Abstract
With the development of digital power systems, the establishment of digital twin models for transformers is of great significance in enhancing power system stability. Consequently, greater demands are placed on the real-time performance and accuracy of thermal-fluid-coupled transient multi-physics field calculations for transformers. However, traditional numerical methods, such as finite element or computational fluid dynamics techniques, often require days or even weeks to simulate full-scale high-fidelity transformer models containing millions of grid nodes. The high computational cost and long runtime make them impractical for real-time simulations in digital twin applications. To address this, this paper employs the dynamic mode decomposition (DMD) method in conjunction with Koopman operator theory to perform data-driven reduced-order modeling of the transformer’s thermal–fluid-coupled multi-physics field. A fast computational approach based on extended dynamic mode decomposition (EDMD) is proposed to enhance the modal decomposition capability of nonlinear systems and improve prediction accuracy. The results show that this method greatly improves computational efficiency while preserving accuracy in high-fidelity models with millions of grids. The errors in the thermal and flow field calculations remain below 3.06% and 3.01%, respectively. Furthermore, the computation time is reduced from hours to minutes, with the thermal field achieving a 97-fold speed-up and the flow field an 83-fold speed-up, yielding an average speed-up factor of 90. This enables fast computation of the transformer’s thermal–fluid-coupled field and provides effective support for the application of digital twin technology in multi-physics field simulations of power equipment.
1. Introduction
The transient thermal flow field analysis of transformers is crucial for accurately characterizing the dynamic evolution of temperature and flow fields. Under transient conditions, strong time-dependent coupling behavior exists among the heating characteristics of the winding and the core, oil flow, and the heat dissipation mechanism, which directly affects hot spot temperature distribution and cooling efficiency [1]. Accurate transient thermal flow coupling calculations are not only key to evaluating the evolution of the internal thermal field of the transformer but also provide essential theoretical support for optimizing cooling system design and improving operational reliability. Traditional numerical calculation methods, such as the finite element method (FEM) [2,3] and computational fluid dynamics (CFD) [4,5], are currently the primary tools used for solving the transient thermal flow field of transformers [6]. However, these methods face significant challenges in digital twin scenarios. First, complex multi-physics field coupling phenomena occur inside the transformer, involving multiple physical processes such as heat conduction, convective heat transfer, and oil flow movement, leading to strong nonlinearity and high computational complexity. Second, transient simulation requires high-precision calculations of dynamic evolution over a long time scale, while FEM and CFD typically demand a fine mesh and a small time step to ensure accuracy, further increasing the computational costs and storage requirements. But the high computational load of traditional methods cannot meet the requirements for real-time simulation, which are fundamentally incompatible with the heavy computational burden of traditional approaches. For full-size high-fidelity transformer models containing millions of grids, simulations using traditional methods can take several days or even weeks. Consequently, improving computational efficiency while maintaining accuracy has become a critical issue in the transient thermal flow coupling analysis of transformers.
In real-time applications, the calculation of the transformer’s transient thermal flow field must rapidly respond to system state changes to meet the requirements of online monitoring, operational optimization, and fault prediction. However, traditional numerical methods involve high computational costs and long simulation times, which hinder their ability to satisfy real-time requirements. Consequently, model order reduction (MOR) techniques, especially methods such as DMD and EDMD, have become essential tools for improving computational efficiency. Currently, MOR methods are mainly categorized into projection-based order reduction methods, data-driven order reduction methods, and hybrid approaches. Projection-based methods construct a low-dimensional subspace to project the solution of the original high-dimensional system onto a reduced set of basis functions, thereby obtaining a low-dimensional representation [7]. Stephan Rother et al. proposed an order reduction strategy based on the Krylov subspace method, which treats radiation heat transfer as part of the load vector, keeps the system matrix constant, and effectively reduces the computational dimension and solution time of the thermal field problem [8]. Yuqing Xie introduced a centroidal Voronoi tessellation (CVT)-based order reduction method to address the large computational scale and prolonged computational time of quasi-magnetic static problems and validated its effectiveness by comparing it with the proper orthogonal decomposition (POD) method in terms of computational complexity reduction and accuracy retention [9]. L. Xin et al. proposed a deep learning surrogate model (DLSM) for the fast prediction of the temperature field of resin-impregnated paper (RIP) bushings, addressing the issue of the excessive simulation time caused by the high degrees of freedom and complex coupling mechanisms in traditional finite element methods [10]. Regarding data-driven methods, Peter Schmid first proposed dynamic mode decomposition (DMD), which is suitable for modeling the time evolution of transient physical fields in large-scale systems, and applied it to the dimensionality reduction and modal analysis of high-dimensional dynamic data in fluid mechanics, enabling the extraction of dynamic coherent modes and the approximation of complex system evolution through a linear framework [11]. To address the limitations of black-box models in computational accuracy, Yang Fan et al. introduced a DMD-based method for predicting transformer hot-spot temperatures [12]. Lei Zhang et al. introduced the HiDeNN–proper generalized decomposition (PGD) method, which combines hierarchical deep-learning neural networks (HiDeNN, a type of machine learning) with proper generalized decomposition (PGD) to enhance computational efficiency and accelerate the solving of complex multi-physics problems while maintaining high accuracy [13]. Traditional DMD has several limitations: (1) The determination of dominant modes is subjective, and DMD lacks a criterion for ranking eigenvalue importance, similar to POD [14]. (2) It exhibits limited reliability in nonlinear systems and may fail to capture essential dynamic characteristics. (3) DMD modes are typically non-orthogonal, potentially introducing additional coupling errors during order reduction [15]. To address these issues, Williams proposed extended dynamic mode decomposition (EDMD), which extends DMD by incorporating nonlinear dynamics through Koopman operator approximation, making it well-suited for transformer systems characterized by strong thermal–fluid coupling nonlinearity [16]. Further refinements followed. Qianxiao Li integrated an artificial neural network (ANN) with Koopman operator theory, employing an adjustable dictionary with adaptive training to optimize Koopman operator approximation, thereby improving the accuracy and efficiency of reduced-order modeling [17]. T. Nonomura et al. developed an extended Kalman filter (EKF) DMD algorithm for simultaneous system identification and noise reduction [18]. Wormell et al. confirmed that EDMD enables accurate prediction and model reduction, even in chaotic systems [19]. Kang et al. applied EDMD to analyze a flapping flexible plate in water flow, successfully identifying key flow structures such as shear layers, symmetric vortex streets, and antisymmetric vortex streets from vortex field data [20].
