Abstract
An oil filter is a necessary and significant part of many manufacturing processes and equipment. Unlike the structural design and filter material selection, the particle movement in the filter during filtration is the fundamental factor influencing the filter’s performance, but this has not attracted enough attention. Due to the small size and large number of particles in the filter, it is difficult to monitor every particle’s movement. Therefore, this work used a hydraulic oil filter as a case study. Computational Fluid Dynamics (CFD) was coupled with the Discrete Phase Model (DPM) to investigate the particle motion in the filter. A filter boundary function was programmed to simulate the filter cartridge zone. The effects of inlet velocity and oil temperature/viscosity on the particle movement and filtration performance were studied. The results showed that a low-velocity zone existed and trapped some contaminant particles, particularly for particles with large Stokes numbers. The results also demonstrated that increased temperature induced an apparent reduction in filtering efficiency within the first 1.8 s from 0.61 to 0.49 when the temperature increased from 15 °C to 70 °C for 25 μm particles.
1. Introduction
Oil filtration is a critical component of many chemical processes. An oil filter, a key part of the filtration equipment, uses porous media to trap particulate matter. By removing impurities and contaminants from the oil, filters reduce risks such as equipment failure in valves and pumps, as well as corrosion that can lead to damage or leakage. Additionally, particulate contamination in end products reduces the quality and market value [1]. Thus, oil filters, as a commonly used part in reducing particle contamination, play a key role in chemical processes, as well as in fluid power transmission systems.
There are many types of oil filters, such as centrifugal and magnetic oil filters. This study focuses on cartridge hydraulic oil filters, which are designed to remove particulate contamination from hydraulic oil, as shown in Figure 1. The oil flows into the filter cartridge and flows out through the filter cloth. The contaminant particles are blocked by the filter cloth, and clean oil flows out from the filter. Oil filters need to be replaced regularly to ensure the efficiency and safety of the production line. This is because the pressure loss of filters keeps increasing during work. The cartridge is generally made of glass or paper fibers, which can be treated as a porous medium. When oil and particle contamination flow through the porous media, the large particles become stuck, and some fine particles adhere to the filter medium or are clogged [2]. Correspondingly, the filter pores become blocked. With increased working time, more holes are blocked, and the porosity drops. This causes high pressure loss and an increase in oil temperature. When the pressure loss reaches an unacceptable value or the filter cartridge is fully blocked, it should be replaced with a new one. Frequent replacement of the filter cartridge incurs increased maintenance time and more cartridge waste, increasing economic and environmental costs. Therefore, the performance of the filter cartridge is significant to the maintenance of the system.
Figure 1.
A schematic of a hydraulic oil filter: (a) structure of the filter; (b) practicality picture.
To improve the performance of the filter, the particle and oil flow characterization needs to be investigated first. Particle Image Velocimetry [3], Acoustic Doppler Velocimetry [4], and Laser Doppler Velocimetry [5] are usually used to investigate fluid flow. However, it is still difficult to accurately trace the particle movement and oil flow in the filter in real-time with the three mentioned techniques, particularly for particle contamination. The interior of a filter is typically composed of multiple layers of fibrous media forming a complex three-dimensional porous structure. Due to its opaque nature, optical measurement techniques such as Particle Image Velocimetry (PIV) and Laser Doppler Velocimetry (LDV) are difficult to apply for full-field visualization of the internal flow. For instance, the obstruction caused by fiber layers limits the measurement region to the surface or specific cross-sections, making it impossible to fully capture the migration paths of particles within the deeper porous media. Acoustic Doppler Velocimetry (ADV) relies on reflected acoustic signals. However, in high-porosity fibrous media, the scattering effects of sound waves are significantly enhanced. This leads to a reduced signal-to-noise ratio in flow velocity measurements and insufficient accuracy in tracking particle motion. In contrast, numerical simulations can provide dynamic data such as particle trajectories and velocity field distributions within the pores, revealing microscopic mechanisms that are difficult to observe experimentally. In addition, numerical simulations allow for parametric studies to rapidly evaluate the performance of different filter designs, thereby reducing the cost and time associated with experimental trial-and-error approaches. Consequently, current research on the particle and oil flow during filtration relies on macroscopic mathematical models [6] or numerical modeling with Computational Fluid Dynamics (CFD) and the Discrete Element Method (DEM). Due to the complex geometry of the computational domain, the Lattice Boltzmann Method (LBM) was applied to investigate the interaction between particles and filter fibers on the particle scale. It was found that staggered woven fibers had better particle capture efficiency for large particles [7]. The advantage of the staggered woven pattern was also validated by Wang et al.’s [8] research where the Lattice Boltzmann–Cellular Automata probabilistic (LB-CA) model was used to simulate the particle capture by round fibers. The staggered woven pattern had higher capture efficiency with a similar pressure drop. Both studies found that most particles were captured by the first layer of fibers. This can be implied from Liu and Li’s [9,10] numerical research on the filtration by circular fibers, which showed that the flow became periodic immediately after passing the first layer of uniformly arranged fibers. The characteristics of such a flow field provided a theoretical foundation for representing multiple fibers by a single layer of fibers. In addition, the shape of the staggered fibers was also significant to the filtering efficiency, which can be defined as [11]
