Shrinkage Characteristics of Bentonite–Sand Mixtures Considering the Influence of Sand Content and Pore Water Chemistry
Abstract
1. Introduction
2. Materials and Methods
2.1. Materials and Sample Preparation
2.2. Experiment Methods
3. Experimental Results
3.1. The Effect of Rs on the Drying Shrinkage Behavior
3.1.1. Change in Volume
3.1.2. Change in Moisture Content
3.2. The Effect of Pore Water Chemistry on the Drying Shrinkage Behavior
3.2.1. Salt Solution Concentration
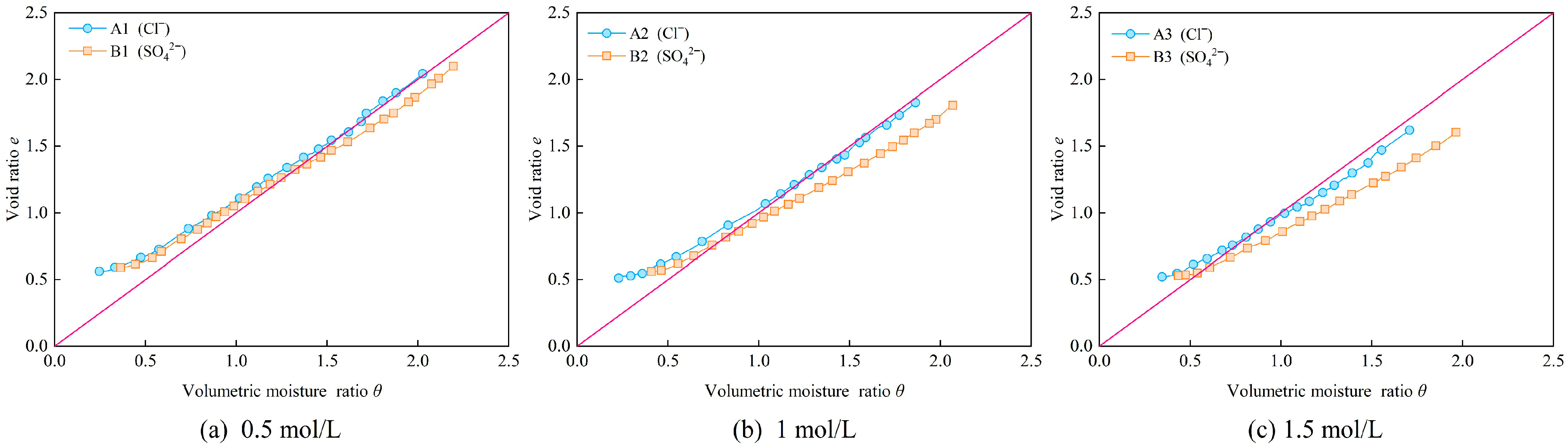
3.2.2. Ion Type
4. Discussion
4.1. The Influence Mechanism of Rs and Pore Water Chemistry
- (1)
- Rs
- (2)
- Pore water chemistry
4.2. Fitting of the Shrinkage Characteristics Curve and Model Reliability Analysis
5. Conclusions
- (1)
- A sand content of 30% is the minimum sand contents that can inhibit the shrinkage behavior of bentonite–sand mixtures, which is in line with previous studies. When the sand content is higher than this level, significant inhibition of shrinkage behavior could be observed. Increasing the quartz sand content in bentonite helps to accelerate the evaporation process of water, which is beneficial for the curing of bentonite blocks in practical engineering barriers. Pure bentonite or bentonite with lower sand content ratio are prone to cracking during shrinkage due to uneven distribution of matrix suction. In contrast, the mix of quartz sand significantly reduces the matrix suction during the shrinkage process of the bentonite–sand mixture, thus preventing the occurrence of such issues.
