You are currently viewing a new version of our website. To view the old version click .
Processes
  • Feature Paper
  • Article
  • Open Access

24 September 2021

Low-Cost Synthesis of Alumina Nanoparticles and Their Usage for Bisphenol-A Removal from Aqueous Solutions

,
,
and
1
Laboratory of Materials and Molecular Chemistry, UFR—SEA, University Joseph Ki Zerbo, Ouagadougou 03 BP 7021, Burkina Faso
2
Training and Research Unit in Science and Technology, University of Ouahigouya, Ouahigouya 01 BP 346, Burkina Faso
*
Author to whom correspondence should be addressed.
This article belongs to the Special Issue Pollutant Removal and Separation Processes in Chemical Engineering

Abstract

Gamma-alumina nanoparticles (γANPs) were obtained from a low-cost process by using natural bauxites. The γANPs materials were characterized by X-ray powder diffraction (XRPD), Fourier-transform infrared spectroscopy (FTIR), Brunauer–Emmett–Teller (BET) theory, scanning electron microscopy (SEM), atomic force microscopy (AFM), and were functionalized with N-cetyl-N, N, N, trimethylammonium bromide (CTAB), leading to CTAB modified γ-alumina nanoparticles (γANPs-CTAB). These novel functionalized γANPs-CTAB were characterized by XRPD, FTIR, and were used as an adsorbent for bisphenol-A (BPA) removal from water. Batch investigations were conducted under different experimental conditions (e.g., adsorbent dose, agitation time, initial concentration, and pH and surfactant loading) in order to optimize BPA adsorption and to identify the adsorption mechanisms in the system γANPs-CTAB-BPA. The effect of pH on the adsorption showed that the quantity of BPA removed increased remarkably until the pH value was 4, then remained almost constant until the pH value was up to 10, and then decreased for pH values greater than 10. For an initial BPA concentration of 20 mg/L and an adsorbent dose of 12.5 g/L at a pH value of 10, the removal efficiency achieved was 91.80 ± 0.21%. The adsorption mechanism was perfectly described by pseudo-second-order kinetics and the Langmuir isotherm. γANPs-CTAB materials were found to be effective adsorbents for BPA removal from water.

1. Introduction

Bisphenol-A (BPA) is an organic compound widely used as a monomer in the production of polycarbonates and epoxy resins [1,2,3], which are used primarily in food plastic containers, surface coatings for food and water containers, baby bottles, cans, appliances, dyes, and coatings. It is also used as an antioxidant in plasticizers and as a polymerization inhibitor in polyvinyl chloride (PVC). Unfortunately, BPA is an estrogen-mimetic endocrine disruptor capable of mimicking natural hormones, leading to negative health effects including heart disease, diabetes, reproductive problems, early puberty, obesity, genital malformations, and cancer [4,5]. Pop et al. reported that BPA can also act with the lipids in the tissue of vegetal organisms, and this induces cell membrane modification, or its damage, and eventually apoptosis [6]. This compound is particularly dangerous for pregnant women, infants, young children, and adolescents during puberty [7,8]. In developing countries, several industries constitute a source of BPA pollution in groundwater and wastewaters and a source of exposure for humans in the located towns. Unfortunately, in sub-Saharan Africa, poverty and weak state institutions inhibit strict control of endocrine disruptors that are released into the environment through the release of wastewaters. Although several local industries are currently using BPA in their production (plastic bottle production, dyes and coatings, etc.), the release of BPA into the environment is not regulated. In this context, there is an urgent need to find cost-effective and reliable methods for BPA removal from groundwater and wastewater.
Different reliable methods, such as adsorption [9,10], chemical advanced oxidation [11], membrane filtration [12], electrochemical mineralization [13,14], ozonation [15], Fenton degradation [16], photocatalytic decomposition [17], UV/H2O2 oxidation [18], and biodegradation [19], have been used for BPA removal from complex aqueous matrices. Advanced oxidation processes are related to the combination of activated carbon and O3/UV and O3/UV/TiO2 systems for BPA removal [11]. However, the presence of ozone involved higher costs associated with the treatment. In membrane filtration, selected polyamide-based dense nanofiltration (NF) and reverse osmosis (RO) membranes were compared for their BPA rejections from a model solution of 50 mg/L at 10 bars of applied pressure [12]. Electrochemical oxidation, involving consumption of electric energy with anode electrodes, which are not easily accessible in a defined context, was used for BPA removal [13,14]. Moreover, for such an operation, a qualified and trained staff is required. Consumption of electric energy was also involved in photolytic degradation experiments of BPA by using Bi2WO6 samples in a photochemical reactor with simulated sunlight irradiation provided by an 800 W xenon lamp [17], and in a mineralization process by integrating ultrasound-UV-iron (II) treatment [18]. Ozonation involves the application of ozone for the treatment of BPA [15]. Although this treatment presented a great potential for industrial scale, there was a significant lack of information on the formation of oxidation by-products and their toxicities, particularly in a more complex medium such as wastewater, and further investigation was needed for a better understanding of the environmental fate of BPA [15]. Oxidative degradation using hydroxyl radicals (OH) was proven to be an efficient approach by using a Fenton system consisting of the Au/styrene-based activated carbon catalyst and hydrogen peroxide (H2O2) for the degradation of BPA under non-photo-induced conditions [16]. As for biodegradation, the abilities of ligninolytic fungal strains to degrade several typical representatives of EDCs were investigated [19]. The results showed that almost all the fungi were able to degrade the tested EDCs under the study’s conditions. However, the study emphasized the need for further research, especially to identify metabolites, intermediates, and degradation products, in order to improve the understanding of the degradation mechanisms and to assess the toxicological risks related to the degradation processes of EDC. All of the above techniques may appear to be difficult to implement in developing countries, because of one or a combination of the following reasons: (i) high cost; (ii) sophisticated technology requiring highly qualified and trained staff; (iii) toxicity risks in some cases. On the contrary, the adsorption process onto appropriate adsorbents is strongly favored because of its simplicity, cost effectiveness, ease of operation, and high efficiency for BPA removal [9,10,20]. Moreover, the process could be applicable for a large amount of water and can be implemented in rural environments. In particular, there is a need for finding effective, inexpensive, and efficient materials for the adsorption processes. The removal of BPA from aqueous solutions by adsorption was demonstrated in several investigations, including hydrophobic zeolite [20,21], cetylpyridinium bromide (CPB) and N-cetyl-N, N, N, trimethylammonium bromide (CTAB) modified natural zeolites [21,22,23], various surfactants-modified clays [24,25,26], combined use of biopolymer chitosan and oxidoreductase polyphenol oxidase [27], chitosan [28], waste biomass [29,30,31] composites and polymeric materials [32,33], nano-adsorbents materials such as 2-vinylpyridine functionalized magnetic nanoparticles [34], and graphene oxide [35]. Among the nano-adsorbents used for organic and inorganic pollutants removal, gamma-alumina nanoparticles have gained extensive attention as reliable, sustainable, and eco-friendly materials [36,37,38,39,40,41,42,43]. Gamma-alumina nanoparticles with a high specific surface area were found to be very promising for the removal of hazardous dyes, such as azo dyes and Orange G, from aqueous solutions [41,43]. However, due their negative charge surface, recalcitrant pollutants are very hard to remove by adsorption on them. Fortunately, the modification of their surface, by suitable surfactants, enhances their structural properties, increases their potential as adsorbents, and greatly improves the removal of both inorganic and organic pollutants [36,37,38,39,40,42]. Among the various surfactants that were used for adsorbents surface modification in view of BPA removal from aqueous solutions [22,23,44], CTAB was found to be very efficient for adsorbent nanoparticle modification. CTAB was used by Zhang et al. for the first time for the modification of synthesized SiO2 from tetraethyl orthosilicate by a sol–gel method, and the modified silica nanoparticles were applied to adsorb BPA [44]. Recently, Suzimara Rovani et al. reported a fast, efficient, and clean adsorption of BPA using N-cetyl-N, N, N, trimethylammonium (CTAB) modified mesoporous silica nanoparticles from sugarcane waste ash [45]. Although the above literature review shows that the method of surface modification is a well-established method that enhances the structural properties of the materials in view of environmental applications, synthesized gamma-alumina nanoparticles, obtained through a low-cost process by using natural materials such as bauxite and subsequently modified with different surfactants, have not been completely explored as potential adsorbents for the removal of BPA from aqueous solutions. Indeed, the quest for simple, low-cost, and high-performance water purification processes in developing countries necessitates the use of local materials that are natural materials, good sorbents, inexpensive, and represent a viable replacement for high cost starting materials and toxic precursors that are involved in synthesis processes. In particular, large deposits of bauxite ores are available in the Center-North region of Burkina Faso, bauxite being known, among other raw materials (kaolin, mica, and fly ash), as the best source of aluminum for the synthesis of nano gamma-alumina powder [46,47]. In this regard, special attention is deserved for the low-cost synthesis of surfactant modified gamma-alumina nanoparticles for BPA removal from aqueous solutions.
To obtain gamma-alumina nanoparticles of desired size, shape, and functionalities, several chemical routes have been used, such as hydrothermal, vapor phase reaction, co-precipitation, combustion, and sol–gel methods [48,49,50]. Among these various routes, the sol–gel process achieves a high purity phase, good compositional homogeneity, and a high surface activity of synthesized alumina nanoparticles [51,52]. In this study, gamma-alumina nanoparticles (γANPs) were obtained from a low-cost process with the sol–gel process by using natural local bauxites from Burkina Faso. Bauxite is a heterogeneous material that occurs naturally and is primarily made up of one or more aluminum hydroxide minerals, plus various mixtures of silica (SiO2), iron oxide (Fe2O3), titanium dioxide (TiO2), aluminosilicate, and trace amounts of several impurities [47]. The principal aluminum hydroxide minerals found in varying proportions within bauxite are gibbsite (Al(OH)3) and the polymorphs boehmite and diaspore (both AlO(OH)). To our knowledge, few studies on the synthesis of gamma nano-alumina from natural local bauxite for water pollution control have been reported. This paper is the first one that investigates the removal of BPA from modified synthesized gamma-alumina nanoparticles obtained from natural local bauxites.
The objective of the present paper was: (i) to increase the added value of the natural local bauxites that are abundant and widely available in Burkina Faso by using them in the preparation of gamma-alumina nanoparticles (γANPs), and subsequently to investigate the physicochemical properties of CTAB-functionalized γANPs (γANPs-CTAB); (ii) to investigate the removal of BPA from aqueous solutions by adsorption onto γANPs-CTAB, with a particular emphasis on the following effects: adsorbent dosage, contact time (kinetics), initial concentration (isotherms), effect of pH, and effect of surfactant loading. The γANPs materials were characterized by Brunauer–Emmett–Teller (BET) theory, scanning electron microscopy (SEM), and atomic force microscopy (AFM). The novel functionalized CTAB γ-alumina nanoparticles (γANPs-CTAB) were also characterized by X-ray powder diffraction (XRPD), scanning Electron Microscopy (SEM) and Fourier-transform infrared spectroscopy (FTIR).