where and denote the influent and effluent particle concentrations, respectively. The filtration efficiency of three typical shapes of staggered fibers, as shown in Figure 2, was studied and compared through coupling LBM-DEM, including square, diamond, and circular shapes [12]. It was found that square fibers had higher filter efficiency than the other two shapes when the Stokes number changed between 0.2 and 25. Lin et al. [13] researched filtration from the perspective of collision efficiency with the LBM-Lagrangian Model and showed a similar result. The square shape had the highest collision efficiency for the first layer of fibers. Apart from the fibers, the velocity also played a significant role in affecting the deposition of fine particles. A 2D LBM-DEM numerical research found that once the velocity was over a critical value, the flow could transport more particles, and the deposition was reduced [14].
Figure 2.
Three typical shapes of staggered fibers: square, diamond, and circular.
The previous work discussed above emphasized the regular shape of the fibers, whereas it is quite different from the realistic conditions. The research considered the interaction between sphere particles and fibers with regular shapes at the particle scale. The filter media can be modeled at a micro-scale by using the Voronoi algorithm, which enhances the realism of the filter model [15]. Liu et al. [16] simulated a realistic three-dimensional filtering situation where the cylinder fibers were modeled as a wall and fine particles were modeled by DEM. The research focused on the 0.4 mm × 0.4 mm × 1.2 mm flowing domain, and the particle deposit on the fibers was studied. However, these studies omitted the effect of fluid flow before and after passing through the fibers. The structure and operating parameters cause different fluid fields and then influence the oil filter performance [17].
In the study of particle filtration, it is essential to consider the entire fluid field within the filter. As discussed above, the multiple fibers can be simplified as a single layer of fiber. When the filtering cartridge is abstracted as a porous medium, the filtration can be simplified as a two-phase flow through a porous medium. This simplification has been validated by research on deep-bed granular filters for water [18]. With this approach, the filter can be modeled in a macroscopic view, and the effect of the entire flow field in the filter on the particle transfer can be considered.
Motivated by the discussions above, the main contributions of this paper can be outlined as follows: A CFD model coupling with the Discrete Phase Model (DPM) was developed to investigate the particle transport within the filter. The filter cartridge zone was modeled as a porous medium for the fluid. Innovatively, the apertures were modeled by a filter boundary function so that only particle sizes smaller than the threshold could pass through the porous medium. Several typical operation conditions were set in the model to study the effect of velocity and viscosity on the particle transfer in the filter. The simulation of the entire filter not only considered the interaction between the filter medium and particles but also involved the effect of the flow field in the overall filter.
2. Numerical Model
2.1. CFD-DPM Modelling
In the CFD-DPM model, the oil was modeled by CFD, and particle contamination was modeled by DPM, in which the particles were represented as mass points. In the CFD model, the governing equations, continuity, and momentum equations for the fluid phase were [19,20]
where is the fluid density; is the velocity, is the pressure; is the shear stress and is the reaction from particles, considering enabled the two-way coupling model to ensure accurate results. In the DPM model, based on Zheng et al.’s [21] suggestion, when the particle mass loading is not much larger than 1, the inter-particle collisions can be neglected. Although the particle mass loading of the simulated cases in this work was smaller than 1, the collisions were still considered to track particle movement accurately. The governing equation for the particle motion in the DPM model was [22]
where is the mass of the particle; is the velocity of the particle; is the density of the particle; is the external forces applied on particles, such as the collision, the virtual mass force, Brownian Force, and Saffman Lift Force; is the drag force, and is the relaxation time of the particle, which can be expressed as follows [23]:
where is the particle diameter, is the viscosity, is the Reynolds number, and is expressed by [24]
where
The shape factor is defined as the ratio of equivalent surface area to the actual surface area of the particles. The equivalent surface area means the area of a sphere that has the same volume as the particle. In this way, is also an equivalent Reynolds number.