Considering the computational complexity, strong nonlinearity, and real-time constraints of transient thermal–fluid coupling in transformers, this paper presents a reduction algorithm based on extended dynamic mode decomposition (EDMD), which can accurately capture the key transient features of thermal–fluid coupling in transformers and significantly improve the speed and precision of the reduced-order modeling required for digital twin applications. This method integrates Koopman operator theory and enhances nonlinear modal decomposition through feature mapping, improving modeling accuracy while reducing computational complexity. Compared to traditional methods such as FEM, CFD, and linear reduction approaches (POD, DMD), EDMD more accurately captures the dynamic characteristics of thermal–fluid coupling and significantly enhances computational efficiency. Finally, EDMD is implemented on a full-scale 220 kV transformer model with 1,148,366 grid nodes, enabling fast transient multi-physics field computation. The efficiency and accuracy of the method are then evaluated.
2. Fast Calculation Method of a Thermal–Fluid-Coupled Transient Multi-Physics Field Transformer Based on EDMD
2.1. Basic Principle of DMD
DMD (dynamic mode decomposition) is a data-driven, computationally efficient method that extracts the dominant dynamic characteristics of a system from time-series data, enabling system reconstruction and prediction. Its fundamental principle involves collecting simulation or experimental data to generate a series of system-state snapshots at discrete time steps, forming a snapshot matrix. Subsequently, DMD employs matrix decomposition to approximate the state evolution matrix, extract the dominant modes along with their corresponding eigenvalues and eigenvectors, and characterize the system’s temporal evolution. Finally, this modal information process enables time-advancing computations of physical fields, such as the transient analysis of flow fields, electric fields, or temperature fields.
The core idea behind the DMD method is to find a linear transformation matrix A, so that the state evolution of the system satisfies the following relationship:
where Tt represents the state variables of the system at time t, such as temperature distribution and flow field distribution. For a linear system, if the initial state T1 and matrix A are obtained, the system state at any time t can be calculated. For a nonlinear system, dimensionality reductions can be performed by finding an approximate matrix A′.
To perform DMD analysis, the first step is to collect the system-state time series from numerical simulations or experimental data to construct a snapshot matrix:
where X represents the state matrix of the first n − 1 time step, and Y represents the state matrix of the subsequent n − 1 time steps.
We assume that the state evolution of the system can be approximately described by the linear matrix A; that is:
Matrix A can be determined as follows:
where X† represents the Moore–Penrose pseudoinverse of matrix X.
The direct computation of matrix A may be numerically unstable, so we first perform a compact singular value decomposition (compact SVD) on matrix X:
where U is a column-orthogonal matrix containing the left singular vectors of matrix X, Σ is a diagonal matrix containing the singular values of matrix X, and V is a column-orthogonal matrix containing the right singular vectors of matrix X.
Using the results of the SVD decomposition, we calculate the transformation matrix obtained after dimensionality reduction:
We then perform eigen decomposition of row :
where Λ represents the eigenvalue matrix and W represents the eigenvector matrix. The final DMD mode can then be calculated as follows:
The system state at any given time following DMD decomposition can be expressed as follows:
where bi is the initial state projection coefficient, calculated by the inner product of T1 and DMD mode, m represents the number of modes that comprise the system, and λi represents the DMD frequency information.
DMD is effective for linear or nearly linear systems; however, it struggles to accurately describe the dynamic characteristics of strongly nonlinear systems. Errors tend to accumulate as the calculation time progresses, particularly in complex nonlinear problems. The modal energy order influences the calculation accuracy and is particularly sensitive to noise.
2.2. The EDMD Principle Based on the Koopman Approximation
DMD performs well in calculating linear or periodic systems, but its performance for nonlinear systems is limited. Therefore, the Koopman approximation is introduced to develop the extended dynamic mode decomposition (EDMD) method, which enhances the applicability of the DMD algorithm. A comparison of the principles of EDMD and DMD is illustrated in Figure 1, where g(x) is a function used to map the system state, transforming the original nonlinear system state into a high-dimensional linear feature space, and Ψ(x) is used to represent its mapping in this high-dimensional space. The yellow color indicates the highest points on the surface, while the purple color represents the lowest points, illustrating the height mapping from the surface to the plane. Since A is a linear transformation, when DMD processes nonlinear problems, the calculation error increases with the distance between the calculation points x1 and x2, and this error exacerbates with increasing nonlinearity. EDMD maps the nonlinear dynamic system to a high-dimensional linear feature space through the Koopman transformation, g, such that the originally complex nonlinear problem is represented as a linear evolution in this space, overcoming the limitations of DMD in handling nonlinear systems.
Figure 1.
EDMD schematic diagram.
The principle of EDMD, based on the Koopman operator, is as follows:
The Koopman operator, K, is an infinite-dimensional linear operator acting on the observation function g(x) in the state space:
In this context, g(x) represents the observation function of the system state, where x is the observed state. The core idea of EDMD is to approximate the Koopman operator by selecting a finite number of basis functions Ψ(x) to make it computable in a finite-dimensional space.
In order to effectively capture the complex dynamic characteristics of nonlinear systems, particularly for multi-physics coupling problems such as thermal and flow fields, the multiquadric RBF was chosen as the basis function, due to its superior smoothness and stability in handling high-dimensional data. The expression for the basis function is as follows:
where r is the shape parameter, which is set to 1.0 in this study.
