Abstract
The -Fe4N system has a high technological relevance due to its multiple applications in the field of surface treatment against wear and corrosion of iron in steel parts, as well as in the manufacturing of high-density magnetic recording devices, and so on. In the present work, we present a wide research of the structural, elastic, magnetic, vibrational, and thermophysical properties by means of the phonon analysis. For these purposes, we have compared theoretical and experimental results. The theoretical data were obtained by employing ab initio electronic structure calculations in the framework of density functional theory (DFT), and different experimental measurements, such as X-ray diffraction, magnetization measurements, and calorimetric techniques, were used to characterize the -Fe4N system. The resulting comparison showed an excellent agreement between the theoretical and experimental data reported.
1. Introduction
During the past decades, iron nitride compounds have been widely investigated due to their different physical and chemical properties [1,2,3]. In particular, the -Fe4N compound exhibits excellent magnetic properties, making it suitable for applications in high-density magnetic storage devices [4,5,6,7], perpendicular magnetic recording devices [8,9,10], sensor, actuators, vibration energy harvesting devices [11,12], spintronic-based materials devices [13,14,15], electrocatalysis [16,17,18], ammonia catalysis [19,20], steel treated by plasma nitriding [21,22], wear and corrosion resistance in surface steels [23,24,25,26], and even as potential constituents of the Earth’s core and other terrestrial planets [27,28,29]. In this work, we have studied the structural and elastic properties, thermophysical parameters, and magnetic properties of the -Fe4N material from the theoretical and experimental perspectives, where a good agreement between both points of view has been achieved.
2. Materials and Methods
2.1. Electronic Structure Calculations
The ab initio calculations were conducted within the framework of density functional theory (DFT). The Kohn–Sham self-consistent equations were solved using the pseudopotential plus the plane wave method, as implemented in the QuantumEspresso code [30,31]. Projector augmented waves (PAWs) pseudopotentials from the SSSP pseudopotential library [32] were employed. The kinetic energy cutoff and charge density cutoff were set at 80 Ry and 800 Ry, respectively. The exchange–correlation interaction was treated using the Perdew–Burke–Ernzerhof parametrization of the generalized gradient approximation (GGA-PBE) [33]. In order to investigate the magnetic properties, spin polarization calculations were performed. A dense k-points mesh of was used in the irreducible Brillouin zone (IBZ).
Phonon properties were calculated via linear response theory in the framework of the density functional perturbed theory, using a q-points mesh for a single -Fe4N crystal cell. We have assumed the antiperovskite cubic crystal structure, with space group (221) (see Figure 1), where two types of Fe atoms can be distinguished, FeI and FeII, located in the corner of the cube and in the center of the face, characterized by 1a and 3c Wyckoff sites, respectively, whilst there is a N atom at the center of the cube, the 1b Wyckoff site.
Figure 1.
Crystal structure of the -Fe4N with space group (221). Color legend: atoms FeI, FeII, and N are represented by purple, gold, and green spheres, respectively.
2.2. Experimental Details
Sample preparation and structural characterization: Synthesis of -Fe4N and X-ray diffraction samples was obtained from FemN powder (Alfa Aesar (Thermo Fisher Scientific, Waltham, MA, USA) with m = 2, 3 and 4) mechanically alloyed in a steel milling (10 cm3) at room temperature (RT) and under Ar atmosphere. The milling process was performed on a Retsch MM2 horizontal mill (LabMakelaar Benelux B.V., Zevenhuizen, The Netherlands) operating at 33 Hz, with one stainless steel ball. The ball-to-powder mass ratio was 10:1, and the milling time was 15 h. To improve the amount of -Fe4N, after the milling process, the resulting powder was annealed at 693 K for 2 h under a dynamic vacuum, with a rate of 20 K/min, and then cooled in the furnace.
Structural parameters were obtained using an X-ray diffraction (XRD) technique using an X-Pert pro PANalytical diffractometer (Malvern Panalytical Ltd., Malvern, UK) equipped with radiation ( = 1.5406) at RT. Data were collected in the range in steps of 0.02°, with a counting time of 0.5 s per step. The present phases were identified through comparison with powder diffraction files. To determine the structural properties of the XRD patterns, such as lattice parameters and internal parameters, Rietveld refinement was carried out.
Calorimetric measurements: The differential scanning calorimetry (DSC) curves were recorded from room temperature to 550 K, under a nitrogen flow of 40 mL min−1 on a DSC-50/Shimadzu instrument (Shimadzu Corporation, Kyoto, Japan). The sample was placed in a sealed aluminum pan and heated at a rate of 10 °C min−1. An empty sealed aluminum pan was used as a reference. The DSC cell was previously calibrated with indium and zinc. Also, for DSC, data were analyzed using TA60WS software (version 2.0, Shimadzu Corporation, Kyoto, Japan) after subtraction of the blank curve (empty sealed aluminum pans) for baseline correction. For low-temperature measurement, the DSC curve was recorded in the temperature range of −109 °C to 200 °C under helium flow of 40 mL min−1 at a rate of 10 °C min−1.
Magnetic measurements: Magnetic characterization was performed using a magnetic property measurement system (MPMS3-SQUID, Quantum Design, San Diego, CA, USA) using the vibration sample magnetization technique (VSM 7404 Lake Shore Cryotronics, Westerville, OH, USA). Magnetization as a function of the applied magnetic field was performed from −70 up to 70 kOe at room temperature. In order to deepen the understanding of the magnetic properties, we fitted the M versus H curves obtained at 5 K using the Brillouin function. Additionally, zero-field cooling (ZFC) and field cooling (FC) measurements were performed to analyze the temperature-dependence of the magnetic behavior. We have used the following unit conversion , where is the mass per formula unit of -Fe4N, .
3. Results
3.1. Structural and Elastic Properties
To determine the equilibrium cell volume , a set of total energy calculations for different cell volumes were performed and fitted using the Birch–Murnaghan state equation [34,35]; see Equation (1):
where is the equilibrium lattice parameter, the respective total energy, the bulk modulus, and the derivative of with respect to pressure.
