Abstract
The thermal degradation behaviors and reaction kinetics of medical waste infusion bag (IB) and nasal oxygen cannula (NOC) were investigated under inert atmosphere with the heating rates of 5, 10, 15, and 25 K·min−1. Ozawa–Flynn–Wall (OFW), Kissinger–Akahira–Sunose (KAS), and Friedman were employed to estimate the activation energy. Coats–Redfern and Kennedy–Clark methods were adopted to predict the possible reaction mechanism. The results suggested that the reaction mechanism of IB pyrolysis was zero-order, and that of NOC pyrolysis was concluded that zero-order for the first stage and three-dimensional diffusion Jander equation for the second stage. Based on the kinetic compensation effect, the reconstructed reaction models for IB and NOC pyrolysis were elaborated by introducing adjustment functions. The results indicated that the reconstructed model fitted well with the experimental data. The results are helpful as a reference and provide guidance for the determination of IB and NOC degradation behaviors and the simulation of parameters.
1. Introduction
Medical waste refers to the hazardous waste generated by hospitals, clinics, or other related medical institutions, which typically contains a variety of potentially infectious and toxic substances [1,2]. There are many types of medical waste, including organic garbage, paper, glass, metal, textile fiber, wood timber, and medical plastic waste, of which medical plastic waste accounts for the highest proportion [3]. Medical waste would not only occupy a large amount of storage space, but also carry a variety of germs. The common way to dispose medical waste is pyrolysis. The three major products that are produced during pyrolysis are oil, gas, and char which are valuable for industries especially production [4]. In addition, pyrolysis is also very flexible since the process parameters can be manipulated to optimize the product yield based on preferences. The liquid oil produced can be used in multiple applications such as furnaces, boilers, turbines, and diesel engines without the needs of upgrading or treatment [5]. Unlike recycling, pyrolysis does not cause water contamination and is considered as green technology when even the pyrolysis by product which is gaseous has substantial calorific value that it can be reused to compensate the overall energy requirement of the pyrolysis plant [6]. So, it is important to investigate the pyrolysis process of medical plastic waste.
The thermal degradation behavior and thermal risk of traditional polymers has attracted lots of attention of many researchers, among which the research on polypropylene and polyvinyl chloride is common. Wang et al. investigated the activation energy of polyvinyl chloride by several commonly-used iso-conversional methods including Kissinger-Akahira-Sunose (KAS) method, Ozawa-Flynn-Wall (OFW) method, and Friedman method [7]. Aboulkas et al. studied the pyrolysis behavior of polypropylene [8]. The activation energies and pyrolysis kinetic models of polypropylene were obtained. Xu et al. explored the pyrolysis kinetic parameters of polypropylene and polyvinyl chloride by OFW method, KAS method, and Friedman method under high heating rate conditions [9]. Then, the reaction models were calculated by the commonly used model-fitting methods including Coats–Redfern method and Criado method. Han et al. conducted the pyrolysis experiments on polyvinyl chloride in air and nitrogen. The results show that the oxygen in air affected the second stage more obviously than that of the first one, in comparison with nitrogen atmosphere [10]. Nisar et al. revealed pyrolysis kinetics of polypropylene over zeolite modernite using thermogravimetry [11]. The activation energies calculated by three different methods were found in accord with each other. Generally, combining model-free and model-fitting methods together, the kinetic parameters and reaction model of polymers pyrolysis could be obtained thoroughly.
Recently, thermal degradation behavior of medical wastes in polymer have been studied by some researchers. Archibald et al. investigated the flame spread and resistance to ignition of eight fiber reinforced composite mainly composed of polymer [12]. The thermal stability and fire hazard of epoxy polymer pastes was studied by Ushkov et al. [13]. Hassel et al. evaluated the flammability, explosiveness, and vapor pressure of polymer by using differential scanning calorimetry, thermogravimetric analysis, and evolved gas analysis [14]. Deng et al. carried out thermogravimetric analysis under nitrogen atmosphere to obtain pyrolysis kinetic parameters of tube for transfusion, sample collector for urine, and one-off medical glove by the Coats-Redfern method [3]. Huang et al. investigated the pyrolysis and oxidation kinetics of saline bottles to obtain the kinetic parameters based on TGA (thermogravimetric analysis) [15]. However, the pyrolysis of medical plastic waste involves complex reaction due to the evolution of different volatile species. Yan et al. performed kinetic analysis of medical respirator pyrolysis to determine the distributed activation energy model based on first-order kinetic expression by a direct search method [16]. Subsequently, Deng et al. established a novel “two-step four-reaction model” to simulate the whole continuous pyrolysis process for the medical transfusion tube waste containing polyvinyl chloride (PVC) [17]. Qin et al. conducted the pyrolysis experiment of plastic infusion bag in a micro-fluidized bed reactor to calculate the activation energy based on the information of evolution gases mixture [18]. Moreover, the optimum chemical reaction model was confirmed by the Coats-Redfern method. The accurate kinetic parameters are very important for the pyrolysis process simulation. Nevertheless, the common reaction mechanisms sometimes fail to match experimental pyrolysis data well, which cannot describe its real pyrolysis mechanism at different conversions. Jiang et al. discovered that the common reaction models cannot fit well with the experimental profile for extruded polystyrene and rigid polyurethane. They developed new modified models accompanied by accommodation function with best fitting coefficient [19].
In order to obtain the kinetic triplets of thermal degradation more accurately and systematically, two common medical plastic wastes, infusion bag and nasal oxygen tube, were used as the research objects for the pyrolysis experiments under inert atmospheres at different heating rates by thermogravimetric analysis. OFW method, KAS method, and Friedman method were used to calculate the activation energy values of infusion bag and nasal oxygen tube pyrolysis. Coats-Redfern method and Kennedy-Clark method were used to predict the reaction models of infusion bag and nasal oxygen tube preliminarily, then the kinetic compensation effects and the optimal solution to Arrhenius parameters were combined to perform the model reconstruction for confirming the reaction model accurately and systematically. The results of this study would be useful to provide valuable information to reveal the development course of the pyrolysis and combustion of medical plastic waste such as infusion bag and nasal oxygen tube.
2. Materials and Methods
2.1. Sample Preparation
The samples used in this experiment are infusion bag (IB) and nasal oxygen cannula (NOC), which come from Integrated Traditional Chinese and Western Medicine Hospital of Jiangsu Province, China. The main components of IB and NOC are polypropylene and polyvinyl chloride, respectively. For avoiding the influence of moisture and the temperature gradient within the particles of samples, the samples were ground to a particle size of 0.5 mm and then dried in an oven at 373 K for 6 h. The proximate analysis and ultimate analysis of the samples are shown in Table 1. The proximate analysis was performed according to the Chinese National Standards (GB/T 212-2008) and the ultimate analysis was measured by an elemental analyzer (Elementar, Frankfurt, Germany).
Table 1.
Proximate analysis and ultimate analysis of samples.
2.2. Thermogravimetric Experiments
The thermogravimetric experiments were carried out in a thermal analyzer (METTLER TOLEDO, Zurich, Switzerland) with nitrogen (N2) atmosphere. The temperature increased from 308 to 1173 K at different heating rates of 5, 10, 15, and 25 K·min−1, respectively. The flow rate of ultrahigh purity nitrogen (99.999% N2) was maintained constantly at 80 mL·min−1. Approximately 10 mg of sample was placed in an alumina crucible for each experiment.
In this study, the reproducibility of the experiments is acceptable and the thermal analysis data corresponding to the different heating rates are the average of runs carried out two times.
2.3. Theoretical Method
Generally, the conversion of polymer pyrolysis can be written as follow:
where , , and refer to the mass of sample at the initial time, time , and final time, respectively. The rate of conversion can be expressed by the following basic rate equation:
where and refer to the temperature dependence of the rate of mass loss and the mathematical model that describes the pyrolysis reaction, respectively. could be obtained by Arrhenius equation:
where is the activation energy, is the pre-exponential factor, is the gas constant (8.314 J mol−1 K−1), and is the reaction temperature.
In a non-isothermal linear heating experiment, . By combining Equations (2) and (3), the reaction rate can be written in the following form:
Equation (4) can be transformed to Equation (5):
Based on the assumption of , Equation (5) can be expressed as the following formula:
There are two common pyrolysis kinetics research methods in the non-isothermal linear heating experiments, which are the model-free method and model-fitting method [20]. The mode−free methods are used widely to calculate the activation energy of non-isothermal reaction processes for the advantage of requiring no model, but it cannot confirm the kinetic models alone [21,22]. The model-fitting methods are usually used to obtain the kinetic parameters of the reaction through a preselected model [23,24]. Thus, the results show a strong dependence on the mechanism function. In this study, the model-free methods are used combined with the model-fitting methods. The methods including Ozawa−Flynn−Wall (OFW) method [25,26], Kissinger-Akahira-Sunose (KAS) method [27,28] Friedman (FR) method [29], Coats-Redfern (CR) method, and Kennedy-Clark (KC) method [30,31].
2.3.1. Model-Free Method
Equation (6) can be written in the form:
The expression of OFW method can be derived by integrating Equation (7) and combining Doyle’s approximation () [32]:
Another approximation named Coats–Redfern approximation is used in the Kissinger-Akahira-Sunose (KAS) method:
The KAS equation can be obtained by combining the Equation (6) and Equation (9):
Friedman method is a differential iso-conversional method whose expression can be obtained based on Equation (4):
2.3.2. Model-Fitting Method
Based on Equation (6) and Equation (9), the expression of the CR method can be obtained by using the asymptotic approximation :
where refers to the reaction model.