We can define the observation function basis vector as:
For the thermal field calculation scenario, the observed object is the thermal field distribution Ttat time t, and the snapshot matrix of EDMD in the observation space is:
EDMD computes the Koopman approximation matrix K using the least-squares method:
where Z† is the Moore–Penrose pseudoinverse of the matrix Z.
Next, we perform eigen decomposition on the Koopman approximation matrix K:
Among them, Λ = diag (λ1, λ2 … λn) is the eigenvalue matrix of the Koopman operator, and Φ is the eigenvector matrix corresponding to the Koopman mode.
The initial state can be obtained using the Koopman modal expansion, as follows:
where b1i represents the nonlinear projection coefficients of the observable function g(x) onto the Koopman modes ϕi, determined by the initial conditions.
The system state at time t can be determined using the Koopman approximation:
Among them, λit reflects the evolution of the system over time. Through the inverse transformation Ψ−1, the physical state of the system can be recovered from the high-dimensional observation space:
In practical applications, the basis function Ψ(x) needs to be selected according to the specific problem, such as the polynomial basis, radial basis function (RBF), kernel method, etc. EDMD is suitable for high-dimensional nonlinear systems. Through the Koopman approximation, originally complex nonlinear dynamic problems can be solved in a linear framework, so it can be used for the fast calculation of transient physical fields.
2.3. EDMD Mode Selection Method
The EDMD mode is a critical factor that significantly influences computational accuracy and efficiency. An improper selection of modes can lead to substantial deviations in calculations or markedly reduced efficiency. To evaluate the contribution of each mode to the system, modal norm sorting is utilized to rank the influence of each mode on the flow field. This method also facilitates system reconstruction and computation through these modes. The energy matrix is calculated as follows:
Among them, b represents the projection coefficient matrix corresponding to the modes, Λ is the eigenvalue matrix of the Koopman operator, and represents the Frobenius norm.
Here, Ei represents the energy of the i-th mode in the energy matrix. After sorting by modal energy, the first k-order modes are selected so that the sum of their energies is greater than 90%. It is believed that most of the physical field information has been included at this time, and the k-order mode is used for thermal flow field reconstruction and calculation.
To efficiently analyze and predict the evolution of a system by linearizing a nonlinear dynamic system, the fast calculation process based on EDMD is used, as shown in Figure 2. The detailed steps are as follows. First, we obtain the simulation or experimental data of the transformer thermal flow field, construct snapshot matrices X and Y, and map the observation basis function ψ to a high-dimensional feature space to form the extended snapshot matrices Z and Z′. If the dimension of Z is too high, we perform an SVD dimensionality reduction; then, we calculate the Koopman approximation matrix K, solving the Koopman modal matrix Φ and eigenvalue λ. We calculate the modal energy and select the first k dominant modes, then finally, we use these modes for multiphysics field calculations at future times.
Figure 2.
EDMD flow chart.
3. EDMD Decomposition and Modal Dynamic Characteristics Extraction
3.1. Multi-Physics Modeling and Snapshot Matrix Construction
A 220 kV full-size transformer model was selected for multi-physics field modeling. The transformer geometry model is shown in Figure 3. The shell of the transformer is made of high-strength structural steel, with an oil outlet on the top and an oil inlet on the bottom to achieve transformer oil circulation. The internal three-phase winding component is made of copper wire and is isolated from the iron core by insulating paper.
Figure 3.
Transformer geometry model.
The model boundary conditions and the physical parameter settings are presented in Table 1, where transformer oil serves as the primary cooling medium. The density, specific heat capacity, thermal conductivity, and dynamic viscosity of transformer oil vary with temperature, influencing its cooling capacity and flow characteristics. These temperature-dependent properties are critical for optimizing the thermal management and fluid dynamics within the transformer.
Table 1.
Simulation parameters (K: absolute temperature).
The core material exhibits high thermal conductivity, facilitating the uniform distribution of internal heat and preventing local overheating. This property ensures efficient heat dissipation, thereby maintaining operational stability and reliability under varying load conditions.
The thermal conductivity and specific heat capacity of materials, including windings, structural steel, and insulating paper, govern the device’s heat transfer and storage capacity. These parameters play a pivotal role in determining the overall thermal performance and energy retention of the transformer, contributing to its long-term operational integrity.
The simulation environment uses MATLAB (R2024b), leveraging its powerful computational capabilities to solve optimization problems. To achieve efficient matrix operations and data processing, the study employs MATLAB (R2024b)’s Optimization Toolbox and its Statistics and Machine Learning Toolbox. The Optimization Toolbox provides the necessary functions and algorithms for solving linear and nonlinear optimization problems, while the Statistics and Machine Learning Toolbox supports data analysis, model building, and evaluation. In terms of hardware configuration, a high-performance computer with 2 TB of storage and 128 GB of RAM is used, ensuring the smooth execution of large-scale data processing and complex computational tasks.
Furthermore, the boundary conditions, detailed in Table 2, are established with an inlet oil flow rate of 0.004 m/s and a winding heating power of 54,614 W/m3.
Table 2.
Boundary conditions of the simulation.
The model contains 1,148,366 grid points, and the calculation time is 3414 s. The calculation results are shown in Figure 4 and Figure 5.
Figure 4.
Thermal field simulation results. (a) Surface; (b) center section.
Figure 5.
Flow field simulation results. (a) Surface; (b) center section.
The temperature distribution within the transformer winding and oil tank is depicted in Figure 4. The temperature of the transformer oil increases in the heated region, establishing a pronounced temperature gradient. Figure 4a illustrates the surface temperature distribution. The winding component exhibits elevated surface temperatures, with heat being transferred to the surrounding oil and the tank wall. The overall temperature exhibits a decreasing trend from the winding center to the periphery. Figure 4b additionally depicts the temperature distribution of the central section. The temperature within the winding component is elevated and gradually diminishes along the oil circulation path, suggesting that the oil efficiently transfers heat to the radiator following winding heating.