In Figure 2, we show a set of calculations of the total energy for different volume values. These data were fitted to Equation 1 in order to obtain the equilibrium volume and the respective lattice parameter of the -Fe4N of .
Figure 2.
Variation of the total energy with the volume for -Fe4N with space group (221).
From the experimental part, in Figure 3, we present the X-ray pattern for samples as supplied and after a thermal treatment of 420 °C; in both cases, the lattice parameter obtained is 3.7909 Å, and there is an excellent agreement between our theoretical and experimental values and other experimental data results reported in different samples: 3.7970 Å in crystals [36], 3.7900 Å in crystals [37], 3.7910 Å in nanocomposites [38], 3.7950 Å in crystals [39], 3.7800 Å in nanocrystals [40], 3.7990 Å in nanoparticles [41], 3.7900 Å in powders [42,43], and 3.7950 Å in thin films [44,45].
Figure 3.
X-ray diffraction for the -Fe4N compound: (a) as supplied; (b) after a thermal treatment.
To calculate the elastic constants for -Fe4N, we have used a numerical calculation of the stress tensor for small strains from . For cubic crystals, only three independent elastic constants are defined: , , and . So, a set of three equations are needed to determinate all elastic constants. The first equation involves the bulk modulus obtained from (2):
The others equations involve the volume-conservative tetragonal and rhombohedral strain tensor:
The application of these strains has an effect on the total energy from its unstrained value as follows:
In Figure 4, we show the variation of the total energy with for (5) and (6), and we have obtained the values of the elastic constants , , and . Using the Voigt-Reuss-Hill (VRH) formalism [46], the shear modulus is expressed as:
where and are the shear modulus in the Voigt and Reuss approximation, respectively. From B and G, it is possible to determine other important elastic parameters, such as the Young’s modulus , Poisson’s radio , Pugh’s parameter , Lame’s parameter , and microhardness parameter :
Figure 4.
Variation of the total energy with the strain for the cubic cell of -Fe4N.
In Table 1, we report our theoretical values of the elastic properties for the -Fe4N compound, compared with other theoretical and experimental values reported in the literature.
Table 1.
Elastic properties calculated for -Fe4N. Compared with other DFT-based theoretical values and experimental data reported in the literature.
An effective isotropic value of v can be explained as a measurement of the material to resist shear and could be associated with the volume change during uniaxial deformation. A value of 0.318 is an average value between 0.25, the lower limit for central-force solids, and 0.5, the upper limit, which corresponds to infinite elastic anisotropy. The high v value for -Fe4N indicates that the interatomic forces in the compound are central. The Pugh’s parameter is related to the brittleness of the material, with lower values suggesting that material is more brittle, suggesting that when , the material has ductile features; when , the material shows brittle character.
Young’s modulus is one of the most important elastic parameters; in Figure 5, we represent the spacial variation of the Young’s modulus, showing that this material is isotropic in the directions [100], [010], and [001], where the Young’s modulus is at the maximum, and the minumum value is in the [111] direction.
Figure 5.
Spacial variation of the elastic Young’s modulus E (GPa) of -Fe4N.
3.2. Thermophysical and Magnetic Properties
The thermophysical properties of materials are intrinsically linked to their atomic vibrational characteristics. It is well established that heat capacity increases with temperature as a consequence of enhanced phonon thermal vibrations. At high temperatures, anharmonic effects tend to be negligible, and the constant-volume heat capacity asymptotically approaches the classical Dulong–Petit limit, given by for monoatomic solids, where N is the number of atoms per cell and is Boltzmann’s constant. Conversely, at low temperatures, follows a cubic dependence with temperature, . In the intermediate temperature regime, the specific temperature dependence of is governed by detailed lattice vibrations, which are typically characterized by experimental techniques. We have performed two different theoretical frameworks to determine the thermophysical properties, especially the heat capacity , which was compared with experimental measurements.
In this work, we have applied two different theoretical approaches to investigate thermophysical properties, with particular emphasis on the heat capacity , and compared the theoretical predictions with available experimental data. One of the methodologies employed is the Debye quasi-harmonic approximation (QHA), which provides a framework to estimate the Debye temperature . This parameter is a fundamental parameter, as it correlates with a variety of physical properties, including elastic moduli, melting temperature, heat capacity, and other thermophysical properties. At low temperature, the vibrational excitations arise solely from acoustic phonon modes. Consequently, derived from elastic constants is equivalent to that obtained from calorimetric experiments.
A widely used approach for estimating involves the use of elastic constant data, wherein the Debye temperature can be calculated from the average sound velocity using the following relation:
where ℏ is the reduced Planck’s constant, n the number of atoms per formula unit, the Avogadro’s number, M the molecular weight, and the density of the material. Here, we assume that three acoustic branches contribute to the low-temperature . The average wave velocity is:
where and are the shear and compressional wave velocity, respectively, which are obtained from Navier’s equation:
To study the thermophysical properties of -Fe4N in the context of the QHA-Debye model implemented in the Gibbs2 code [67,68], the non-equilibrium Gibbs function can be written as:
where is the total energy dependence on the volume of the unit cell of -Fe4N, represents the constant hydrostatic pressure condition, and represents the vibrational Helmholtz free energy, expressed as [69,70,71]:
where is the Debye integral, defined as:
For isotropic solids, can be expressed as:
where M is the molecular mass per formula unit; B the adiabatic bulk modulus, which can be approximated by the static compressibility; and is a function of the Poisson’s ratio [69,70].
Then, minimize the Gibbs function with respect to the volume V:
It is possible to express the isothermal bulk modulus as:
and other thermophysical properties such as the heat capacity at constant volume , thermal expansion , and Grüneisen’s parameter as:
Phonon calculations based on density functional perturbation theory (DFPT) enable the computation of thermodynamic potentials such as enthalpy , free energy , and temperature–entropy term , where S is derived from internal energy and free energy. Furthermore, these calculations allow one to evaluate the lattice heat capacity as a function of temperature. Density functional theory (DFT)-based codes provide the total electronic energy in the ground state , and the vibrational contributions derived from these energies are used to determine thermodynamic properties at finite temperatures, including H, F, , and .