2. Materials and Methods

2.1. Materials

The natural local bauxite, named BA, used for the synthesis of γ-alumina nanoparticles (γANPs), was collected in Foulou village located in the Center-North region of Burkina Faso at the following coordinates: 13°13′35,0″ N and 01°32′56,7″ W. Hydrochloric acid (HCl, 37% extra pure, Loba Chemie, Ahmedabad, India), ethanol (99.8%, Fluka, Darmstadt, Germany) and ammonia solution (32%, BDH, Londres, UK) were used to prepare and modify the γ-alumina nanoparticle materials. The surfactant N-cetyl-N, N, N, trimethylammonium bromide (CTAB) was purchased from Sigma-Aldrich (≥99% purity). Silver nitrate (AgNO3 ≥ 99.8% purity) was purchased from Sigma-Aldrich to test the bromide ions.
The analytical grade acetonitrile (CH₃CN ≥ 99% purity) and sodium hydroxide pellets (NaOH ≥ 99% purity) were purchased from Sigma-Aldrich and VWR International, respectively. Hydrophilic PTFE, or Acrodisc nylon filters, were purchased from Sigma Aldrich. Milli-Q water used for all experiments was produced by the Milli-Q (Millipore Corporation, New York, NY, USA) water purification system.

2.2. Methods

2.2.1. Synthesis and Modification of Gamma-Alumina Nanoparticles (γ-ANPs)

The adsorbent material gamma nano-alumina (γANPs) was prepared from natural local bauxite by using the sol–gel process according to Dani Gustaman Syarif et al., 2015 and P. Manivasakan et al., 2009 [46,53]. The bauxite materials were first dried, crushed, ground, and sieved. The passers-by of a sieve with a mesh size of 75 µm were selected for the synthesis of γANPs. A very dry mixture containing 60% by mass of raw bauxite and 40% by mass of sodium hydroxide was allowed to react in 250 mL of distilled water and vigorously stirred at 800 rpm for 2 h. The idea was to obtain a pH in the range of 13–14, a pH range in which only aluminum oxide was dissolved whereas iron oxide, titanium oxides, and other oxides were deposited as sludge. Thus, the stirred solution was centrifuged, and the supernatant was collected and centrifuged several times to finally obtain a fairly clear solution. This filtrate was used as a precursor for the synthesis of γANPs. The reaction likely to occur between bauxite and soda is the following (Equation (1)):
Bauxite + NaOH + water NaAlO 2 + red   mud + water
The obtained filtrate was first brought to room temperature and then a solution of N-cetyl-N, N, N, trimethylammonium bromide (CTAB) was added, drop by drop, to the filtrate under constant stirring. The role of CTAB is to minimize the formation of agglomerations. Hydrochloric acid was then added to the filtrate to initiate flocculation. We noted the efficiency of the flocculation in the pH range 6.5–9. The resulting gel was filtered and washed several times with distilled water and then with ethanol to remove impurities. The resulting gel was aged at 200 °C for 10 h in an oven to obtain the boehmite. The boehmite was then calcined at 900 °C for 4 h and finally crushed using agate mortar and pestle to get the fine homogeneous powder of the γANPs.

2.2.2. Preparation of Gamma-Alumina Nanoparticles (γANPs) Modified by CTAB (γANPs-CTAB)

CTAB as the stabilizer plays an important role in the velocity of adsorption, which depends on the physicochemical characteristics of the system adsorbate, adsorbent, and solution. In this case, the surfactant CTAB has a positive charge and therefore shows affinity for anionic species [54,55]. Considering the methodology utilized, it is expected to find CTAB on the surface of the gamma-alumina nanoparticles making the surface hydrophobic, which provides suitable sites for BPA adsorption.
To prepare the CTAB modified γ-ANPs, an amount of γ-ANPs and CTAB was mixed. CTAB was first dissolved in a mixture composed of water and ethanol (1:1, V/V). To this emulsion/biphasic system, the nano-alumina obtained previously was added, under constant stirring. The pH of this suspension was adjusted at the range from 9.0 to 10 by addition of ammonia solution (0.1 mol L−1). The mixed solution was shaken for 1 h and then heated at 60 °C for 5 h. The γ-ANPs-CTAB were separated from the reaction medium under centrifugation and washed several times with pure water and oven-dried at 105 °C. This product (γANPs-CTAB) was used as sorbent for BPA and BPA ions.

2.2.3. Characterization Methods

Elementary chemical analysis was performed by ICP (ICP-AES-IRIS Intrepid II XSP model). The solution was made as follows: 100 mg of samples (natural local bauxite or γANPs) previously dried in an oven at 105 °C for 24 h were weighed and then placed in a Teflon case. To this we added 3 mL of hydrofluoric acid (HF 30% w/w), 3 mL of sulfuric acid (H2SO4 96% w/w), and 4 mL of nitric acid (HNO3 65% w/w). The whole was placed in the microwave oven of the MILESTONE/START D Microware brand, which was brought to 200 °C for twenty minutes. After mineralization, the samples were filtered, and the filtrates were diluted and then analyzed. The values output from the ICP were added to obtain the total chemical composition of sample.
The specific surface area and pore volume of the γANPs samples were determined by the BET analysis using the BELSORP MAX instrument running with the Bel Japan Inc. software. The samples were degassed and dehydrated for 24 h at 200 °C under vacuum. The method used is based on the nitrogen adsorption/desorption isotherms at 77 K.
Scanning electron microscopy (SEM HITACHI SU8020 computer-controlled with the software EDX SDD, Thermo Scientific, Mons, Belgium) was used for the morphological characterization of the samples (γANPs, γANPs-CTAB, and γANPs-CTAB-BPA). The working potential was 20 kV, which allowed a magnification of up to 30,000 X. The SEM was coupled with an EDX (software EDX SDD Thermo Scientific) for chemical analysis of sample surfaces. The powdered samples with a particle size of less than 100 μm were placed on double-sided sticky paper, which in turn was glued to the sample holder. The whole was metallized with a layer of gold (Au/Ag) to make it conductive before observation. To quantitatively estimate the particle size, the surface roughness, and visualize the surface nano-texture of the pure γANPs samples, AFM analysis was carried using Multimode 8 + Nanoscope V controller (Bruker) microscope. A solution of PMMA (Mn~18,000) 15 mg · mL−1 + γANPs 10 mg · mL−1 in chlorobenzene was spin coated at 4000 rpm on a glass substrate cleaned beforehand and then dried with nitrogen. The sample was then annealed on a hot plate at 100 °C for 5 min. The AFM analysis was then carried out.
The adsorbent materials γANPs and γANPs-CTAB, and the samples after BPA adsorption (γANPs-CTAB-BPA), were characterized by X-ray powder diffraction (XRPD) on a D8 Advance Davinci Bruker X-ray generator diffractometer (working at 40 mA generator current and 40 kV generator voltage with Cu-Kα radiation (λ = 1.54060 Å)). The XRPD data were recorded in the 2θ range 5–70° at a scan speed of 0.02° s−1.
To identify functional groups on the samples (γANPs, γANPs-CTAB, or γANPs-CTAB-BPA), Fourier-transform infrared (FTIR) spectroscopy was performed using a Shimadzu FTIR-8400S spectrometer. The spectra were acquired by accumulating 20 scans with a resolution of 4 cm−1 over a wavelength range of 400 to 4000 cm−1. The measurements were carried out in absorbance. Infrared analysis of the samples was performed using the potassium bromide pelletizing technique. The pellets were made by mixing 5 mg of each sample with 500 mg of potassium bromide (KBr, Merck, Darmstadt (Germany)). The mixture obtained was finely ground and subjected to a pressure of ten (10) tons. The pellet thus formed was analyzed with a spectrophotometer.