The oil flow within the transformer is observable, with Figure 5a presenting the overall flow field distribution. Regions exhibiting higher flow velocities are predominantly concentrated in the connection area between the winding unit and the radiator, whereas the flow velocity in other regions remains lower, suggesting that oil flow is primarily driven by thermal convection. Figure 5b illustrates the flow velocity distribution of the central section. The oil flow velocity between the winding components is comparatively significant. Upon heating, the oil ascends and enters the radiator via a channel for heat exchange. Subsequently, the cooled oil returns to the base of the transformer. The overall flow path demonstrates that the oil establishes an effective thermal convection cycle within the transformer, ensuring efficient heat dissipation from the winding unit.
The thermal field and flow field data for the specified operating conditions are transformed into snapshot matrices using the EDMD method and are subsequently normalized to improve data quality. This preprocessing step ensures that the data are appropriately structured for modal decomposition, enhancing the accuracy and reliability of the subsequent analysis of the transformer’s thermal and flow dynamics.
3.2. Thermal Field EDMD Decomposition and Modal Dynamic Characteristics Extraction
The geometry model, boundary conditions, material properties, and other settings detailed in Section 3 were employed, utilizing the conventional method to simulate the transient fields for constructing the snapshot matrix required by extended dynamic mode decomposition (EDMD). The snapshot matrix is constructed utilizing simulation data from 0 to 250 min, with the simulation results at the remaining time steps serving as subsequent verification sets to assess the algorithm’s effectiveness. This approach ensures a robust framework for capturing the dynamic behavior of the transformer’s thermal field.
In EDMD modal analysis, the attenuation rate σ is calculated from the eigenvalue decay characteristics. This attenuation rate reflects the dissipation of energy over time, and its calculation is based on the magnitude of the eigenvalue λ, which is directly related to the temporal dynamics of the system:
where λi is the eigenvalue of the Koopman operator.
The results of the thermal field eigenvalue decomposition are presented in Figure 6. Excluding the first-order eigenvalue, the remaining eigenvalues are located near the unit circle, demonstrating that most modes exhibit asymptotic stability characteristics, while the first-order mode, positioned on the unit circle, indicates a critical stability state. These findings provide critical insights into the stability properties of the thermal field, validating the applicability of the EDMD method for further analysis.
Figure 6.
Distribution of the thermal field characteristic values. (a) Eigenvalue distribution on the unit circle; (b) eigenvalue decay rate and frequency distribution.
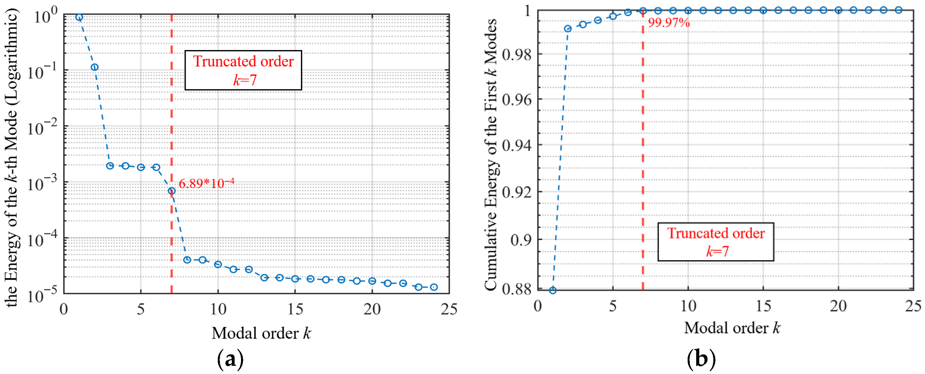
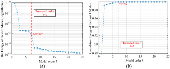
Modal energy, calculated based on the amplitude of eigenvalue λ, is presented in Figure 7. The cumulative energy of the first seven modal orders amounts to 99.97%. It is assumed that the majority of the physical field information is captured at this stage, and, thus, seventh-order modes are utilized for thermal field reconstruction and computation. This selection ensures that the dominant dynamics of the thermal field are effectively represented through the reduced-order model.
Figure 7.
Thermal field modal energy accumulation: (a) kth modal energy; (b) the sum of the energies of the first k modal energies.
3.3. Flow Field EDMD Decomposition and Modal Dynamic Characteristics Extraction
Analogous to the thermal field, the snapshot matrix is constructed utilizing simulation data from 0 to 250 min, and the eigenvalues are computed, as presented in Figure 8. The majority of the eigenvalues are located on the unit circle, demonstrating that most modes are in a critically stable state, with stable modes selected for computation in subsequent analyses. This eigenvalue distribution provides a foundation for identifying and retaining the most representative dynamic modes for effective flow-field modeling.
Figure 8.
Distribution of flow-field characteristic values. (a) Eigenvalue distribution on the unit circle; (b) eigenvalue decay rate and frequency distribution.
The attenuation rate curves for different modes under positive and negative frequencies exhibit symmetry about the frequency = 0 axis. With an increase in the attenuation rate, the frequency modulus values of most modes diminish. This symmetry and trend provide insights into the dynamic behavior of the flow field, facilitating the selection of appropriate modes for further analysis.