The temperature function of the thermophysical potentials can be found in [70,71]. Defining the variable , the enthalpy H is:
where is the zero-point vibrational energy, and is the phonon density of states.
The vibrational contribution to the free energy is:
and the heat capacity at constant volume as a function of T and at zero pressure is:
In Figure 6, we show the theoretical curve of obtained from Debye quasi-harmonic approximation (Equation (23)) and from phonon calculations using DFPT (Equation (26)), compared with experimental measurements. At low temperatures, low-frequency acoustic modes predominate. This is the region of the harmonic approximation, where DFPT can accurately calculate the phonon spectra. Meanwhile, the QHA-Debye model assumes isotropy in the material, resulting in behavior of rather than that obtained from the phonon spectra, and it depends on the Debye temperature [72,73,74]. However, both methods can be used to describe at temperatures greater than 300 K. Experimental measurements were performed in the range of 300–550 K, where both theoretical values agree very well with the experimental data, and in the limit of high temperatures, both theoretical models are equivalent, converged in a classical limit of the Dulong–Petit value.
Figure 6.
Variation of with T using the theoretical models DFPT and QHA-Debye and experimental data.
Concerning the magnetic properties, in order to establish the theoretical DFT-based magnetic ground state, we have performed different magnetic configurations between Fe atoms, FeI and FeII, the ferromagnetic case (FM), and two antiferromagnetic configurations AF01 and AF02, respectively; see Figure 7. In Table 2, we report the total energy variation (, respect to FM case), total magnetic moment , and magnetic moment per atom, and , for FM, AF01, and AF02 magnetic cases.
Figure 7.
Different magnetic configuration of the -Fe4N compound considered: (a) FM, (b) AF01, and (c) AF02.
Table 2.
Difference in energy , with respect to FM configuration, total magnetic moment , and magnetic moment per atom , for the magnetic configurations considered for -Fe4N, represented in Figure 7.
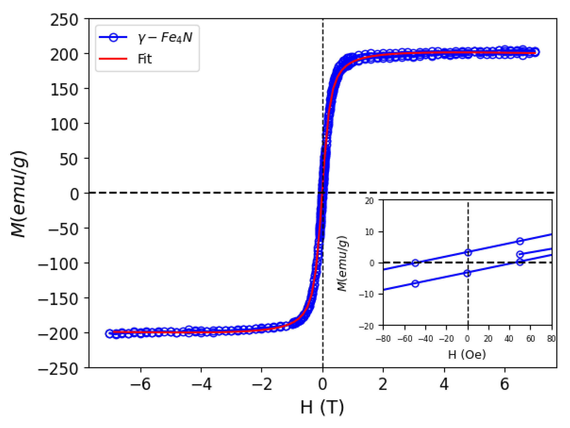
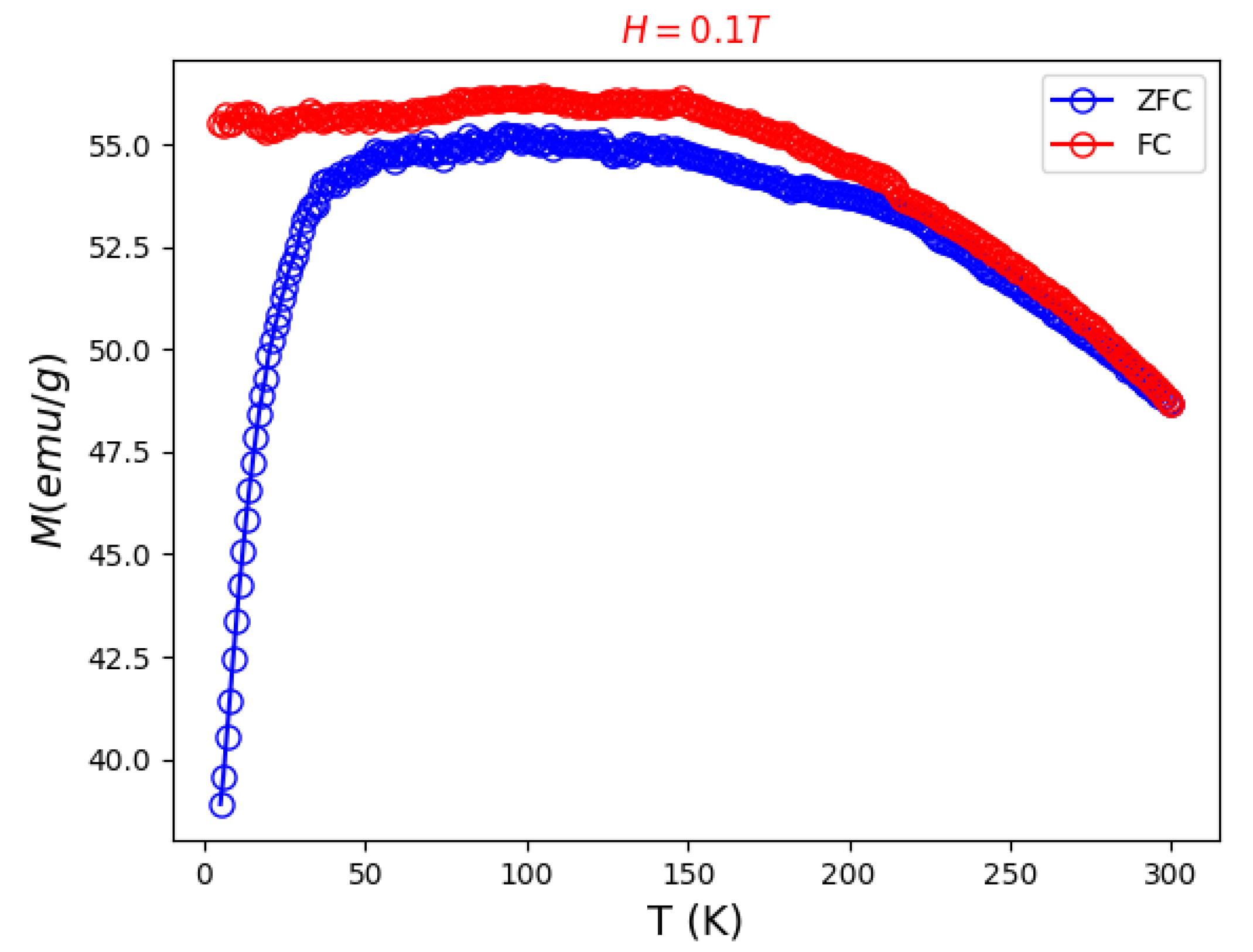
From the DFT results, in Table 2, the minimal total energy configuration belongs to the FM case, where the magnetic coupling between the FeI and FeII atoms is parallel, with a net total magnetization of . From experimental measurements, the total magnetization is 207.45 emu/g (see Figure 8), equivalent to , with coercivity (see inset Figure 8); a similar value has been reported in nanoparticles sample [75]. In order to analyze temperature-dependent magnetic properties, ZFC and FC measurements were performed up to 300 K and using an external magnetic field of 0.1 T, see Figure 9. Low-temperature ZFC diverges and FC remains constant, which could be related to collective spin behavior, similar to spin-glass or superparamagnetism. The ZFC magnetization increases with the temperature up to 50 K, then remains almost constant parallel to the FC curve. Above 150 K, both curves collapse and decrease as the temperature increases; these behaviors could be attributed to the volume distribution of nanoparticles. Up to 300 K, there are no magnetic transitions; the Curie temperature reported is around 760 K [36,76,77]. From DFT-based calculations, the value of the total magnetization are in total agreement with our experimental measurements and with other values published for different samples and at different measurement temperatures: at 4.2 K for a powder sample [78], at 5 K for a m film sample [79], at 0 K for powder [80], at RT for nm film [81], at RT for nanocrystalline [82], at 55 K for nanocomposites [38], and at 5 K for powder [43]. The magnetic moment per atom is and , and these values are also in great agreement with neutron diffraction measurement data from [36,83,84].
Figure 8.
Magnetization curve for -Fe4N at 5 K. Inset: Zoom of the M–H curve showing the coercivity .
Figure 9.
ZFC and FC curves up to 300 K and external magnetic field 0.1 T for -Fe4N.
4. Conclusions