2.2.4. Determination of pHZPC

To understand the adsorption mechanism, it is necessary to determine the zero charge point of the adsorbent [56,57]. pHZPC of an adsorbent is an important characteristic, as it helps in determining the pH value at which the surface of the adsorbent becomes electrically neutral and facilitates predicting the surface behavior of adsorbent materials. To determine the pHZPC, the solid addition method was adopted using 0.01 M of NaCl. A volume of 50 mL of this solution was placed in different flasks, each containing 200 mg of alumina nanoparticles at different pH values. The pH of the solutions was adjusted in 2.0–12.0 range by adding 0.1 mol · L−1 of HCl or NaOH solutions. The flasks were then agitated at 500 rpm for 24 h, and the pH of the solutions was measured by a pH meter. A graph of pHfinal vs. pHinitial was plotted and the point of intersection of the two graphs represents the pHZPC of the alumina nanoparticles. At pH values below pHzpc, the surface of the adsorbent is positively charged; at values greater than pHzpc, the surface of the adsorbent is negatively charged.

2.3. Batch Bisphenol-A (BPA) Adsorption Investigations

The adsorption studies of BPA onto γANPs-CTAB were conducted at different pH values and various initial BPA concentrations. The experiments were carried out by agitating the BPA solution with γANPs-CTAB (adsorbent dosage varying from 0.1 g to 1 g) under a defined constant stirring speed at different contact times varying from 0 to 120 min.
All batch experiences were carried out in triplicate at room temperature. The concentration of BPA before and after adsorption was measured by a high-performance liquid chromatography (HPLC, Agilent HP 1100) system coupled with a Luna 5 µL C18 column (Phenomenex Pty Ltd., Lane Cove, (Australia)). A DAD (UV-visible) detector was used to determine the concentration of BPA in the supernatants. After agitation in all cases, the solution was centrifuged at 4000 rpm and the suspension was filtered through 0.45 µm nylon Acrodisc or hydrophilic PTFE membrane filters. The mobile phase was a mixture of acetonitrile and deionized water (V/V) and the detection wavelength was 278 nm. A flow rate of 0.1 mL/min and an injection volume of 20 µL were employed for the analyses.
The amount of the adsorbed BPA (mg/g) in all the experiments was calculated using the Equation (2):
Qe   mg / g = Ci Ce × V / M × 1000
Ci and Ce are initial and equilibrium concentrations of BPA (mg/L), respectively, V is the volume (mL), and M is the adsorbent mass (g).
The percentage of BPA (% BPA) removed is calculated using the Equation (3):
%   BPA = Ci Ce × 100 / Ci
Ci and Ce are initial and equilibrium concentrations of BPA (mg/L), respectively.
The pH value of all solutions used for BPA adsorption experimentation was adjusted to a pH value around 10.
The effect of the surfactants loading level on the BPA adsorption was carried out by placing 500 mg of the resulting γANPs-CTAB with the CTAB loaded at various percentages (5, 10, 15, 20, 25, 30, 35 and 40) and 40 mL of BPA solution at the concentration of 20 mg/L, and the whole was stirred at 600 rpm for 24 h.
The pH effect on the adsorption of BPA was carried out by adjusting the pH of a solution of 20 mg/L from pH 2–12 and further 40 mL of each prepared solution and 200 mg of γANPs-CTAB were placed in a bottle of 60 mL and the whole was shaken for 24 h with a horizontal shaker.
The effect of the adsorbent dose was investigated by the addition of different amounts of γANPs-CTAB (from 0.1 to 1.0 g) in 40 mL of 20 mg/L BPA aqueous solution at 298 K for 24 h.
The effect of the agitation time on adsorption was carried out by placing 500 mg of the adsorbent (γANPs-CTAB) and 40 mL of a BPA solution at concentration of 20 mg/L in a bottle of 60 mL. The whole was stirred at a speed of 600 rpm for various contact times varying from 0 min up to 120 min at the ambient temperature.
The ratio of adsorbate (BPA) concentration to adsorbent (γANPs-CTAB) was studied by adding 40 mL of a BPA solution, at a concentration varying from 10 to 500 mg/L, in a bottle of 60 mL containing already 500 mg of the given γANPs-CTAB under investigation. The whole was shaken with a horizontal batch shaker for 24 h at the ambient temperature.
The adsorption kinetics of BPA by γANPs-CTAB were tested using pseudo-first-order and pseudo-second-order models. The Langmuir and Freundlich models were applied to fit the equilibrium data (Equations (4) and (5)). These isotherms are listed as below [58]:
Langmuir isotherm model
C e Q e = 1 K L × Q m + C e Q m
where Q m mg g is the Langmuir monolayer sorption capacity and K L L mg is the Langmuir coefficient.
Freundlich isotherm model
ln Q e = lnk F + lnCe n
where KF (mg/g) and n are Freundlich constants corresponding to the adsorption capacity and the adsorption intensity, respectively.
The RL constant is used to predict whether an adsorption system is favorable or unfavorable. This factor is defined by Equation (6):
R L = 1 1 + K L × C i
Ci is the initial concentration in the solution (mg/L). Isotherm adsorption is linear for R L = 1 , unfavorable for R L > 1 and favorable for 0 < R L < 1 .

2.4. Statistics and Data Analysis

The data fit of adsorption was carried out using Excel (version Microsoft Excel 2016). The average values and standard deviations analysis of the amount of CTAB (%), effects of pH, adsorbent dose, agitation time, and initial concentration on the adsorption of BPA by γANPs-CTAB were carried out using Excel. Differences were considered significant at p value < 5%.

3. Results and Discussion

3.1. Raw Bauxite Characterization

The elemental composition of the BA sample was determined, and the oxide content is summarized in Table 1. It is seen that BA contains aluminum oxide (Al2O3) and silicon oxide (SiO2) as dominant oxides. This result shows that BA is suitable for nano-alumina synthesis since Al2O3 content is high.
Table 1. Chemical composition (wt.%) of BA sample.

3.2. Characterizations of Synthesized Gamma-Alumina Nanoparticles (γANPs)

The synthetized gamma-alumina nanoparticles were characterized by using ICP, BET, SEM, and AFM analyses.
Table 2 summarizes the chemical composition of the synthetized gamma-alumina nanoparticles.
Table 2. Chemical composition of γANPs.
The results show that the predominant chemical compositions of γANPs samples include aluminum oxide, silicon oxide, and other oxides present in trace amounts. It is then expected, in the process of functionalization by the surfactant, that aluminum and silicon oxides would be mostly coated by the CTAB. Moreover, since other oxides are present in trace amounts in the synthetized γANPs, their effect, in the process of functionalization by the CTAB, can be ignored. The output values from the ICP are added together to obtain the total chemical composition. Our results are in agreement with those published in the literature [59,60].
The specific surface of a powder is estimated starting from the quantity of nitrogen adsorbed in relation to its pressure to the boiling point of the Azote liquid under normal atmospheric pressure. The specific surface of γANPs-CTAB was approximately 190 m2/g, while the volume of the pores was approximately 0.37 cm3/g. This value of specific surface is greater than 125 m2/g, indicating that the synthesized γANPs are very stable [47,61].
Figure 1 shows the SEM image of the synthesized γANPs sample after calcination. The crystals in the sample reached a porous and spongy shape, and the crystal morphology exhibited regular pores and sufficient volume for surface reactions. SEM images of synthesized nano-alumina show low bulk density and high large pores of the nanoparticles that can be explained by the evaporation of ethanol in the synthesis process [62]. The EDX spectrum in Figure 2 clearly shows the peak of Al and O as major constituents, which confirms the formation of alumina nanoparticles. Figure 3a,b present the AFM surface morphology of the prepared samples. Figure 3a represented a topographic image showing three alumina nanoparticles. Figure 3b indicated that the particles have almost a spherical shape. The average particle size of the prepared nano-alumina was in the nano scale catalyst.
Figure 1. Scanning electron microscope (SEM) image.
Figure 2. EDX spectrum.
Figure 3. Images AFM: (a) topographic image showing three alumina nanoparticles; (b) form of synthesized nano-alumina particles.
The XRPD patterns of the samples before and after calcination at 900 °C are shown in Figure 4. It can be seen that the main phase found in the non-calcined samples was boehmite (JCPDS 21-1307), which is transformed into γ-alumina (JCPDS Map 29-0063) after calcination. Similar profiles of γ-alumina were obtained by other authors. We can observe three sharp peaks with high intensity at 2θ values of 37.8°, 45.7°, and 66.9°, respectively. These peaks indicate that the γANPs were synthesized with high crystallinity [63,64,65]. The crystallite sizes were also calculated using the Scherrer equation (Equation (7)):
D = K λ β   cos θ
where, K is a constant generally taken as ~0.9, λ is the wavelength of the incident radiation, β is the full width of diffraction peak at half maximum intensity (FWHM), and θ is the diffraction angle. The calculated crystallite sizes were found to be in the range of 4.1 nm for nano size synthesized γ-alumina [62].
Figure 4. (a) X-ray diffraction of boehmite; (b) X-ray of γANPs.
The assessment of the surface functional groups of the adsorbent material was carried out by FTIR spectrum analysis (Figure 5). The FTIR spectrum of the synthesized γANPs shows a broad band at 3457 cm−1 attributed to the stretch band of hydroxyl groups on the surface of alumina. Moreover, a weak band at 1641 cm−1 is associated with the stretching vibration band of the Al–OH bond, and a symmetrical Al-O-Al stretching vibration band seen at 520 cm−1 corresponds to the characteristic vibration of Al2O3. The same observations were obtained for γ-alumina in other studies [66,67,68,69].
Figure 5. FTIR spectrum of nano-alumina.
The pH of zero-point charge (pHZPC) of the synthesized alumina nanoparticles was determined from the point of intersection of the pHinitial vs. pHfinal curve. pHZPC indicates the electrical neutrality of the adsorbent at certain pH values when the concentration of positively charged surface groups is the same as that of negatively charged ones. The pHZPC of alumina nanoparticles was found to be eight (Figure 6), which is close to that reported by Li et al. (2011) [70]. The pHzpc for the γ-alumina obtained is in agreement with other studies in which the pHzpc was 7.9 [71] and 8 [66]. At pH values below pHzpc, the surface of the adsorbent is positively charged; at values greater than pHzpc, the surface of the adsorbent is negatively charged. Thus, at pH values below eight, the synthesized γANPs are positively charged, and at values above pH 8 they are negatively charged [56,57].
Figure 6. Zero-point charge (pHZPC) of synthesis nano-alumina.