Table 2 shows 19 classical reaction models applied to describe the pyrolysis process of matters.
Table 2.
Commonly-used classical reaction models applied to describe the pyrolysis process of matters.
Kennedy and Clark developed the KC method based on constant heating rate conditions:
The basic expression of the KC method can be obtained as follows:
By taking the natural logarithm for both sides of Equation (14), the following equation can be obtained:
3. Results and Discussion
3.1. Thermogravimetric and Differential Thermogravimetry Analysis
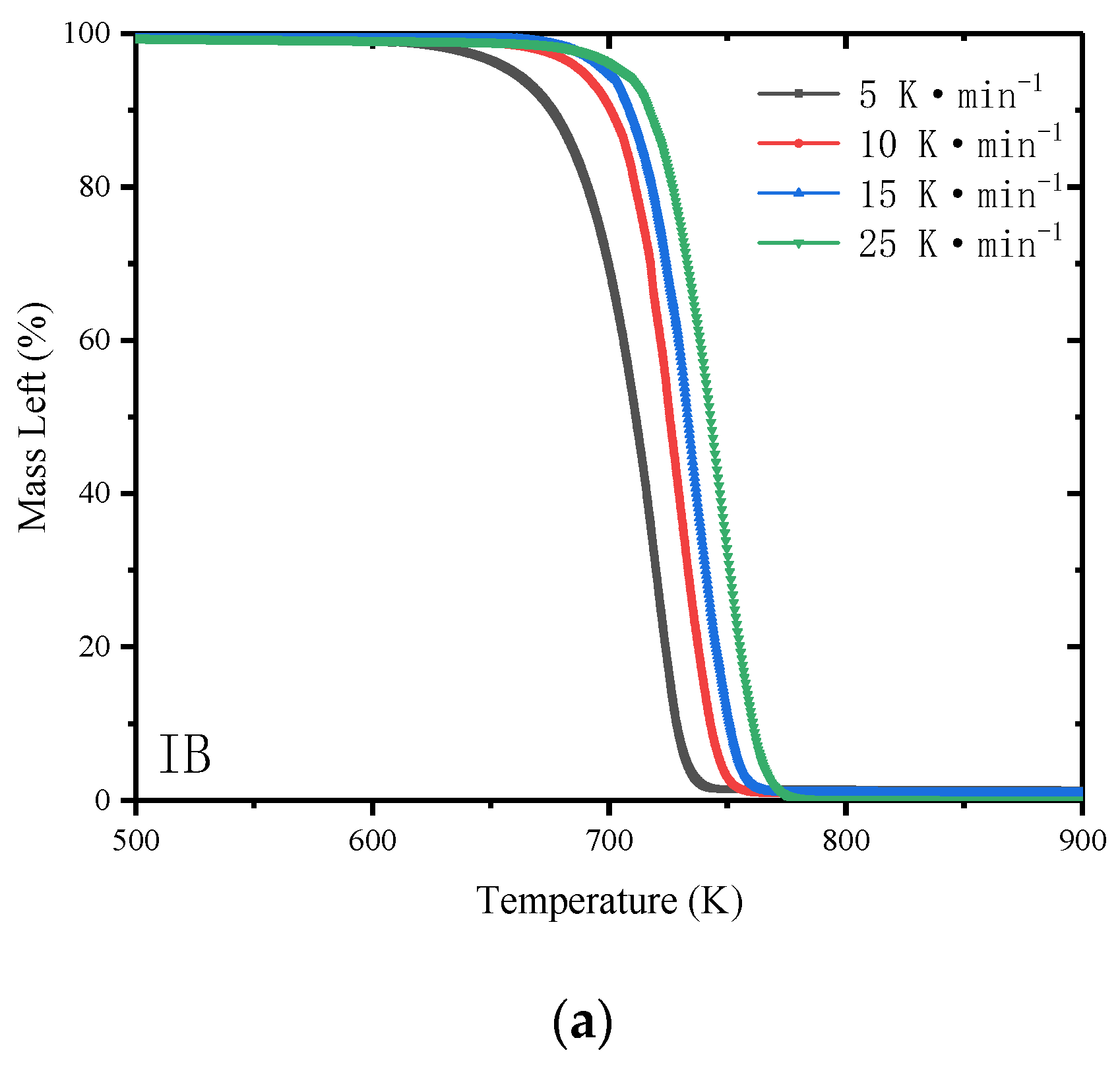
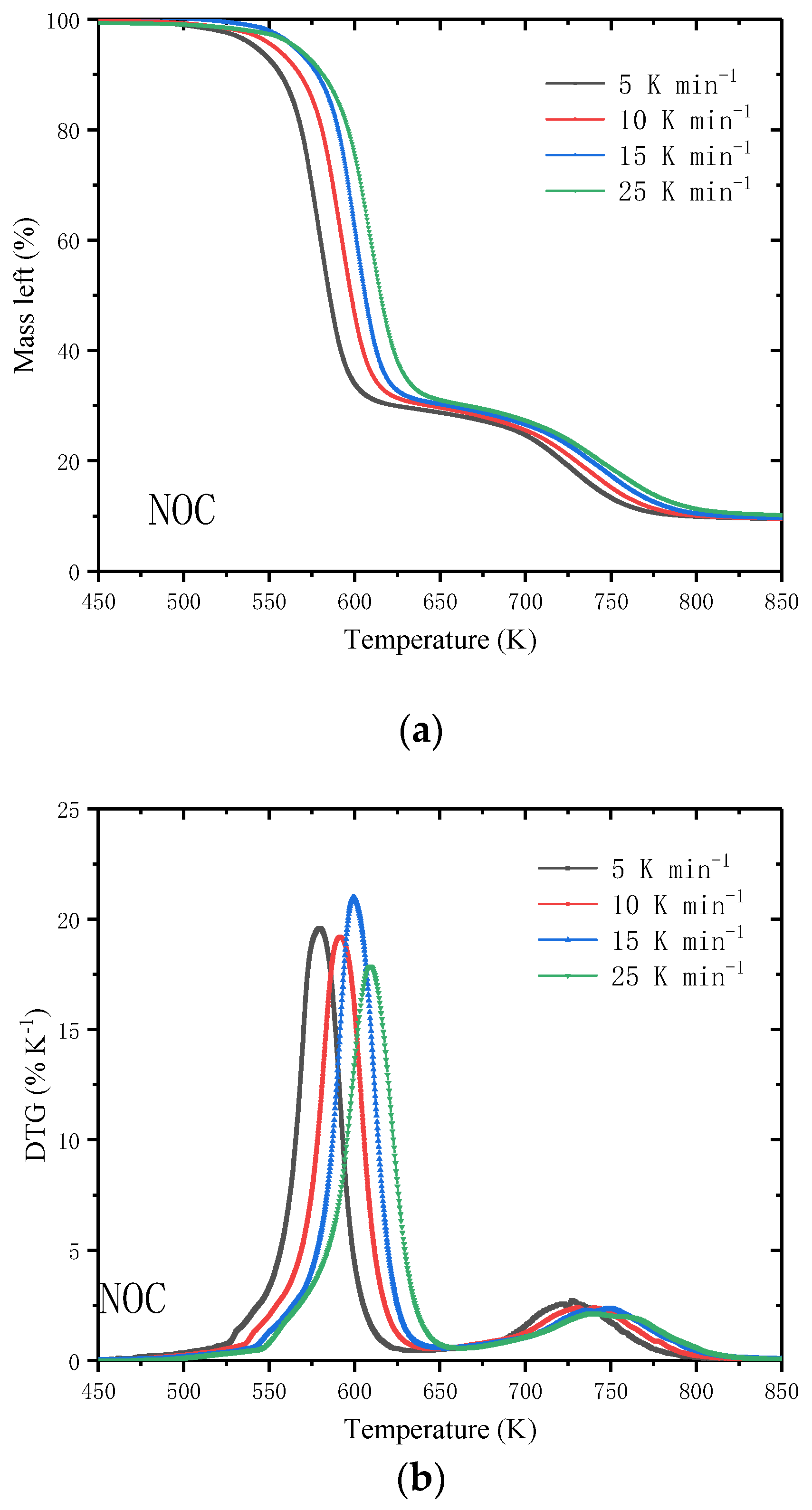
Thermogravimetric (TG) and differential thermogravimetry (DTG) curves of IB and NOC at different heating rates (5, 10, 15, and 25 K·min−1) under a nitrogen environment are shown in Figure 1 and Figure 2. There is only one obvious mass loss stage and one pyrolysis peak for IB, which is different from NOC with two distinct mass loss stages and two pyrolysis peaks. It can be concluded that there are one and two pyrolysis stages for IB and NOC pyrolysis, respectively. Previous studies show there are one and two weightlessness stages for PP and PVC pyrolysis, respectively [8,9,33,34]. The results are consistent with the results obtained of IB and NOC pyrolysis. Although IB and NOC contain some other non-polypropylene and non-polyvinyl chloride substances, the changes in weight are not influenced by them during the pyrolysis process.

Figure 1.
Thermogravimetric and Differential Thermogravimetry curves of infusion bag pyrolysis at different heating rates: (a) Thermogravimetric curves; (b) Differential Thermogravimetry curves.
Figure 2.
Thermogravimetric and differential thermogravimetry curves of nasal oxygen cannula pyrolysis at different heating rates: (a) Thermogravimetric curves; (b) Differential Thermogravimetry curves.