The structural, elastic, thermophysical, and magnetic properties of -Fe4N have been studied using DFT-based calculation and experimental techniques, with excellent agreement, where the radio between experimental and theoretical values for the lattice parameter is and for the total magnetization is , respectively. The heat capacity was described using two different theoretical approaches, both yielding the same accuracy. One of the advantages of Debye’s QHA model is the non-expensive computational requirement compared with DFPT phonon calculation. With regard to the structural and magnetic ground state of -Fe4N, our theoretical and experimental results are consistent.
Author Contributions
Conceptualization, A.V.G.R.; methodology, G.A.M.M. and A.M.M.N.; formal analysis, A.V.G.R., G.A.M.M., A.M.M.N. and C.E.D.T.; resources, C.E.D.T.; writing—original draft preparation, A.V.G.R.; writing—review and editing, G.A.M.M., A.M.M.N. and C.E.D.T.; funding acquisition, C.E.D.T. All authors have read and agreed to the published version of the manuscript.
Funding
This research was funded by CONICET and UNLP, Computational Facility of the TUPAC Supercomputer, Argentina.
Data Availability Statement
The original contributions presented in this study are included in the article. Further inquiries can be directed to the corresponding author.
Acknowledgments
Instituto de Física La Plata IFLP-CONICET and Universidad Nacional de La Plata UNLP, Argentina.
Conflicts of Interest
The authors declare no conflicts of interest.
References
- Bhattacharyya, S. Iron Nitride Family at Reduced Dimensions: A Review of Their Synthesis Protocols and Structural and Magnetic Properties. J. Phys. Chem. C 2015, 119, 1601–1622. [Google Scholar] [CrossRef]
- Brumovský, M.; Oborná, J.; Micić, V.; Malina, O.; Kašlík, J.; Tunega, D.; Kolos, M.; Hofmann, T.; Karlický, F.; Filip, J. Iron Nitride Nanoparticles for Enhanced Reductive Dechlorination of Trichloroethylene. Environ. Sci. Technol. 2022, 56, 4425–4436. [Google Scholar] [CrossRef] [PubMed]
- Wojciechowski, P.; Lewandowski, M. Iron Nitride Thin Films: Growth, Structure, and Properties. Cryst. Growth Des. 2022, 22, 4618–4639. [Google Scholar] [CrossRef]
- Andriamandroso, D.; Demazeau, G.; Pouchard, M.; Hagenmuller, P. New ferromagnetic materials for magnetic recording: The iron carbonitrides. J. Solid State Chem. 1984, 54, 54–60. [Google Scholar] [CrossRef]
- Siberchicot, B.; Matar, S.F.; Fournes, L.; Demazeau, G.; Hagenmuller, P. Influence of the substitution of manganese for iron in the Fe4N lattice on particle formation and magnetic properties. J. Solid State Chem. 1990, 84, 10–15. [Google Scholar] [CrossRef]
- Yamaguchi, K.; Yui, T.; Yamaki, K.; Kakeya, I.; Kadowaki, K.; Suemasu, T. Epitaxial growth of ferromagnetic Fe3N films on Si(111) substrates by molecular beam epitaxy. J. Cryst. Growth 2007, 301–302, 597–601. [Google Scholar] [CrossRef]
- Arabczyk, W.; Pelka, R.; Kocemba, I.; Brzoza-Kos, A.; Wyszkowski, A.; Lendzion-Bieluń, Z. Study of Phase Transformation Processes Occurring in the Nanocrystalline Iron/Ammonia/Hydrogen System by the Magnetic Permeability Measurement Method. J. Phys. Chem. C 2022, 126, 7704–7710. [Google Scholar] [CrossRef]
- Wood, J.C.; Nozik, A.J. Direction of the Magnetic Easy Axis in γ′-Fe4N. Phys. Rev. B 1971, 4, 2224. [Google Scholar] [CrossRef]
- Costa-Krämer, J.L.; Borsa, D.M.; García-Martín, J.M.; Martín-González, M.S.; Boerma, D.O.; Briones, F. Structure and magnetism of single-phase epitaxial γ′-Fe4N. Phys. Rev. B 2004, 69, 144402. [Google Scholar] [CrossRef]
- Bartels, O.; Becker, K.D. A High-Temperature Mössbauer Study of the Iron Nitrides. Z. Phys. Chem. 2009, 221, 11–12. [Google Scholar] [CrossRef]
- Maeda, Y.; Imamura, K.; Ohtake, M.; Isogami, S.; Kawai, T.; Futamoto, M.; Kirino, F.; Inaba, N. Large magnetostriction in γ′-Fe4N single-crystal thin film. J. Magn. Magn. Mater. 2023, 585, 170942. [Google Scholar] [CrossRef]
- Li, W.; Li, W.; Chen, J.; Ying, Y.; Yu, J.; Zheng, J.; Qiao, L.; Li, J.; Che, S. Migration of N element and evolution of microstructure in spark plasma sintered bulk γ′-Fe4N. J. Alloys Compd. 2022, 928, 167201. [Google Scholar] [CrossRef]