3.3. Effect of Surfactant (CTAB) Loading Levels

Positively charged surfactants, such as CTAB, can strongly adsorb on negatively charged surfaces of γ-ANPs in basic solutions. A concentration of CTAB, below its critical micellar concentration (CMC, 1 × 10−3 mol · L−1), was used. Above this concentration, the excess of CTAB would form micelles in the aqueous solution, which are not adsorbed on γ-ANPs surfaces. Therefore, the influence of various percentages of CTAB in γANPs-CTAB on the adsorption of 20 mg/L BPA through the γANPs-CTAB adsorbent was investigated. The results showed that maximum adsorption was obtained when a mixture containing 35% of CTAB was used (Figure 7). Thus, this percentage was selected as the optimum amount of CTAB for further studies.
Figure 7. Effect of amount of CTAB (%) on BPA adsorption.

3.4. Batch Investigations of BPA Adsorption onto γANPs-CTAB

3.4.1. Effect of Initial pH

The adsorbent γANPs-CTAB used in this study are composed of nanoparticles with a size around 4.1 nm and CTAB composition estimated at 35%. The pH of the suspension has a great influence on the optimum condition for the adsorption process, and this was investigated at pH values ranging from 2 to 12. The results in Figure 8 show that the γANPs-CTAB have a higher adsorption capacity for BPA when the pH values are ranged from 4 to 10 (1.39 to 1.41 mg · g−1), with a slight decrease in adsorption capacity (1.02 mg · g−1) at pH 10. For pH values less than four, the BPA removal from the aqueous solution was lower and this means that in an acidic medium the uptake of BPA molecules by the γANPs-CTAB is highly influenced. At pH values higher than 10, a decrease in the adsorbent capacity was observed. According to Pham et al. 2013, when the pH value is less than four (pH < 4), the γANPs are dissolved and this changes the characteristics of those materials [72], which induces the decrease of γANPs-CTAB efficiency toward BPA adsorption. From pH 4 to 9.6, the adsorption mechanism may involve a portioning process into the organic solvent-like created by the C-16 chain of CTAB (hydrophobic interaction). Above pH 9.6, BPA becomes an anionic species, and the adsorption is governed by electrostatic interaction. Hence, the adsorption of BPA onto γANPs-CTAB at pH 10 was mainly due to electrostatic interactions between the BPA, negatively charged (O), and the positive cationic micelle of the adsorbent [44]. The above results are similar to those reported by Dovi et al. on BPA removal by using CTAB functionalized walnut shell [73]. In fact, the authors reported that the surface of the modified adsorbent became both positively charged and non-polar, which made it more suitable for the uptake of neutral BPA as well as BPA anion. Based on the above result, the operating pH for the subsequent experiments was fixed at a pH value of 10. At a higher pH (pH > 10), the medium becomes very rich in hydroxyl ions (OH). Since the surface of the adsorbent is positively charged, the OH ions would neutralize the positive charges of the CTAB. As a result, there is a decrease in the interaction between the positive adsorbent surface and the BPA ions [73].
Figure 8. Effect of pH on the adsorption of BPA by γANPs-CTAB.

3.4.2. Effect of Adsorbent Dose

The effect of the adsorbent dose is shown in Figure 9. It was observed that the removal efficiency increased from 47.08 ± 5.80% to 91.80 ± 0.21% with the increased adsorbent dose. This can be attributed to the increase in the adsorbent specific surface area and availability of more adsorption sites [74]. Consequently, the adsorbent dose was maintained at 0.5 g in all the subsequent experiments, which was considered to be sufficient for the removal of BPA. From Figure 9, we see that the adsorbed quantity increases progressively with the increase in the mass of the adsorbent used, which means that increasing the adsorbent dose increases the number of sites available for the binding of bisphenol-A [75].
Figure 9. Effect of the adsorbent dose on the adsorption of BPA.

3.4.3. Effect of the Agitation Time on BPA Adsorption and Kinetics

Effect of the Agitation Time on BPA Adsorption

Adsorption was studied as a function of the agitation time to determine the amount of BPA adsorbed at different times (Figure 10). Equilibrium time is one of the most economically important factors for polluted water treatment systems [76]. The amount of BPA adsorbed for each interval of time was calculated and the obtained results allowed for the determination of the minimal agitation time required to reach the equilibrium and the evaluation of the pseudo-first and pseudo-second-order kinetic models. Analysis of Figure 10 shows that the rate of adsorption of BPA by γANPs-CTAB changes rapidly during the first 20 min (reaching 89% of BPA adsorption), then decreases over time until it reaches saturation after 1 h. The rapid adsorption kinetics recorded during the first few minutes can be explained by the availability of a large number of active sites on the surface of the material at the beginning of the adsorption process.
Figure 10. Effect of agitation time of BPA adsorption on the γANPs-CTAB.

Adsorption Kinetics

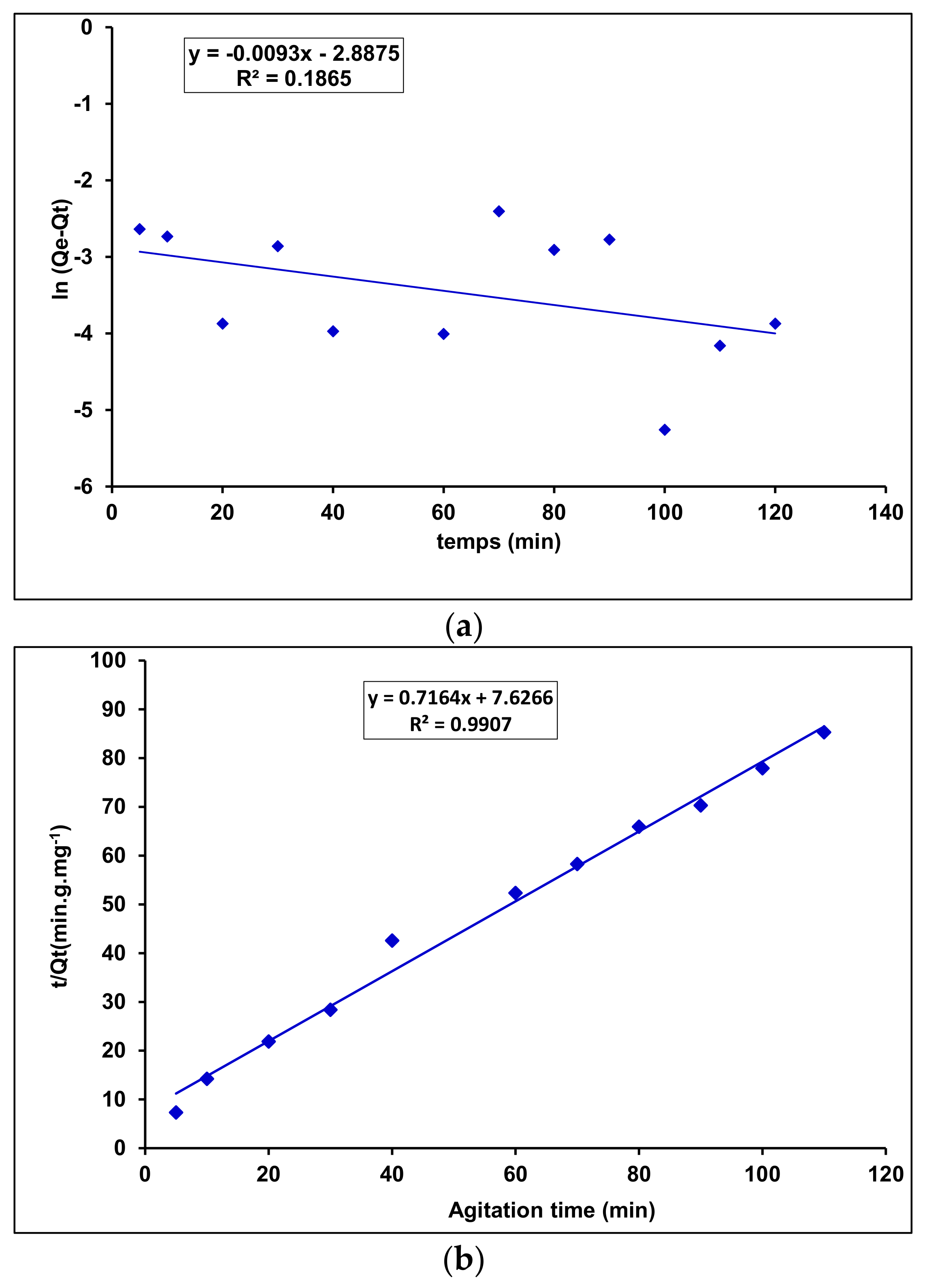
The kinetic results of BPA adsorption on γANPs-CTAB are indicated in Figure 11a,b. The kinetic results were fitted using pseudo-first-order and pseudo-second-order models. Figure 11a corresponds to the pseudo-first kinetic model and Figure 11b corresponds to the pseudo-second kinetic model. The obtained kinetic constants and determination coefficients of BPA removal using the γANPs-CTAB at 500 mg · L−1 as the adsorbent dose are summarized in Table 3. It is shown that the pseudo-second-order kinetic model fits better the experimental results than the pseudo-first-order kinetic model in this work (Figure 11a,b). This observation is confirmed by the high determination coefficients of the pseudo-second-order kinetic model (R2 > 0.99) compared to those of the pseudo-first-order kinetic model (R2 < 0.85) (Table 3). The pseudo-second-order kinetic model suggests that the chemisorption could be considered as a limiting step during the adsorption process [10,25]. This finding resembles those reported for BPA adsorption on the following adsorbents: graphene [77], CTAB modified palygorskite [78], surfactant-modified zeolite [79], and organo-montmorillonites [10,24,25,80,81]. For the most part, the pseudo-second-order better interprets the kinetic experimental data of the BPA adsorption on several adsorbents [10,25,77,78,79,80,82,83]. In a previous study, Vithanage et al. (2016) reported that the kinetic order depends on the initial concentrations. The authors indicated that the pseudo-second-order kinetic model could better fit the experimental data when the pollutant molecules were less abundant (low initial concentration) compared to the available adsorption sites [84]. The present results on BPA adsorption kinetics could be explained by the BPA concentration at the γANPs -CTAB/BPA solution interface.
Figure 11. (a) Pseudo-first model of BPA adsorption on the γANPs-CTAB; (b) pseudo-second model of BPA adsorption on the γANPs-CTAB.
Table 3. Kinetic constants of BPA removal on γANPs-CTAB.