As for the external forces, collision was one of the important components. The Spring–Dashpot Model was chosen to model the collision for contaminant particles. To simplify the collision, the rotational motion was neglected. Then, the collision force was [25]
where and are the stiffness constant and the damping coefficient, respectively, is the normal overlap of the collided particles, is the position vector, and is the relative velocity.
Another external force that needs to be considered is the virtual mass force since the density ratio of oil to the particle was larger than 0.1 in this study and could not be neglected. The virtual mass force was calculated by [26]
where is the virtual mass factor [27].
There were also some other forces that may be considered depending on the situation. For nanosized particles, Brownian Particle Diffusion cannot be neglected [28]. However, in this study, the minimum particle size was 25 μm and the Brownian Particle Diffusion was not considered. The Magnus Effect was also neglected due to the rotation of the particle not being considered [29]. Another force often considered in the fluid–particle coupling model was the Saffman Lift Force [30]. However, the ratio of the lift force to gravity was around 0.01 in this study. Therefore, the Saffman Lift Force was not considered in this study.
2.2. Filter Cartridge Modelling
The filter cartridge, particularly the filter cloth, can be represented as a porous medium. To simplify the model of oil flowing through the porous medium, the homogeneous porous medium model was applied to calculate the pressure drop when oil flows through the porous medium. In this way, a source term was added to the momentum Equation (3) to contribute to the pressure gradient. The source term includes a viscous loss term and an inertial loss term, which can be found by [31]
where is the fluid viscosity, is the permeability of the medium, is the inertial resistance factor, is the velocity. The overall pressure change is a combination of Darcy’s Law and an additional inertial loss term. This study adopts the Darcy–Forchheimer Model. Other commonly used porous media models include the classical Darcy Model and the Brinkman Model. However, the classical Darcy Model is suitable for low-speed, low-Reynolds-number, laminar flow conditions, whereas in our study, the hydraulic oil within the filter exhibits turbulent behavior with medium to high velocities [32]. The Brinkman Model, on the other hand, is primarily applicable to boundary layers and transition zones and is not well-suited for flow inside the porous medium [33]. In contrast, the Darcy–Forchheimer Model accounts for both viscous and inertial effects, making it more appropriate for accurately describing the flow behavior of hydraulic oil inside the filter.
For particles, the filtration cartridge allowed some fine particles to pass through. This function was achieved by a developed filter boundary function. The algorithm is shown in Figure 3. The particle size was compared with the threshold, and only the smaller particles could pass through the surface of the filter cartridge. The larger particles were reflected with reduced speed.
Figure 3.
Three typical shapes of staggered fibers: square, diamond, and circular. Algorithm of the filter boundary function.
3. Computational Settings
3.1. Geometry, Mesh, and Boundary Condition
The structure of a typical suction filter is shown in Figure 1a. The cross-section of the flow domain is shown in Figure 4a. The oil flowed in from the inlet port. After passing the filter cartridge, filtered oil flowed out from the outlet port. To simplify the simulation domain, the accessories of the filter were neglected, and half of the filter was taken for meshing due to the symmetry property of the filter. The geometry and dimensions are shown in Figure 4a.
Figure 4.
(a) The geometry and dimensions of the simulation in this work; (b) the mesh and boundary of the simulation.
The simulation domain was meshed by poly-hexacore. The maximum size of a mesh cell length was 2.4 mm. The corner zones were refined to capture the detailed flow field. The mesh results and boundary conditions are shown in Figure 4b. The filter cartridge zone was the porous medium for the oil, while for the particles, the surface of the filter cartridge was set by the filter boundary function. The function enabled only particles smaller than the threshold size to pass the porous zone. For particles larger than the threshold size, they were reflected in reduced velocity. The normal and tangential reducing coefficients are shown in Table 1.
Table 1.
Model configurations, parameters, and their value.
3.2. Model Configurations and Parameters
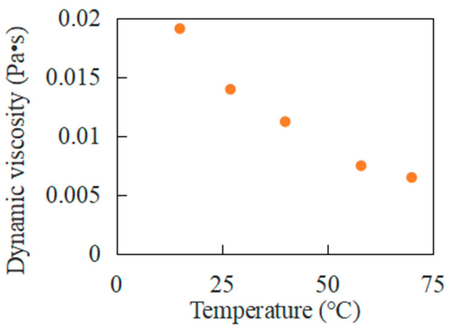
The numerical model was solved on ANSYS Fluent 2021. The model configurations and parameters are shown in Table 1, including parameters in the Porous Medium Model, Discrete Phase Model, hydraulic oil, particle contamination, boundary settings, and temperature. The inlet oil velocity and viscosity were the two key factors in the simulation design. Since the viscosity was directly related to the temperature, and it was the oil temperature that was usually observed during working, the temperature was set as a target factor. The relationship between temperature and viscosity for the hydraulic oil ISO VG15, which was used in this simulation, is shown in Figure 5. The temperature range was chosen according to the common working conditions.