- Shi, X.; Du, L.; Xiao, K.; Ping, Q.; Sun, X.; Mi, W. Demonstrating Current-Driven Anomalous Hall Resistivity in Epitaxial Pt(3 nm)/Fe4N(≤6 nm)/MgO Heterostructures toward Spintronic Devices. ACS Appl. Nano Mater. 2024, 7, 13952–13958. [Google Scholar] [CrossRef]
- Shi, X.; Wu, M.; Lai, Z.; Li, X.; Gao, P.; Mi, W. Bending Strain-Tailored Magnetic and Electronic Transport Properties of Reactively Sputtered γ′-Fe4N/Muscovite Epitaxial Heterostructures toward Flexible Spintronics. ACS Appl. Mater. Interfaces 2020, 12, 27394–27404. [Google Scholar] [CrossRef]
- Chen, X.; Shi, X.; Zhang, Z.; Liu, X.; Jin, C.; Mi, W. Manipulation of Magnetic Properties and Magnetoresistance in Co/Cu/γ′-Fe4N/Mica Flexible Spin Valves via External Mechanical Strains. ACS Appl. Electron. Mater. 2022, 4, 276–286. [Google Scholar] [CrossRef]
- Liu, Y.; Yang, Z.; Yang, H. Magnetic and Electrochemical Properties of γ′-Fe4N Nanoparticles with Cuboidal and Rodlike Morphologies. J. Phys. Chem. C 2023, 127, 728–735. [Google Scholar] [CrossRef]
- Li, X.; Chen, C.; Gao, T.; Xiao, D. Boosting lithium/sodium ion storage by synergistic effect between nanostructured Fe4N-Fe3C and 3D interconnected graphitic C3N4. J. Alloys Compd. 2024, 981, 173661. [Google Scholar] [CrossRef]
- Wu, M.; Wang, J.; Xing, B.; Zhu, H. Hydrogen diffusion in Fe4N: Implication for an effective hydrogen diffusion barrier. Int. J. Hydrogen Energy 2023, 48, 29418–29423. [Google Scholar] [CrossRef]
- Ma, Y.; Bae, J.W.; Kim, S.H.; Klug, M.J.; Li, K.; Vogel, D.; Ponge, D.; Rohwerder, M.; Gault, B.; Raabe, D. Reducing Iron Oxide with Ammonia: A Sustainable Path to Green Steel. Adv. Sci. 2023, 10, 2300111. [Google Scholar] [CrossRef] [PubMed]
- Zheng, Q.; Yu, M.; Wang, W.; Liu, S.; Liang, X.; Wang, C.; Dai, Y.; Xu, Y. Porous and flake-like γ′-Fe4N @ iron oxides with enhanced microwave absorption performance. Ceram. Int. 2021, 47, 8315–8321. [Google Scholar] [CrossRef]
- Mahboubi, F.; Samandi, M.; Dunne, D.; Bloyce, A.; Bell, T. Plasma nitriding of microalloyed steel. Surf. Coat. Technol. 1995, 71, 135–141. [Google Scholar] [CrossRef]
- Berg, M.; Budtz-Jørgensen, C.V.; Reitz, H.; Schweitz, K.O.; Chevallier, J.; Kringhøj, P. On plasma nitriding of steels. Surf. Coat. Technol. 2000, 124, 25. [Google Scholar] [CrossRef]
- Zhang, X.; Su, K.; Chen, X.; Li, J.; Wang, B.; Luo, Z.; Qian, D.; Li, J.; Liu, J. A Hybrid of the Fe4N–Fe Heterojunction Supported on N-Doped Carbon Nanobelts and Ketjen Black Carbon as a Robust High-Performance Electrocatalyst. J. Phys. Chem. Lett. 2022, 13, 11118–11127. [Google Scholar] [CrossRef] [PubMed]
- Wang, L. Influence of compound layer on the corrosion resistance of low alloy steel in a 3.5% NaCl solution. Eng. Res. Express 2024, 6, 025407. [Google Scholar] [CrossRef]
- Reis, J.S., Jr.; Sousa Brito, M.C.; de Oliveira, P.A.; Libório, M.S.; Monção, R.M.; Nunes, M.S.; Júnior, C.A.; Rossino, L.A.; Costa, T.H.C.; Feitor, M.C.; et al. Influence of Quenching and Tempering on the Tribological and Corrosion Behavior of Plasma-Nitrided Society of Automotive Engineers 52100. Steel Res. Int. 2024, 95, 2300512. [Google Scholar]
- Kusmanov, S.A.; Tambovskii, I.V.; Korableva, S.S.; Silkin, S.A.; Smirnov, A.A.; Kusmanova, I.A.; Gorokhov, I.S. Increase in Hardness and Corrosion Resistance of a Medium-Carbon Steel Surface Using Cathodic Plasma Electrolytic Nitriding. Surf. Eng. Appl. Electrochem. 2022, 58, 323–329. [Google Scholar] [CrossRef]
- Breton, H.; Komabayashi, T.; Thompson, S.; Potts, N.; McGuire, C.; Suehiro, S.; Anzellini, S.; Ohishi, Y. Static compression of Fe4N to 77 GPa and its implications for nitrogen storage in the deep Earth. Am. Mineral. 2019, 104, 1781–1787. [Google Scholar] [CrossRef]
- Litasov, K.D.; Shatskiy, A.; Ponomarev, D.S.; Gavryushkin, P.N. Equations of state of iron nitrides ε-Fe3Nx and γ-Fe4Ny to 30 GPa and 1200K and implication for nitrogen in the Earth’s core. J. Geophys. Res. Solid Earth 2017, 122, 3574–3584. [Google Scholar] [CrossRef]
- Zhuang, Y.; Su, X.; Salke, N.P.; Cui, Z.; Hu, Q.; Zhang, D.; Liu, J. The effect of nitrogen on the compressibility and conductivity of iron at high pressure. Geosci. Front. 2021, 12, 983–989. [Google Scholar] [CrossRef]