3.4.4. Effect of Initial Concentration of BPA Solution and Isotherms

Effect of Initial Concentration of BPA Solution

Figure 12 shows the quantities of BPA removed at different initial concentrations and for 24 h as the agitation time. These results indicate that the amount of BPA removed from water increases quickly up to 100 mg/L as the initial concentration. As shown in Figure 12, the equilibrium adsorption capacity of BPA on γANPs-CTAB increases with increasing initial concentration, until the saturation of available reactive sites [83]. The curves of the BPA quantity removed are almost relatively linear up to 100 mg/L of BPA and become parabolic after that value. Thus, the BPA initial concentration affects the adsorption of BPA on the γANPs-CTAB. In fact, before 100 mg/L as the BPA initial concentration, the active sites of γANPs-CTAB are more available and this induces better adsorption. However, the gradual saturation of the active sites induces a less efficient adsorption after 100 mg/L. In this work, when the initial BPA concentration increases from 10 to 500 mg/L, the values of adsorbed BPA (Qe) for 500 mg of γANPs-CTAB increase from 0.667 ± 0.002 to 19.54 ± 0.159 mg/g. This result is similar to those reported by Adeyemo et al. (2017), Gorzin and Abadi (2018), and Rathnayake et al. (2016) [25,85,86].
Figure 12. Initial concentration effect on the BPA adsorption by γANPs-CTAB.

Adsorption Isotherms

Adsorption isotherms describe the relationship between the amount of adsorbate adsorbed by the adsorbent (Qe) and the concentration of adsorbate remaining in the solution after the system reaches the equilibrium (Ce) at a constant temperature. In this study, the Langmuir and Freundlich models were applied to fit the equilibrium data. The Langmuir and Freundlich models are presented in Figure 13.
Figure 13. (a) Freundlich isotherm of BPA adsorption on the γANPs-CTAB; (b) Langmuir isotherm of BPA adsorption on the γANPs-CTAB.
Figure 13a corresponds to the Freundlich isotherm and Figure 13b represents the Langmuir isotherm. Considering these figures, the isotherm parameters of BPA adsorption were evaluated at room temperature and summarized in Table 4. According to Table 4, the obtained determination coefficient (R2) values indicate that the BPA adsorption data fit better the Langmuir isotherm (0.89 < R2 < 0.99) than the Freundlich isotherm (0.8 < R2 < 0.95). These results are similar to those reported previously on BPA removal using organically modified montmorillonite [24,80] and amphoteric modified vermiculite [87]. It is also seen that all n values in the Freundlich isotherm are higher than one (Table 4), implying 1/n < 1, which sustains that the Langmuir isotherm describes better the adsorption process.
Table 4. Isotherm parameters of BPA adsorption on the γANPs-CTAB.
Table 5 shows that all the RL values are between zero and one, indicating that the adsorption of BPA on the prepared γANPs-CTAB was favorable at the conditions being studied [88]. Moreover, when the initial concentration increases from 10 to 500 mg/L, the RL values decrease from 0.71 to 0.047 for the γANPs-CTAB, suggesting a more favorable adsorption process at higher concentrations [88].
Table 5. Equilibrium parameter (RL) on the BPA adsorption.

3.4.5. Investigations on γANPs-CTAB before and after BPA Adsorption

FTIR Investigations

The adsorption capacity of an adsorbent is dependent on the chemical reactivity of the functional groups at the adsorbent surface [89]. FTIR is a powerful tool to evaluate the change in functional groups after adsorption [90]. Figure 14a,b show the ATR mode infrared spectra of γANPs-CTAB before and after BPA adsorption, respectively, in the wavenumber range 1000–4000 cm−1. Figure 14a shows that the ATR mode infrared spectra of γANPs after CTAB adsorption are similar to the raw one (Figure 5). We can see that the strong band of stretching vibration of –OH appearing in the wavelength of about 3658.96 cm−1 for γANPs-CTAB (Figure 14a) is similar to the FTIR spectrum of synthesized γANPs (Figure 5). Moreover, a weak band at 1641 cm−1 is associated with the stretching vibration band of the Al-OH bond of the γANPs. The appearance of a significant C–H stretching vibration band between 3000 and 2800 cm−1 indicates the alkyl chain of the template molecule CTAB. The CTAB functionalized γANPs generate new significant bands observed near 2800 and 2900 cm−1 due to the symmetric and asymmetric stretching vibration band of the CH2 group. This result indicates that CTAB is deposited on the surface of the γANPs and induces an increase of the active site numbers.
Figure 14. FTIR spectrum of (a) γANPs-CTAB and (b) γANP-CTAB after BPA adsorption.
The infrared spectrum bands of γANPs-CTAB after BPA adsorption were investigated. The presence of BPA on γANPs-CTAB was confirmed by the infrared spectroscopy. There were significant changes on the FTIR spectrum of γANPs-CTAB after interaction with BPA. When we compare the FTIR spectra of γANPs-CTAB before and after BPA adsorption (Figure 14a,b), it is observed that the intensities of the –OH stretching mode seen at 3651, 3643, and 3480 cm−1 decrease after BPA adsorption. The intensities of the bands attributed to the CH2 stretching vibration seen at 2925 and 2857 cm−1 decrease after BPA adsorption on γANPs-CTAB, indicating that these groups participate in the adsorption process. A new band appearing at 2965 cm−1 is attributed to the methyl groups of BPA molecules.

SEM Investigations

The morphology of the γANPs-CTAB was investigated using SEM. The SEM images recorded at different magnifications show that CTAB is uniformly coated at the surface of the γANPs. This induces the appearance of active sites on the surface of the γANPs-CTAB. Figure 15 shows the SEM micrograph for γANPs-CTAB powders before and after adsorption of BPA. The γANPs-CTAB image before BPA adsorption (Figure 15a) indicates a low agglomeration of particles with uniform sizes and a spongy structure. Figure 15b shows that, after BPA adsorption, a high agglomeration was observed.
Figure 15. SEM image of (a) γANPs-CTAB and (b) γANPs-CTAB after BPA adsorption.

XRPD Investigations

To understand the nature of the γANPs-CTAB and to evaluate the changes after BPA adsorption, XRPD investigation was carried out. The X-ray patterns of γANPs-CTAB (Figure 16a,b) show the crystalline nature of γANPs-CTAB before and after BPA adsorption and the associated peaks that are typically attributed to γANPs were also observed, as in Figure 4b. The extent of the crystallization changes after surface modification indicates successful dispersion of CTAB on the γANPs (Figure 16a). In addition, the intensities of the peaks observed at 18.8, 20.29, and 40.59° decrease slightly after the adsorption of BPA (Figure 16b).
Figure 16. X-ray diffraction of (a) γANPs-CTAB and (b) γANPs-CTAB after BPA adsorption.

4. Conclusions

In this study, γANPs with a crystallite size of 4.1 nm were synthesized from boehmite derived from natural local bauxite sources by calcination. This work also showed that the modification of the synthesized γ-alumina using CTAB leads to a better adsorption performance of BPA with a high adsorption rate. Kinetic and isotherm models were tested. We found a better fit for the kinetic results was the pseudo-second-order, and the isotherm model is described by the Langmuir isotherm. In this case, the adsorption process may be related to hydrophobic interaction at pH values ranging from 4 to 9.6, and electrostatic interaction at a pH value of 10. At pH values greater than 10, the adsorbent surface being neutralized by hydroxyl ions, the interaction between the adsorbent surface and the BPA ions weakens and this leads to the decrease of the adsorption.

