters, Symbols (Units) | Values | 
|---|---|
| Electrical frequency, (Hz) | 50 | 
| Maximal current, (A) | 0 to 8.2 | 
| Number of turns, (-) | 500 | 
| Relative permeability of massive parts in aluminum, (-) | 1 | 
| Electrical conductivity of massive parts in aluminum, (S/m) | |
| Vacuum permeability, (H/m) | 4π × 10−7 | 
| Relative permeability of iron core, (-) | 1500 | 
| Length (m) | Section (m2) | |
|---|---|---|
| x-axis | ||
| y-axis | 
© 2019 by the authors. Licensee MDPI, Basel, Switzerland. This article is an open access article distributed under the terms and conditions of the Creative Commons Attribution (CC BY) license (http://creativecommons.org/licenses/by/4.0/).
Share and Cite
Benmessaoud, Y.; Dubas, F.; Hilairet, M. Combining the Magnetic Equivalent Circuit and Maxwell–Fourier Method for Eddy-Current Loss Calculation. Math. Comput. Appl. 2019, 24, 60. https://doi.org/10.3390/mca24020060
Benmessaoud Y, Dubas F, Hilairet M. Combining the Magnetic Equivalent Circuit and Maxwell–Fourier Method for Eddy-Current Loss Calculation. Mathematical and Computational Applications. 2019; 24(2):60. https://doi.org/10.3390/mca24020060
Chicago/Turabian StyleBenmessaoud, Youcef, Frédéric Dubas, and Mickael Hilairet. 2019. "Combining the Magnetic Equivalent Circuit and Maxwell–Fourier Method for Eddy-Current Loss Calculation" Mathematical and Computational Applications 24, no. 2: 60. https://doi.org/10.3390/mca24020060
APA StyleBenmessaoud, Y., Dubas, F., & Hilairet, M. (2019). Combining the Magnetic Equivalent Circuit and Maxwell–Fourier Method for Eddy-Current Loss Calculation. Mathematical and Computational Applications, 24(2), 60. https://doi.org/10.3390/mca24020060
        