- Giannozzi, P.; Baroni, S.; Bonini, N.; Calandra, M.; Car, R.; Cavazzoni, C.; Ceresoli, D.; Chiarotti, G.L.; Cococcioni, M.; Dabo, I.; et al. QUANTUM ESPRESSO: A modular and open-source software project for quantum simulations of materials. J. Phys. Condens. Matter 2009, 21, 395502. [Google Scholar] [CrossRef]
- Giannozzi, P.; Andreussi, O.; Brumme, T.; Bunau, O.; Buongiorno Nardelli, M.; Calandra, M.; Car, R.; Cavazzoni, C.; Ceresoli, D.; Cococcioni, M.; et al. Advanced capabilities for materials modelling with Quantum ESPRESSO. J. Phys. Condens. Matter 2017, 29, 465901. [Google Scholar] [CrossRef]
- Prandini, G.; Marrazzo, A.; Castelli, I.E.; Mounet, N.; Marzari, N. Precision and efficiency in solid-state pseudopotential calculations. npj Comput. Mater. 2018, 4, 72. [Google Scholar] [CrossRef]
- Perdew, J.P.; Burke, K.; Ernzerhof, M. Generalized Gradient Approximation Made Simple. Phys. Rev. Lett. 1996, 77, 3865. [Google Scholar] [CrossRef]
- Murnaghan, F.D. Finite Deformations of an Elastic Solid. Am. J. Math. 1937, 59, 235–260. [Google Scholar] [CrossRef]
- Birch, F. Finite Elastic Strain of Cubic Crystals. Phys. Rev. 1947, 71, 809. [Google Scholar] [CrossRef]
- Shirane, G.; Takei, W.J.; Ruby, S.L. Mössbauer Study of Hyperfine Fields and Isomer Shifts in Fe4N and (Fe,Ni)4N. Phys. Rev. 1962, 126, 49. [Google Scholar] [CrossRef]
- Jacobs, H.; Rechenbach, D.; Zachwieja, U. Structure determination of γ′-Fe4N and ε-Fe3N. J. Alloys Compd. 1997, 227, 10–17. [Google Scholar] [CrossRef]
- Kurian, S.; Bhattacharyya, S.; Desimoni, J.; Peltzer y Blancá, E.L.; Gil Rebaza, A.V.; Gajbhiye, N.S. Investigation of γ′-Fe4N–GaN Nanocomposites: Structural and Magnetic Characterization, Mössbauer Spectroscopy and Ab Initio Calculations. J. Phys. Chem. C 2010, 114, 17542–17549. [Google Scholar] [CrossRef]
- Liu, Z.Q.; Hashimoto, H.; Song, M.; Mitsuishi, K.; Furuya, K. Phase transformation from Fe4N to Fe3O4 due to electron irradiation in the transmission electron microscope. Acta Mater. 2004, 52, 1669–1674. [Google Scholar] [CrossRef]
- Panda, R.N.; Gajbhiye, N.S. Magnetic properties of nanocrystalline γ′-Fe4N and ε-Fe3N synthesized by citrate route. IEEE Trans. Magn. 1998, 34, 542–548. [Google Scholar] [CrossRef]
- Gajbhiye, N.S.; Panda, R.N.; Ninghthoujam, R.S.; Bhattacharyya, S. Magnetism of nanostructured iron nitride (Fe–N) systems. Phys. Status Solidi C 2004, 1, 3252–3259. [Google Scholar] [CrossRef]
- Jacobs, H.; Bock, J. Einkristallzüchtung von γ′-Fe4N in überkritischem ammoniak. J. Less-Common Met. 1987, 134, 215–220. [Google Scholar] [CrossRef]
- Gil Rebaza, A.V.; Mudarra Navarro, A.M.; Martínez, J.; Peltzer y Blancá, E.L. First principles and experimental studies of the structural and magnetic ground state of the ternary compound MnFe3N. J. Alloys Compd. 2016, 683, 32–37. [Google Scholar] [CrossRef]
- Takahashi, T.; Takahashi, N.; Tamura, N.; Nakamura, T.; Yoshioka, M.; Inami, W.; Kawata, Y. Growth of Fe4N epitaxial layers displaying anomalous light reflectivity modulated by an external magnetic field. J. Mater. Chem. 2001, 11, 3154–3157. [Google Scholar] [CrossRef]
- Grache, S.Y.; Borsa, D.M.; Boerma, D.O. On the growth of magnetic Fe4N films. Surf. Sci. 2002, 515, 359–368. [Google Scholar] [CrossRef]
- Hill, R. On discontinuous plastic states, with special reference to localized necking in thin sheets. J. Mech. Phys. Solids 1952, 1, 19–30. [Google Scholar] [CrossRef]
- Gressmann, T.; Wohlschlögel, M.; Shang, S.; Welzel, U.; Leineweber, A.; Mittemeijer, E.J.; Liu, Z.-K. Elastic anisotropy of γ′-Fe4N and elastic grain interaction in γ′-Fe4N1-y layers on α-Fe: First-principles calculations and diffraction stress measurements. Acta Mater. 2007, 55, 5833–5843. [Google Scholar] [CrossRef]
- Takahashi, T.; Burghaus, J.; Music, D.; Dronskowski, R.; Schneider, J.M. Elastic properties of Fe4N probed by nanoindentation and ab initio calculation. Acta Mater. 2012, 60, 2054. [Google Scholar] [CrossRef]
- Ma, X.G.; Jiang, J.J.; Liang, P.; Wang, J.; Ma, Q.; Zhang, Q.K. Structural stability and magnetization of γ′-Fe4N and CoFe3N compounds. J. Alloys Compd. 2009, 480, 475–480. [Google Scholar] [CrossRef]