Table 3 displays the pyrolysis characteristics of IB and NOC at different heating rates. It can be observed that the pyrolysis temperature range of IB at different heating rates is about 638 to 783 K with mass loss of around 99%. For NOC pyrolysis, the first stage took place in the range of 494 to 650 K with the mass loss of about 69%. The second stage occurred at 619 K and finished at 810 K with the mass loss of 91% approximately. Two different pyrolysis peaks can be observed obviously in the DTG curves of NOC, which may be caused by the reason that C-Cl with lower dissociation energy would break earlier than C-C, C-H, and C=C when polyvinyl chloride is pyrolyzed. The dissociation energies of C-Cl, C-C, C-H, and C=C are 339, 347, 414, and 611 kJ·mol−1, respectively [9].
Table 3.
Pyrolysis characteristics of infusion bag and nasal oxygen cannula at different heating rates.
Combined with the data in Table 3, it can be concluded that the initial, end, and maximum weight loss temperature of IB and NOC pyrolysis show a lateral shift to a higher temperature. Many researchers considered that the phenomenon occurred because of the heat transfer limitations and thermal lag [35]. The thermal lag means that there had a large difference between furnace temperature and sample temperature, which is more obvious at high heating rates [36].
3.2. Model-Free Analysis
The energy required for a molecule to change from a normal state to an active state is called activation energy, which is very important for the study of pyrolysis dynamics. In this paper, three different model-free methods including OFW, KAS, and Friedman methods were used to calculate the activation energy.
The activation energy values calculated by the three different methods show the similar tendency. The activation energy of IB pyrolysis is shown in Figure 3a and the conversion rate is changed from 0.02 to 0.98. The results indicate that the activation energy values vary between 83.93 to 219.30 kJ·mol−1 for OFW method, 83.69 to 218.42 kJ·mol−1 for KAS method, and 119.15 to 258.01 kJ·mol−1 for Friedman method. The average of the values calculated by the three different methods is 202.53 kJ·mol−1.The variation of activation energy for NOC pyrolysis is presented in Figure 3b. With the conversion rate varies from 0.02 to 0.76, the activation energy of the first stage changes from 85.49 to 152.79 kJ·mol−1 for OFW method, 81.12 to 151.21 kJ·mol−1 for KAS method and 105.99 to 158.50 kJ·mol−1 for Friedman method. With the conversion rate varies from 0.78 to 0.98, the activation energy of the second stage varies from 114.87 to 290.20 kJ·mol−1 for OFW method, 110.24 to 293.43 kJ·mol−1 for KAS method, and 98.28 to 321.71 kJ·mol−1 for Friedman method. The average of the values calculated by the three different methods are 146.36 and 257.49 kJ·mol−1 for the first and second stages, respectively.
Figure 3.
Activation energy values obtained from model-free methods: (a) IB, (b) NOC.
For IB, the values of activation energy increase at the initial stage and then the values show a slightly variation. Previous studies have also calculated the values of activation energy of PP and the results are different. The studies of Xu et al. show that the values of activation energy present a decreasing trend at the end of the pyrolysis process of PP and the values are lower than that of IB [9]. Aboulkas et al. calculated the values of activation energy of PP and the results indicated the values fluctuated around 210 kJ·mol−1 during the whole pyrolysis process [8]. For NOC, it can be observed that the activation energy remains constant substantially in the first stage and shows significant variation in the second stage, and the activation energy of the second stage is generally higher than that of the first stage. This can be explained by the reason that when polyvinyl chloride is pyrolyzed, the chemical bonds broken in the first pyrolysis stage are mainly C-Cl, whereas in the second pyrolysis stage, the broken chemical bonds are mainly C-C, C-H, and C=C whose dissociation energies are all higher than that of C-Cl [9].
It can be observed in Figure 3 that the activation energy values calculated by OFW method and KAS method keep very high consistency, whereas the values obtained by Friedman method are significantly different with other two methods. The difference of the activation energy may be caused by the large data noise during data processing when Friedman method was employed [37].
3.3. Model-Fitting Analysis
The details about the pyrolysis reaction model cannot be obtained by utilizing the model-free method alone. In this paper, the reaction models of IB and NOC during the main pyrolysis interval at different heating rates were explored by model-fitting methods including CR method and KC method with the target models in Table 2. The details of IB and NOC pyrolysis kinetics calculated by CR method and KC method are displayed in Appendix A.
The results indicate that the kinetic parameters including the activation energy and pre-exponential factor corresponding to 19 distinct reaction models are diverse, which means that Arrhenius parameters are strongly dependent on the selected model. The correlation coefficients are greater than 0.9 generally, which indicates that the results obtained by CR method and KC method are dependable. The activation energy and linear coefficient obtained by the model-fitting method are usually used to determine the most probable mechanism function [22,23]. The best selected models for IB and NOC pyrolysis based on model-free method and model-fitting method are present in Table 4.
Table 4.
The kinetic parameters of IB and NOC calculated by Coats-Redfern and Kennedy-Clark methods for the best models which describe the pyrolysis process well at different heating rates.
For IB pyrolysis, the average of the activation energy calculated by model-free methods is 202.53 kJ·mol−1. As presented in Table A1 and Table A2, the values of activation energy calculated by model-fitting-methods are quite different. Among the 19 different kinetic models, the value corresponding to R1 (Zero-order) is the closest to the results of the model-free methods. Meanwhile, the correlation coefficients at different heating rates are also close to 1, which means the results are dependable. It can be concluded that R1 is the reaction model for IB pyrolysis. For the first and second pyrolysis stages of NOC, the average of the activation energy calculated by model-free methods are 146.36 kJ·mol−1 and 257.49 kJ·mol−1, respectively. As shown in Table A3, Table A4, Table A5 and Table A6, the values of activation energy corresponding to R1 (Zero-order) are the closest to the results of the model-free methods for the first stage and the results of D3 (three-dimensional diffusion Jander equation) are closest for the second stage. At the same time, the correlation coefficients corresponding to the two models at different heating rates are both close to 1, which means the results are reliable. Therefore, R1 and D3 are the reaction model for the first and second pyrolysis stages of NOC, respectively. Xu et al. and Aboulkas et al. thought the kinetic model is R3 (contracting cylinder) for PP pyrolysis [9]. For PVC pyrolysis, Xu et al. thought A2 (two-dimension nucleation) and D3 (three-dimension diffusion: Jander) are the kinetic models for the first and second stages, respectively [9]. The differences in kinetic models may be caused by the reason that IB and NOC contain some other non-polypropylene and non- polyvinyl chloride materials. The kinetic models of PVC studied by Wang et al. are also different, which may be caused by the same reason [7].
However, due to the interference of initial gas flow, the small mass loss at the initial pyrolysis reaction cannot really reflect the pyrolysis mechanism. The reaction models were obtained based on the experimental data of main pyrolysis interval. It should be noted that the selected reaction mechanism models may not describe the whole pyrolysis process well. In order to confirm the reaction course more accurately, the adjustment functions will be introduced to reconstruct the reaction model in the following sections.
3.4. Kinetic Compensation Effect
There is an interdependence of the characteristic kinetic parameters which is obtained through the non-isothermal experiments. The certain dependence between activation energy and pre-exponential factor is called kinetic compensation effect (KCE) [38], which is useful for the model reconstruction. The expression is listed as follow:
where the parameters a and are reaction compensation parameters, a and . is artificial isokinetic rate constant, and is artificial isokinetic temperature. The subscript means the selected model listed in Table 2. If the reaction model is not selected correctly, the artificial isokinetic temperature will deviate out of the actual reaction temperature range [39].
The KCE relationships obtained by CR method and KC method combined with the reaction model in Table 2 are displayed in Figure 4 and Figure 5. The results indicate that the linear relationship between Ea and ln A are obvious. The KCE can be expressed as with for IB pyrolysis, with and with for the first and second pyrolysis stages of NOC, respectively. With the known KCE expressions, the value of artificial isokinetic rate constant and artificial isokinetic temperature can be calculated. As shown in Table 5, the values of a and b calculated by CR and KC methods are all different at different heating rates. Additionally, all the values of Tiso are located within the actual reaction temperature range, which also indicates that the selection of reaction model is proper. In addition, the dependence of on each conversional extent can also be determined with the expressions of KCE. The at each conversional extent is shown in Figure 6, where the activation energy is obtained by the model-free methods.
Figure 4.
The Kinetic Compensation Effect relationships by CR method at different heating rates: (a) IB, (b) the first pyrolysis stage of NOC, (c) the second pyrolysis stage of NOC.
Figure 5.
The Kinetic Compensation Effect relationship by Kennedy-Clark method at different heating rates: (a) IB, (b) the first pyrolysis stage of NOC, (c) the second pyrolysis stage of NOC.
Table 5.
Artificial isokinetic parameters obtained by using the KCE for IB and NOC pyrolysis at different heating rates.
Figure 6.
Dependence of pre-exponential factors on conversional extent at different heating rates: (a) IB, (b) NOC.
3.5. Model Reconstruction
After combining Equations (2) and (4), the reaction mechanism function can be expressed as follows:
Based on Section 3.2, Section 3.3 and Section 3.4, all the parameters on the right of Equation (17) can be obtained. Then, the value of can be calculated for each conversion. Therefore, the scatter plot of on can be drawn. The accuracy of the obtained reaction model can be verified by this method.
