A Novel Kinetic Modeling Framework for the Polycondensation of Sugars Using Monte Carlo and the Method of Moments
Abstract
1. Introduction
2. Polymerization Mechanism and Rate Functions
2.1. General Kinetic Scheme
- Intermolecular bond formation/hydrolysis reactions- –
- Addition of a reducing saccharide (bonds: 1-2, 1-3, 1-4 or 1-6):
- –
- Addition of a reducing saccharide (bond: 1-1):
- –
- Addition of a non-reducing saccharide (bonds: 1-2, 1-3, 1-4 or 1-6):
- –
- Addition of a polyol:
- –
- Addition of 1-6-anhydrosugars (bonds: 1-2, 1-3 or 1-4):
- –
- Addition of HMF (bond: 1-4):
 
- Internal Ring-Closure Reactions- –
- Formation of 1-6-anhydrosugars:
- –
- Formation of HMF:
 
- Degradation Reactions- –
- Formation of Humins:
 
2.2. Structural Characteristics of the Sugar Molecules
2.3. Rate Functions
2.4. Reactor Design Equations
3. Model Developments
3.1. Method of Moments
3.2. The Kinetic Monte Carlo Algorithm
3.3. Tracking the Structural Characteristics of the Sugar Molecules
3.4. Kinetic Rate Constants
4. Experimental
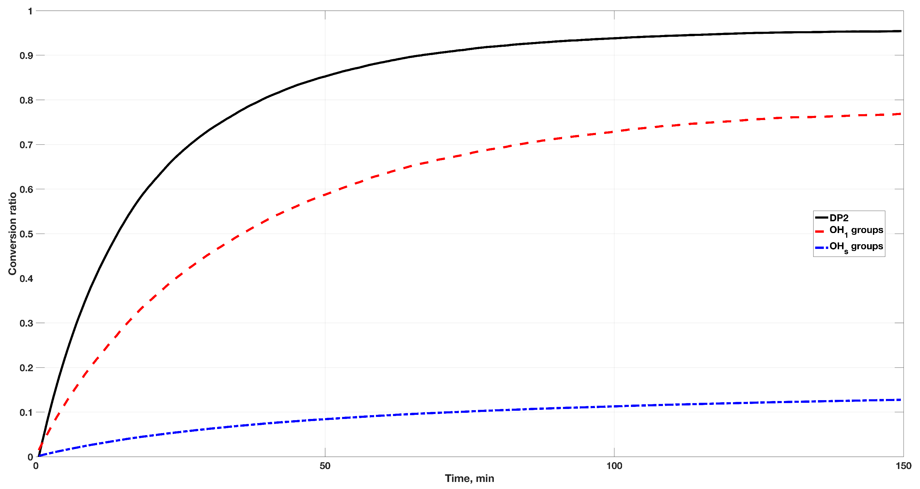
5. Model Results and Discussion
6. Conclusions
Author Contributions
Funding
Institutional Review Board Statement
Informed Consent Statement
Data Availability Statement
Conflicts of Interest
Abbreviations
| DP | Degree of Polymerization | 
| GPC | Gel-Permeation Chromatography | 
| MC | Monte Carlo | 
| MWD | Molecular Weight Distribution | 
Appendix A. Model Equations
Appendix A.1. Rate functions of the Macromolecular Species
- Non-Reducing sugar molecules of size n,
- Non-Reducing sugar molecules of size n, containing a polyol unit,
- Non-Reducing sugar molecules of size n, containing a 1-6-anhydrosugar
- Non-Reducing sugar molecules of size n, containing an HMF molecule
Appendix A.2. Rate Functions of the Non-Macromolecular Species
Appendix A.3. Moment Rate Functions
- Moments of the non-reducing sugar molecules of size n,
- Moments of the non-reducing sugar molecules of size n, containing a polyol unit,
- Moments of the non-reducing sugar molecules of size n, containing a 1-6-anhydrosugar,
- Moments of the non-reducing sugar molecules of size n, containing an HMF molecule,
References
- Qian, X. Mechanisms and energetics for acid catalyzed β-d-glucose conversion to 5-hydroxymethylfurfurl. J. Phys. Chem. A 2011, 115, 11740–11748. [Google Scholar] [CrossRef] [PubMed]
- Hu, X.; Lievens, C.; Li, C.Z. Acid-catalyzed conversion of xylose in methanol-rich medium as part of biorefinery. ChemSusChem 2012, 5, 1427–1434. [Google Scholar] [CrossRef] [PubMed]
- Alonso, D.M.; Wettstein, S.G.; Dumesic, J.A. Bimetallic catalysts for upgrading of biomass to fuels and chemicals. Chem. Soc. Rev. 2012, 41, 8075–8098. [Google Scholar] [CrossRef] [PubMed]
- Yang, G.; Pidko, E.A.; Hensen, E.J. Mechanism of Bronsted acid-catalyzed conversion of carbohydrates. J. Catal. 2012, 295, 122–132. [Google Scholar] [CrossRef]
- Caes, B.R.; Teixeira, R.E.; Knapp, K.G.; Raines, R.T. Biomass to Furanics: Renewable Routes to Chemicals and Fuels. ACS Sustain. Chem. Eng. 2015, 3, 2591–2605. [Google Scholar] [CrossRef]