- (2)
- In this study, the discussion on the influence of cations in pore water on the shrinkage properties of bentonite–sand mixtures was expanded from Na+ to Mg2+ and Ca2+. The shrinkage behavior of the bentonite–sand mixture is suppressed by soluble salts in the pore water. The strength of this suppression is influenced by factors including cation concentration, valence, ionic radius, and the crystallization characteristics of the soluble salts. When the pore water contains crystallizable soluble salts such as Na2SO4, the crystallization process will result in an overestimation of the measured water mass. Therefore, the thin-film technique should be carefully considered when measuring moisture content under the influence of pore water chemistry. An appropriate concentration of NaCl can effectively reduce the saturated swelling and drying shrinkage effects in the bentonite–sand mixture. The addition of NaCl only results in a few extensions of the shrinkage time. However, the other soluble salts involved in this experiment, due to the crystallization effect, caused the sample to be in a looser state and hence delay the shrinkage process, which is not conducive to practical engineering applications.
- (3)
- In this experiment, the measured shrinkage characteristic curves of all samples are fitted with the MCG-B model, and obtain a coefficient of determination of over 97%. This indicates the MCG-B model can empirically describe the shrinkage characteristics of bentonite–sand mixture under the influence of sand additives or the chemical properties of pore water. However, when the sand content is too high, causing the sample to gradually deviate from the clay category, or when the pore water contains crystalline salts, the MCG-B model has certain errors and should be used with caution.
Author Contributions
Funding
Data Availability Statement
Conflicts of Interest
References
- Darda, S.A.; Gabbar, H.A.; Damideh, V.; Aboughaly, M.; Hassen, I. A comprehensive review on radioactive waste cycle from generation to disposal. J. Radioanal. Nucl. Chem. 2021, 329, 15–31. [Google Scholar] [CrossRef]
- Fang, H. Radioactive nuclear waste, Practice Periodical of Hazardous. Toxic Radioact. Waste Manag. 2002, 6, 102–111. [Google Scholar] [CrossRef]
- Chapman, N.; Hooper, A. The disposal of radioactive wastes underground. Proc. Geol. Assoc. 2012, 123, 46–63. [Google Scholar] [CrossRef]
- Bracke, G.; Kudla, W.; Rosenzweig, T. Status of deep borehole disposal of high-level radioactive waste in Germany. Energies 2019, 12, 2580. [Google Scholar] [CrossRef]
- Alexander, W.R.; Reijonen, H.M.; McKinley, I.G. Natural analogues: Studies of geological processes relevant to radioactive waste disposal in deep geological repositories. Swiss J. Geosci. 2015, 108, 75–100. [Google Scholar] [CrossRef]
- Li, N.; Duan, X.; Peng, G. Engineering barriers in deep geological disposal: Implications for radioactive nuclide migration and long-term safety. J. Environ. Radioact. 2025, 285, 107670. [Google Scholar] [CrossRef]
- Krupskaya, V.V.; Zakusin, S.V.; Lekhov, V.A.; Dorzhieva, O.V.; Belousov, P.E.; Tyupina, E.A. Buffer properties of bentonite barrier systems for radioactive waste isolation in geological repository in the Nizhnekanskiy Massif. Radioact. Waste 2020, 1, 35–55. [Google Scholar] [CrossRef]