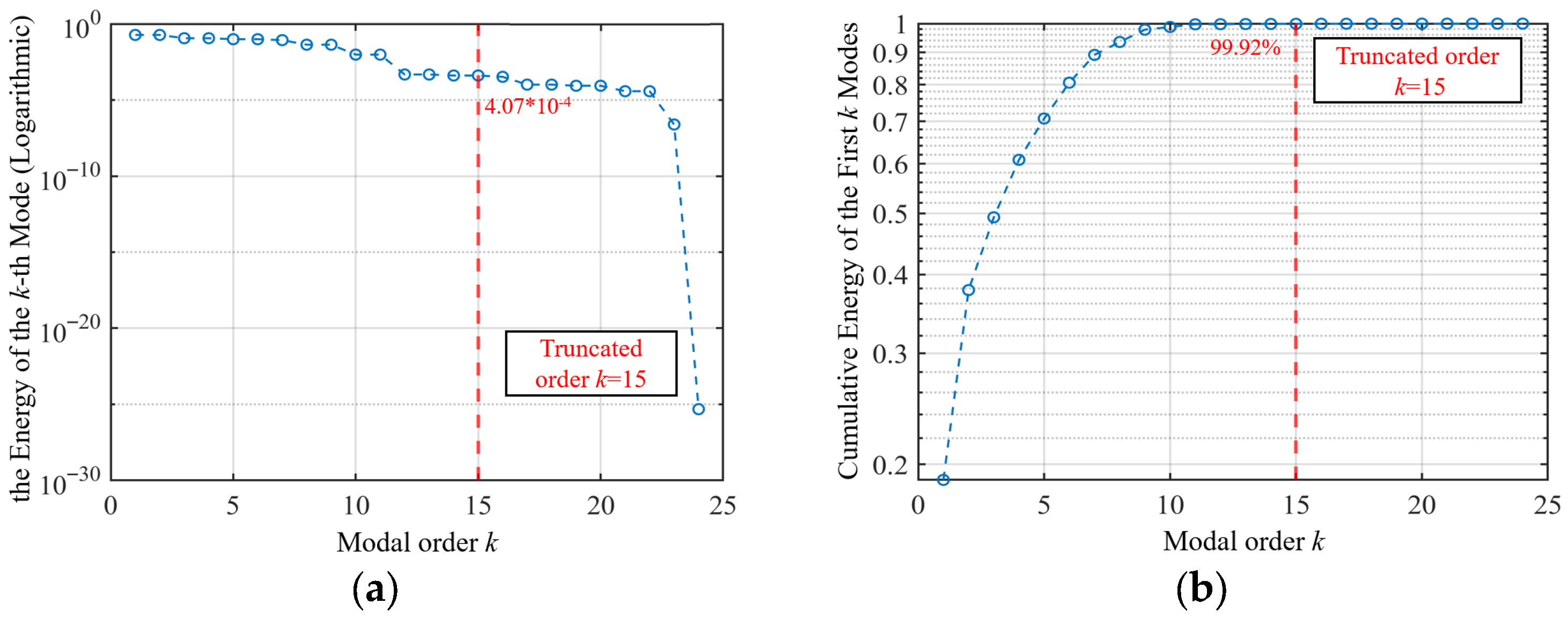
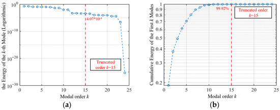
The modal energy, calculated based on the amplitude of the eigenvalue λ, is presented in Figure 9. The cumulative energy of the first 15 modal orders amounts to 99.92%. It is assumed that the majority of the physical field information is captured at this stage, and, thus, the 15th-order modes are utilized for flow field reconstruction and computation. This approach ensures that the essential dynamics of the flow field are effectively represented in subsequent calculations.
Figure 9.
Flow field modal energy accumulation: (a) kth modal energy; (b) sum of the energies of the first k modal energies.
4. Analysis and Discussion of Fast Calculation Results for Transformer Thermal-Fluid Coupling Field
4.1. Thermal Field Fast Calculation Results
The first 7-order extended dynamic mode decomposition (EDMD) mode is employed to compute the thermal coupling field over the interval from 0 to 1000 min. The rapid computation results of the thermal field at t = 400 min and t = 1000 min were chosen for comparative analysis, with the central cross-section selected for visualization, as shown in Figure 10. This approach facilitates a detailed evaluation of the thermal coupling dynamics within the transformer.
Figure 10.
Comparison of the thermal field fast calculation results at t = 400 min. (a) Conventional method; (b) EDMD fast calculation method.
The calculation formula for mean absolute percentage error is:
where m is the number of operating conditions considered in the calculations, n is the number of spatial discrete data points corresponding to each operating condition, Xij is the value obtained by the fast calculation method for the jth data point in the ith scenario, and Xref,ij is the reference value obtained from commercial software for the corresponding position.
At t = 400 min, the hotspot temperature (HST point), as determined by the conventional method, is 348.56 K, whereas the hotspot temperature computed by EDMD is 348.45 K, yielding an error of approximately 0.11 K. The minimum temperatures calculated by the two methods are 338.71 K and 338.65 K, respectively, resulting in a difference of 0.06 K. The overall temperature distribution trend remains largely consistent, although localized deviations are evident, being primarily concentrated at the core edge and the oil–core interface. The global maximum error of EDMD rapid computation is 0.45 K, as shown in Figure 11, observed at the junction between the transformer oil and the core, with the average temperature deviation in the region of maximum error being 0.27 K.
Figure 11.
Error field of thermal field fast calculation at t = 400 min.
The error originates from the reduced-order characteristics of the EDMD method in regions of high thermal gradients. As this method relies on modal decomposition, high-order information in regions of significant local variation may be omitted. This limitation highlights the trade-off between computational efficiency and the retention of fine-scale thermal details in the model.
As depicted in Figure 12, at t = 1000 min, the hotspot temperature (HST point) determined by the conventional method is 365.37 K, and the hotspot temperature computed by the EDMD is 365.79 K. The error between the two amounts is approximately 0.42 K. The minimum temperatures calculated by the two methods are 355.69 K and 355.81 K, respectively, resulting in a difference of 0.12 K, representing an increase compared to t = 400 min. The overall temperature distribution trend continues to exhibit strong consistency, with local deviations predominantly being concentrated at the core edge and the oil–core junction region.
Figure 12.
Comparison of thermal field fast calculation results at t = 1000 min. (a) Conventional method; (b) EDMD fast calculation method.