As the aforementioned conclusion in Section 3.3, the reaction models for IB and NOC have been confirmed preliminarily. However, it does not mean that the selected models are the actual reaction models of IB and NOC. The selected model does not necessarily fit well with the experimental data, because the most commonly-used classical reaction models may be not completely suitable for describing the reaction process of solid [40]. Therefore, it is necessary to introduce an adjustment function to modify the known classical reaction models present in Table 2 for reconstructing the reaction model accurately. The adjustment function can be represented by and the modified function can be expressed by the arithmetic products of the adjustment function and a known reaction model [41]. The new modified models for IB pyrolysis can be expressed by Equation (18):
The new modified models for the first and second pyrolysis stages of NOC can be expressed by Equations (19) and (20), respectively:
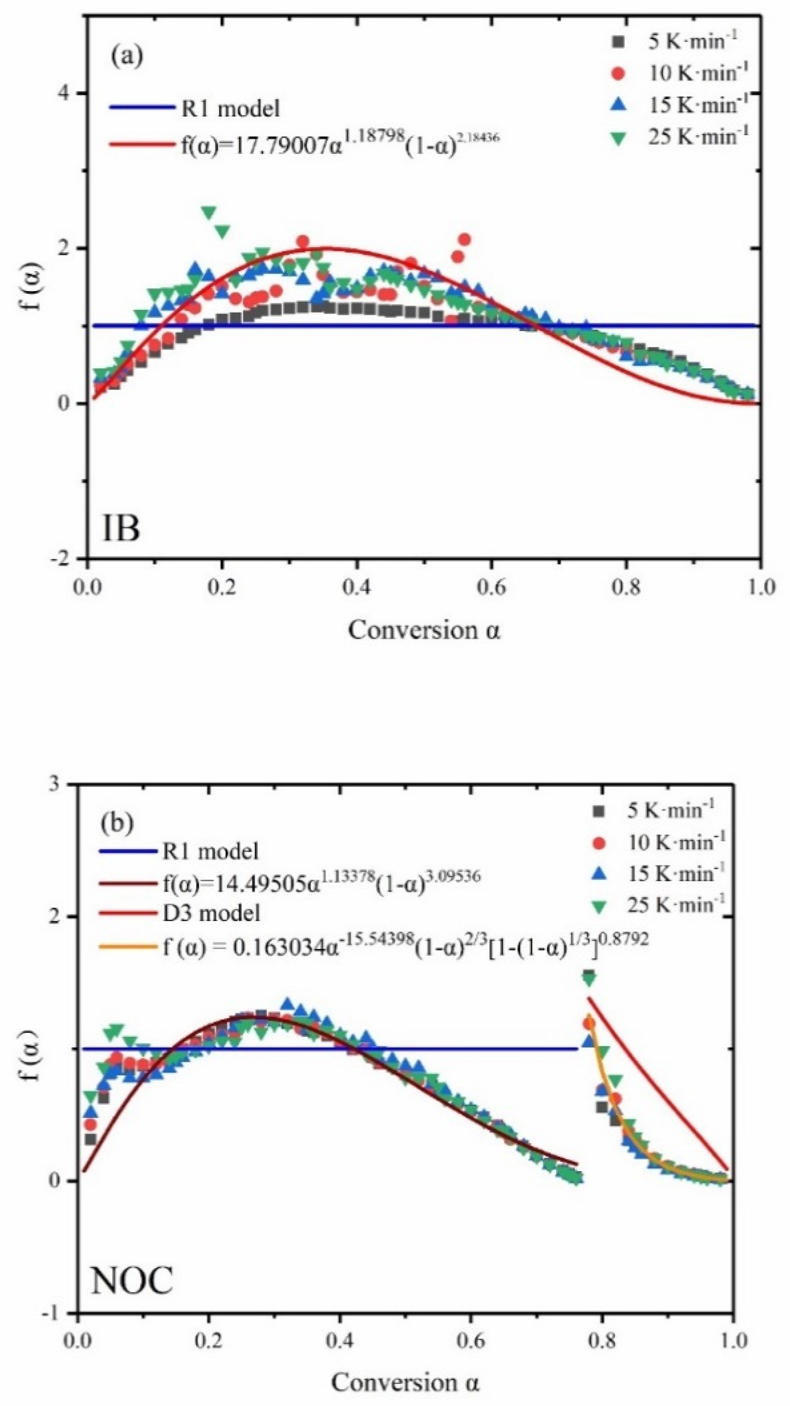
The values of the three parameters , and can be obtained based on the known correspondence between and in Equation (17). Therefore, the specific mathematical expression of the new modified model can be determined. The comparison results of experimental data with modified model and the selected classical model are shown in Figure 7 and Table 6, where the smaller residual sum of squares (RSS) indicates that the model fit better with the experimental data.
Figure 7.
Model reconstruction of the kinetic mechanism function at different heating rates: (a) IB, (b) NOC.
Table 6.
Reconstruction model results of IB and NOC dependent on reaction model.
Sometimes, although the classical reaction models in Table 2 can reveal the reaction mechanism of pyrolysis process, they cannot describe the pyrolysis behaviors accurately. In this paper, after analyzing the reaction process, the models determined by the CR method and KC method were explored furtherly by model reconstruction with adjustment function. The results show that the reconstructed model keeps higher consistency with the experimental data than the models confirmed by model-fitting method. The final pyrolysis models for IB and NOC can provide guidance to medical plastic waste pyrolysis modeling studies.
4. Conclusions
IB and NOC were chosen to investigate the thermal degradation behaviors and kinetic analysis in detail by thermogravimetric. There are one and two stages can be observed for IB and NOC pyrolysis, respectively. The results of model-free methods show that the activation energy values vary between 83.93 to 258.01 kJ·mol−1 for IB pyrolysis, 81.12 to 158.50 kJ·mol−1 and 98.28 to 321.71 kJ·mol−1 for the first and second pyrolysis stages of NOC, respectively. The consequences of model-fitting methods suggest that IB pyrolysis is controlled by zero-order, and NOC pyrolysis is governed by zero-order for the first stage and three-dimensional diffusion Jander equation for the second stage.
The kinetic compensation effect indicates that there is an obvious linear relationship between the pre-exponential factor and activation energy for IB and NOC pyrolysis. The reaction models of IB and NOC pyrolysis are reconstructed by introducing adjustment functions.
The reconstructed reaction models are for IB pyrolysis, and for the first and second pyrolysis stages of NOC, respectively. It is anticipated that our current study will provide a route to analyze the pyrolysis kinetic of IB and NOC, and the obtained kinetic triplets could be helpful to further investigate medical plastic wastes pyrolysis in actual disposal scenarios.
Author Contributions
Conceptualization, L.Z., J.J. (Jiajia Jiang) and Y.P.; methodology, L.Z., J.J. (Jiajia Jiang) and T.M.; software, L.Z.; validation, J.J. (Jiajia Jiang) and J.J. (Juncheng Jiang); formal analysis, L.Z.; investigation, L.Z. and J.J. (Jiajia Jiang); resources, L.Z., J.J. (Jiajia Jiang) and Y.P.; data curation, L.Z. and Y.W.; writing—original draft preparation, L.Z.; writing—review and editing, J.J. (Jiajia Jiang), Y.P. and J.J. (Juncheng Jiang); visualization, L.Z.; supervision, T.M. and Y.W.; project administration, J.J. (Jiajia Jiang) and Y.P.; funding acquisition, J.J. (Jiajia Jiang). All authors have read and agreed to the published version of the manuscript.
Funding
This work was supported by National Natural Science Foundation of China (No.51804167, 51974165) and Natural Science Foundation of Jiangsu (No. BK20150953).
Institutional Review Board Statement
Not involving humans or animals.
Informed Consent Statement
Not applicable for studies not involving humans.
Data Availability Statement
No new data were created or analyzed in this study. Data sharing is not applicable to this article.
Conflicts of Interest
The authors declare no conflict of interest.
Appendix A
Table A1.
The kinetic parameters of IB calculated by CR method at different heating rates.
Table A1.
The kinetic parameters of IB calculated by CR method at different heating rates.