- Zhao, E.; Xiang, H.; Meng, J.; Wu, Z. First-principles investigation on the elastic, magnetic and electronic properties of MFe3N (M=Fe, Ru, Os). Chem. Phys. Lett. 2007, 449, 96. [Google Scholar] [CrossRef]
- Peltzer y Blancá, E.L.; Desimoni, J.; Christensen, N.E.; Emmerich, H.; Cottenier, S. The magnetization of γ′-Fe4N: Theory vs. experiment. Phys. Status Solidi B 2009, 246, 909–928. [Google Scholar] [CrossRef]
- Yang, C.L.; Abd-Elmeguid, M.M.; Micklitz, H.; Michels, G.; Otto, J.W.; Kong, Y.; Xue, D.S.; Li, F.S. Pressure effects on the electronic properties and the magnetic ground state of Fe4N. J. Magn. Magn. Mater. 1999, 151, L19–L23. [Google Scholar] [CrossRef]
- Yan, M.F.; Wu, Y.Q.; Liu, R.L. Plasticity and ab initio characterization on Fe4N produced on the surface of nanocrystallized 18Ni-maraging steel plasma nitrided at lower temperature. Appl. Surf. Sci. 2009, 255, 8902–8906. [Google Scholar] [CrossRef]
- Adler, J.F.; Williams, Q. A high-pressure X-ray diffraction study of iron nitrides: Implications for Earth’s core. J. Geophys. Res. Solid Earth 2005, 110, B01203. [Google Scholar] [CrossRef]
- Guo, K.; Rau, D.; Von Appen, J.; Prost, Y.; Schnelle, W.; Dronskowski, R.; Niewa, R.; Schwarz, U. High pressure high-temperature behavior and magnetic properties of Fe4N: Experiment and theory. High Pressure Res. 2013, 33, 1–13. [Google Scholar] [CrossRef]
- Adhikari, V.; Liu, Z.T.Y.; Szymanski, N.J.; Khatri, I.; Gall, D.; Sarin, P.; Khare, S.V. First-principles study of mechanical and magnetic properties of transition metal (M) nitrides in the cubic M4N structure. J. Phys. Chem. Solids 2018, 120, 197–206. [Google Scholar] [CrossRef]
- Chen, J.-S.; Yu, C.; Lu, H. Phase stability, magnetism, elastic properties and hardness of binary iron nitrides from first principles. J. Alloys Compd. 2015, 625, 224–230. [Google Scholar] [CrossRef]
- Tan, X.; Wang, S.; Chen, Y.; Zhou, Y.; Li, Z. Design, preparation and characterization of iron nitride magnetic abrasives. J. Alloys Compd. 2019, 774, 443–450. [Google Scholar] [CrossRef]
- Ishimatsu, N.; Maruyama, H.; Kawamura, N.; Suzuki, M.; Ohishi, Y.; Ito, M.; Nasu, S.; Kawakami, T.; Shimomura, O. Pressure-induced magnetic transition in Fe4N probed by Fe K-edge XMCD measurement. J. Phys. Soc. Jpn. 2003, 72, 2372–2376. [Google Scholar] [CrossRef]
- Lv, Z.Q.; Gao, Y.; Sun, S.H.; Qv, M.G.; Wang, Z.H.; Shi, Z.P.; Fu, W.T. Electronic, magnetic and elastic properties of γ′-Fe4N (X=B/C/N) from density functional theory calculations. J. Magn. Magn. Mater. 2013, 333, 39–45. [Google Scholar] [CrossRef]
- Yurkova, A.I.; Byakova, A.V.; Belots’ky, A.V.; Milman, Y.V.; Dub, S.N. Deformation Structure, Friction, Hardness, Nano Grain Structure, Nanoindentation, Nitriding, Plasticity Characteristic δ-A, Severe Plastic Deformation (SPD), Young’s Modulus. Mater. Sci. Forum 2006, 503–504, 645–650. [Google Scholar] [CrossRef]
- Zheng, S.; Sun, Y.; Bloyce, A.; Bell, T. Characterization of plasma nitrided andl pvd-tin duplex treated armco iron and en40b steel by nanoindentation. Mater. Manuf. Process. 1995, 10, 815–824. [Google Scholar] [CrossRef]
- Schröter, W.; Spengler, A. Zum E-Modul von nitridhaltigen Schichten auf Stahl. HTM J. Heat Treat. Mater. 1996, 51, 356–362. [Google Scholar] [CrossRef]
- Pellizzari, M.; Molinari, A.; Straffelini, G. Thermal fatigue resistance of plasma duplex-treated tool steel. Surf. Coat. Technol. 2001, 142–144, 1109–1115. [Google Scholar] [CrossRef]
- Arnaud, P.; Heripre, E.; Douit, F.; Aubin, V.; Fouvry, S.; Guiheux, R.; Branger, V.; Miche, G. Micromechanical tensile test investigation to identify elastic and toughness properties of thin nitride compound layers. Surf. Coat. Technol. 2021, 421, 127303. [Google Scholar] [CrossRef]
- Weber, T.; de Wit, L.; Saris, F.W.; Königer, A.; Rauschenbach, B.; Wolf, G.K.; Krauss, S. Hardness and corrosion resistance of single-phase nitride and carbide on iron. Mater. Sci. Eng. A 1995, 199, 205–210. [Google Scholar] [CrossRef]
- Otero-de-la-Roza, A.; Luaña, V. Gibbs2: A new version of the quasi-harmonic model code. I. Robust treatment of the static data. Comput. Phys. Commun. 2011, 182, 1708–1720. [Google Scholar] [CrossRef]