- Liu, L.; Li, Z.; Hou, W.; Shen, H. Direct conversion of lignocellulose to levulinic acid catalyzed by ionic liquid. Carbohydr. Polym. 2018, 181, 778–784. [Google Scholar] [CrossRef] [PubMed]
- Caratzoulas, S.; Davis, M.E.; Gorte, R.J.; Gounder, R.; Lobo, R.F.; Nikolakis, V.; Sandler, S.I.; Snyder, M.A.; Tsapatsis, M.; Vlachos, D.G. Challenges of and Insights into Acid-Catalyzed Transformations of Sugars. J. Phys. Chem. C 2014, 118, 22815–22833. [Google Scholar] [CrossRef]
- SriBala, G.; Vinu, R. Unified kinetic model for cellulose deconstruction via acid hydrolysis. Ind. Eng. Chem. Res. 2014, 53, 8714–8725. [Google Scholar] [CrossRef]
- Pascu, E.; Mora, P.T. Polycindensation of D-Glucose and other simple sugars in presence of acids. J. Am. Chem. Soc. 1950, 72, 1045. [Google Scholar] [CrossRef]
- Mora, P.T.; Wood, J.W. Synthetic Polysaccharides. I. Polycondensation of Glucose. J. Polym. Sci. 1958, 80, 685–692. [Google Scholar]
- Durand, H.W.; Dull, M.F.; Tipson, R.S. Polymerization of α-d-Glucose in the Solid State, in the Presence of Metaboric Acid. J. Am. Chem. Soc. 1958, 80, 3691–3697. [Google Scholar] [CrossRef]
- Rennhard, H. Polysaccharides and Their Preparation. U.S. Patent No.3.766.165, 25 May 1972. [Google Scholar]
- Pfizer Inc. Saccharide Polycondensation. GB Patent GB1422294A, 5 April 1974. [Google Scholar]
- Hu, X.; Kadarwati, S.; Wang, S.; Song, Y.; Hasan, M.D.; Li, C.Z. Biomass-derived sugars and furans: Which polymerize more during their hydrolysis? Fuel Process. Technol. 2015, 137, 212–219. [Google Scholar] [CrossRef]
- Long, Y.; Yu, Y.; Song, B.; Wu, H. Polymerization of glucose during acid-catalyzed pyrolysis at low temperatures. Fuel 2018, 230, 83–88. [Google Scholar] [CrossRef]
- Xu, Q.; Hu, X.; Shao, Y.; Sun, K.; Jia, P.; Zhang, L.; Liu, Q.; Wang, Y.; Hu, S.; Xiang, J. Structural differences of the soluble oligomers and insoluble polymers from acid-catalyzed conversion of sugars with varied structures. Carbohydr. Polym. 2019, 216, 167–179. [Google Scholar] [CrossRef]
- Long, Y.; Yu, Y.; Wu, H. Mechanistic insights into the primary reactions during acid-catalysed pyrolysis of levoglucosan at 80–140 °C. Fuel 2020, 268. [Google Scholar] [CrossRef]
- Saeman, J.F. Kinetics of Wood Saccharification-Hydrolysis of Cellulose and Decomposition of Sugars in Dilute Acid at High Temperature. Ind. Eng. Chem. 1945, 37, 43–52. [Google Scholar] [CrossRef]
- XIang, Q.; Kim, J.S.; Lee, Y.Y. A comprehensive Kinetic Model for Dilute-Acid Hydrolysis of Cellulose. Appl. Biochem. Biotechnol. 2003, 105–108, 337–352. [Google Scholar] [CrossRef]
- Girisuta, B.; Janssen, L.P.; Heeres, H.J. Green chemicals: A kinetic study on the conversion of glucose to levulinic acid. Chem. Eng. Res. Des. 2006, 84, 339–349. [Google Scholar] [CrossRef]
- Jing, Q.; Lü, X. Kinetics of Non-catalyzed Decomposition of Glucose in High-temperature Liquid Water. Chin. J. Chem. Eng. 2008, 16, 890–894. [Google Scholar] [CrossRef]
- Pilath, H.M.; Nimlos, M.R.; Mittal, A.; Himmel, M.E.; Johnson, D.K. Glucose reversion reaction kinetics. J. Agric. Food Chem. 2010, 58, 6131–6140. [Google Scholar] [CrossRef]
- Kupiainen, L.; Ahola, J.; Tanskanen, J. Kinetics of glucose decomposition in formic acid. Chem. Eng. Res. Des. 2011, 89, 2706–2713. [Google Scholar] [CrossRef]