| Model | 5 K·min−1 | 10 K·min−1 | 15 K·min−1 | 25 K·min−1 | Average | ||||||||
|---|---|---|---|---|---|---|---|---|---|---|---|---|---|
| Ea/kJ·mol−1 | ln A/min−1 | R2 | Ea/kJ·mol−1 | ln A/min−1 | R2 | Ea/kJ·mol−1 | ln A/min−1 | R2 | Ea/kJ·mol−1 | ln A/min−1 | R2 | Ea/kJ·mol−1 | |
| F1 | 203.64 | 32.78 | 0.96627 | 287.25 | 46.83 | 0.98824 | 308.66 | 50.31 | 0.99768 | 287.84 | 46.70 | 0.99105 | 271.85 |
| F3/2 | 237.77 | 39.01 | 0.92395 | 338.06 | 55.71 | 0.96566 | 364.98 | 60.00 | 0.98527 | 339.45 | 55.51 | 0.97225 | 320.07 |
| F2 | 277.55 | 46.24 | 0.87021 | 397.60 | 66.07 | 0.92784 | 431.07 | 71.34 | 0.95559 | 399.95 | 65.80 | 0.93738 | 376.54 |
| F3 | 369.55 | 62.87 | 0.77075 | 535.64 | 89.99 | 0.84701 | 584.43 | 97.55 | 0.88459 | 540.25 | 89.57 | 0.86009 | 507.47 |
| D1 | 318.27 | 51.40 | 0.99353 | 438.77 | 71.09 | 0.97795 | 466.43 | 75.31 | 0.96676 | 438.10 | 70.17 | 0.97273 | 415.39 |
| D2 | 345.08 | 55.59 | 0.99252 | 477.67 | 77.20 | 0.98675 | 509.22 | 81.99 | 0.98142 | 477.53 | 76.21 | 0.98390 | 452.38 |
| D3 | 380.15 | 60.45 | 0.98436 | 529.27 | 84.67 | 0.99210 | 566.20 | 90.26 | 0.99419 | 529.88 | 83.60 | 0.99214 | 501.38 |
| D4 | 356.53 | 56.17 | 0.99074 | 494.50 | 78.62 | 0.98957 | 527.79 | 83.67 | 0.98678 | 494.60 | 77.61 | 0.98772 | 468.36 |
| A3/2 | 131.94 | 20.30 | 0.96458 | 187.54 | 30.00 | 0.98781 | 201.75 | 32.46 | 0.98760 | 187.84 | 30.20 | 0.98072 | 177.27 |
| A2 | 96.08 | 13.96 | 0.96275 | 137.68 | 21.49 | 0.98736 | 148.30 | 23.45 | 0.99751 | 137.84 | 21.85 | 0.99036 | 129.98 |
| A3 | 60.23 | 7.47 | 0.9586 | 87.83 | 12.83 | 0.98637 | 94.85 | 14.29 | 0.99733 | 87.83 | 13.37 | 0.98959 | 82.69 |
| A4 | 42.30 | 4.10 | 0.95365 | 62.90 | 8.40 | 0.98525 | 68.13 | 9.61 | 0.99713 | 62.83 | 9.01 | 0.98871 | 59.04 |
| R1 | 153.39 | 23.51 | 0.99308 | 213.44 | 33.84 | 0.97666 | 227.19 | 36.17 | 0.96492 | 212.97 | 33.81 | 0.97110 | 201.75 |
| R2 | 175.69 | 26.95 | 0.99878 | 245.98 | 38.90 | 0.99033 | 263.04 | 41.72 | 0.98885 | 245.96 | 38.82 | 0.98893 | 232.67 |
| R3 | 184.34 | 28.13 | 0.98356 | 258.70 | 40.73 | 0.99176 | 277.08 | 43.75 | 0.99391 | 258.86 | 40.63 | 0.99178 | 244.75 |
| P1 | 29.73 | 1.50 | 0.98890 | 44.45 | 4.88 | 0.96614 | 47.76 | 5.80 | 0.95012 | 44.12 | 5.51 | 0.95767 | 41.52 |
| P2 | 43.47 | 4.15 | 0.99066 | 63.23 | 8.27 | 0.97030 | 67.70 | 9.35 | 0.95591 | 62.88 | 8.84 | 0.96300 | 59.32 |
| P3 | 70.95 | 9.16 | 0.99202 | 100.78 | 14.83 | 0.97376 | 107.57 | 16.22 | 0.96078 | 100.40 | 15.24 | 0.96741 | 94.93 |
| P4 | 235.83 | 37.52 | 0.99339 | 326.11 | 52.53 | 0.97753 | 346.81 | 55.81 | 0.96616 | 325.53 | 52.06 | 0.97220 | 308.57 |
Table A2.
The kinetic parameters of IB calculated by KC method at different heating rates.
Table A2.
The kinetic parameters of IB calculated by KC method at different heating rates.
| Model | 5 K·min−1 | 10 K·min−1 | 15 K·min−1 | 25 K·min−1 | Average | ||||||||
|---|---|---|---|---|---|---|---|---|---|---|---|---|---|
| Ea/kJ·mol−1 | ln A/min−1 | R2 | Ea/kJ·mol−1 | ln A/min−1 | R2 | Ea/kJ·mol−1 | ln A/min−1 | R2 | Ea/kJ·mol−1 | ln A/min−1 | R2 | Ea/kJ·mol−1 | |
| F1 | 204.75 | 29.99 | 0.96627 | 258.19 | 39.98 | 0.98177 | 310.22 | 47.18 | 0.99768 | 289.49 | 43.66 | 0.99106 | 265.66 |
| F3/2 | 238.88 | 36.07 | 0.92420 | 309.01 | 48.70 | 0.95425 | 366.54 | 56.71 | 0.98531 | 341.10 | 52.31 | 0.97236 | 313.88 |
| F2 | 278.66 | 43.15 | 0.87072 | 368.55 | 58.89 | 0.91187 | 432.63 | 67.88 | 0.95578 | 401.60 | 62.43 | 0.93769 | 370.36 |
| F3 | 370.66 | 59.49 | 0.77150 | 506.59 | 82.52 | 0.82769 | 586.00 | 93.79 | 0.88501 | 541.91 | 85.90 | 0.86067 | 501.29 |
| D1 | 319.37 | 48.17 | 0.99354 | 409.71 | 63.82 | 0.97571 | 467.99 | 71.78 | 0.96706 | 439.76 | 66.71 | 0.97299 | 409.21 |
| D2 | 346.18 | 52.28 | 0.99248 | 448.62 | 69.84 | 0.98505 | 510.78 | 78.37 | 0.98158 | 479.18 | 72.66 | 0.98404 | 446.19 |
| D3 | 381.26 | 57.05 | 0.98432 | 500.21 | 77.20 | 0.99028 | 567.76 | 86.53 | 0.99424 | 531.53 | 79.96 | 0.99217 | 495.19 |
| D4 | 357.64 | 52.83 | 0.99069 | 465.44 | 71.23 | 0.98794 | 529.35 | 80.01 | 0.98690 | 496.25 | 74.03 | 0.98781 | 462.17 |
| A3/2 | 133.04 | 17.95 | 0.96459 | 158.49 | 23.57 | 0.97632 | 203.32 | 29.77 | 0.98760 | 189.49 | 27.59 | 0.98074 | 171.09 |
| A2 | 97.19 | 11.93 | 0.96278 | 108.63 | 15.37 | 0.96898 | 149.87 | 21.06 | 0.99752 | 139.49 | 19.55 | 0.99041 | 123.80 |
| A3 | 61.33 | 5.90 | 0.95873 | 58.78 | 7.17 | 0.94488 | 96.42 | 12.35 | 0.99734 | 89.49 | 11.52 | 0.98968 | 76.51 |
| A4 | 43.41 | 2.89 | 0.95398 | 33.85 | 3.06 | 0.89514 | 69.69 | 8.00 | 0.99715 | 64.49 | 7.50 | 0.98886 | 52.86 |
| R1 | 154.50 | 21.01 | 0.99311 | 184.39 | 27.29 | 0.97102 | 228.75 | 33.36 | 0.96556 | 214.62 | 31.08 | 0.97167 | 195.57 |
| R2 | 176.80 | 24.31 | 0.99868 | 216.93 | 32.20 | 0.99631 | 264.60 | 38.76 | 0.99005 | 247.61 | 35.94 | 0.99052 | 226.49 |
| R3 | 185.44 | 25.45 | 0.98347 | 229.64 | 33.98 | 0.98736 | 278.64 | 40.73 | 0.99401 | 260.51 | 37.70 | 0.99186 | 238.56 |
| P1 | 30.84 | 0.64 | 0.98928 | 15.40 | −0.11 | 0.79284 | 49.33 | 4.54 | 0.95403 | 45.77 | 4.35 | 0.96129 | 35.34 |
| P2 | 44.58 | 2.91 | 0.99085 | 34.18 | 2.94 | 0.91564 | 69.26 | 7.74 | 0.95843 | 64.53 | 7.32 | 0.96529 | 53.14 |
| P3 | 72.06 | 7.43 | 0.99210 | 71.73 | 9.02 | 0.95469 | 109.13 | 14.15 | 0.96224 | 102.05 | 13.26 | 0.96872 | 88.74 |
| P4 | 236.94 | 34.59 | 0.99340 | 297.05 | 45.55 | 0.97431 | 348.37 | 52.57 | 0.96657 | 327.19 | 48.89 | 0.97256 | 302.39 |
Table A3.
The kinetic parameters of the first pyrolysis stage of NOC calculated by CR method at different heating rates.
Table A3.
The kinetic parameters of the first pyrolysis stage of NOC calculated by CR method at different heating rates.