Author Contributions

Conceptualization, O.R.K., I.G., C.B., and B.G.; methodology, O.R.K., I.G., C.B., and B.G.; investigation, O.R.K. and I.G.; writing—original draft preparation, O.R.K.; writing—review and editing, O.R.K., I.G., C.B., and B.G.; supervision, C.B. and B.G.; funding acquisition, B.G. All authors have read and agreed to the published version of the manuscript.

Funding

This work was supported by the International Science Programme [ISP], Uppsala, Sweden.

Institutional Review Board Statement

Not applicable.

Data Availability Statement

Not applicable.

Acknowledgments

This work was supported by the International Science Programme [ISP], Uppsala, Sweden. Their financial support is gratefully acknowledged.

Conflicts of Interest

Authors have declared that no competing interests exist.

References

  1. Arnold, S.M.; Clark, K.E.; Staples, C.A.; Klecka, G.M.; Dimond, S.S.; Caspers, N.; Hentges, S.G. Relevance of drinking water as a source of human exposure to bisphenol A. J. Expo. Sci. Environ. Epidemiol. 2012, 23, 137–144. [Google Scholar] [CrossRef]
  2. Saal, F.S.V.; Welshons, W.V. Large effects from small exposures. II. The importance of positive controls in low-dose research on bisphenol A. Environ. Res. 2006, 100, 50–76. [Google Scholar] [CrossRef]
  3. Staples, C.A.; Dome, P.B.; Klecka, G.M.; Oblock, S.T.; Harris, L.R. A review of the environmental fate, effects, and exposures of bisphenol A. Chemosphere 1998, 36, 2149–2173. [Google Scholar] [CrossRef]
  4. Chevalier, N. Les perturbateurs endocriniens: De nouveaux acteurs dans l’épidémie d’obésité et de diabète de type 2? Corresp. Métab. Horm. Diabètes Nutr. 2014, 100, 248–252. [Google Scholar]
  5. ANSES. Evaluation des Risques du Bisphénol A (BPA) pour la Santé Humaine; Tome 1; Agence Nationale de Sécurité Sanitaire de l’Alimentation, de l’Environnement et du Travail (ANSES): Paris, France, 2013.
  6. Pop, C.-E.; Draga, S.; Măciucă, R.; Niță, R.; Crăciun, N.; Wolff, R. Bisphenol A Effects in Aqueous Environment on Lemna minor. Processes 2021, 9, 1512. [Google Scholar] [CrossRef]
  7. Wang, Z.-M.; Ooga, H.; Hirotsu, T.; Wang, W.; Wu, Q.Y.; Hu, H.-Y. Matrix-enhanced adsorption removal of trace BPA by controlling the interlayer hydrophobic environment of montmorillonite. Appl. Clay Sci. 2015, 104, 81–87. [Google Scholar] [CrossRef]
  8. United States Environmental Protection Agency. Special Report on Environmental Endocrine Disruption: An Effects Assessment and Analysis; USEPA: Washington, DC, USA, 1997.
  9. Bautista-Toledo, I.; Ferro-Garcia, M.; Rivera-Utrilla, J.; Moreno-Castilla, C.; Vegas Fernández, F. Bisphenol A removal from water by activated carbon. Effects of carbon characteristics and solution chemistry. Environ. Sci. Technol. 2005, 39, 6246–6250. [Google Scholar] [CrossRef]
  10. Park, Y.; Sun, Z.; Ayoko, G.A.; Frost, R.L. Bisphenol A sorption by organo-montmorillonite: Implications for the removal of organic contaminants from water. Chemosphere 2014, 107, 249–256. [Google Scholar] [CrossRef] [Green Version]
  11. Rivas, F.J.; Encinas, Á.; Acedo, B.; Beltran, F.J. Mineralization of bisphenol A by advanced oxidation processes. J. Chem. Technol. Biotechnol. 2009, 84, 589–594. [Google Scholar] [CrossRef]
  12. Yüksel, S.; Kabay, N.; Yüksel, M. Removal of bisphenol A (BPA) from water by various nanofiltration (NF) and reverse osmosis (RO) membranes. J. Hazard. Mater. 2013, 263, 307–310. [Google Scholar] [CrossRef]
  13. Cui, Y.-H.; Li, X.-Y.; Chen, G. Electrochemical degradation of bisphenol A on different anodes. Water Res. 2009, 43, 1968–1976. [Google Scholar] [CrossRef]
  14. Murugananthan, M.; Yoshihara, S.; Rakuma, T.; Shirakashi, T. Mineralization of bisphenol A (BPA) by anodic oxidation with boron-doped diamond (BDD) electrode. J. Hazard. Mater. 2008, 154, 213–220. [Google Scholar] [CrossRef] [PubMed]
  15. Umar, M.; Roddick, F.; Fan, L.; Aziz, H.A. Application of ozone for the removal of bisphenol A from water and wastewater—A review. Chemosphere 2013, 90, 2197–2207. [Google Scholar] [CrossRef] [PubMed]
  16. Yang, X.; Tian, P.-F.; Zhang, C.; Deng, Y.-Q.; Xu, J.; Gong, J.; Han, Y.-F. Au/carbon as Fenton-like catalysts for the oxidative degradation of bisphenol A. Appl. Catal. B Environ. 2013, 134–135, 145–152. [Google Scholar] [CrossRef]
  17. Wang, C.; Zhang, H.; Li, F.; Zhu, L. Degradation and mineralization of bisphenol A by mesoporous Bi2WO6 under simulated solar light irradiation. Environ. Sci. Technol. 2010, 44, 6843–6848. [Google Scholar] [CrossRef]
  18. Torres, R.A.; Pétrier, C.; Combet, E.; Moulet, F.; Pulgarin, C. Bisphenol A mineralization by integrated ultrasound-UV-iron (II) treatment. Environ. Sci. Technol. 2007, 41, 297–302. [Google Scholar] [CrossRef] [Green Version]
  19. Cajthaml, T.; Krӗsinová, Z.; Svobodová, K.; Möder, M. Biodegradation of endocrine-disrupting compounds and suppression of estrogenic activity by ligninolytic fungi. Chemosphere 2009, 75, 745–750. [Google Scholar] [CrossRef] [PubMed]
  20. Tsai, W.T.; Lai, C.-W.; Su, T.-Y. Adsorption of bisphenol-A from aqueous solution onto minerals and carbon adsorbents. J. Hazard. Mater. 2006, 134, 169–175. [Google Scholar] [CrossRef] [PubMed]
  21. Tsai, W.T.; Hsu, H.C.; Su, T.Y.; Lin, K.Y.; Lin, C.M. Adsorption characteristics of bisphenol-A in aqueous solutions onto hydrophobic zeolitea. J. Colloid Interface Sci. 2006, 299, 513–519. [Google Scholar] [CrossRef] [PubMed]
  22. Li, J.; Zhan, Y.; Lin, J.; Jiang, A.; Xi, W. Removal of bisphenol A from aqueous solution using cetylpyridinium bromide (CPB)-modified natural zeolites as adsorbents. Environ. Earth Sci. 2014, 72, 3969–3980. [Google Scholar] [CrossRef]
  23. Dong, Y.; Wu, D.; Chen, X.; Lin, Y. Adsorption of bisphenol A from water by surfactant-modified zeolite. J. Colloid Interface Sci. 2010, 348, 585–590. [Google Scholar] [CrossRef] [PubMed]
  24. Zheng, S.; Sun, Z.; Park, Y.; Ayoko, G.A.; Frost, R.L. Removal of bisphenol A from wastewater by Ca-montmorillonite modified with selected surfactants. Chem. Eng. J. 2013, 234, 416–422. [Google Scholar] [CrossRef] [Green Version]
  25. Rathnayake, S.I.; Xi, Y.; Frost, R.L.; Ayoko, G.A. Environmental applications of inorganic–organic clays for recalcitrant organic pollutants removal: Bisphenol A. J. Colloid Interface Sci. 2016, 470, 183–195. [Google Scholar] [CrossRef] [Green Version]
  26. Garikoé, I.; Sorgho, B.; Yaméogo, A.; Guel, B.; Andala, D. Removal of bisphenol A by adsorption on organically modified clays from Burkina Faso. Bioremediat. J. 2021, 25, 22–47. [Google Scholar] [CrossRef]
  27. Kimura, Y.; Yamamoto, M.; Shimazaki, R.; Kashiwada, A.; Matsuda, K.; Yamada, K. Use of Chitosan for Removal of Bisphenol A from Aqueous Solutions Through Quinone Oxidation by Polyphenol Oxidase. J. Appl. Polym. Sci. 2012, 124, 796–804. [Google Scholar] [CrossRef]
  28. Dehghani, M.H.; Ghadermazi, M.; Bhatnagar, A.; Sadighara, P.; Jahed-Khaniki, G.; Heibati, B.; McKay, G. Adsorptive removal of endocrine disrupting bisphenol A from aqueous solution using chitosan. J. Environ. Chem. Eng. 2016, 4, 2647–2655. [Google Scholar] [CrossRef]