- Wang, D.; Zhu, C.; Tang, C.; Li, S.; Cheng, Q.; Pan, X.; Shi, B. Effect of sand grain size and boundary condition on the swelling behavior of bentonite–sand mixtures. Acta Geotech. 2021, 16, 2759–2773. [Google Scholar] [CrossRef]
- Xu, L.; Ye, W.; Chen, B.; Chen, Y.; Cui, Y. Experimental investigations on thermo-hydro-mechanical properties of compacted GMZ01 bentonite-sand mixture using as buffer materials. Eng. Geol. 2016, 213, 46–54. [Google Scholar] [CrossRef]
- Savage, D. An Assessment of the Impact of the Long Term Evolution of Engineered Structures on the Safety-Relevant Functions of the Bentonite Buffer in a HLW Repository; Savage Earth Associates Ltd.: Bournemouth, UK, 2014. [Google Scholar]
- Ye, W.; Wan, M.; Chen, B.; Chen, Y.G.; Cui, Y.J.; Wang, J. Temperature effects on the swelling pressure and saturated hydraulic conductivity of the compacted GMZ01 bentonite. Environ. Earth Sci. 2013, 68, 281–288. [Google Scholar] [CrossRef]
- Chen, H.; Lv, H.; Chen, Z.; Li, Y. The Research on Strength and Deformation Behaviors of Buffer/Backfill Material under High-Temperature and High-Pressure Conditions. Adv. Civ. Eng. 2019, 2019, 5064690. [Google Scholar] [CrossRef]
- Müller-Vonmoos, M.; Kahr, G.; Bucher, F.; Madsen, F.T. Investigation of Kinnekulle K-bentonite aimed at assessing the long-term stability of bentonites under repository conditions. Eng. Geol. 1990, 28, 269–280. [Google Scholar] [CrossRef]
- Lloret, A.; Villar, M.V. Advances on the knowledge of the thermo-hydro-mechanical behavior of heavily compacted “FEBEX” bentonite. Phys. Chem. Earth Parts A/B/C 2007, 32, 701–715. [Google Scholar] [CrossRef]
- Xu, Y.F.; Matsuoka, H.; Sun, D.A. Swelling characteristics of fractal-textured bentonite and its mixtures. Appl. Clay Sci. 2003, 22, 197–209. [Google Scholar] [CrossRef]
- Jia, L.; Chen, Y.; Ye, W.; Cui, Y. Effects of a simulated gap on anisotropic swelling pressure of compacted GMZ bentonite. Eng. Geol. 2019, 248, 155–163. [Google Scholar] [CrossRef]
- Lu, N.; Dong, Y. Correlation between soil-shrinkage curve and water-retention characteristics. J. Geotech. Geoenviron. Eng. 2017, 143, 4017054. [Google Scholar] [CrossRef]
- Bronswijk, J. Relation between vertical soil movements and water-content changes in cracking clays. Soil Sci. Soc. Am. J. 1991, 55, 1220–1226. [Google Scholar] [CrossRef]
- Groenevelt, P.H.; Grant, C.D. Analysis of soil shrinkage data. Soil Tillage Res. 2004, 79, 71–77. [Google Scholar] [CrossRef]
- Braudeau, E.; Costantini, J.M.; Bellier, G.; Colleuille, H. New device and method for soil shrinkage curve measurement and characterization. Soil Sci. Soc. Am. J. 1999, 63, 525–535. [Google Scholar] [CrossRef]
- Boivin, P.; Garnier, P.; Tessier, D. Relationship between clay content, clay type, and shrinkage properties of soil samples. Soil Sci. Soc. Am. J. 2004, 68, 1145–1153. [Google Scholar] [CrossRef]
- Chertkov, V.Y. Modelling the shrinkage curve of soil clay pastes. Geoderma 2003, 112, 71–95. [Google Scholar] [CrossRef]
- Mishra, A.K.; Sridharan, A. A critical study on shrinkage behavior of clays. Int. J. Geotech. Eng. 2020, 14, 90–100. [Google Scholar] [CrossRef]
- Zhao, G.; Zou, W.; Han, Z.; Wang, D.; Wang, X. Evolution of soil-water and shrinkage characteristics of an expansive clay during freeze-thaw and drying-wetting cycles. Cold Reg. Sci. Technol. 2021, 186, 103275. [Google Scholar] [CrossRef]
- Bamgbopa, O.S. Investigation of shrinkage and cracking in clay soils under wetting and drying cycles. Int. J. Eng. Res. Technol. 2016, 5, 283–320. [Google Scholar] [CrossRef]