The global maximum error of EDMD rapid computation is 0.49 K, as shown in Figure 13; however, the average temperature deviation in the region of maximum error reaches 0.19 K, which can be observed above the core and at the transformer oil junction. This increase in error may be attributed to the accumulation of errors and the attenuation of high-order modes during the long-term evolutionary process, leading to a slight amplification of computational deviations in localized regions.
Figure 13.
Error field of thermal field fast calculation at t = 1000 min.
Nevertheless, the hotspot temperature error remains minimal, suggesting that the EDMD method retains high accuracy in long-term predictions, and its computational accuracy fulfills the engineering requirements for a rapid assessment of the transformer thermal field. This performance underscores the method’s reliability for practical applications in thermal management.
The hotspot temperature nodes of the thermal field, determined using extended dynamic mode decomposition (EDMD), are identified and compared as depicted in Figure 14. Figure 14a compares the EDMD-reconstructed field with the original field data. Based on the overall trend, the EDMD computational results effectively align with the temperature variations of the original field. During the snapshot stage (0–250 min), the EDMD-computed values are largely consistent with the true values, exhibiting minimal errors; in the verification stage (250–1000 min), the EDMD-computed temperatures are slightly elevated compared to the true values, although the maximum deviation does not exceed 0.62 K, the mean square error approximates 0.25 K, the root mean square error approximates 0.5 K, and the overall error is maintained within 3.06%.
Figure 14.
Fast calculation results of hot-spot temperatures at different times. (a) HST comparison; (b) HST error.
Figure 14b illustrates the temporal trend of the temperature computation error. It is evident that the error is substantial during the initial stage, peaking at 0.75 °C, and subsequently declines gradually, attaining a minimum value of around 300 min. Thereafter, the error exhibits a slight rebound, followed by pronounced oscillations after 700 min. This trend in error evolution is attributable to the attenuation characteristics of high-order modes and the nonlinear effects within the temperature field. Despite the presence of certain error fluctuations, the EDMD method continues to compute the temperature field with considerable accuracy, affirming its reliability for thermal field analysis.
In terms of computational efficiency, the extended dynamic mode decomposition (EDMD) method demonstrates significant improvement over traditional finite element methods, achieving a reduction in computational time from hours to minutes, with an overall efficiency gain of approximately 90 times, thereby offering substantial engineering applicability. As shown in Table 3, the simulation time for the conventional method is 3414 s, while the EDMD model computation time is 35 s, yielding a field average error of 3.06%, with a computational efficiency improvement of 97 times. This enhanced efficiency underscores the method’s potential for rapid and accurate engineering evaluations.
Table 3.
Comparison of thermal field calculation times and errors.
4.2. Flow Field Fast Calculation Results
The first 15-order extended dynamic mode decomposition (EDMD) mode was employed to compute the thermal coupling field over the interval from 0 to 1000 min. The rapid computation results of the thermal field at t = 400 min and t = 1000 min were chosen for comparative analysis, with the central longitudinal section being selected for visualization. This selection enables a detailed assessment of the thermal coupling behavior within the transformer.
At t = 400 min, the outlet velocity determined by the conventional method is 0.1140 m/s, whereas the outlet velocity computed by EDMD is 0.1131 m/s, yielding an error of approximately 0.0009 m/s, as shown in Figure 15. The overall flow field distribution trend remains consistent, with minor deviations observed in localized regions, primarily at the interface between the transformer oil flow and the solid structure. The global maximum error computed by EDMD is 0.0042 m/s, as observed in the outlet region.
Figure 15.
Comparison of the fast calculation results of the flow field at t = 400 min. (a) Conventional method; (b) EDMD fast calculation method.
From Figure 16, the overall error remains below 0.0045 m/s, and the average velocity deviation in the region of maximum error is 0.0018 m/s, suggesting that the EDMD method exhibits high accuracy in flow field computation. This performance highlights the method’s reliability for modeling complex flow dynamics within the transformer system.
Figure 16.
Error field in fast calculation of the flow field at t = 400 min.
At t = 1000 min, the outlet velocity determined by the conventional method is 0.1771 m/s, whereas the outlet velocity computed by EDMD is 0.1753 m/s, as shown in Figure 17. The error between the two amounts to approximately 0.0018 m/s, and the overall flow field distribution continues to exhibit high consistency. The global maximum error computed by EDMD is 0.055 m/s, as observed in the oil flow channel region.
Figure 17.
Comparison of the fast calculation results of the flow field at t = 1000 min. (a) Conventional method; (b) EDMD fast calculation method.
As shown in Figure 18, the overall error remains below 0.06 m/s, and the average velocity deviation in the region of maximum error is 0.0151 m/s. Although the error exhibits a slight increase in terms of long-term prediction, it remains within an acceptable range, suggesting that the EDMD rapid computation method demonstrates robust stability and accuracy in flow field prediction. This performance affirms the method’s suitability for extended operational scenarios.
Figure 18.
Error field of fast calculation of the flow field at t = 1000 min.
As depicted in Figure 19, the extended dynamic mode decomposition (EDMD) method effectively aligns with the flow velocity variations, based on comparisons between EDMD-computed flow velocities and those obtained with the conventional method. During the snapshot stage (0–250 min), the computational results of both methods are largely consistent, exhibiting minimal errors; in the prediction stage (250–1000 min), the flow velocity computed by EDMD is slightly elevated compared to that obtained with the conventional method, with a maximum error of approximately 2.55 × 10−3 m/s. The right panel illustrates the temporal trend of the flow velocity computation error. The error gradually diminishes in the initial stage, reaching its minimum value at approximately 500 min. Subsequently, as time progresses, the error exhibits a slight increase and undergoes moderate fluctuations after 800 min. This error trend is primarily influenced by the unsteady-state characteristics of the flow field and the attenuation of high-order modes, leading to an increase in localized deviations during the prediction stage. Despite the slight increase in error, the overall error remains within 3.01%, suggesting that the EDMD method maintains high accuracy in terms of flow velocity prediction.
Figure 19.
Fast calculation results of flow velocity at different times. (a) Flow velocity comparison; (b) flow velocity error.