  29. Lazim, Z.M.; Salmiati; Hadibarata, T.; Yusop, Z.; Nazifa, T.H.; Abdullah, N.H.; Nuid, M.; Salim, N.A.A.; Zainuddin, N.A.; Ahmad, N. Bisphenol A Removal by Adsorption Using Waste Biomass: Isotherm and Kinetic Studies. Biointerface Res. Appl. Chem. 2021, 11, 8467–8481. [Google Scholar]
  30. Balarak, D. Kinetics, Isotherm and Thermodynamics Studies on Bisphenol A Adsorption using Barley husk. Inter. J. ChemTech Res. 2016, 9, 681–690. [Google Scholar]
  31. Olawale Orimolade, B.; Amoo Adekola, F.; Aminat Mohammed, A.; Olayiwola Idris, A.; Damilare Saliu, O.; Yusuf, T. Removal of Bisphenol-A from Aqueous Solution Using Rice Husk Nanosilica: Adsorption Kinetics, Equilibrium and Thermodynamic Studies. J. Appl. Chem. Res. 2018, 12, 8–21. [Google Scholar]
  32. Şimşek, S.; Ulusoy, H.I. Synthesis of a Useful and Economic Polymeric Material for Effective Removal of Bisphenol A. J. Polym. Environ. 2017, 26, 1605–1612. [Google Scholar] [CrossRef]
  33. Xiang, Y.; Yan, H.; Zheng, B.; Faheem, A.; Chen, W.; Hu, Y. E. coli@UiO-67 composites as a recyclable adsorbent for bisphenol A removal. Chemosphere 2021, 270, 128672. [Google Scholar] [CrossRef] [PubMed]
  34. Li, Q.; Pan, F.; Li, W.; Li, D.; Xu, H.; Xia, D.; Li, A. Enhanced Adsorption of Bisphenol A from Aqueous Solution with 2-Vinylpyridine Functionalized Magnetic Nanoparticles. Polymers 2018, 10, 1136. [Google Scholar] [CrossRef] [PubMed] [Green Version]
  35. Balarak, D.; Ansari, H.; Dashtizadeh, M. Maryam Bazi Synthesis of Graphene Oxide as an Adsorbent for the Removal of Bisphenol A. J. Hum. Environ. Health Promot. 2019, 5, 98–103. [Google Scholar] [CrossRef] [Green Version]
  36. Adak, A.; Bandyopadhyay, M.; Pal, A. Removal of crystal violet dye from wastewater by surfactant-modified alumina. Sep. Purif. Technol. 2005, 44, 139–144. [Google Scholar] [CrossRef]
  37. Adak, A.; Pal, A.; Bandyopadhyay, M. Removal of phenol from water environment by surfactant-modified alumina through adsolubilization. Colloids Surf. A Physicochem. Eng. Asp. 2006, 277, 63–68. [Google Scholar] [CrossRef]
  38. Khobragade, M.; Pal, A. Adsorptive removal of Mn(II) from water and wastewater by surfactant-modified alumina. Desalination Water Treat. 2014, 57, 2775–2786. [Google Scholar] [CrossRef]
  39. Khobragade, M.U.; Pal, A. Fixed-bed column study on removal of Mn(II), Ni(II) and Cu(II) from aqueous solution by surfactant bilayer supported alumina. Sep. Sci. Technol. 2016, 51, 1287–1298. [Google Scholar] [CrossRef]
  40. Khobragade, M.U.; Nayak, A.K.; Pal, A. Solid-Phase Extraction of Cu(II) from Aqueous Solution Using Surfactant-Modified Alumina. J. Hazard. Toxic Radioact. Waste 2017, 21, 04016017. [Google Scholar] [CrossRef]
  41. Dhawale, V.P.; Khobragade, V.; Kulkarni, S.D. Synthesis and Characterization of Aluminium Oxide (Al2O3) Nanoparticles and its Application in Azodye Decolourisation. Int. J. Environ. Chem. 2018, 2, 10. [Google Scholar] [CrossRef] [Green Version]
  42. Chu, T.P.M.; Nguyen, N.T.; Vu, T.L.; Dao, T.H.; Dinh, L.C.; Nguyen, H.L.; Hoang, T.H.; Le, T.S.; Pham, T.D. Synthesis, Characterization, and Modification of Alumina Nanoparticles for Cationic Dye Removal. Materials 2019, 12, 450. [Google Scholar] [CrossRef] [Green Version]
  43. Banerjee, S.; Dubey, S.; Gautam, R.K.; Chattopadhyaya, M.C.; Sharma, Y.C. Adsorption characteristics of alumina nanoparticles for the removal of hazardous dye, Orange G from aqueous solutions. Arabian J. Chem. 2019, 12, 5339–5354. [Google Scholar] [CrossRef]
  44. Zhang, Y.; Liu, C.; Luo, L.; Shi, Y.; Chen, Y.; Wang, S.; Bian, L.; Jiang, F. One-step hydrothermal synthesis of CTAB-modified SiO2 for removal of bisphenol A. Water Sci. Technol. 2017, 76, 928–938. [Google Scholar] [CrossRef] [PubMed]
  45. Rovani, S.; Santos, J.J.; Guilhen, S.N.; Corio, P.; Fungaro, D.A. Fast, efficient and clean adsorption of bisphenol-A using renewable mesoporous silica nanoparticles from sugarcane waste ash. RSC Adv. 2020, 10, 27706–27712. [Google Scholar] [CrossRef]
  46. Syarif, D.G.; Prajitno, D.H.; Umar, E. Synthesis of A12O3 Nanoparticles from Local Bauxite for Water-A12O3 Nanofluids egy. J. Phys. Conf. Ser. 2017, 799, 12014. [Google Scholar] [CrossRef]
  47. Meteab, H.S.; Karem, H.A.; Salih, W.K. Synthesis and characterization of nano gamma aluminium oxide from iraqi bauxite using extraction method. ARPN J. Eng. Appl. Sci. 2018, 13, 814–818. [Google Scholar]
  48. Isfahani, T.D.; Javadpour, J.; Khavandi, A.; Dinnebier, R.; Goodarzia, M.; Rezaie, H.R. Mechanochemical synthesis of alumina nanoparticles: Formation mechanism and phase transformation. Powder Technol. 2012, 229, 17–23. [Google Scholar] [CrossRef]
  49. Suchanek, W.L.; Garces, J.M. Hydrothermal synthesis of novel alpha alumina nano-materials with controlled morphologies and high thermal stabilities. CrystEngComm 2010, 12, 2996–3002. [Google Scholar] [CrossRef]
  50. Behera, P.S.; Sarkar, R.; Bhattacharyya, S. Nano Alumina: A Review of the Powder Synthesis Method. Interceram—Int. Ceram. Rev. 2016, 65, 10–16. [Google Scholar] [CrossRef]
  51. Zaki, T.; Kabel, K.; Hassan, H. Preparation of high pure α-Al2O3 nanoparticles at low temperatures using Pechini method. Ceram. Int. 2012, 38, 2021–2026. [Google Scholar] [CrossRef]
  52. Kango, S.; Kalia, S.; Celli, A.; Njuguna, J.; Habibi, Y.; Kumar, R. Surface modification of inorganic nanoparticles for development of organic–inorganic nanocomposites—A review. Prog. Polym. Sci. 2013, 38, 1232–1261. [Google Scholar] [CrossRef]
  53. Manivasakan, P.; Rajendran, V.; Rauta, P.R.; Sahu, B.B.; Panda, B.K. Direct synthesis of nano alumina from natural bauxite. Adv. Mater. Res. 2009, 67, 143–148. [Google Scholar] [CrossRef]
  54. Chen, F.; Zhao, E.; Kim, T.; Wang, J.; Hableel, G.; Reardon, P.J.T.; Ananthakrishna, S.J.; Wang, T.; Arconada-Alvarez, S.; Knowles, J.C.; et al. Organosilica Nanoparticles with an Intrinsic Secondary Amine: An Efficient and Reusable Adsorbent for Dyes. ACS Appl. Mater. Interfaces 2017, 9, 15566–15576. [Google Scholar] [CrossRef] [PubMed]
  55. Nayab, S.; Farrukh, A.; Oluz, Z.; Tuncel, E.; Tariq, S.R.; Rahman, H.U.; Kirchhoff, K.; Duran, H.; Yameen, B. Design and Fabrication of Branched Polyamine Functionalized Mesoporous Silica: An Efficient Absorbent for Water Remediation. ACS Appl. Mater. Interfaces 2014, 6, 4408–4417. [Google Scholar] [CrossRef] [PubMed]
  56. Jia, Y.F.; Xiao, B.; Thomas, K.M. Adsorption of Metal Ions on Nitrogen Surface Functional Groups in Activated Carbons. Langmuir 2002, 18, 470–478. [Google Scholar] [CrossRef]
  57. Vijayakumar, G.; Tamilarasan, R.; Dharmendirakumar, M. Adsorption, Kinetic, Equilibrium and Thermodynamic studies on the removal of basic dye Rhodamine-B from aqueous solution by the use of natural adsorbent perlite. J. Mater. Environ. Sci. 2012, 3, 157–170. [Google Scholar]
  58. Geyikçi, F. Adsorption of Acid Blue 161 (AB 161) Dye from Water by Multi-walled Carbon Nanotubes. Full-Nanotub. Carbon Nanostructures 2013, 21, 579–593. [Google Scholar] [CrossRef]
  59. Bawa, S.G.; Ahmed, A.S.; Okonkwo, P.C. The study of Thermal effect on the surface properties of Gamma-Alumina synthesed from Kankara Kaolin. Niger. J. Technol. 2016, 35, 66–70. [Google Scholar] [CrossRef] [Green Version]
  60. Paranjpe, K.Y. Alpha, Beta and Gamma Alumina as a catalyst—A Review. Pharma Innov. J. 2017, 6, 236–238. [Google Scholar]