- Paranthaman, R.; Azam, S. Effect of compaction on desiccation and consolidation behavior of clay tills. Innov. Infrastruct. Solut. 2022, 7, 31. [Google Scholar] [CrossRef]
- Zeng, H.; Tang, C.; Cui, Y.; Najdi, A. Compressive stress induced by desiccation shrinkage in clayey soils. Appl. Clay Sci. 2025, 267, 107729. [Google Scholar] [CrossRef]
- Sridharan, A.; Prakash, K. Shrinkage limit of soil mixtures. Geotech. Test. J. 2000, 23, 3–8. [Google Scholar] [CrossRef]
- Das, S.K.; Dana, K.; Singh, N.; Sarkar, R. Shrinkage and strength behavior of quartzitic and kaolinitic clays in wall tile compositions. Appl. Clay Sci. 2005, 29, 137–143. [Google Scholar] [CrossRef]
- Rowe, R.K.; Bostwick, L.E.; Take, W.A. Effect of GCL properties on shrinkage when subjected to wet-dry cycles. J. Geotech. Geoenviron. Eng. 2011, 137, 1019–1027. [Google Scholar] [CrossRef]
- Zhu, C.; Ye, W.; Chen, Y.; Chen, B.; Cui, Y. Impact of cyclically infiltration of CaCl2 solution and de-ionized water on volume change behavior of compacted GMZ01 bentonite. Eng. Geol. 2015, 184, 104–110. [Google Scholar] [CrossRef]
- Zhang, H.; Tan, Y.; Zhu, F.; He, D.; Zhu, J. Shrinkage property of bentonite-sand mixtures as influenced by sand content and water salinity. Constr. Build. Mater. 2019, 224, 78–88. [Google Scholar] [CrossRef]
- McGarry, D.; Malafant, K. The analysis of volume change in unconfined units of soil. Soil Sci. Soc. Am. J. 1987, 51, 290–297. [Google Scholar] [CrossRef]
- Sposito, G.; Giráldez, J.V. Thermodynamic stability and the law of corresponding states in swelling soils. Soil Sci. Soc. Am. J. 1976, 40, 352–358. [Google Scholar] [CrossRef]
- Giráldez, J.V.; Sposito, G. A general soil volume change equation: II. Effect of load pressure. Soil Sci. Soc. Am. J. 1983, 47, 422–425. [Google Scholar] [CrossRef]
- Olsen, P.A.; Haugen, L.E. A new model of the shrinkage characteristic applied to some Norwegian soils. Geoderma 1998, 83, 67–81. [Google Scholar] [CrossRef]
- Groenevelt, P.H.; Grant, C.D. Curvature of shrinkage lines in relation to the consistency and structure of a Norwegian clay soil. Geoderma 2002, 106, 235–245. [Google Scholar] [CrossRef]
- Gupt, C.B.; Prakash, A.; Hazra, B.; Sreedeep, S. Predictive Model for Soil Shrinkage Characteristic Curve of High Plastic Soils. Geotech. Test. J. 2022, 45, 101–124. [Google Scholar] [CrossRef]
- Cornelis, W.M.; Corluy, J.; Medina, H.; Diaz, J.; Hartmann, R.; Van Meirvenne, M.; Ruiz, M.E. Measuring and modelling the soil shrinkage characteristic curve. Geoderma 2006, 137, 179–191. [Google Scholar] [CrossRef]
- ATA-UR-REHMAN, T.; Durnford, D.S. Soil volumetric shrinkage measurements: A simple method. Soil Sci. 1993, 155, 325–330. [Google Scholar] [CrossRef]
- Favero, V.; Ferrari, A.; Laloui, L. On the hydro-mechanical behavior of remoulded and natural Opalinus Clay shale. Eng. Geol. 2016, 208, 128–135. [Google Scholar] [CrossRef]
- Oualmakran, M.; Mercatoris, B.; François, B. Pore-size distribution of a compacted silty soil after compaction, saturation, and loading. Can. Geotech. J. 2016, 53, 1902–1909. [Google Scholar] [CrossRef]
- Wang, D.; Zhu, C.; Tang, C.; Cheng, Q.; Li, S.; Shi, B. Experimental study on shrinkage characteristics of compacted bentonite–sand mixtures. Bull. Eng. Geol. Environ. 2024, 83, 43. [Google Scholar] [CrossRef]