As shown in Table 4, regarding computational efficiency, the EDMD method demonstrates a significant improvement in speed compared to the conventional method, reducing the computation time from 3414 s to 41 s, achieving an overall acceleration ratio of 83 times. Compared to the traditional finite element method, the EDMD method substantially reduces computational costs while maintaining computational accuracy, offering an efficient solution for the rapid evaluation and optimal design of the transformer flow field. This efficiency highlights its practical value in engineering applications.
Table 4.
Comparison of flow field calculation times and errors.
4.3. EDMD Calculation Accuracy and Speed
The EDMD calculation results of this study were compared with those of other rapid computational methods. The thermal field is modeled in the literature; thus, the EDMD results for the thermal field, exhibiting analogous dynamic characteristics, were chosen for comparative analysis.
With respect to computational accuracy, the EDMD method proposed herein attains an average error of 3.06% in three-dimensional transformer thermal field simulations, outperforming DMD-ATS (5.99%), HiDeNN-PGD (9.5%), and POD (5%), and is slightly lower than POD-QDEIM (2.8%). Furthermore, the EDMD method proposed herein has been effectively applied to more intricate three-dimensional transformer multi-physics fields, consistently preserving high computational accuracy in complex scenarios, as presented in Table 5.
Table 5.
Comparison of errors between EDMD and other fast calculation methods.
Regarding computational speed, the EDMD method achieved a 97-fold acceleration in the three-dimensional transformer model, surpassing DMD-ATS (89-fold) and significantly exceeding POD-QDEIM (51.63-fold). While it did not match the 500-fold acceleration of POD, the latter is primarily employed in MOSFET local area modeling and is better suited to power electronic devices with smaller computational scales. The EDMD method presented herein effectively balances high precision and computational efficiency in large-scale three-dimensional transformer thermal field computations, as presented in Table 6.
Table 6.
Comparison of computational speeds between EDMD and other fast calculation methods.
In conclusion, the EDMD method proposed herein delivers substantial computational acceleration while preserving high computational accuracy and can be applied effectively to more intricate three-dimensional transformer thermal field computations, thereby offering greater practical value in engineering applications.
5. Conclusions
This study introduces a rapid computational method for the transient thermal–fluid field of a transformer, leveraging the EDMD approach, and validates its computational accuracy and efficiency using a three-dimensional transformer model. The primary conclusions are outlined below:
(1) Conventional commercial software requires 3414 s to simulate the thermal field, whereas the EDMD-based rapid computational model requires only 35 s, enhancing computational efficiency by a factor of 97. The average computational error for the thermal field is 3.06%, with the maximum error, reaching 1.2 °C, occurring at the interface between the core and the transformer oil.
(2) Conventional calculation requires 3414 s to simulate the flow field, whereas the EDMD-based rapid computational model requires only 41 s, improving computational efficiency by a factor of 83. The average computational error for the flow field is 3.01%, with the maximum error, reaching 0.055 m/s, occurring at the interface between the upper shell and the transformer oil.
(3) The computational speed for both the thermal and flow fields is enhanced, reducing the simulation time from hours to minutes, with an average efficiency improvement of 90-fold, demonstrating that the EDMD method substantially enhances computational efficiency while maintaining high accuracy. Consequently, this method offers substantial advantages in the rapid computation of the transformer’s thermal–fluid coupled field.
(4) The EDMD method improves the modal decomposition capabilities of nonlinear systems via the Koopman operator theory, enabling more precise capture of the dynamic characteristics of thermal–fluid coupling. This approach is well-suited to the rapid computation of high-dimensional nonlinear systems and satisfies the requirements of digital twin systems for the real-time or quasi-real-time computation of transformer thermal–fluid-coupled fields. Its computational efficiency and high accuracy offer theoretical and technical support for intelligent monitoring and the efficient operation of power equipment, with broad prospects for engineering applications.
Author Contributions
Conceptualization, C.G.; methodology, Y.C.; software, K.H.; validation, C.G.; formal analysis, Y.C.; investigation, Y.W.; resources, K.H.; data curation, Y.C.; writing—original draft preparation, W.S.; writing—review and editing, C.G.; visualization, W.S.; supervision, K.H.; project administration, Y.C.; funding acquisition, C.G. All authors have read and agreed to the published version of the manuscript.
Funding
This research is supported by the Science and Technology Project of the State Grid Corporation of China (grant 5500-202356506A-3-2-ZN).
Data Availability Statement
The datasets presented in this article are not readily available because the data are part of an ongoing study. Requests to access the datasets should be directed to kiddgcj@163.com.
Conflicts of Interest
Authors Yanming Cao, Kanghang He were employed by the company State Grid Economic and Technological Research Institute Co., Ltd. The remaining authors declare that the research was conducted in the absence of any commercial or financial relationships that could be construed as a potential conflict of interest. The company had no role in the design of the study; in the collection, analyses, or interpretation of data; in the writing of the manuscript, or in the decision to publish the results.