Figure 5.
Viscosity vs. temperature for hydraulic oil ISO VG15 [34].
The method of controlled variables was applied to investigate the effect of the two factors on the filtration process and results. To investigate the effect of the oil velocity, the temperature of the oil was set as 40 °C, and the velocity in each simulation case changed from 3.0 m/s to 4.5 m/s. Similarly, the velocity was set as 3.0 m/s when investigating the effect of viscosity. In practical applications, the typical particle sizes of contaminants in hydraulic systems range from 0 to 100 microns [1]. Considering that hydraulic filters primarily target larger particles, the particles we chose contained three sizes, 100 μm, 50 μm, and 25 μm, and the threshold was set as 60 μm. Considering the complex flow field inside the filter and the limitations of local computational resources, the Standard k-ε Turbulence Model was selected for the simulation. Since experimental conditions were not available for direct measurement, the permeability of the porous filter medium was estimated using the experimental flow rate and the pressure drop data reported in Reference [35]. By applying these data to Equation (10), the permeability of the porous media model was determined to be 1/200,110,001/200,110,001/20,011,000 m2, and the inertial resistance coefficient was calculated as 90,000 m−1. The particle injection rate and duration are shown in Table 1.
To solve the model, the pressure–velocity coupling algorithm was applied. The discretization method is shown in Table 2.
Table 2.
Solving method and discretization.
3.3. Sensitivity of Mesh Size
The accuracy of the solution highly depends on the mesh size. Therefore, analyzing the sensitivity of mesh size is necessary before investigating the characteristics of the fluid field and particle transfer. To find a proper mesh size, three sizes were chosen to run the same simulation case. The details of the three mesh sizes are shown in Table 3. The corner and boundary regions were refined to capture the details.
Table 3.
Details of three mesh sizes.
The simulation results of the total pressure and velocity magnitude on the symmetry plane are shown in Figure 6. It can be seen that most of the values were close. However, the coarse mesh did not capture the details of velocity, particularly the velocity magnitude along the line z = 0 m, y = 0.028 m, in the corner of the outlet port, as demonstrated in Figure 6b. For coarse mesh, the velocity magnitude was smaller than the results calculated from fine mesh along this line. As can be seen from Figure 7, the largest difference in velocity in the corner was 0.47 m/s, about 6.5%. To balance the time consumed for computation and accuracy, a medium-sized mesh size was chosen for this study.
Figure 6.
The total pressure and velocity magnitude on the symmetry plane for the three mesh sizes: (a) total pressure; (b) velocity magnitude.
Figure 7.
Comparison of velocity along the line (z = 0 m, y = 0.028 m) among three mesh sizes.
3.4. Model Verification
To verify the model setup, the pressure loss vs. the flow rate curve was calculated and compared with the experimental results in reference [35]. In the verification case, the oil viscosity was set as 0.0265 Pa∙s and the density was 900 kg/m3, which were consistent with the reference. The comparison is shown in Figure 8. It can be seen that the numerical results matched the reference results. The maximum error was about 0.6 kPa.
Figure 8.
Comparison of pressure drop vs. flow rate between numerical results and experimental results in reference.
4. Discussion
4.1. Velocity Vectors
The velocity vectors at different oil inlet velocities are shown in Figure 9. The results indicated that the inlet velocity significantly affects the velocity in the outlet zone at the top of the filter, particularly in the top corner of the filter, which is an apparently turbulent zone. It is worth noting that there was a “dead zone” at the top of the filtered zone where the velocity was close to zero. The effect of the temperature/viscosity on the velocity vectors is shown in Figure 10. Temperature variations exhibited negligible effects on the velocity profile.
Figure 9.
Velocity vectors for different oil inlet velocities at 40 °C.
Figure 10.
Velocity vectors for different oil temperatures with an inlet velocity of 3.0 m/s.
4.2. Turbulent Intensity
As shown in Figure 11, the high velocity caused a large area of turbulent intensity in the area around the inlet and outlet. However, temperature weighs less than the inlet velocity. The temperature affects turbulent intensity in the middle zone of the filter based on the contour line. The maximum turbulent intensity reached 313% when the inlet velocity increased to 4.5 m/s, whereas the maximum turbulent intensity for different temperatures was around 210%.
Figure 11.