- Tan-Soetedjo, J.N.; Van De Bovenkamp, H.H.; Abdilla, R.M.; Rasrendra, C.B.; Van Ginkel, J.; Heeres, H.J. Experimental and Kinetic Modeling Studies on the Conversion of Sucrose to Levulinic Acid and 5-Hydroxymethylfurfural Using Sulfuric Acid in Water. Ind. Eng. Chem. Res. 2017, 56, 13228–13239. [Google Scholar] [CrossRef]
- Sumerskii, I.V.; Krutov, S.M.; Zarubin, M.Y. Humin-Like substances formed under the conditions of industrial hydrolysis of wood. Rus. J. Appl. Chem. 2010, 83, 320–327. [Google Scholar] [CrossRef]
- Verros, G.D. Calculation of molecular weight distribution in non-linear free radical copolymerization. Polymer 2003, 44, 7021–7032. [Google Scholar] [CrossRef]
- Kiparissides, C. Challenges in particulate polymerization reactor modeling and optimization: A population balance perspective. J. Process Control 2006, 16. [Google Scholar] [CrossRef]
- Konstadinidis, K.; Achilias, D.S.; Kiparissides, C. Development of a unified mathematical framework for modelling molecular and structural changes in free-radical homopolymerization reactions. Polymer 1992, 33, 5019–5031. [Google Scholar] [CrossRef]
- Hulburt, H.; Katz, S. Some problems in particle technology. Chem. Eng. Sci. 1964, 19, 555–574. [Google Scholar] [CrossRef]
- Zabisky, R.C.; Chan, W.M.; Gloor, P.E.; Hamielec, A.E. A kinetic model for olefin polymerization in high-pressure tubular reactors: A review and update. Polymer 1992, 33, 2243–2262. [Google Scholar] [CrossRef]
- Lee, K.H.; Marano, J.P. Free-Radical Polymerization: Sensitivity of Conversion and Molecular Weights to Reactor Conditions. ACS Symp. Ser. Polym. React Process. 1979, 221–251. [Google Scholar] [CrossRef]
- Lim, C.; Nebus, J. Vorticity, Statistical Mechanics, and Monte Carlo Simulation; Springer Science & Business Media: New York, NY, USA, 2007. [Google Scholar]
- Dagpunar, J.S. Simulation and Monte Carlo: With Applications in Finance and MCMC; John Wiley & Sons: Hoboken, NJ, USA, 2007. [Google Scholar]
- Liu, J.S. Monte Carlo Strategies in Scientific Computing; Springer Science & Business Media: New York, NY, USA, 2008. [Google Scholar]
- Rubinstein, R.Y.; Kroese, D.P. Simulation and the Monte Carlo Method; John Wiley & Sons: Hoboken, NJ, USA, 2016; Volume 10. [Google Scholar]
- Gillespie, D.T. A general method for numerically simulating the stochastic time evolution of coupled chemical reactions. J. Comput. Phys. 1976, 22, 403–434. [Google Scholar] [CrossRef]
- Tobita, H. Molecular weight distribution in free radical polymerization with long-chain branching. J. Polym. Sci. Part B Polym. Phys. 1993, 31, 1363–1371. [Google Scholar] [CrossRef]
- Meimaroglou, D.; Krallis, A.; Saliakas, V.; Kiparissides, C. Prediction of the bivariate molecular weight-Long chain branching distribution in highly branched polymerization systems using Monte Carlo and sectional grid methods. Macromolecules 2007, 40, 2224–2234. [Google Scholar] [CrossRef]
- Meimaroglou, D.; Kiparissides, C. Review of Monte Carlo Methods for the Prediction of Distributed Molecular and Morphological Polymer Properties. Ind. Eng. Chem. Res. 2014, 53, 8963–8979. [Google Scholar] [CrossRef]