| Model | 5 K·min−1 | 10 K·min−1 | 15 K·min−1 | 25 K·min−1 | Average | ||||||||
|---|---|---|---|---|---|---|---|---|---|---|---|---|---|
| Ea/kJ·mol−1 | ln A/min−1 | R2 | Ea/kJ·mol−1 | ln A/min−1 | R2 | Ea/kJ·mol−1 | ln A/min−1 | R2 | Ea/kJ·mol−1 | ln A/min−1 | R2 | Ea/kJ·mol−1 | |
| F1 | 187.61 | 37.64 | 0.99052 | 186.65 | 37.28 | 0.98944 | 209.65 | 41.83 | 0.98989 | 174.28 | 34.60 | 0.98600 | 189.55 |
| F3/2 | 222.60 | 45.35 | 0.97856 | 221.37 | 44.78 | 0.97607 | 248.64 | 50.08 | 0.97818 | 206.57 | 41.42 | 0.96969 | 224.80 |
| F2 | 262.64 | 54.12 | 0.95969 | 261.07 | 53.31 | 0.95603 | 293.26 | 59.48 | 0.95959 | 243.49 | 49.19 | 0.94719 | 265.12 |
| F3 | 355.30 | 74.34 | 0.91678 | 352.95 | 72.96 | 0.91148 | 396.53 | 81.15 | 0.91710 | 328.86 | 67.04 | 0.89930 | 358.41 |
| D1 | 275.97 | 55.25 | 0.98456 | 275.05 | 54.51 | 0.98644 | 308.03 | 60.80 | 0.98383 | 257.96 | 50.42 | 0.98932 | 279.25 |
| D2 | 306.05 | 61.17 | 0.99056 | 304.93 | 60.26 | 0.99156 | 341.52 | 67.18 | 0.98977 | 285.82 | 55.60 | 0.99259 | 309.58 |
| D3 | 343.95 | 67.96 | 0.99334 | 342.55 | 66.83 | 0.99328 | 383.74 | 74.57 | 0.99261 | 320.86 | 61.45 | 0.99207 | 347.78 |
| D4 | 318.52 | 62.40 | 0.99218 | 317.31 | 61.42 | 0.99281 | 355.42 | 68.61 | 0.99141 | 297.36 | 56.52 | 0.99306 | 322.15 |
| A3/2 | 121.90 | 23.64 | 0.99008 | 121.20 | 23.61 | 0.98893 | 136.48 | 26.81 | 0.98944 | 112.87 | 22.09 | 0.98526 | 123.11 |
| A2 | 89.05 | 16.54 | 0.98960 | 88.47 | 16.68 | 0.98839 | 99.89 | 19.21 | 0.98896 | 82.16 | 15.74 | 0.98446 | 89.89 |
| A3 | 56.19 | 9.30 | 0.98852 | 55.74 | 9.60 | 0.98715 | 63.30 | 11.46 | 0.98790 | 51.45 | 9.23 | 0.98263 | 56.67 |
| A4 | 39.77 | 5.56 | 0.98725 | 39.38 | 5.95 | 0.98570 | 45.01 | 7.47 | 0.98666 | 36.10 | 5.86 | 0.98043 | 40.07 |
| R1 | 133.23 | 25.56 | 0.98340 | 132.67 | 25.51 | 0.98539 | 149.08 | 28.90 | 0.98270 | 124.00 | 23.86 | 0.98141 | 134.75 |
| R2 | 157.89 | 30.37 | 0.98237 | 157.16 | 30.18 | 0.98282 | 176.55 | 34.09 | 0.98160 | 146.83 | 28.06 | 0.98261 | 159.61 |
| R3 | 167.22 | 32.03 | 0.99298 | 166.42 | 31.79 | 0.99292 | 186.93 | 35.90 | 0.99224 | 155.45 | 29.50 | 0.99161 | 169.01 |
| P1 | 26.17 | 2.21 | 0.97276 | 25.88 | 2.67 | 0.97566 | 29.87 | 3.92 | 0.97280 | 23.53 | 2.83 | 0.97956 | 26.36 |
| P2 | 38.07 | 4.99 | 0.97719 | 37.75 | 5.41 | 0.97974 | 43.11 | 6.88 | 0.97685 | 34.69 | 5.37 | 0.98336 | 38.41 |
| P3 | 61.86 | 10.31 | 0.98065 | 61.48 | 10.61 | 0.98290 | 69.61 | 12.55 | 0.98009 | 57.02 | 10.17 | 0.98621 | 62.49 |
| P4 | 204.60 | 40.47 | 0.98419 | 203.86 | 40.08 | 0.98610 | 228.56 | 44.92 | 0.98347 | 190.98 | 37.20 | 0.98903 | 207.00 |
Table A4.
The kinetic parameters of the second pyrolysis stage of NOC calculated by CR method at different heating rates.
Table A4.
The kinetic parameters of the second pyrolysis stage of NOC calculated by CR method at different heating rates.
| Model | 5 K·min−1 | 10 K·min−1 | 15 K·min−1 | 25 K·min−1 | Average | ||||||||
|---|---|---|---|---|---|---|---|---|---|---|---|---|---|
| Ea/kJ·mol−1 | ln A/min−1 | R2 | Ea/kJ·mol−1 | ln A/min−1 | R2 | Ea/kJ·mol−1 | ln A/min−1 | R2 | Ea/kJ·mol−1 | ln A/min−1 | R2 | Ea/kJ·mol−1 | |
| F1 | 116.72 | 17.23 | 0.97878 | 118.29 | 17.95 | 0.99479 | 119.36 | 18.30 | 0.99568 | 122.92 | 19.24 | 0.99989 | 119.32 |
| F3/2 | 138.88 | 21.37 | 0.95639 | 141.26 | 22.18 | 0.97983 | 142.57 | 22.52 | 0.98114 | 147.40 | 23.65 | 0.99464 | 142.53 |
| F2 | 164.17 | 26.05 | 0.92872 | 167.52 | 26.97 | 0.95792 | 169.10 | 27.32 | 0.95952 | 175.42 | 28.65 | 0.98058 | 169.05 |
| F3 | 222.61 | 36.77 | 0.87407 | 228.25 | 37.96 | 0.91068 | 230.47 | 38.30 | 0.91263 | 240.31 | 40.13 | 0.94386 | 230.41 |
| D1 | 175.89 | 26.39 | 0.99355 | 176.86 | 26.88 | 0.99098 | 178.38 | 27.19 | 0.99065 | 182.04 | 28.06 | 0.97541 | 178.29 |
| D2 | 195.13 | 29.27 | 0.99393 | 196.70 | 29.82 | 0.99694 | 198.43 | 30.14 | 0.99702 | 203.02 | 31.13 | 0.98767 | 198.32 |
| D3 | 219.24 | 32.21 | 0.98953 | 221.64 | 32.86 | 0.99881 | 223.63 | 33.17 | 0.99930 | 229.49 | 34.34 | 0.99697 | 223.50 |
| D4 | 203.07 | 29.23 | 0.99306 | 204.91 | 29.82 | 0.99831 | 206.73 | 30.13 | 0.99853 | 211.73 | 31.18 | 0.99165 | 206.61 |
| A3/2 | 73.92 | 9.71 | 0.97687 | 74.90 | 10.42 | 0.99439 | 75.57 | 10.78 | 0.99536 | 77.90 | 11.58 | 0.99987 | 75.57 |
| A2 | 52.52 | 5.84 | 0.97467 | 53.21 | 6.54 | 0.99393 | 53.67 | 6.91 | 0.99499 | 55.38 | 7.64 | 0.99984 | 53.70 |
| A3 | 31.12 | 1.79 | 0.96907 | 31.52 | 2.47 | 0.99277 | 31.78 | 2.85 | 0.99406 | 32.87 | 3.51 | 0.99976 | 31.82 |
| A4 | 20.42 | −0.40 | 0.96112 | 20.67 | 0.28 | 0.99112 | 20.83 | 0.66 | 0.99274 | 21.62 | 1.29 | 0.99962 | 20.89 |
| R1 | 82.10 | 10.66 | 0.99258 | 82.50 | 11.24 | 0.98938 | 83.19 | 11.59 | 0.98898 | 84.94 | 12.28 | 0.97138 | 83.18 |
| R2 | 97.84 | 12.98 | 0.99157 | 98.75 | 13.61 | 0.99857 | 99.61 | 13.96 | 0.99889 | 102.16 | 14.76 | 0.99249 | 99.59 |
| R3 | 103.78 | 13.70 | 0.98857 | 104.88 | 14.36 | 0.99872 | 105.81 | 14.71 | 0.99925 | 108.67 | 15.55 | 0.99650 | 105.79 |
| P1 | 11.76 | −2.51 | 0.97700 | 11.72 | −1.87 | 0.96276 | 11.79 | −1.49 | 0.96108 | 12.12 | −0.93 | 0.90878 | 11.85 |
| P2 | 19.58 | −0.75 | 0.98532 | 19.59 | −0.12 | 0.97711 | 19.72 | 0.26 | 0.97613 | 20.21 | 0.83 | 0.94166 | 19.78 |
| P3 | 35.21 | 2.33 | 0.98986 | 35.31 | 2.95 | 0.98482 | 35.59 | 3.32 | 0.98421 | 36.40 | 3.92 | 0.96013 | 35.63 |
| P4 | 129.00 | 18.59 | 0.99325 | 129.68 | 19.13 | 0.99049 | 130.78 | 19.46 | 0.99013 | 133.49 | 20.24 | 0.97416 | 130.74 |
Table A5.
The kinetic parameters of the first pyrolysis stage of NOC calculated by KC method at different heating rates.
Table A5.