Turbulent intensity for all the simulations.
These results were in accordance with the velocity field. The velocity field had a small change in the temperature, and the turbulent intensity was calculated by [36]
where is the turbulent intensity, is the root-mean-square of the turbulent velocity fluctuation, and is the Reynolds averaged mean velocity. Therefore, the turbulent intensity had a weak correlation with the oil temperature.
4.3. Pressure Loss
Based on the simulation results, the effect of the inlet velocity and oil temperature on the pressure loss is shown in Figure 12. The data revealed that the pressure loss was more sensitive to the inlet velocity. The result was in accordance with Equation (10), where the pressure loss increased with the square of the velocity flowing through the filter cartridge surface in the normal direction. The value of the pressure loss increased from 66 kPa to 148 kPa when the inlet velocity changed from 3.0 m/s to 4.5 m/s. The inlet and outlet pressures also increased correspondingly. In comparison, the temperature had little effect on the pressure loss of the filter in this temperature range.
Figure 12.
Area-weighted outlet and inlet pressure. (a) Pressure values in cases with different velocities; (b) Pressure values in cases with different temperatures.
4.4. Particle Behavior
The Stokes number was estimated to investigate the particle behavior when flowing through the filter, particularly the porous media. The Stokes number can be calculated by [37]
where is the particle density; is the particle diameter; is the viscosity; is the velocity of the oil, and is the characteristic length, which is normally the diameter of the fiber. When the 0.1, particle movement will accurately follow the fluid streamline. While for the 1, the particle movement will not be consistent with the fluid streamline. The calculated Stokes numbers under different velocities are shown in Figure 13. Since the maximum velocity in the calculation domain obtained from Figure 10 was below 16.5 m/s, the Stokes numbers were only calculated in this velocity range. The results indicated that the Stokes numbers were mostly between 0.1 and 10 for 25 μm and 10 μm particles, respectively. For 100 μm particles, most of the Stokes numbers were above 10.
Figure 13.
Stokes numbers for three sizes of particles under different velocities.
Therefore, the maximum and minimum inlet velocities were chosen as the representative velocities to analyze the particle movement in the filter. To visualize the particle movement clearly, the total particles was sampled according to their identification (ID) numbers to reduce the visualized particle numbers. One-third of the particles were randomly sampled. The sampled particle positions of each timestep for inlet velocities 3.0 m/s and 4.5 m/s are shown in Figure 14a,b, respectively. The line is the particle trace and particles in the line is the position of every two timesteps (0.02 s).
Figure 14.
Sampled particle positions and the proportion of trapped 100 μm particles: (a) particle trace of inlet velocity 3.0 m/s; (b) particle trace of inlet velocity 4.5 m/s. (c) proportion of trapped 100 μm particles in different velocities; (d) proportion of trapped 100 μm particles in different temperatures.
The results showed that the large particles in the simulation, namely, 100 μm particles, moved in a different way from 25 μm particles and 50 μm particles. The 25 μm and 50 μm particles generally followed the oil flow stream, while for the 100 μm particles, many particles stayed in the bottom locating block zone. This is because the locating block zone had a low velocity, and once the particles entered, they were not driven out of this zone by “static” oil. After the particles reached a steady state, both cases showed similar results. Some small particles passed through the filter cartridge and flowed out of the filter. In contrast, 100 μm particles were either blocked in the filter cartridge or trapped in the bottom locating block zone. The proportion of trapped 100 μm particles in each calculation is shown in Figure 14c,d. The results indicated that the variation in velocity between 3.0 m/s and 4.5 m/s had a slight influence on the trapped particles. In comparison, increasing the temperature significantly increased the proportion.
4.5. Filtering Efficiency
The filtration efficiency was calculated according to Equation (1), and the results are shown in Figure 15. Generally, the efficiency of 50 μm was larger than that of 25 μm because the larger particles are driven harder than the small particles by oil and are easily kept in the filter. The results also demonstrated that the velocity did not affect the efficiency too much in this velocity range. Compared with the effect of velocity, the temperature significantly affected the efficiency of 25 μm. The efficiency for 25 μm particles dropped from 0.61 to 0.49 when the temperature increased from 15 °C to 70 °C. For 50 μm particles, the efficiency fluctuated around 0.74. The reason why the temperature affects small particle movement significantly can be explained through the Stokes number. The Stokes number is inversely proportional to the viscosity, and the viscosity is sensitive to temperature in the range between 15 °C and 70 °C. Additionally, the Stokes number is proportional to the square of the particle diameter. Therefore, the influence is significant for the small particles.
Figure 15.