References
- Chen, S.; Luo, Y.; Sheng, G.; Jiang, J. Thermal Behaviour of a Transformer Mineral Oil-Tank Surface under Incipient Turn-to-Turn Short-Circuit Fault. IET Sci. Meas. Technol. 2024, 18, 310–323. [Google Scholar] [CrossRef]
- Eslamian, M.; Vahidi, B.; Eslamian, A. Thermal Analysis of Cast-Resin Dry-Type Transformers. Energy Convers. Manag. 2011, 52, 2479–2488. [Google Scholar] [CrossRef]
- Tsili, M.A.; Amoiralis, E.I.; Kladas, A.G.; Souflaris, A.T. Power Transformer Thermal Analysis by Using an Advanced Coupled 3D Heat Transfer and Fluid Flow FEM Model. Int. J. Therm. Sci. 2011, 53, 188–201. [Google Scholar] [CrossRef]
- Torriano, F.; Picher, P.; Chaaban, M. Numerical Investigation of 3D Flow and Thermal Effects in a Disc-Type Transformer Winding. Appl. Therm. Eng. 2012, 40, 121–131. [Google Scholar] [CrossRef]
- Dixit, A.; Ekanayake, C.; Ma, H.; Saha, T.K.; Ansari, M.H. Thermal Analysis of Natural Cooling Type Distribution Transformer Retrofilled with Natural Ester Oil. IEEE Trans. Dielectr. Electr. Insul. 2022, 29, 231–239. [Google Scholar] [CrossRef]
- Zhang, X.; Wang, Z.; Liu, Q.; Jarman, P.; Negro, M. Numerical Investigation of Oil Flow and Temperature Distributions for ON Transformer Windings. Appl. Therm. Eng. 2018, 130, 1–9. [Google Scholar] [CrossRef]
- Vijay, K.R.; Muralikrishnan, R.; Venkataramana, R. Reduced-Order Modeling of Conjugate Heat Transfer in Lithium-Ion Batteries. Int. J. Heat Mass Transf. 2024, 227, 125537. [Google Scholar]
- Rother, S.; Beitelschmidt, M. Model Order Reduction for Thermomechanical Problems Including Radiation. PAMM 2017, 17, 547–548. [Google Scholar] [CrossRef]
- Xie, Y.; Li, L.; Wang, S. Model Order Reduction for Quasi-Magnetostatic Problems. COMPEL 2017, 36, 1783–1791. [Google Scholar] [CrossRef]
- Xin, L.; Wu, Z.; Wang, Q.; Wu, B.; Zhao, L.; Cheng, J.; Zeng, Q.; Peng, Z. A Deep-Learning Surrogate Model for the Fast Calculation of Temperature Distribution of ±500 kV RIP Bushings. IEEE Trans. Power Deliv. 2024, 39, 3050–3060. [Google Scholar] [CrossRef]
- Peter, J.S. Dynamic Mode Decomposition of Numerical and Experimental Data. J. Fluid Mech. 2010, 656, 5–28. [Google Scholar] [CrossRef]
- Yang, F.; Wu, T.; Jiang, H.; Jiang, J.; Hao, H.; Zhang, L. A New Method for Transformer Hot-Spot Temperature Prediction Based on Dynamic Mode Decomposition. Case Stud. Therm. Eng. 2022, 37, 102268. [Google Scholar] [CrossRef]
- Zhang, L.; Lu, Y.; Tang, S.; Wang, K.L. HiDeNN-PGD: Reduced-Order Hierarchical Deep Learning Neural Networks. arXiv 2021, arXiv:2105.06363. [Google Scholar]
- Kutz, J.N.; Brunton, S.L.; Brunton, B.W.; Proctor, J.L. Dynamic Mode Decomposition: Data-Driven Modeling of Complex Systems; SIAM: Philadelphia, PA, USA, 2016. [Google Scholar]
- Williams, M.O.; Kevrekidis, I.G.; Rowley, C.W. A Data–Driven Approximation of the Koopman Operator: Extending Dynamic Mode Decomposition. J. Nonlinear Sci. 2015, 25, 1307–1346. [Google Scholar] [CrossRef]
- Li, Q.; Dietrich, F.; Bollt, E.M.; Kevrekidis, I.G. Extended Dynamic Mode Decomposition with Dictionary Learning: A Data-Driven Adaptive Spectral Decomposition of the Koopman Operator. Chaos Interdiscip. J. Nonlinear Sci. 2017, 27, 103111. [Google Scholar] [CrossRef]
- Ouala, S.; Chapron, B.; Collard, F.; Gaultier, L.; Fablet, R. Extending the Extended Dynamic Mode Decomposition with Latent Observables: The Latent EDMD Framework. Mach. Learn. Sci. Technol. 2023, 4, 025018. [Google Scholar] [CrossRef]
- Caroline, W. Orthogonal Polynomial Approximation and Extended Dynamic Mode Decomposition in Chaos. SIAM J. Numer. Anal. 2025, 63, 122–148. [Google Scholar] [CrossRef]
- Kang, L.; Xiong, S.; Wu, B.; Li, C.; Ge, M.; Yuan, D.; Han, F.; Cui, W. Force Decomposition on Flapping Flexible Plate via Impulse Theory and Dynamic Mode Decomposition. Phys. Fluids 2023, 35, 101914. [Google Scholar] [CrossRef]
- Liu, G.; Hao, S.; Zhu, Z.; Gao, C.; Liu, Y. Research on Rapid Calculation Method of Transient Temperature Rise of Winding of DMD-ATS Oil-Immersed Power Transformer. Trans. China Electrotech. Soc. 2024, 39, 3895–3906. [Google Scholar]
- Zhao, Y.; Wang, Z.; Luo, D.; Chen, C.; Ji, B.; Li, G. Multitimescale Thermal Network Model of Power Devices Based on POD Algorithm. IEEE Trans. Power Electron. 2024, 39, 3906–3924. [Google Scholar] [CrossRef]
- Liu, G.; Hu, W.; Hao, S.; Jiang, X.; Gao, C.; Liu, Y.; Wang, W. Research and experimental verification of POD-QDEIM algorithm for transient temperature rise and reduced order of oil immersed transformer windings with snapshot selection strategy. Trans. China Electrotech. Soc. 2024, 44, 4998–5011. [Google Scholar]
Disclaimer/Publisher’s Note: The statements, opinions and data contained in all publications are solely those of the individual author(s) and contributor(s) and not of MDPI and/or the editor(s). MDPI and/or the editor(s) disclaim responsibility for any injury to people or property resulting from any ideas, methods, instructions or products referred to in the content. |
© 2025 by the authors. Licensee MDPI, Basel, Switzerland. This article is an open access article distributed under the terms and conditions of the Creative Commons Attribution (CC BY) license (https://creativecommons.org/licenses/by/4.0/).


