The kinetic parameters of the first pyrolysis stage of NOC calculated by KC method at different heating rates.
| Model | 5 K·min−1 | 10 K·min−1 | 15 K·min−1 | 25 K·min−1 | Average | ||||||||
|---|---|---|---|---|---|---|---|---|---|---|---|---|---|
| Ea/kJ·mol−1 | ln A/min−1 | R2 | Ea/kJ·mol−1 | ln A/min−1 | R2 | Ea/kJ·mol−1 | ln A/min−1 | R2 | Ea/kJ·mol−1 | ln A/min−1 | R2 | Ea/kJ·mol−1 | |
| F1 | 186.81 | 34.57 | 0.99033 | 186.08 | 34.26 | 0.98925 | 209.25 | 38.73 | 0.98976 | 173.99 | 31.71 | 0.98577 | 189.03 |
| F3/2 | 221.80 | 42.11 | 0.97823 | 220.79 | 41.59 | 0.97576 | 248.24 | 46.81 | 0.97797 | 206.28 | 38.36 | 0.96937 | 224.28 |
| F2 | 261.84 | 50.72 | 0.95925 | 260.50 | 49.96 | 0.95563 | 292.86 | 56.05 | 0.95933 | 243.19 | 45.96 | 0.94681 | 264.60 |
| F3 | 354.50 | 70.63 | 0.91623 | 352.38 | 69.31 | 0.91101 | 396.13 | 77.41 | 0.91679 | 328.57 | 63.52 | 0.89889 | 357.90 |
| D1 | 275.17 | 51.79 | 0.98454 | 274.48 | 51.11 | 0.98644 | 307.63 | 57.32 | 0.98384 | 257.66 | 47.13 | 0.98933 | 278.74 |
| D2 | 305.25 | 57.61 | 0.99053 | 304.35 | 56.75 | 0.99154 | 341.13 | 63.60 | 0.98977 | 285.53 | 52.21 | 0.99257 | 309.07 |
| D3 | 343.15 | 64.29 | 0.99329 | 341.97 | 63.21 | 0.99323 | 383.34 | 70.86 | 0.99258 | 320.56 | 57.95 | 0.99201 | 347.26 |
| D4 | 317.72 | 58.80 | 0.99214 | 316.74 | 57.87 | 0.99278 | 355.02 | 64.98 | 0.99139 | 297.06 | 53.09 | 0.99302 | 321.64 |
| A3/2 | 121.10 | 21.00 | 0.98976 | 120.63 | 21.03 | 0.98862 | 136.08 | 24.15 | 0.98924 | 112.57 | 19.63 | 0.98990 | 122.60 |
| A2 | 88.25 | 14.22 | 0.98915 | 87.90 | 14.41 | 0.98795 | 99.49 | 16.85 | 0.98868 | 81.86 | 13.60 | 0.98395 | 89.38 |
| A3 | 55.39 | 7.43 | 0.98776 | 55.17 | 7.80 | 0.98640 | 62.91 | 9.56 | 0.98741 | 51.15 | 7.56 | 0.98175 | 56.16 |
| A4 | 38.97 | 4.04 | 0.98608 | 38.81 | 4.49 | 0.98455 | 44.61 | 5.91 | 0.98593 | 35.80 | 4.54 | 0.97908 | 39.55 |
| R1 | 132.43 | 22.83 | 0.98334 | 132.10 | 22.83 | 0.98539 | 148.68 | 26.15 | 0.98273 | 123.70 | 21.31 | 0.98844 | 134.23 |
| R2 | 157.09 | 27.47 | 0.98228 | 156.59 | 27.33 | 0.98275 | 176.15 | 31.17 | 0.98156 | 146.53 | 25.34 | 0.98251 | 159.09 |
| R3 | 166.42 | 29.08 | 0.99286 | 165.85 | 28.89 | 0.99280 | 186.54 | 32.92 | 0.99216 | 155.15 | 26.72 | 0.99147 | 168.49 |
| P1 | 25.37 | 1.11 | 0.97204 | 25.31 | 1.63 | 0.97542 | 29.47 | 2.77 | 0.97282 | 23.23 | 1.94 | 0.97969 | 25.845 |
| P2 | 37.27 | 3.52 | 0.97683 | 37.18 | 3.99 | 0.97964 | 42.72 | 5.36 | 0.97690 | 34.39 | 4.09 | 0.98347 | 37.89 |
| P3 | 61.06 | 8.35 | 0.98049 | 60.91 | 8.70 | 0.98287 | 69.21 | 10.56 | 0.98013 | 56.72 | 8.40 | 0.98629 | 61.98 |
| P4 | 203.80 | 37.31 | 0.98416 | 203.29 | 36.97 | 0.98610 | 228.16 | 41.73 | 0.98348 | 190.68 | 34.22 | 0.98905 | 206.48 |
Table A6.
The kinetic parameters of the second pyrolysis stage of NOC calculated by KC method at different heating rates.
Table A6.
The kinetic parameters of the second pyrolysis stage of NOC calculated by KC method at different heating rates.
| Model | 5 K·min−1 | 10 K·min−1 | 15 K·min−1 | 25 K·min−1 | Average | ||||||||
|---|---|---|---|---|---|---|---|---|---|---|---|---|---|
| Ea/kJ·mol−1 | ln A/min−1 | R2 | Ea/kJ·mol−1 | ln A/min−1 | R2 | Ea/kJ·mol−1 | ln A/min−1 | R2 | Ea/kJ·mol−1 | ln A/min−1 | R2 | Ea/kJ·mol−1 | |
| F1 | 117.99 | 15.03 | 0.97873 | 119.71 | 15.76 | 0.99468 | 120.88 | 16.12 | 0.99558 | 124.56 | 17.05 | 0.99990 | 120.79 |
| F3/2 | 140.15 | 19.00 | 0.95655 | 142.68 | 19.82 | 0.97984 | 144.10 | 20.17 | 0.98117 | 149.04 | 21.28 | 0.99458 | 143.99 |
| F2 | 165.44 | 23.51 | 0.92913 | 168.94 | 24.44 | 0.95815 | 170.63 | 24.79 | 0.95979 | 177.06 | 26.10 | 0.98065 | 170.52 |
| F3 | 223.88 | 33.92 | 0.87480 | 229.67 | 35.12 | 0.91125 | 232.00 | 35.46 | 0.91326 | 241.96 | 37.27 | 0.94425 | 231.88 |
| D1 | 177.16 | 23.78 | 0.99365 | 178.28 | 24.29 | 0.99130 | 179.91 | 24.61 | 0.99099 | 183.68 | 25.48 | 0.97614 | 179.76 |
| D2 | 196.40 | 26.56 | 0.99392 | 198.12 | 27.13 | 0.99706 | 199.96 | 27.45 | 0.99715 | 204.66 | 28.44 | 0.98807 | 199.79 |
| D3 | 220.51 | 29.38 | 0.98948 | 223.06 | 30.04 | 0.99880 | 225.16 | 30.36 | 0.99929 | 231.13 | 31.53 | 0.99710 | 224.97 |
| D4 | 204.34 | 26.48 | 0.99303 | 206.33 | 27.08 | 0.99836 | 208.25 | 27.40 | 0.99860 | 213.37 | 28.45 | 0.99194 | 208.07 |
| A3/2 | 75.19 | 7.97 | 0.97683 | 76.32 | 8.69 | 0.99422 | 77.10 | 9.06 | 0.99521 | 79.54 | 9.85 | 0.99989 | 77.04 |
| A2 | 53.79 | 4.44 | 0.97465 | 54.63 | 5.15 | 0.99369 | 55.20 | 5.53 | 0.99478 | 57.03 | 6.25 | 0.99988 | 55.16 |
| A3 | 32.39 | 0.91 | 0.96927 | 32.94 | 1.61 | 0.99239 | 33.31 | 2.00 | 0.99372 | 34.51 | 2.64 | 0.99985 | 33.29 |
| A4 | 21.69 | −0.85 | 0.96193 | 22.09 | −0.16 | 0.99061 | 22.36 | 0.23 | 0.99228 | 23.26 | 0.84 | 0.99981 | 22.35 |
| R1 | 83.38 | 8.81 | 0.99283 | 83.92 | 9.41 | 0.99014 | 84.71 | 9.77 | 0.98979 | 86.58 | 10.46 | 0.97313 | 84.65 |
| R2 | 99.12 | 10.96 | 0.99149 | 100.17 | 11.61 | 0.99863 | 101.14 | 11.97 | 0.99897 | 103.80 | 12.76 | 0.99303 | 101.06 |
| R3 | 105.05 | 11.61 | 0.98846 | 106.30 | 12.29 | 0.99868 | 107.34 | 12.65 | 0.99923 | 110.31 | 13.48 | 0.99679 | 107.25 |
| P1 | 13.03 | −2.41 | 0.98175 | 13.14 | −1.75 | 0.97440 | 13.32 | −1.35 | 0.97365 | 13.76 | −0.80 | 0.93443 | 13.31 |
| P2 | 20.85 | −1.16 | 0.98728 | 21.01 | −0.51 | 0.98225 | 21.25 | −0.12 | 0.98168 | 21.85 | 0.45 | 0.95328 | 21.24 |
| P3 | 36.48 | 1.33 | 0.99064 | 36.73 | 1.97 | 0.98703 | 37.12 | 2.35 | 0.98658 | 38.04 | 2.95 | 0.96518 | 37.09 |
| P4 | 130.27 | 16.30 | 0.99339 | 131.10 | 16.85 | 0.99094 | 132.31 | 17.19 | 0.99061 | 135.13 | 17.97 | 0.97520 | 132.20 |
References
- He, Z.G.; Li, Q.; Fang, J. The Solutions and Recommendations for Logistics Problems in the Collection of Medical Waste in China. Procedia Environ. Sci. 2016, 31, 447–456. [Google Scholar] [CrossRef]
- Wilson, A.J.; Nayak, S. Disinfection, sterilization and disposables. Anaesth. Intensive Care 2016, 17, 475–479. [Google Scholar] [CrossRef]
- Deng, N.; Zhang, Y.F.; Wang, Y. Thermogravimetric analysis and kinetic study on pyrolysis of representative medical waste composition. Waste Manag. 2007, 28, 1572–1580. [Google Scholar] [CrossRef] [PubMed]
- Sharuddin, S.D.A.; Abnisa, F.; Daud, W.M.A.W.; Aroud, M.K. A review on pyrolysis of plastic wastes. J. Environ. Manag. 2016, 115, 308–326. [Google Scholar] [CrossRef]
- Bridgwater, A.V. Review of fast pyrolysis of biomass and product upgrading. Biomass Bioenergy 2012, 38, 68–94. [Google Scholar] [CrossRef]
- Abnisa, F.; Daud, W.M.A.W. A review on co-pyrolysis of biomass: An optional technique to obtain a high-grade pyrolysis oil. Energy Convers. Manag. 2014, 87, 71–85. [Google Scholar] [CrossRef]
- Wang, Z.; Xie, T.; Ning, X.Y.; Liu, Y.C.; Wang, J. Thermal degradation kinetics study of polyvinyl chloride (PVC) sheath for new and aged cables. Waste Manag. 2019, 99, 146–153. [Google Scholar] [CrossRef]
- Aboulkas, A.; El harfi, K.; El Bouadili, A. Thermal degradation behaviors of polyethylene and polypropylene. Part I: Pyrolysis kinetics and mechanisms. Energy Convers. Manag. 2010, 51, 1363–1369. [Google Scholar] [CrossRef]