Filtering efficiency for both 25 μm and 50 μm under different conditions.
5. Conclusions
This work focused on the numerical modeling and investigation of a typical oil filter. A CFD coupled with the Discrete Phase Model was developed. To achieve the filter function for particles, the filter boundary function was programmed to trap particles larger than the set threshold. This model and program were applied to study the effect of two significant parameters, oil inlet velocity and oil temperature/viscosity. With the analysis of the results, it was concluded that the turbulent zone appeared near the inlet and outlet zones. The effect of velocity weighed more than the viscosity on the flow field. Regarding particle behavior, it was found that the big particles are more likely to be trapped in the bottom low-velocity zone, particularly the locating block. This indicated that apart from the filter cartridge, the structure of the filter also significantly influences the filtration. Additionally, the filtering efficiency for the 25 μm particles significantly reduced when the oil temperature increased, whereas the effect of velocity on the filtering efficiency for these two sizes of particles was not obvious.
The findings of this study have the potential to inform the design and optimization of oil filters, while also serving as a reference for other filter types. It is important to note that the current filter boundary function allows all particles smaller than the threshold to pass through the filter cartridge, thereby overlooking the adhesion of these small particles. The algorithm could be enhanced by incorporating a probability of adhesion to better model the filter’s function for small particles.
Future work will aim to improve the boundary filtering algorithm. Incorporating an adhesion probability could enhance the accuracy of small-particle filtration modeling. In addition, particle–particle interactions were ignored due to low mass loading. Future studies may explore their effects under higher loading conditions to better understand their influence on particle trajectories and filtration efficiency. Finally, structural features such as the bottom positioning block were found to significantly affect particle capture. These insights can be used to further optimize filter design for improved performance and reduced pressure loss.
Author Contributions
Conceptualization, J.C. and X.X.; methodology, J.C. and G.W.; software, J.C.; validation, J.C.; formal analysis, G.W.; investigation, J.C. and D.X.; resources, J.C.; data curation, J.C. and D.X.; writing—original draft preparation, J.C.; writing—review and editing, X.X., G.W., D.X., Y.H. and M.Z.; visualization, J.C., M.Z. and Y.H.; supervision, J.C. and G.W.; project administration, J.C. and X.X.; funding acquisition, J.C. and X.X. All authors have read and agreed to the published version of the manuscript.
Funding
This work is supported by the National Key Research and Development Program of China (2022YFC3090500), the Youth Fund of the National Natural Science Foundation of China (52305080), and the Natural Science Foundation for Youths of Hunan Province, China (2023JJ40720).
Data Availability Statement
Data are available upon reasonable request.
Acknowledgments
We are grateful for resources from the High Performance Computing Center of Central South University.
Conflicts of Interest
Author Mi Zhou and Yibo Hu were employed by the company Centralsouth (Guizhou) Guiyang Guian Industrial Technology Research Institute Co., Ltd. The remaining authors declare that the research was conducted in the absence of any commercial or financial relationships that could be construed as a potential conflict of interest.
Abbreviations
The following abbreviations are used in this manuscript:
| CFD | Computational Fluid Dynamics |
| DPM | Discrete Phase Model |
| DEM | Discrete Element Method |
| LBM | Lattice Boltzmann Method |
References
- Gorle, J.M.R.; Heiskanen, V.M.; Nissi, S.; Majas, M. Effect of temperature, flow rate and contamination on hydraulic filtration. MM Sci. J. 2018, 2018, 2490–2493. [Google Scholar] [CrossRef]