  61. Rodríguez, J.A.; García, M.F. Synthesis, Properties, and Applications of Oxide Nanomaterials; John Wiley & Sons: Hobeken, NJ, USA, 2007. [Google Scholar]
  62. Rahmanpour, O.; Shariati, A.; Nikou, M.R.K. New Method for Synthesis Nano Size γ-Al2O3 Catalyst for Dehydration of Methanol to Dimethyl Ether. Int. J. Chem. Eng. Appl. 2012, 3, 125–128. [Google Scholar] [CrossRef] [Green Version]
  63. Yimin, L.; Dianqing, L.; Pinggui, T.; Yongjun, F. A simple and promoter free way to synthesize spherical γ-alumina with high hydrothermal stability. Mater. Lett. 2015, 155, 75–77. [Google Scholar]
  64. Bazyari, A.; Mortazavi, Y.; Khodadadi, A.A.; Thompson, L.T.; Tafreshi, R.; Zaker, A.; Ajenifujah, O.T. Effects of alumina phases as nickel supports on deep reactive adsorption of (4,6-dimethyl) dibenzothiophene: Comparison between γ, δ, and θ-alumina. Appl. Catal. B Environ. 2016, 180, 312–323. [Google Scholar] [CrossRef]
  65. Ysla, F.A.; Martins, A.R.; Rodrigo Estevam, C.; Cesário, F.d.V.; Adriana, D.B.; Carvalho, L.S. A Simple Way to Produce γ-Alumina From Aluminum Cans by Precipitation Reactions. Mater. Res. 2016, 19, 977–982. [Google Scholar]
  66. Khosla, E.; Kaur, S.; Dave, P.N. Mechanistic study of adsorption of acid orange-7 over aluminum oxide nanoparticles. J. Eng. 2013, 2013, 593534. [Google Scholar] [CrossRef] [Green Version]
  67. Sharma, Y.C.; Srivastava, V.; Upadhyay, S.N.; Weng, C.H. Alumina nanoparticles for the removal of Ni(II) from aqueous solutions. Ind. Eng. Chem. Res. 2008, 47, 8095–8100. [Google Scholar] [CrossRef]
  68. Afkhami, A.; Saber-Tehrani, M.; Bagheri, H. Simultaneous removal of heavy-metal ions in wastewater samples using nano-alumina modified with 2,4-dinitrophenylhydrazine. J. Hazard. Mater. 2010, 181, 836–844. [Google Scholar] [CrossRef]
  69. Al-Rubayee, W.T.; Abdul-Rasheed, O.F.; Ali, N.M. Preparation of a Modified Nanoalumina Sorbent for the Removal of Alizarin Yellow R and Methylene Blue Dyes from Aqueous Solutions. J. Chem. 2016, 2016, 4683859. [Google Scholar] [CrossRef]
  70. Li, W.; Cao, C.Y.; Wu, L.Y.; Ge, M.F.; Song, W.G. Superb fluoride and arsenic removal performance of highly ordere mesoporous aluminas. J. Hazard. Mater. 2011, 198, 143–150. [Google Scholar] [CrossRef]
  71. Srivastava, V.; Weng, C.H.; Singh, V.K.; Sharma, Y.C. Adsorption of nickel ions from aqueous solutions by nano alumina: Kinetic, mass transfer, and equilibrium studies. J. Chem. Eng. Data 2011, 56, 1414–1422. [Google Scholar] [CrossRef]
  72. Pham, T.D.; Kobayashi, M.; Adachi, Y. Interfacial characterization of α-alumina with small surface area by streaming potential and chromatography. Colloids Surf. A 2013, 436, 148–157. [Google Scholar] [CrossRef]
  73. Dovi, E.; Kani, A.N.; Aryee, A.A.; Jie, M.; Li, J.; Li, Z.; Li, Q.; Han, R. Decontamination of bisph en ol A and Congo red dye from solution by using CTAB functionalised walnut shell. Environ. Sci. Pollut. Res. 2021, 28, 28732–28749. [Google Scholar] [CrossRef]
  74. Royer, B.; Cardoso, N.F.; Lima, E.C.; Vaghetti, J.C.P.; Simon, N.M.; Calvete, T.; Veses, R.C. Applications of Brazilian pine-fruit shell in natural and carbonized forms as adsorbents to removal of methylene blue from aqueous solutions—kinetic and equilibrium study. J. Hazard. Mater. 2009, 164, 1213–1222. [Google Scholar] [CrossRef]
  75. Makhlouf, M.; Hamacha, R.; Villièras, F.; Bengueddach, A. Kinetics and thermodynamics adsorption of phenolic compounds on organic-inorganic hybrid mesoporous material. Int. J. Innov. Appl. Stud. 2013, 3, 1116–1124. [Google Scholar]
  76. Tavlieva, M.P.; Genieva, S.D.; Georgieva, V.G.; Vlaev, L.T. Kinetic study of brilliant green adsorption from aqueous solution onto white rice husk ash. J. Colloid Interface Sci. 2013, 409, 112–122. [Google Scholar] [CrossRef] [PubMed]
  77. Xu, J.; Wang, L.; Zhu, Y. Decontamination of Bisphenol A from Aqueous Solution by Graphene Adsorption. Langmuir 2012, 28, 8418–8425. [Google Scholar] [CrossRef]
  78. Zhao, Z.; Fu, D.; Ma, Q. Adsorption Characteristics of Bisphenol A from Aqueous Solution onto HDTMAB-Modified Palygorskite. Sep. Sci. Technol. 2014, 49, 81–89. [Google Scholar] [CrossRef]
  79. Wang, H.; Zhang, H.; Jiang, J.-Q.; Ma, X. Adsorption of bisphenol A onto cationic-modified zeolite. Desalination Water Treat. 2016, 57, 26299–26306. [Google Scholar] [CrossRef] [Green Version]
  80. Yang, Q.; Gao, M.; Luo, Z.; Yang, S. Enhanced removal of bisphenol A from aqueous solution by organo-montmorillonites modified with novel Gemini pyridinium surfactants containing long alkyl chain. Chem. Eng. J. 2016, 285, 27–38. [Google Scholar] [CrossRef]
  81. Li, Y.; Jin, F.; Wang, C.; Chen, Y.; Wang, Q.; Zhang, W.; Wang, D. Modification of bentonite with cationic surfactant for the enhanced retention of bisphenol A from landfill leachate. Environ. Sci. Pollut. Res. 2015, 22, 8618–8628. [Google Scholar] [CrossRef]
  82. Bhatnagar, A.; Anastopoulos, I. Adsorptive removal of bisphenol A (BPA) from aqueous solution: A review. Chemosphere 2017, 168, 885–902. [Google Scholar] [CrossRef] [PubMed]
  83. Liu, C.; Wu, P.; Zhu, Y.; Tran, L. Simultaneous adsorption of Cd2+ and BPA on amphoteric surfactant activated montmorillonite. Chemosphere 2016, 144, 1026–1032. [Google Scholar] [CrossRef]
  84. Vithanage, M.; Mayakaduwa, S.; Herath, I.; Ok, Y.S.; Mohan, D. Kinetics, thermodynamics and mechanistic studies of carbofuran removal using biochars from tea waste and rice husks. Chemosphere 2016, 150, 781–789. [Google Scholar] [CrossRef] [PubMed]
  85. Adeyemo, A.A.; Adeoye, I.O.; Bello, O.S. Adsorption of dyes using different types of clay: A review. Appl. Water Sci. 2017, 7, 543–568. [Google Scholar] [CrossRef] [Green Version]
  86. Gorzin, F.; Abadi, M.B.R. Adsorption of Cr(VI) from aqueous solution by adsorbent prepared from paper mill sludge: Kinetics and thermodynamics studies. Adsorpt. Sci. Technol. 2018, 36, 149–169. [Google Scholar] [CrossRef]
  87. Liu, S.; Wu, P.; Chen, M.; Yu, L.; Kang, C.; Zhu, N.; Dang, Z. Amphoteric modified vermiculites as adsorbents for enhancing removal of organic pollutants: Bisphenol A and Tetrabromobisphenol A. Environ. Pollut. 2017, 228, 277–286. [Google Scholar] [CrossRef] [PubMed]
  88. Hameed, B.H.; Tan, I.A.W.; Ahmad, A.L. Adsorption isotherm, kinetic modeling and mechanism of 2,4,6-trichlorophenol on coconut husk-based activated carbon. Chem. Eng. J. 2008, 144, 235–244. [Google Scholar] [CrossRef]
  89. Dayane, J.A.; Hélen, C.R.; Érica, L.O.; Ione, L.S.A.; Nívia, M.M.C.; Túlio, N.M.; Cleide, S.T.A. Characterization of Pequi (Caryocar brasiliense) Shells and Evaluation of Their Potential for the Adsorption of Pb(II) Ions in Aqueous Systems. J. Braz. Chem. Soc. 2016, 27, 616–623. [Google Scholar]
  90. Hind, A.R.; Bhargava, S.K.; McKinnon, A. At the solid/liquid interface: FTIR/ATR—The tool of choice. Adv. Colloid Interface Sci. 2001, 93, 91–114. [Google Scholar] [CrossRef]
Publisher’s Note: MDPI stays neutral with regard to jurisdictional claims in published maps and institutional affiliations.

Article Metrics

Citations

Article Access Statistics

Multiple requests from the same IP address are counted as one view.