- Xu, F.F.; Wang, B.; Yang, D.; Hao, J.H.; Qiao, Y.Y.; Tian, Y.Y. Thermal degradation of typical plastics under high heating rate conditions by TG-FTIR: Pyrolysis behaviors and kinetic analysis. Energy Convers. Manag. 2018, 171, 1106–1115. [Google Scholar] [CrossRef]
- Han, B.; Wu, Y.L.; Feng, W.; Chen, Z.; Yang, M.D. Kinetic Study of PVC Pyrolysis in Air by Thermogravimetric Analysis Using the Friedman Method. Adv. Mater. Res. 2012, 427, 64–69. [Google Scholar] [CrossRef]
- Nisar, J.; Khan, M.A.; Ali, G.; Iqbal, M.; Shah, A.; Shah, M.R.; Sherazi, S.T.H. Pyrolysis of polypropylene over zeolite mordenite ammonium: Kinetics and products distribution. J. Polym. Eng. 2019, 39, 785–793. [Google Scholar] [CrossRef]
- Tewarson, A.; Macaione, D.P. Polymer and composites-An examination of ire spread and generation of heat and fire products. J. Fire Sci. 1993, 11, 421–441. [Google Scholar] [CrossRef]
- Ushkov, V.A.; Abramov, V.V.; Grigor’eva, L.S.; Kir’yanova, L.V. Thermal stability and fire hazard of epoxy polymer pastes. Stroit. Mater. 2011, 12, 68–71. [Google Scholar]
- Hassel, R.L.; Baker, K.F. Evaluation of potential polymer safety hazards by thermal analysis. Soc. Plast. Eng. Tech. Pap. 1978, 24, 384–386. [Google Scholar]
- Huang, Y.J.; Tu, C.H.; Chao, H.R.; Chen, H.T. Pyrolysis and Oxidation Kinetics of Medical Wastes. Environ. Technol. 2006, 27, 153–158. [Google Scholar] [CrossRef] [PubMed]
- Yan, J.H.; Zhu, H.M.; Jiang, X.G.; Chi, Y.; Cen, K.F. Analysis of volatile species kinetics during typical medical waste materials pyrolysis using a distributed activation energy model. J. Hazard. Mater. 2009, 162, 646–651. [Google Scholar] [CrossRef] [PubMed]
- Deng, N.; Wang, W.W.; Cui, W.Q.; Zhang, Y.F.; Ma, H.T. Thermogravimetric characteristics and different kinetic models for medical waste composition containing polyvinyl chloride-transfusion tube. J. Cent. South Univ. 2014, 21, 1034–1043. [Google Scholar] [CrossRef]
- Qin, L.B.; Han, J.; Zhao, B.; Chen, W.S.; Xing, F.T. The kinetics of typical medical waste pyrolysis based on gaseous evolution behaviour in a micro-fluidised bed reactor. Waste Manag. Res. 2018, 36, 1073–1082. [Google Scholar] [CrossRef]
- Jiang, L.; Zhang, D.; Li, M.; He, J.J.; Gao, Z.H.; Zhou, Y.; Sun, J.H. Pyrolytic behavior of waste extruded polystyrene and rigid polyurethane by multi kinetics methods and Py-GC/MS. Fuel 2018, 222, 11–20. [Google Scholar] [CrossRef]
- Jiang, L.; Xiao, H.H.; He, J.J.; Sun, Q.; Gong, L.; Sun, J.H. Application of genetic algorithm to pyrolysis of typical polymers. Fuel. Process. Technol. 2015, 138, 48–55. [Google Scholar] [CrossRef]
- Akerblom, I.E.; Ojwang, D.O.; Grins, J.; Svensson, G. A thermogravimetric study of thermal dehydration of copper hexacyanoferrate by means of model-free kinetic analysis. J. Therm. Anal. Calorim. 2017, 129, 721–731. [Google Scholar] [CrossRef]
- Grigiante, M.; Brighenti, M.; Antolini, D. Analysis of the impact of TG data sets on activation energy (Ea). J. Therm. Anal. Calorim. 2017, 129, 553–565. [Google Scholar] [CrossRef]
- Ankita, S.; Namrata, C.; Neeraj, M. Calorimetric studies of crystallization for multi-component glasses of Se–Te–Sn–Ag (STSA) system using model-free and model-fitting non-isothermal methods. J. Therm. Anal. Calorim. 2017, 128, 907–914. [Google Scholar]
- Janković, B.; Mentus, S. Model-fitting and model-free analysis of thermal decomposition of palladium acetylacetonate [Pd(acac) 2]. J. Therm. Anal. Calorim. 2008, 94, 395–403. [Google Scholar] [CrossRef]
- Flynn, J.H.; Wall, L.A. A quick, direct method for the determination of activation energy from thermogravimetric data. Polym. Lett. 1966, 4, 323–328. [Google Scholar] [CrossRef]
- Ozawa, T. A new method of analyzing thermogravimetric data. Bull. Chem. Soc. Jpn. 1965, 38, 1881–1886. [Google Scholar] [CrossRef]
- He, K. Reaction kinetics in differential thermal analysis. Anal. Chem. 1957, 29, 1702–1706. [Google Scholar]
- Akahira, T.; Sunose, T. Method of determining activation deterioration constant of electrical insulating materials. Res. Rep. Chiba Inst. Technol. 1971, 16, 22–31. [Google Scholar]
- Friedman, H.L. Kinetics of thermal degradation of char-forming plastics from thermogravimetry. Application to a phenolic plastic. J. Polym. Sci. Part C 1964, 6, 183–195. [Google Scholar] [CrossRef]
- Coats, A.W.; Redfern, J.P. Kinetic parameters from thermogravimetric data. Nature 1964, 201, 68–69. [Google Scholar] [CrossRef]
- Kennedy, J.A.; Clark, S.M. A New Method for the Analysis of Non-Isothermal DSC and Diffraction Data. Thermochim. Acta 1997, 307, 27–35. [Google Scholar] [CrossRef]
- Doyle, C.D. Estimating isothermal life from thermogravimetric data. J. Appl. Polym. Sci. 1962, 6, 639–642. [Google Scholar] [CrossRef]
- Sogancioglu, M.; Yel, E.; Ahmetli, G. Behaviour of waste polypropylene pyrolysis char-based epoxy composite materials. Environ. Sci. Pollut. Res. 2019, 27, 3871–3884. [Google Scholar] [CrossRef] [PubMed]
- Zhou, R.; Huang, B.; Ding, Y.; Li, W.; Mu, J. Thermal Decomposition Mechanism and Kinetics Study of Plastic Waste Chlorinated Polyvinyl Chloride. Polymers 2019, 11, 2080. [Google Scholar] [CrossRef] [PubMed]
- Al-Salem, S.M.; Antelava, A.; Constantinou, A.; Manos, G.; Dutta, A. A review on thermal and catalytic pyrolysis of plastic solid waste (PSW). J. Environ. Manag. 2017, 197, 177–198. [Google Scholar] [CrossRef]
- Kunwar, B.; Cheng, H.N.; Chandrashekaran, S.R.; Sharma, B.K. Plastics to fuel: A review. Renew. Sustain. Energy Rev. 2016, 54, 421–428. [Google Scholar] [CrossRef]
- Yang, K.K.; Wang, X.L.; Wang, Y.Z.; Wu, B.; Jin, Y.D.; Yang, B. Kinetics of thermal degradation and thermal oxidative degradation of poly(p-dioxanone). Eur. Polym. J. 2003, 39, 1567–1574. [Google Scholar] [CrossRef]
- Lesnikovich, A.; Levchik, S. A method of finding invariant values of kinetic parameters. J. Therm. Anal. Calorim. 1983, 27, 89–93. [Google Scholar] [CrossRef]
- Vyazovkin, S. A unified approach to kinetic processing of nonisothermal data. Int. J. Chem. Kinet. 1996, 28, 95–101. [Google Scholar] [CrossRef]
- Koga, N.; Tanaka, H. Accommodation of the actual solid-state process in the kinetic model function. Part 2. Applicability of the empirical kinetic model function to diffusion-controlled reactions. Thermochim. Acta 1996, 282, 69–80. [Google Scholar] [CrossRef]
- Cao, H.Q.; Lin, J.; Duan, Q.L.; Zhang, D.; Chen, H.D.; Sun, J.H. An experimental and theoretical study of optimized selection and model reconstruction for ammonium nitrate pyrolysis. J. Hazard. Mater. 2019, 364, 539–547. [Google Scholar] [CrossRef] [PubMed]
Publisher’s Note: MDPI stays neutral with regard to jurisdictional claims in published maps and institutional affiliations. |
© 2020 by the authors. Licensee MDPI, Basel, Switzerland. This article is an open access article distributed under the terms and conditions of the Creative Commons Attribution (CC BY) license (http://creativecommons.org/licenses/by/4.0/).