- Sun, D. Microscale study on dynamics of particles in slurry filtrated through porous media. Comput. Part. Mech. 2023, 11, 745–755. [Google Scholar] [CrossRef]
- Lauriola, K.; Gomez, M.; Meyer, R.; Son, F.; Slipchenko, M.; Roy, S. High speed particle image velocimetry and particle tracking methods in reactive and non-reactive flows. In Proceedings of the AIAA Scitech 2019 Forum, San Diego, CA, USA, 7–11 January 2019. [Google Scholar] [CrossRef]
- Canilho, H.; Santos, C.; Taborda, C.; Falorca, I.; Fael, C. Measurements of suspended ashes concentration in turbulent flow with acoustic doppler velocimeter. Flow Meas. Instrum. 2022, 87, 102207. [Google Scholar] [CrossRef]
- Jakobsen, B.; Merrison, J.; Iversen, J. Laboratory study of aerosol settling velocities using laser Doppler velocimetry. J. Aerosol Sci. 2019, 135, 58–71. [Google Scholar] [CrossRef]
- Kelbaliev, I.; Rzaev, G.; Rasulov, R.; Guseinova, V. Simulation of anomalous oil filtration in a porous bed. J. Eng. Phys. Thermophys. 2015, 88, 299–304. [Google Scholar] [CrossRef]
- Ansari, V.; Goharrizi, S.; Jafari, S.; Abolpour, B. Numerical study of solid particles motion and deposition in a filter with regular and irregular arrangement of blocks with using Lattice Boltzmann method. Comput. Fluids 2015, 108, 170–178. [Google Scholar] [CrossRef]
- Wang, H.; Zhao, H.; Wang, K.; He, Y.; Zheng, C. Simulation of filtration process for multi-fiber filter using the Lattice-Boltzmann two-phase flow model. J. Aerosol Sci. 2013, 66, 164–178. [Google Scholar] [CrossRef]
- Liu, Z.; Wang, P. Numerical investigation of viscous flow fields around multifiber filters. Aerosol Sci. Technol. 1996, 25, 375–391. [Google Scholar] [CrossRef]
- Li, W.; Shen, S.; Li, H. Study and optimization of the filtration performance of multi–fiber filter. Adv. Powder Technol. 2016, 27, 638–645. [Google Scholar] [CrossRef]
- Wang, L.Y.; Yong, W.F.; Liya, E.Y.; Chung, T.-S. Design of high efficiency PVDF-PEG hollow fibers for air filtration of ultrafine particles. J. Membr. Sci. 2017, 535, 342–349. [Google Scholar] [CrossRef]
- Fan, J. Numerical Study of Particle Transport and Deposition in Porous Media. Ph.D. Thesis, INSA de Rennes, Rennes, France, 2018. [Google Scholar]
- Lin, K.; Tao, H.; Lee, K. An early stage of aerosol particle transport in flows past periodic arrays of clear staggered obstructions: A computational study. Aerosol Sci. Technol. 2014, 48, 1299–1307. [Google Scholar] [CrossRef]
- Zhou, Y.; Chen, L.; Gong, Y.; Wang, S. Pore-scale simulations of particles migration and deposition in porous media using LBM-DEM coupling method. Processes 2021, 9, 465. [Google Scholar] [CrossRef]
- Cao, B.; Wang, S.; Dong, W.; Zhu, J.; Qian, F.; Lu, J.; Han, Y. Investigation of the filtration performance for fibrous media: Coupling of a semi-analytical model with CFD on Voronoi-based microstructure. Sep. Purif. Technol. 2020, 251, 117364. [Google Scholar] [CrossRef]
- Liu, X.; Ding, X.; Chen, C.; An, R.; Guo, W.; Zhang, W.; Wang, Y. Investigating the filtration behavior of metal fiber felt using CFD-DEM simulation. Eng. Appl. Comput. Fluid Mech. 2019, 13, 426–437. [Google Scholar] [CrossRef]
- Wang, N.; Chen, W.; Ning, G.; Ma, H. Numerical investigation of influence of structure and operating parameters on performance of vortex oil filter. In Proceedings of the CSAA/IET International Conference on Aircraft Utility Systems (AUS 2018), Guiyang, China, 19–22 June 2018; pp. 1150–1155. [Google Scholar]
- del Pozo, D.F.; Ahmad, A.; Rehman, U.; Verliefde, A.; Nopens, I. A novel CFD model to predict solids concentration and pressure drop in deep bed granular filtration. Sep. Purif. Technol. 2022, 295, 121232. [Google Scholar] [CrossRef]
- Bagherzadeh, A.; Darbandi, M.; Barezban, M.B. Numerical simulation of particle separation in a two-phase flow passing through a vortex-based air classifier using Eulerian–Lagrangian DDPM approach. Powder Technol. 2024, 445, 120036. [Google Scholar] [CrossRef]
- Wu, C.L.; Nandakumar, K.; Berrouk, A.S.; Kruggel-Emden, H. Enforcing mass conservation in DPM-CFD models of dense particulate flows. Chem. Eng. J. 2011, 174, 475–481. [Google Scholar] [CrossRef]