- Meimaroglou, D.; Kiparissides, C. A novel stochastic approach for the prediction of the exact topological characteristics and rheological properties of highly-branched polymer chains. Macromolecules 2010, 43, 5820–5832. [Google Scholar] [CrossRef]
- Keramopoulos, A.; Kiparissides, C. Development of a comprehensive model for diffusion-controlled free-radical copolymerization reactions. Macromolecules 2002, 35. [Google Scholar] [CrossRef]
- Achilias, D.S. A review of modeling of diffusion controlled polymerization reactions. Macromol. Theory Simul. 2007, 16. [Google Scholar] [CrossRef]
- Duerksen, J.H.; Hamielec, A.E. Molecular Weight Distribution. Part III. Gel Permeation Chromatography, Methods of Correcting for Imperfect Resolution. J. Polym. Sci. Part C Polym. Symp. 1968, 21, 83–103. [Google Scholar] [CrossRef]
- Duerksen, J.H.; Hamielec, A.E. Polymer reactors and molecular weight distribution. Part VII. Further development of gel permeation chromatography. J. Polym. Sci. Part C Polym. Symp. 1968, 12, 2225–2255. [Google Scholar] [CrossRef]










| Type of Sugar Molecule | Bonds between Glucose Units (Equations (1)–(4)) | Bonds between Glucose Units and X (Equations (5)–(7)) | Internal Ring Closure Bonds (Equations (8) and (9)) | ||
|---|---|---|---|---|---|
| 1 | 0 | 0 | |||
| 0 | 0 | 0 | |||
| 0 | 1 | 0 | |||
| 0 | 1 | 1 | |||
| 0 | 1 | 3 | 
| Reaction Type | Rate of Bond Formation | Hydrolysis Rate | 
|---|---|---|
| min | min | |
| - | ||
| - | ||
| - | 
| Type of Sugar Molecule | a | b | 
|---|---|---|
| 3 | 1 | |
| 3 | 2 | |
| 3 | p | |
| 3 | 3 | |
| 3 | 1 | 
| Parameter | Value | Units | 
|---|---|---|
| L mol min | ||
| min | ||
| min | ||
| L mol min | ||
| L mol min | ||
| mol min | 
| Publisher’s Note: MDPI stays neutral with regard to jurisdictional claims in published maps and institutional affiliations. | 
© 2021 by the authors. Licensee MDPI, Basel, Switzerland. This article is an open access article distributed under the terms and conditions of the Creative Commons Attribution (CC BY) license (https://creativecommons.org/licenses/by/4.0/).
Share and Cite
Meimaroglou, D.; Hoppe, S.; Boit, B. A Novel Kinetic Modeling Framework for the Polycondensation of Sugars Using Monte Carlo and the Method of Moments. Processes 2021, 9, 745. https://doi.org/10.3390/pr9050745
Meimaroglou D, Hoppe S, Boit B. A Novel Kinetic Modeling Framework for the Polycondensation of Sugars Using Monte Carlo and the Method of Moments. Processes. 2021; 9(5):745. https://doi.org/10.3390/pr9050745
Chicago/Turabian StyleMeimaroglou, Dimitrios, Sandrine Hoppe, and Baptiste Boit. 2021. "A Novel Kinetic Modeling Framework for the Polycondensation of Sugars Using Monte Carlo and the Method of Moments" Processes 9, no. 5: 745. https://doi.org/10.3390/pr9050745
APA StyleMeimaroglou, D., Hoppe, S., & Boit, B. (2021). A Novel Kinetic Modeling Framework for the Polycondensation of Sugars Using Monte Carlo and the Method of Moments. Processes, 9(5), 745. https://doi.org/10.3390/pr9050745
 
         
                                                



 
       