- Otero-de-la-Roza, A.; Abbasi-Pérez, D.; Luaña, V. Gibbs2: A new version of the quasiharmonic model code. II. Models for solid-state thermodynamics, features and implementation. Comput. Phys. Commun. 2011, 182, 2232–2248. [Google Scholar] [CrossRef]
- Francisco, E.; Recio, J.M.; Blanco, M.A.; Martín Pendás, A.; Costales, A. Quantum-mechanical study of thermodynamic and bonding properties of MgF2. J. Phys. Chem. A 1998, 102, 1595–1601. [Google Scholar] [CrossRef]
- Francisco, E.; Blanco, M.A.; Sanjurjo, G. Atomistic simulation of SrF2 polymorphs. Phys. Rev. 2001, 63, 094107. [Google Scholar] [CrossRef]
- Flórez, M.; Recio, J.M.; Francisco, E.; Blanco, M.A.; Martín Pendás, A. First-principles study of the rocksalt–cesium chloride relative phase stability in alkali halides. Phys. Rev. 2002, 66, 144112. [Google Scholar] [CrossRef]
- Baroni, S.; de Gironcoli, S.; Dal Corso, A.; Giannozzi, P. Phonons and related crystal properties from density-functional pertubation theory. Rev. Mod. Phys. 2001, 73, 515. [Google Scholar] [CrossRef]
- Petretto, G.; Dwaraknath, S.; Miranda, H.P.C.; Winston, D.; Giantomassi, M.; van Setten, M.J.; Gonze, X.; Persson, K.A.; Hautier, G.; Rignanese, G.M. High-throughput density-functional pertubation theory phonons for inorganic material. Sci. Data 2018, 5, 180065. [Google Scholar] [CrossRef]
- Guan, P.W.; Houchins, G.; Viswanathan, V. Uncertainty quantification of DFT-predicted finite temperature thermodynamic properties within the Debye model. J. Chem. Phys. 2019, 151, 244702. [Google Scholar] [CrossRef]
- Zhang, C.; Liu, X.; Li, M.; Liu, C.; Li, H.; Meng, X.; Mehmood Ur Rehman, K. Preparation and soft magnetic properties of γ′-Fe4N particles. J. Mater. Sci. 2017, 29, 1254–1257. [Google Scholar] [CrossRef]
- Chen, S.K.; Jin, S.; Kammlott, G.W.; Tiefel, T.H.; Johnson, D.W., Jr.; Gyorgy, E.M. Synthesis and magnetic properties of Fe4N and (Fe, Ni)4N sheets. J. Magn. Magn. Mater. 1992, 110, 65–72. [Google Scholar] [CrossRef]
- Dirba, I.; Yazdi, M.B.; Radetinac, A.; Komissinskiy, P.; Flege, S.; Gutfleisch, O.; Alff, L. Growth, structure, and magnetic properties of γ′-Fe4N thin films. J. Magn. Magn. Mater. 2015, 379, 151–155. [Google Scholar] [CrossRef]
- Qi, Q.; O’Donnell, K.; Touchais, E.; Coey, J.M.D. Mössbauer spectra and magnetic properties of iron nitrides. Hyperfine Interact. 1994, 94, 2067–2073. [Google Scholar] [CrossRef]
- Xiao, J.Q.; Chien, C.L. Radio frequency reactive sputtered iron nitrides using ammonia gas: Structure and magnetic properties. Appl. Phys. Lett. 1994, 64, 384–386. [Google Scholar] [CrossRef]
- Guillaud, C.; Creveaux, H. Magnetisme—Preparation et proprietes magnetiques du compose defini Fe4N. C. R. Seances Acad. Sci. Vie Acad. 1946, 222, 1170–1172. [Google Scholar]
- Atiq, S.; Ko, H.-S.; Siddiqi, S.A.; Shin, S.-C. Effect of epitaxy and lattice mismatch on saturation magnetization of γ′-Fe4N thin films. Appl. Phys. Lett. 2008, 92, 222507. [Google Scholar] [CrossRef]
- Jiang, Y.; Jiang, L. Synthesis of γ-Fe4N powder in liquid nitrogen. AIP Adv. 2019, 9, 035215. [Google Scholar] [CrossRef]
- Frazer, B.C. Magnetic structure of Fe4N. Phys. Rev. 1958, 112, 751. [Google Scholar] [CrossRef]
- Gallego, J.M.; Boerma, D.O.; Miranda, R.; Ynduráin, F. 1D Lattice Distortions as the Origin of the (2×2)p4gm Reconstruction in γ′-Fe4N(100): A Magnetism-Induced Surface Reconstruction. Phys. Rev. Lett. 2005, 95, 136102. [Google Scholar] [CrossRef]
Disclaimer/Publisher’s Note: The statements, opinions and data contained in all publications are solely those of the individual author(s) and contributor(s) and not of MDPI and/or the editor(s). MDPI and/or the editor(s) disclaim responsibility for any injury to people or property resulting from any ideas, methods, instructions or products referred to in the content. |
© 2025 by the authors. Licensee MDPI, Basel, Switzerland. This article is an open access article distributed under the terms and conditions of the Creative Commons Attribution (CC BY) license (https://creativecommons.org/licenses/by/4.0/).