- Chen, Z.; Tang, C.; Zhu, C.; Shi, B.; Liu, Y. Compression, swelling and rebound behavior of GMZ bentonite/additive mixture under coupled hydro-mechanical condition. Eng. Geol. 2017, 221, 50–60. [Google Scholar] [CrossRef]
- Rahardjo, H.; Satyanaga, A.; D’Amore, G.A.; Leong, E. Soil–water characteristic curves of gap-graded soils. Eng. Geol. 2012, 125, 102–107. [Google Scholar] [CrossRef]
- Tan, Y.; Zhang, H.; He, D.; Zhang, G. Deterioration of exposed buffer block: Desiccation shrinkage and cracking. Bull. Eng. Geol. Environ. 2019, 78, 5431–5444. [Google Scholar] [CrossRef]
- Saba, S.; Delage, P.; Lenoir, N.; Cui, Y.J.; Tang, A.M.; Barnichon, J. Further insight into the microstructure of compacted bentonite–sand mixture. Eng. Geol. 2014, 168, 141–148. [Google Scholar] [CrossRef]
- Farooq, K.; Rehman, Z.; Shahzadi, M.; Mujtaba, H.; Khalid, U. Optimization of Sand-Bentonite Mixture for the Stable Engineered Barriers using Desirability Optimization Methodology: A Macro-Micro-Evaluation. KSCE J. Civ. Eng. 2023, 27, 40–52. [Google Scholar] [CrossRef]
- Sun, W.; Zong, F.; Sun, D.; Wei, Z.; Schanz, T.; Fatahi, B. Swelling prediction of bentonite-sand mixtures in the full range of sand content. Eng. Geol. 2017, 222, 146–155. [Google Scholar] [CrossRef]
- Chowdhury, N.; Ghasemi-Fare, O. Microstructural analysis of the pore size and volume distribution of bentonite at two different hydraulic states utilizing different drying techniques. Constr. Build. Mater. 2024, 438, 137223. [Google Scholar] [CrossRef]
- Alnmr, A.; Alzawi, M.O.; Ray, R.; Abdullah, S.; Ibraheem, J. Experimental Investigation of the Soil-Water Charac-teristic Curves (SWCC) of Expansive Soil: Effects of Sand Content, Initial Saturation, and Initial Dry Unit Weight. Water 2024, 16, 627. [Google Scholar] [CrossRef]
- Chowdepalli, B.; Watanabe, K. Empirical Equations Expressing the Effects of Measured Suction on the Compaction Curve for Sandy Soils Varying Fines Content. Geotechnics 2023, 3, 760–780. [Google Scholar] [CrossRef]
- Zou, W.; Ye, J.; Han, Z.; Vanapalli, S.K.; Tu, H. Effect of montmorillonite content and sodium chloride solution on the residual swelling pressure of an expansive clay. Environ. Earth Sci. 2018, 77, 677. [Google Scholar] [CrossRef]
- Castellanos, E.; Villar, M.V.; Romero, E.; Lloret, A.; Gens, A. Chemical impact on the hydro-mechanical behavior of high-density FEBEX bentonite. Phys. Chem. Earth Parts A/B/C 2008, 33, S516–S526. [Google Scholar] [CrossRef]
- Moore, R. The chemical and mineralogical controls upon the residual strength of pure and natural clays. Geotechnique 1991, 41, 35–47. [Google Scholar] [CrossRef]
- Nagaraj, T.S.; Murthy, B.S. Rationalization of Skempton’s compressibility equation. Geotechnique 1983, 33, 433–443. [Google Scholar] [CrossRef]
- Rao, S.N.; Mathew, P.K. Effects of exchangeable cations on hydraulic conductivity of a marine clay. Clays Clay Miner. 1995, 43, 433–437. [Google Scholar] [CrossRef]
- Ravi, K.; Rao, S.M. Influence of infiltration of sodium chloride solutions on SWCC of compacted bentonite–sand specimens. Geotech. Geol. Eng. 2013, 31, 1291–1303. [Google Scholar] [CrossRef]
- Tang, G.X.; Graham, J.; Blatz, J.; Gray, M.; Rajapakse, R. Suctions, stresses and strengths in unsaturated sand–bentonite. Eng. Geol. 2002, 64, 147–156. [Google Scholar] [CrossRef]














| Property | Value |
|---|---|
| Specific gravity | 2.7 |
| Particle size (mm) | <0.075 |