- Zheng, Q.J.; Yang, R.Y.; Zeng, Q.H.; Zhu, H.P.; Dong, K.J.; Yu, A.B. Interparticle forces and their effects in particulate systems. Powder Technol. 2024, 436, 119445. [Google Scholar] [CrossRef]
- ANSYS Fluent. Ansys Fluent Theory Guide; ANSYS Inc.: Canonsburg, PA, USA, 2022. [Google Scholar]
- Oyegbile, B.; Akdogan, G.; Karimi, M. Modelling the dynamics of granular particle interactions in a vortex reactor using a coupled DPM-KTGF model. S. Afr. J. Chem. Eng. 2020, 34, 31–46. [Google Scholar] [CrossRef]
- Ma, H.; Zhou, L.; Liu, Z.; Chen, M.; Xia, X.; Zhao, Y. A review of recent development for the CFD-DEM investigations of non-spherical particles. Powder Technol. 2022, 412, 117972. [Google Scholar] [CrossRef]
- Xu, D.; Shen, Y. A novel CFD-DEM-DPM modelling of fluid-particles-fines reacting flows. Chem. Eng. Sci. 2024, 292, 120014. [Google Scholar] [CrossRef]
- Chen, H.; Li, Y.; Xiong, Y.; Wei, H.; Saxén, H.; Yu, Y. Effect of particle holdup on bubble formation in suspension medium by VOF–DPM simulation. Granul. Matter 2022, 24, 120. [Google Scholar] [CrossRef]
- Kolev, N.I. Drag, lift, and virtual mass forces. In Multiphase Flow Dynamics 2; Springer: Berlin/Heidelberg, Germany, 2011. [Google Scholar] [CrossRef]
- Kang, S.; Lee, H.; Kim, C.; Chen, R.; Pui, Y. Modeling of fibrous filter media for ultrafine particle filtration. Sep. Purif. Technol. 2019, 209, 461–469. [Google Scholar] [CrossRef]
- Wang, D.; Fan, L.-S. Particle characterization and behavior relevant to fluidized bed combustion and gasification systems. In Fluidized Bed Technologies for Near-Zero Emission Combustion and Gasification; Scala, F., Ed.; Woodhead Publishing Series in Energy; Woodhead Publishing: Sawston, UK, 2013; pp. 42–76. [Google Scholar]
- Li, J.; Wang, P.; Zheng, X. Effects of the Saffman lift force on particle statistics and turbulence modulation in two-phase flow. Phys. Rev. Fluids 2024, 9, 034301. [Google Scholar] [CrossRef]
- Liu, J.; Liu, K.; Zhao, T.; Xu, Z. A Three-Dimensional Simulation of Particle Distribution in a Separator and Structure Optimization with the Statistical Approach of Taguchi Method. Math. Probl. Eng. 2018, 2018, 7439245. [Google Scholar] [CrossRef]
- Belhaj, H.A.; Agha, K.R.; Nouri, A.M.; Butt, S.D.; Vaziri, H.H.; Islam, M.R. Numerical modeling of Forchheimer’s equation to describe Darcy and non-Darcy flow in porous media. In Proceedings of the SPE Asia Pacific Oil and Gas Conference and Exhibition, Jakarta, Indonesia, 9–11 September 2003; p. SPE-80440-MS. [Google Scholar]
- Hsu, C.T.; Cheng, P. The Brinkman model for natural convection about a semi-infinite vertical flat plate in a porous medium. Int. J. Heat Mass Transf. 1985, 28, 683–697. [Google Scholar] [CrossRef]
- ISO 3448:1992; Industrial Liquid Lubricants—ISO Viscosity Classification. International Organization for Standardization: Geneva, Switzerland, 1992.
- Donaldson. Hydraulic Filtration Product Guide. 2019. Available online: https://www.donaldson.com/content/dam/donaldson/engine-hydraulics-bulk/catalogs/Hydraulic/North-America/F112100-ENG/Hydraulic-Filtration-Product-Guide.pdf (accessed on 15 January 2023).
- Lam, W.H.; Robinson, D.J.; Hamill, G.A.; Johnston, H.T. An effective method for comparing the turbulence intensity from LDA measurements and CFD predictions within a ship propeller jet. Ocean Eng. 2012, 52, 105–124. [Google Scholar] [CrossRef]
- Li, D.; Zhao, Z.; Li, Y.; Wang, Q.; Li, R.; Li, Y. Effects of the particle Stokes number on wind turbine airfoil erosion. Appl. Math. Mech. 2018, 39, 639–652. [Google Scholar] [CrossRef]
Disclaimer/Publisher’s Note: The statements, opinions and data contained in all publications are solely those of the individual author(s) and contributor(s) and not of MDPI and/or the editor(s). MDPI and/or the editor(s) disclaim responsibility for any injury to people or property resulting from any ideas, methods, instructions or products referred to in the content. |
© 2025 by the authors. Licensee MDPI, Basel, Switzerland. This article is an open access article distributed under the terms and conditions of the Creative Commons Attribution (CC BY) license (https://creativecommons.org/licenses/by/4.0/).