| Plastic limit (%) | 29 |
| Liquid limit (%) | 150 |
| Montmorillonite content (%) | 74 |
| Natural moisture content (%) | 9.50 |
| Cation exchange capacity (cmol/kg) | 77.3 |
| Specific surface area (m2/g) | 490~617 |
| Montmorillonite content (%) | 75.4 |
| Sample Number | Sand Content Ratios Rₛ (%) | Water Chemistry | Salt Solution Concentrations (mol/L) |
|---|---|---|---|
| R0 | 0 | Deionized water | 0 |
| R1 | 10 | ||
| R2 | 20 | ||
| R3 | 30 | ||
| R4 | 40 | ||
| R5 | 50 | ||
| A1 | 30 | NaCl | 0.5 |
| A2 | 1 | ||
| A3 | 1.5 | ||
| B1 | 30 | Na2SO4 | 0.5 |
| B2 | 1 | ||
| B3 | 1.5 | ||
| C2 | 30 | CaCl2 | 1 |
| D2 | 30 | MgCl2 | 1 |
| Sample Number | R3 | A1 | A2 | A3 | B1 | B2 | B3 |
|---|---|---|---|---|---|---|---|
| Final shrinkage ratio | 0.81 | 0.73 | 0.72 | 0.68 | 0.72 | 0.69 | 0.67 |
| Sample Number | R3 | A2 | C2 | D2 |
|---|---|---|---|---|
| Final shrinkage ratio | 0.81 | 0.72 | 0.74 | 0.67 |
| Sample Number | R0 | R1 | R2 | R3 | R4 | R5 |
|---|---|---|---|---|---|---|
| Final shrinkage ratio | 0.80 | 0.81 | 0.86 | 0.81 | 0.74 | 0.73 |
| Sample Number | e0 | ev | β | θi | R2 |
|---|---|---|---|---|---|
| R0 | 0.442 | 2.720 | 1.796 | 1.756 | 0.987 |
| R1 | 0.446 | 2.715 | 1.769 | 1.762 | 0.989 |
| R2 | 0.424 | 3.534 | 1.444 | 2.134 | 0.994 |
| R3 | 0.402 | 2.732 | 1.720 | 1.688 | 0.992 |
| R4 | 0.333 | 2.588 | 1.653 | 1.551 | 0.986 |
| R5 | 0.291 | 2.237 | 1.822 | 1.276 | 0.979 |
| Sample Number | e0 | ev | β | θi | R2 |
|---|---|---|---|---|---|
| A1 | 0.469 | 1.481 | 2.829 | 1.140 | 0.985 |
| B1 | 0.515 | 1.510 | 2.637 | 1.276 | 0.985 |
| A2 | 0.432 | 1.314 | 3.199 | 1.061 | 0.989 |
| B2 | 0.454 | 1.246 | 2.920 | 1.169 | 0.985 |
| A3 | 0.542 | 1.100 | 3.643 | 1.144 | 0.979 |
| B3 | 0.506 | 1.075 | 3.354 | 1.265 | 0.989 |
| C2 | 0.329 | 1.232 | 3.419 | 1.006 | 0.988 |
| D2 | 0.479 | 1.025 | 3.862 | 0.994 | 0.990 |
Disclaimer/Publisher’s Note: The statements, opinions and data contained in all publications are solely those of the individual author(s) and contributor(s) and not of MDPI and/or the editor(s). MDPI and/or the editor(s) disclaim responsibility for any injury to people or property resulting from any ideas, methods, instructions or products referred to in the content. |
© 2025 by the authors. Licensee MDPI, Basel, Switzerland. This article is an open access article distributed under the terms and conditions of the Creative Commons Attribution (CC BY) license.
Share and Cite
Pan, D.; Zhao, C.; Hu, B.; Ren, P.; Liu, P. Shrinkage Characteristics of Bentonite–Sand Mixtures Considering the Influence of Sand Content and Pore Water Chemistry. Processes 2026, 14, 137. https://doi.org/10.3390/pr14010137
Pan D, Zhao C, Hu B, Ren P, Liu P. Shrinkage Characteristics of Bentonite–Sand Mixtures Considering the Influence of Sand Content and Pore Water Chemistry. Processes. 2026; 14(1):137. https://doi.org/10.3390/pr14010137
Chicago/Turabian StylePan, Dongyue, Chongxi Zhao, Bowen Hu, Pengyu Ren, and Ping Liu. 2026. "Shrinkage Characteristics of Bentonite–Sand Mixtures Considering the Influence of Sand Content and Pore Water Chemistry" Processes 14, no. 1: 137. https://doi.org/10.3390/pr14010137
APA StylePan, D., Zhao, C., Hu, B., Ren, P., & Liu, P. (2026). Shrinkage Characteristics of Bentonite–Sand Mixtures Considering the Influence of Sand Content and Pore Water Chemistry. Processes, 14(1), 137. https://doi.org/10.3390/pr14010137

